Dynamic Mechanical Properties and Damage Evolution Mechanism of Polyvinyl Alcohol Modified Alkali-Activated Materials
Abstract
1. Introduction
2. Materials and Methods
2.1. Test Materials
2.2. Specimen Preparation
2.3. Test Method
2.3.1. Static Mechanical Property Test
2.3.2. Dynamic Compression Test
2.3.3. Microscopic Testing
3. Experimental Results
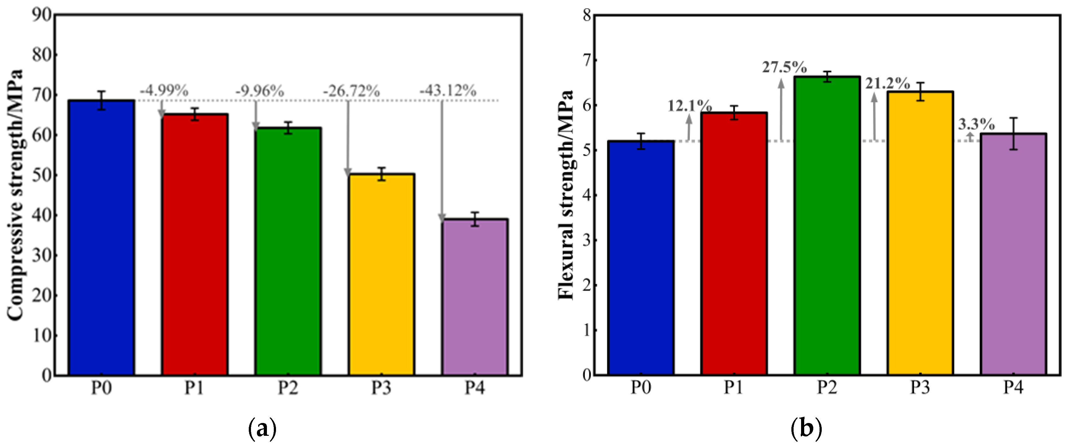
3.1. Static Mechanical Properties
3.2. Dynamic Mechanical Properties
3.2.1. Failure Mode
3.2.2. Stress–Strain Curve
3.2.3. DCIF
3.2.4. Energy Dissipation
3.3. Dynamic Damage Evolution Revealed by High-Speed DIC
3.3.1. Impact Failure Process
3.3.2. Displacement and Strain Field Analysis
3.3.3. Crack Propagation Rate
4. Discussion
- (1)
- The quasi-static compressive strength of PAAMs decreases with increasing PVA content, where the flexural strength experiences an initial rise and then falls. When the PVA content is less than 5%, the compressive strength decreases by no more than 10%, and the flexural strength reaches a maximum of 6.6 MPa at 5%. Therefore, the optimal PVA content should be limited to a maximum of 5%.
- (2)
- Under high strain rates, the dynamic compressive strength, DCIF, and dissipated energy of the samples all increase with increasing strain rate, demonstrating a significant strain rate effect. Meanwhile, the logarithmic function model effectively characterizes the DCIF evolution pattern. The addition of PVA increases the function’s slope, enhances strain rate sensitivity, and improves impact toughness.
- (3)
- DIC reveals that as the PVA content increases, the crack propagation rate of the samples slows, demonstrating enhanced energy absorption capacity. Furthermore, crack evolution is accompanied by increased crack instability, a larger crack inclination angle, and the generation of secondary cracks.
- (4)
- Under dynamic compression, the failure mode of PAAMs exhibits a diffusion pattern from the core region outwards. With increasing strain rate, the degree of fragmentation intensifies. Macroscopically, the cracking behavior transitions from a single brittle fracture to a tensile–shear combined multi-crack failure mode, suggesting that the material’s internal structural toughness is enhanced to some extent by the addition of PVA.
Author Contributions
Funding
Data Availability Statement
Conflicts of Interest
References
- Huang, R.; Xu, L.; Xu, Z.; Zhang, Q.; Wang, J. A Review on Concrete Superplasticizers and Their Potential Applications for Enhancing the Performance of Thermally Activated Recycled Cement. Materials 2024, 17, 4170. [Google Scholar] [CrossRef]
- Jonny, N. Smart materials and technologies for sustainable concrete construction. Dev. Built Environ. 2023, 15, 100177. [Google Scholar] [CrossRef]
- Lu, J.-X.; Poon, C.S. Use of waste glass in alkali activated cement mortar. Constr. Build. Mater. 2018, 160, 399–407. [Google Scholar] [CrossRef]
- He, P.; Zhang, B.; Lu, J.-X.; Poon, C.S. Reaction mechanisms of alkali-activated glass powder-ggbs-CAC composites. Cem. Concr. Compos. 2021, 122, 104143. [Google Scholar] [CrossRef]
- Xia, Y.; Liu, Z.; Song, Z.; Zhao, R.; Wu, J.; Wang, L.; Yan, J. Valorization of municipal solid waste incineration fly ash in low-carbon alkali-activated materials. Chem. Eng. J. 2024, 495, 153577. [Google Scholar] [CrossRef]
- Rosas-Casarez, C.A.; Corral-Higuera, R.; Arredondo-Rea, S.P.; Gomez-Soberon, J.M.; Chinchillas-Chinchillas, M.J.; Rodriguez-Rodriguez, M.; Pellegrini-Cervantes, M.J.; Bernal-Camacho, J.M. Porosity of Geopolymers Using Complementary Techniques of Image Analysis and Physical Adsorption of Gases. Buildings 2025, 15, 2353. [Google Scholar] [CrossRef]
- Srinivasamurthy, L.; Chevali, V.S.; Zhang, Z.; Longhi, M.A.; Loh, T.W.; Wang, H. Mechanical property and microstructure development in alkali activated fly ash slag blends due to efflorescence. Constr. Build. Mater. 2022, 332, 127273. [Google Scholar] [CrossRef]
- Liu, Y.; Shi, C.; Zhang, Z.; Li, N.; Shi, D. Mechanical and fracture properties of ultra-high performance geopolymer concrete: Effects of steel fiber and silica fume. Cem. Concr. Compos. 2020, 112, 103665. [Google Scholar] [CrossRef]
- Si, W.; Cao, M.; Li, L. Establishment of fiber factor for rheological and mechanical performance of polyvinyl alcohol (PVA) fiber reinforced mortar. Constr. Build. Mater. 2020, 265, 120347. [Google Scholar] [CrossRef]
- Emdadi, A.; Mehdipour, I.; Libre, N.A.; Shekarchi, M. Optimized workability and mechanical properties of FRCM by using fiber factor approach: Theoretical and experimental study. Mater. Struct. 2015, 48, 1149–1161. [Google Scholar] [CrossRef]
- Li, W.; Cao, M.; Chang, J. Optimized formulation of waterproof coating based on polymer and sodium silicate-activated GGBS using Box Behnken design- Selection of additives. J. Build. Eng. 2022, 61, 105220. [Google Scholar] [CrossRef]
- Bergamonti, L.; Taurino, R.; Cattani, L.; Ferretti, D.; Bondioli, F. Lightweight hybrid organic-inorganic geopolymers obtained using polyurethane waste. Constr. Build. Mater. 2018, 185, 285–292. [Google Scholar] [CrossRef]
- Niu, W.; Zaoui, A.; Zheng, Y. Mechanical behavior and mechanisms behind PVA modified expansive soil. Comput. Geotech. 2025, 186, 107419. [Google Scholar] [CrossRef]
- Thong, C.C.; Teo, D.C.L.; Ng, C.K. Application of polyvinyl alcohol (PVA) in cement-based composite materials: A review of its engineering properties and microstructure behavior. Constr. Build. Mater. 2016, 107, 172–180. [Google Scholar] [CrossRef]
- Kim, J.H.; Robertson, R.E. Effects of polyvinyl alcohol on aggregate-paste bond strength and the interfacial transition zone. Adv. Cem. Based Mater. 1998, 8, 66–76. [Google Scholar] [CrossRef]
- Wang, Y.; Xie, X.; Yu, K.; Min, C.; Cui, H.; Jin, Y.; Huang, W.; Zhan, B. Cl- dissolution and mechanical properties of PVA, CSA modified coral sand. Constr. Build. Mater. 2024, 411, 134666. [Google Scholar] [CrossRef]
- Li, G.; Wang, L.; Yu, J.; Yi, B.; He, C.; Wang, Z.; Leung, C.K.Y. Mechanical properties and material characterization of cement mortar incorporating CNT-engineered polyvinyl alcohol latex. Constr. Build. Mater. 2022, 345, 128320. [Google Scholar] [CrossRef]
- Fan, J.; Li, G.; Deng, S.; Wang, Z. Mechanical Properties and Microstructure of Polyvinyl Alcohol (PVA) Modified Cement Mortar. Appl. Sci. 2019, 9, 2178. [Google Scholar] [CrossRef]
- Khan, M.Z.N.; Hao, Y.; Hao, H.; Shaikh, F.U.A. Mechanical properties and behaviour of high-strength plain and hybrid-fiber reinforced geopolymer composites under dynamic splitting tension. Cem. Concr. Compos. 2019, 104, 103343. [Google Scholar] [CrossRef]
- He, H.; Zhi, X.; Fan, F.; Song, Y.; Zhang, R. Strain-rate-dependent performance of alkali-activated binder-based ultra-high strength concrete. J. Build. Eng. 2024, 94, 109911. [Google Scholar] [CrossRef]
- Lian, C.; Wang, Y.; Liu, S.; Hao, H.; Hao, Y. Experimental study on dynamic mechanical properties of fly ash and slag based alkali-activated concrete. Constr. Build. Mater. 2023, 364, 129912. [Google Scholar] [CrossRef]
- Luo, X.; Xu, J.-Y.; Li, W.; Bai, E. Effect of alkali-activator types on the dynamic compressive deformation behavior of geopolymer concrete. Mater. Lett. 2014, 124, 310–312. [Google Scholar] [CrossRef]
- Cong, X.; Zhou, W.; Elchalakani, M. Experimental study on the engineering properties of alkali-activated GGBFS/FA concrete and constitutive models for performance prediction. Constr. Build. Mater. 2020, 240, 117977. [Google Scholar] [CrossRef]
- Yao, W.; Xia, K.; Liu, Y.; Shi, Y.; Peterson, K. Dependences of dynamic compressive and tensile strengths of four alkali-activated mortars on the loading rate and curing time. Constr. Build. Mater. 2019, 202, 891–903. [Google Scholar] [CrossRef]
- Zhe, R.; Zhou, W. Study of dynamic mechanical properties of UHPC-AAC composites based on SHPB test. J. Build. Eng. 2023, 78, 107668. [Google Scholar] [CrossRef]
- Gai, W.; Dai, F.; He, B.; Zhou, C.; Wei, M.; Liu, Y. Influence of GGBFS and alkali activators on macro-mechanical performance and micro-fracture mechanisms of geopolymer concrete in split Hopkinson pressure bar tests. Constr. Build. Mater. 2024, 434, 136736. [Google Scholar] [CrossRef]
- Ayhan, B.; Lale, E. Modeling strain rate effect on tensile strength of concrete using damage plasticity model. Int. J. Impact Eng. 2022, 162, 104132. [Google Scholar] [CrossRef]
- Radeef, H.R.; Hassan, N.A.; Mahmud, M.Z.H.; Abidin, A.R.Z.; Jaya, R.P.; Ismail, C.R.; Abbas, H.F. Linear viscoelastic response of semi-circular asphalt sample based on digital image correlation and XFEM. Measurement 2022, 192, 110866. [Google Scholar] [CrossRef]
- Zhao, K.; He, Z.; Yang, J.; Yan, Y.; Yu, X.; Zhou, Y.; Zhang, X.; Wang, J. Investigation of failure mechanism of cement-fiber-tailings matrix composites using digital image correlation and acoustic emission. Constr. Build. Mater. 2022, 335, 127513. [Google Scholar] [CrossRef]
- Chen, C.; Chen, X.; Ning, Y. Identification of fracture damage characteristics in ultra-high performance cement-based composite using digital image correlation and acoustic emission techniques. Compos. Struct. 2022, 291, 115612. [Google Scholar] [CrossRef]
- Safa, K.; Gary, G. Displacement correction for punching at a dynamically loaded bar end. Int. J. Impact Eng. 2010, 37, 371–384. [Google Scholar] [CrossRef]
- Zhang, Y.; Lei, P.; Wang, L.; Yang, J. Effects of Strain Rate and Fiber Content on the Dynamic Mechanical Properties of Sisal Fiber Cement-Based Composites. J. Renew. Mater. 2023, 11, 393–410. [Google Scholar] [CrossRef]
- Kim, J.H.; Robertson, R.E. Prevention of air void formation in polymer-modified cement mortar by pre-wetting. Cem. Concr. Res. 1997, 27, 171–176. [Google Scholar] [CrossRef]
- Gan, X.; Zhu, Y.; Ma, K.; Li, L.; Lu, L. Water resistance, mechanical properties, hydration characteristic and microstructure of magnesium ammonium phosphate cement modified by polyvinyl alcohol powder. Constr. Build. Mater. 2024, 440, 137439. [Google Scholar] [CrossRef]
- Guo, S.-Y.; Zhang, X.; Chen, J.-Z.; Mou, B.; Shang, H.-S.; Wang, P.; Zhang, L.; Ren, J. Mechanical and interface bonding properties of epoxy resin reinforced Portland cement repairing mortar. Constr. Build. Mater. 2020, 264, 120715. [Google Scholar] [CrossRef]
- Zarybnicka, L.; Machotova, J.; Macova, P.; Machova, D.; Viani, A. Design of polymeric binders to improve the properties of magnesium phosphate cement. Constr. Build. Mater. 2021, 290, 123202. [Google Scholar] [CrossRef]
- Chen, M.; Si, H.; Fan, X.; Xuan, Y.; Zhang, M. Dynamic compressive behaviour of recycled tyre steel fibre reinforced concrete. Constr. Build. Mater. 2022, 316, 125896. [Google Scholar] [CrossRef]
- Szelag, M. Evaluation of cracking patterns of cement paste containing polypropylene fibers. Compos. Struct. 2019, 220, 402–411. [Google Scholar] [CrossRef]
- Xie, H.; Yang, L.; Zhang, X.; Li, T.; Huang, C.; Ma, L. Study on impact compression properties and failure characteristics of basalt fiber reinforced reactive powder concrete. J. Clean. Prod. 2025, 486, 144398. [Google Scholar] [CrossRef]
- He, J.; Zhu, M.; Sang, G.; Yu, S.; He, J. Effect of PVA latex powder and PP fiber on property of self-compacting alkali-activated slag repair mortar. Constr. Build. Mater. 2023, 408, 133703. [Google Scholar] [CrossRef]
- Cai, Y.; Ren, H.-Q.; Long, Z.-L.; Guo, R.-Q.; Du, K.-M.; Chen, S.-S.; Zheng, Z.-H. Comparison study on the impact compression mechanical properties of coral aggregate concrete and ordinary Portland concrete. Structures 2022, 44, 1403–1415. [Google Scholar] [CrossRef]
- Chen, M.; Yu, H.; Zhang, T.; Gao, P. Elucidating the role of siliceous iron tailing powder on dynamic compressive properties and fractal characteristics of ultra-high performance concrete. Powder Technol. 2025, 464, 121221. [Google Scholar] [CrossRef]
- Abazari, M.; Badeleh, S.M.; Barkhordari, S.; Mohammed, S.S.; Ahmed, M.M.; Mohammed Ameen, M.S.; Abdollahi, H. Preparation and characterization of polyvinyl alcohol thin films: Rheological, physicochemical and functional properties. Heliyon 2025, 11, e43604. [Google Scholar] [CrossRef]












| Composition | SiO2 | Al2O3 | Fe2O3 | CaO | TiO2 | K2O | O3 | MgO | P2O3 | Na2O |
|---|---|---|---|---|---|---|---|---|---|---|
| GGBS | 29.43 | 14.38 | 0.90 | 44.50 | 1.61 | 0.35 | 2.34 | 5.49 | 0.03 | 0.28 |
| FA | 48.70 | 35.90 | 5.06 | 3.88 | 0.70 | 1.36 | 0.80 | 0.61 | 0.50 | 0.38 |
| Methylation Degree | Viscosity | Volatile Matter | Purity | PH | Mesh Count | |
|---|---|---|---|---|---|---|
| PVA | 87.86 | 50.3 | 4.37 | 94.93 | 5.3 | 160 |
| GGBS | FA | PVA | Na2O | Water-Binder Ratio | |
|---|---|---|---|---|---|
| P0 | 80 | 20 | 0 | 3 | 0.4 |
| P1 | 2.5 | ||||
| P2 | 5 | ||||
| P3 | 7.5 | ||||
| P4 | 10 |
| Average Strain Rate (s−1) | Strain at Peak Stress (MPa) | Strain Rate at Peak Stress (×10−3) | Ultimate Strain (×10−3) | DCIF | Impact Energy (J/mm3) | |
|---|---|---|---|---|---|---|
| P0 | 25.22 | 25.57 | 4.60 | 5.57 | 0.37 | 35.82 |
| 75.63 | 44.54 | 5.96 | 18.03 | 0.65 | 238.05 | |
| 130.08 | 70.41 | 7.77 | 20.42 | 1.03 | 522.54 | |
| P1 | 29.68 | 37.47 | 4.79 | 6.24 | 0.57 | 152.54 |
| 84.02 | 83.40 | 9.34 | 15.6 | 1.28 | 805.18 | |
| 122.46 | 100.42 | 12.15 | 19.23 | 1.54 | 1054.91 | |
| P2 | 34.87 | 35.51 | 4.17 | 7.10 | 0.58 | 136.26 |
| 75.02 | 74.42 | 11.12 | 13.87 | 1.21 | 732.70 | |
| 112.94 | 93.61 | 12.09 | 17.47 | 1.52 | 934.84 | |
| P3 | 29.32 | 35.33 | 5.57 | 7.35 | 0.70 | 141.69 |
| 76.06 | 75.10 | 11.95 | 15.96 | 1.49 | 704.67 | |
| 106.83 | 91.34 | 13.54 | 22.22 | 1.82 | 790.00 | |
| P4 | 30.94 | 31.39 | 4.82 | 7.72 | 0.80 | 128.00 |
| 70.28 | 69.04 | 8.47 | 12.38 | 1.77 | 661.88 | |
| 100.54 | 80.12 | 12.50 | 23.24 | 2.05 | 684.02 |
Disclaimer/Publisher’s Note: The statements, opinions and data contained in all publications are solely those of the individual author(s) and contributor(s) and not of MDPI and/or the editor(s). MDPI and/or the editor(s) disclaim responsibility for any injury to people or property resulting from any ideas, methods, instructions or products referred to in the content. |
© 2025 by the authors. Licensee MDPI, Basel, Switzerland. This article is an open access article distributed under the terms and conditions of the Creative Commons Attribution (CC BY) license (https://creativecommons.org/licenses/by/4.0/).
Share and Cite
Chen, F.; Liu, Y.; Zhao, Y.; Li, B.; Zhang, Y.; Wei, Y.; Niu, K. Dynamic Mechanical Properties and Damage Evolution Mechanism of Polyvinyl Alcohol Modified Alkali-Activated Materials. Buildings 2025, 15, 3612. https://doi.org/10.3390/buildings15193612
Chen F, Liu Y, Zhao Y, Li B, Zhang Y, Wei Y, Niu K. Dynamic Mechanical Properties and Damage Evolution Mechanism of Polyvinyl Alcohol Modified Alkali-Activated Materials. Buildings. 2025; 15(19):3612. https://doi.org/10.3390/buildings15193612
Chicago/Turabian StyleChen, Feifan, Yunpeng Liu, Yimeng Zhao, Binghan Li, Yubo Zhang, Yen Wei, and Kangmin Niu. 2025. "Dynamic Mechanical Properties and Damage Evolution Mechanism of Polyvinyl Alcohol Modified Alkali-Activated Materials" Buildings 15, no. 19: 3612. https://doi.org/10.3390/buildings15193612
APA StyleChen, F., Liu, Y., Zhao, Y., Li, B., Zhang, Y., Wei, Y., & Niu, K. (2025). Dynamic Mechanical Properties and Damage Evolution Mechanism of Polyvinyl Alcohol Modified Alkali-Activated Materials. Buildings, 15(19), 3612. https://doi.org/10.3390/buildings15193612

