Effects of Levels of Realism on Perceived Distance in Computer-Simulated Urban Spaces
Abstract
1. Introduction
1.1. Practical Context and Relevance
1.2. Research Questions
- Main Question: How does the level of realism influence perceived distance in simulated urban spaces?
- Secondary questions:
- What is the relationship between perceived and objective distance?
- What differences might exist between perceived width, height, or depth in simulated urban spaces?
1.3. Research Significance
1.4. Research Hypotheses
1.5. Literature Review
1.5.1. Level of Realism (LOR)
1.5.2. Distance
2. Materials and Methods
2.1. Experiment Design
2.2. Participants
2.3. Independent and Dependent Variables
3. Results
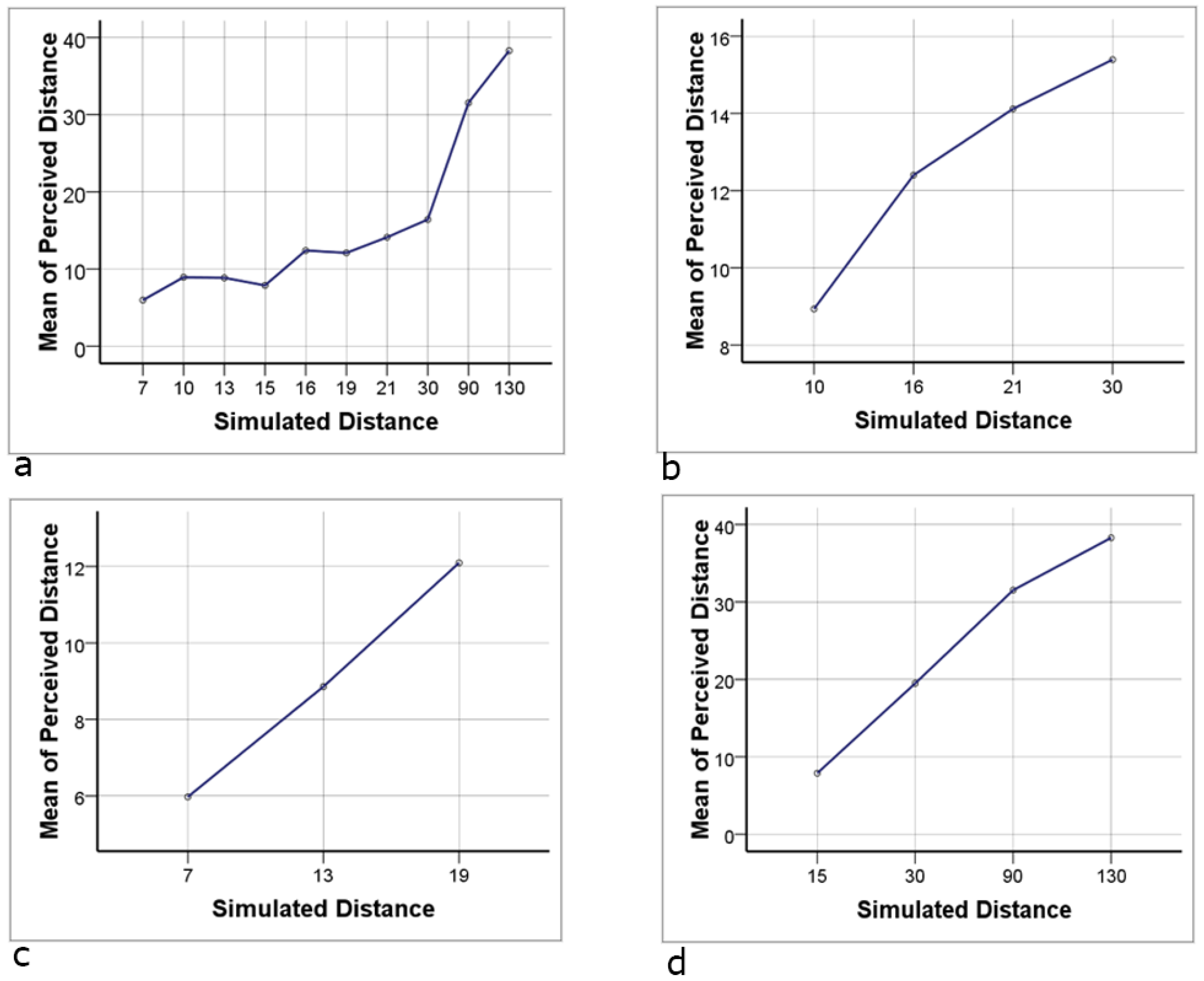
3.1. Perceived Distance
3.2. Compression
3.3. Regression Analysis
4. Discussion and Conclusions
4.1. Discussion
4.1.1. Overlaps with Prior Findings
4.1.2. Differentiations and Novel Contributions
4.1.3. Addressing Contradictory Evidence
4.2. Limitations
4.3. Conclusions
Funding
Institutional Review Board Statement
Informed Consent Statement
Data Availability Statement
Acknowledgments
Conflicts of Interest
References
- Stamps, A. Enclosure and Safety in Urbanscapes. Environ. Behav. 2005, 37, 102–133. [Google Scholar] [CrossRef]
- Abdelfattah, D.; Nasreldin, R. Perceptional Dimension Towards More Walkable Communities: An Assessment Tool Approach. J. Urban Res. 2019, 33, 172–183. [Google Scholar] [CrossRef]
- Yeganeh, M.; Kamalizadeh, M. Territorial behaviors and integration between buildings and city in urban public spaces of Iran’s metropolises. Front. Archit. Res. 2018, 7, 588–599. [Google Scholar] [CrossRef]
- Higuera-Trujillo, J.L.; Maldonado, J.L.-T.; Castilla, N.; Llinares, C. Architectonic Design Supported by Visual Environmental Simulation—A Comparison of Displays and Formats. Buildings 2024, 14, 216. [Google Scholar] [CrossRef]
- Cui, G.; Wang, M.; Fan, Y.; Xue, F.; Chen, H. Assessment of Health-Oriented Layout and Perceived Density in High-Density Public Residential Areas: A Case Study of Shenzhen. Buildings 2024, 14, 3626. [Google Scholar] [CrossRef]
- Haifler, Y.T.; Fisher-Gewirtzman, D. Spatial Parameters Determining Urban Wellbeing: A Behavioral Experiment. Buildings 2024, 14, 211. [Google Scholar] [CrossRef]
- Bosselmann, P. Dynamic Simulations of Urban Environments. In Environmental Simulation: Research and Policy Issues; Marans, R.W., Stokols, D., Eds.; Springer: Boston, MA, USA, 1993; pp. 279–302. [Google Scholar] [CrossRef]
- Clipson, C. Simulation for Planning and Design. In Environmental Simulation: Research and Policy Issues; Marans, R.W., Stokols, D., Eds.; Springer: Boston, MA, USA, 1993; pp. 23–57. [Google Scholar] [CrossRef]
- Kaplan, R. Physical Models in Decision Making for Design. In Environmental Simulation; Springer: Boston, MA, USA, 1993; pp. 61–86. [Google Scholar] [CrossRef]
- Bailly, A.S. Subjective distances and spatial representations. Geoforum 1986, 17, 81–88. [Google Scholar] [CrossRef][Green Version]
- Nguyen, T.D.; Ziemer, C.J.; Grechkin, T.; Chihak, B.; Plumert, J.M.; Cremer, J.F.; Kearney, J.K. Effects of scale change on distance perception in virtual environments. ACM Trans. Appl. Percept. 2008, 8, 1–18. [Google Scholar] [CrossRef]
- Jansen, P.; Wiedenbauer, G. Distance cognition in virtual environmental space: Further investigations to clarify the route-angularity effect. Psychol. Res. 2004, 70, 43–51. [Google Scholar] [CrossRef]
- O’Neill, M.J. Effects of familiarity and plan complexity on wayfinding in simulated buildings. J. Environ. Psychol. 1992, 12, 319–327. [Google Scholar] [CrossRef]
- Imamoglu, C. Complexity, liking and familiarity: Architecture and non-architecture Turkish students’ assessments of traditional and modern house facades. J. Environ. Psychol. 2000, 20, 5–16. [Google Scholar] [CrossRef]
- Hirtle, S.C.; Hudson, J. Acquisition of spatial knowledge for routes. J. Environ. Psychol. 1991, 11, 335–345. [Google Scholar] [CrossRef]
- Peruch, P.; Giraudo, M.-D.; Garling, T. Distance cognition by taxi drivers and the general public. J. Environ. Psychol. 1989, 9, 233–239. [Google Scholar] [CrossRef]
- Thompson, W.; Willemsen, P.; Gooch, A.; Creem-Regehr, S.; Loomis, J.; Beall, A. Does the Quality of the Computer Graphics Matter when Judging Distances in Visually Immersive Environments? Presence 2004, 13, 560–571. [Google Scholar] [CrossRef]
- Kunz, B.R.; Wouters, L.; Smith, D.; Thompson, W.B.; Creem-Regehr, S.H. Revisiting the effect of quality of graphics on distance judgments in virtual environments: A comparison of verbal reports and blind walking. Atten. Percept. Psychophys. 2009, 71, 1284–1293. [Google Scholar] [CrossRef]
- Szczepańska, A.; Kaźmierczak, R.; Myszkowska, M. Virtual Reality as a Tool for Public Consultations in Spatial Planning and Management. Energies 2021, 14, 6046. [Google Scholar] [CrossRef]
- Ehab, A.; Aladawi, A.; Burnett, G. Exploring AI-Integrated VR Systems: A Methodological Approach to Inclusive Digital Urban Design. Urban Sci. 2025, 9, 196. [Google Scholar] [CrossRef]
- Zhang, J.; Yu, Z.; Li, Y.; Wang, X. Uncovering Bias in Objective Mapping and Subjective Perception of Urban Building Functionality: A Machine Learning Approach to Urban Spatial Perception. Land 2023, 12, 1322. [Google Scholar] [CrossRef]
- Dane, G.; Evers, S.; Berg, P.v.D.; Klippel, A.; Verduijn, T.; Wallgrün, J.O.; Arentze, T. Experiencing the future: Evaluating a new framework for the participatory co-design of healthy public spaces using immersive virtual reality. Comput. Environ. Urban Syst. 2024, 114, 102194. [Google Scholar] [CrossRef]
- Schewenius, M.; Wallhagen, M. Virtual Reality in planning, design, and management of urban green and blue infrastructure. Front. Virtual Real. 2024, 5, 1432556. [Google Scholar] [CrossRef]
- Boos, U.C.; Reichenbacher, T.; Kiefer, P.; Sailer, C. An augmented reality study for public participation in urban planning. J. Locat. Based Serv. 2023, 17, 48–77. [Google Scholar] [CrossRef]
- Kouzeleas, S. Architectural and Urban Spatial Digital Simulations. Int. J. Eng. Model. 2024, 36, 95–118. [Google Scholar] [CrossRef]
- Creem-Regehr, S.H.; Stefanucci, J.K.; Bodenheimer, B. Perceiving distance in virtual reality: Theoretical insights from contemporary technologies. Philos. Trans. R. Soc. B 2023, 378, 20210456. [Google Scholar] [CrossRef] [PubMed]
- Zacharias, J. Preferences for view corridors through the urban environment. Landsc. Urban Plan. 1999, 43, 217–225. [Google Scholar] [CrossRef]
- Alkhresheh, M. Preference for void-to-solid ratio in residential facades. J. Environ. Psychol. 2012, 32, 234–245. [Google Scholar] [CrossRef]
- Al-Kodmany, K. Visualization Tools and Methods in Community Planning: From Freehand Sketches to Virtual Reality. J. Plan. Lit. 2002, 17, 189–211. [Google Scholar] [CrossRef]
- Lange, E. The limits of realism: Perceptions of virtual landscapes. Landsc. Urban Plan. 2001, 54, 163–182. [Google Scholar] [CrossRef]
- Ferwerda, J. Three Varieties of Realism in Computer Graphics. In Proceedings of the Human Vision and Electronic Imaging VIII, Santa Clara, CA, USA, 17 June 2003; Volume 5007. [Google Scholar] [CrossRef]
- Bosselmann, P. Representation of Places: Reality and Realism in City Design. 1998. Available online: https://api.semanticscholar.org/CorpusID:107906093 (accessed on 15 October 2022).
- Zahid, H.; Hijazi, I.; Donaubauer, A.; Kolbe, T.H. Enhancing Realism in Urban Simulations: A Mapping Framework for the German National Standard XPlanung and CityGML. In Recent Advances in 3D Geoinformation Science; Kolbe, T.H., Donaubauer, A., Beil, C., Eds.; Springer Nature: Cham, Switzerland, 2024; pp. 437–457. [Google Scholar]
- Newman, M.; Gatersleben, B.; Wyles, K.J.; Ratcliffe, E. The use of virtual reality in environment experiences and the importance of realism. J. Environ. Psychol. 2022, 79, 101733. [Google Scholar] [CrossRef]
- Jung, S.; Lindeman, R.W. Perspective: Does Realism Improve Presence in VR? Suggesting a Model and Metric for VR Experience Evaluation. Front. Virtual Real. 2021, 2, 693327. [Google Scholar] [CrossRef]
- Alkhresheh, M. Enclosure as a Function of Height-to-Width Ratio and Scale: Its Influence on User’s Sense of Comfort and Safety in Urban Street Space. Ph.D. Thesis, University of Florida, Gainesville, FL, USA, May 2007. [Google Scholar]
- Mondschein, A.; Blumenberg, E.; Taylor, B. Accessibility and Cognition: The Effect of Transport Mode on Spatial Knowledge. Urban Stud. 2010, 47, 845–866. [Google Scholar] [CrossRef]
- Napieralski, P.E.; Altenhoff, B.M.; Bertrand, J.W.; Long, L.O.; Babu, S.V.; Pagano, C.C.; Kern, J.; Davis, T.A. Near-field distance perception in real and virtual environments using both verbal and action responses. ACM Trans. Appl. Percept. 2011, 8, 1–19. [Google Scholar] [CrossRef]
- Plumert, J.M.; Kearney, J.K.; Cremer, J.F.; Recker, K. Distance perception in real and virtual environments. ACM Trans. Appl. Percept. 2005, 2, 216–233. [Google Scholar] [CrossRef]
- Serpa, A.; Muhar, A. Effects of plant size, texture and colour on spatial perception in public green areas—A cross-cultural study. Landsc. Urban Plan. 1996, 36, 19–25. [Google Scholar] [CrossRef]
- Seehamart, M.; Pueboobpaphan, S.; Pueboobpaphan, R. Actual walking distance vs. Perceived walking distance: Relationship and impact on determining acceptable walking distances to stations of the Bangkok Metro. Results Eng. 2025, 25, 104088. [Google Scholar] [CrossRef]
- Montello, D.R. The perception and cognition of environmental distance: Direct sources of information. In Spatial Information Theory A Theoretical Basis for GIS; Hirtle, S.C., Frank, A.U., Eds.; Springer: Berlin/Heidelberg, Germany, 1997; pp. 297–311. [Google Scholar]
- Al-Kodmany, K. Using Visualization Techniques for Enhancing Public Participation in Planning and Design: Process, Implementation, and Evaluation. Landsc. Urban Plan. 1999, 45, 37–45. [Google Scholar] [CrossRef]
- Smith, T.; Nelischer, M.; Perkins, N. Quality of an urban community: A framework for understanding the relationship between quality and physical form. Landsc. Urban Plan. 1997, 39, 229–241. [Google Scholar] [CrossRef]
- Nguyen, T.; Cremer, J.; Kearney, J.; Plumert, J. Effects of scene density and richness on traveled distance estimation in virtual environments. In Proceedings of the ACM SIGGRAPH Symposium on Applied Perception in Graphics and Visualization, Toulouse, France, 27–28 August 2011. [Google Scholar] [CrossRef]
- Karjalainen, E.; Tyrväinen, L. Visualization in forest landscape preference research: A Finnish perspective. Landsc. Urban Plan. 2002, 59, 13–28. [Google Scholar] [CrossRef]
- Zube, E.H.; Sell, J.L.; Taylor, J.G. Landscape perception: Research, application and theory. Landsc. Plan. 1982, 9, 1–33. [Google Scholar] [CrossRef]
- MacEachren, A.M. Travel time as the basis of cognitive distance∗. Prof. Geogr. 1980, 32, 30–36. [Google Scholar] [CrossRef]
- Crompton, A.; Brown, F. Distance Estimation in a Small-Scale Environment. Environ. Behav. 2006, 38, 656–666. [Google Scholar] [CrossRef]
- Pocock, D.C.D. City of the mind: A review of mental maps of urban areas. Scott. Geogr. Mag. 1972, 88, 115–124. [Google Scholar] [CrossRef]
- Yang, P.; Putra, S.; Chaerani, M. Computing the sense of time in urban physical environment. Urban Des. Int. 2007, 12, 115–129. [Google Scholar] [CrossRef]
- Kitchin, R.M. Cognitive maps: What are they and why study them? J. Environ. Psychol. 1994, 14, 1–19. [Google Scholar] [CrossRef]
- Korshunova-Fucci, V.; van Himbergen, F.F.; Fan, H.M.; Kohlrausch, A.; Cuijpers, R.H. Quantifying Egocentric Distance Perception in Virtual Reality Environment. Int. J. Hum. Comput. Interact. 2024, 40, 5431–5442. [Google Scholar] [CrossRef]
- Madsen, C.; Steinø, N.; Lucaci, A.; Sandkvist, E.; Jonstrup, A. Scale Perception in VR for Urban Scale Environments: 360° Photos versus Full 3D Virtual Reality. In Proceedings of the 6th International Conference on Computer-Human Interaction Research and Applications, Valletta, Malta, 27–28 October 2022; SCITEPRESS—Science and Technology Publications: Setúbal, Portugal, 2022; pp. 32–40. [Google Scholar] [CrossRef]
- Buck, L.; Paris, R.; Bodenheimer, B. Distance Compression in the HTC Vive Pro: A Quick Revisitation of Resolution. Front. Virtual Real. 2021, 2, 728667. [Google Scholar] [CrossRef]
- Zhang, J.; Yang, X.; Jin, Z.; Li, L. Distance Estimation in Virtual Reality Is Affected by Both the Virtual and the Real-World Environments. Iperception 2021, 12, 20416695211023956. [Google Scholar] [CrossRef]
- Vaziri, K.; Liu, P.; Aseeri, S.; Interrante, V. Impact of visual and experiential realism on distance perception in VR using a custom video see-through system. In Proceedings of the ACM Symposium on Applied Perception, New York, NY, USA, 16–17 September 2017; pp. 1–8. [Google Scholar] [CrossRef]
- Guzsvinecz, T.; Perge, E.; Szűcs, J. Examining the Results of Virtual Reality-Based Egocentric Distance Estimation Tests Based on Immersion Level. Sensors 2023, 23, 3138. [Google Scholar] [CrossRef]
- Lew, W.H.; Coates, D.R. The effect of target and background texture on relative depth discrimination in a virtual environment. Virtual Real. 2024, 28, 103. [Google Scholar] [CrossRef]
- Phillips, L.; Interrante, V. A little unreality in a realistic replica environment degrades distance estimation accuracy. In Proceedings of the 2011 IEEE Virtual Reality Conference, Washington, DC, USA, 19–23 March 2011; pp. 235–236. [Google Scholar] [CrossRef]
- Næss, P. Critical Realism, Urban Planning and Urban Research. Eur. Plan. Stud. 2015, 23, 1228–1244. [Google Scholar] [CrossRef]
- Brisotto, C.; Carney, J.; Foroutan, F.; Ochoa, K.S.; Schroder, W. Exploring the Role of AI in Urban Design Research: A Comparative Analysis of Analogical and Machine Learning Approaches. Plan J. 2023, 8, 237–264. [Google Scholar] [CrossRef]
- McGowin, G.; Fiore, S.M. Mind the Gap! Advancing Immersion in Virtual Reality—Factors, Measurement, and Research Opportunities. In Proceedings of the Human Factors and Ergonomics Society Annual Meeting, Phoenix, AZ, USA, 9–13 September 2024; Volume 68, pp. 1648–1654. [Google Scholar] [CrossRef]
- Stamps, A.E., III; Smith, S. Environmental Enclosure in Urban Settings. Environ. Behav. 2002, 34, 781–794. [Google Scholar] [CrossRef]
- Oselinsky, K.; Spitzer, A.N.; Yu, Y.; Ortega, F.R.; Malinin, L.H.; Curl, K.A.; Leach, H.; Graham, D.J. Virtual reality assessment of walking in a modifiable urban environment: A feasibility and acceptability study. Sci. Rep. 2023, 13, 5867. [Google Scholar] [CrossRef]
- Cullen, G. The Concise Townscape; Taylor & Francis: London, UK, 1961. [Google Scholar]
- Mouratidis, K. Urban planning and quality of life: A review of pathways linking the built environment to subjective well-being. Cities 2021, 115, 103229. [Google Scholar] [CrossRef]
- Pereira, M.F.; Santana, P.; Vale, D.S. The Impact of Urban Design on Utilitarian and Leisure Walking—The Relative Influence of Street Network Connectivity and Streetscape Features. Urban Sci. 2024, 8, 24. [Google Scholar] [CrossRef]
- Sharma, A. AI-Driven Virtual Reality Applications. SSRN Electron. J. 2015, 15, 465–473. [Google Scholar]








| Variable | Scale | Range | |
|---|---|---|---|
| Independent Variables | Simulated distance Level of realism Distance Orientation | Interval Ordinal Nominal | 7 m–130 m 1–4 (Masses –Articulated) Width, Height, Depth |
| Randomizing Variables | Space width Space depth Space height Space Type | Interval Interval Interval Nominal | 10 m–130 m 15 m–150 m 7 m–19 m Square, Street |
| Dependent Variable | Perceived distance | Interval | Responses range (0.01 m–1500 m) |
| Simulated Distance | Difference Ratio | ||
|---|---|---|---|
| Simulated Distance | Pearson Correlation Sig. (2-tailed) | 1 | 0.939 ** 0.000 |
| N | 216 | 216 | |
| Model Step | Predictors Included | R2 | ΔR2 | F-Change | p-Value | |
|---|---|---|---|---|---|---|
| 1 | Objective Distance | 0.88 | - | - | <0.001 | |
| 2 | +Level of Realism (LOR) | 0.94 | 0.06 | 213.0 | <0.001 | |
| 3 | +Distance Orientation | 0.95 | 0.006 | 23.6 | <0.001 | |
| 4 | +Distance × LOR | 0.956 | 0.006 | 11.7 | <0.001 | |
| Model | R | R Square | Adjusted R Square | Std. Error of the Estimate | ||
| 1 | 0.972 | 0.946 | 0.945 | 5.62379 | ||
| Standardized | ||||||
| Unstandardized Coefficients | Coefficients | |||||
| Model | B | Std. Error | Beta | t | Sig. | |
| (Constant) | 9.840 | 1.531 | 6.428 | 0.000 | ||
| Simulated Distance | 0.725 | 0.013 | 0.927 | 54.126 | 0.000 | |
| LOR Two groups | −11.915 | 0.765 | −0.250 | −15.569 | 0.000 | |
| Distance Type | 1.015 | 0.501 | 0.035 | 2.027 | 0.044 | |
Disclaimer/Publisher’s Note: The statements, opinions and data contained in all publications are solely those of the individual author(s) and contributor(s) and not of MDPI and/or the editor(s). MDPI and/or the editor(s) disclaim responsibility for any injury to people or property resulting from any ideas, methods, instructions or products referred to in the content. |
© 2025 by the author. Licensee MDPI, Basel, Switzerland. This article is an open access article distributed under the terms and conditions of the Creative Commons Attribution (CC BY) license (https://creativecommons.org/licenses/by/4.0/).
Share and Cite
Alkhresheh, M. Effects of Levels of Realism on Perceived Distance in Computer-Simulated Urban Spaces. Buildings 2025, 15, 3565. https://doi.org/10.3390/buildings15193565
Alkhresheh M. Effects of Levels of Realism on Perceived Distance in Computer-Simulated Urban Spaces. Buildings. 2025; 15(19):3565. https://doi.org/10.3390/buildings15193565
Chicago/Turabian StyleAlkhresheh, Majdi. 2025. "Effects of Levels of Realism on Perceived Distance in Computer-Simulated Urban Spaces" Buildings 15, no. 19: 3565. https://doi.org/10.3390/buildings15193565
APA StyleAlkhresheh, M. (2025). Effects of Levels of Realism on Perceived Distance in Computer-Simulated Urban Spaces. Buildings, 15(19), 3565. https://doi.org/10.3390/buildings15193565
