Harnessing Large Language Models for Digital Building Logbook Implementation
Abstract
1. Introduction
1.1. Background
1.2. Digital Building Logbooks
1.3. Related Information Systems: PMIS and BIM
1.4. The Challenge of Standardization
1.5. Large Language Models for DBL Data
- Semantic understanding of unstructured text: LLMs interpret natural language descriptions of buildings and projects. For instance, an LLM can parse a maintenance log and identify structured elements (e.g., date of inspection, system type, action taken, next due date). This ability to extract structured facts from free-form text allows capturing qualitative records and transform them into structured and quantitative data [26].
- Adaptability to varied document formats: Unlike traditional software that might expect data in a specific layout, LLMs can handle information in many forms [27], such as text documents, emails, scanned images, etc. LLMs regularly integrate the use of optical character recognition (OCR) and image analysis tools, enabling the interpretation of scanned or photographed documents [28]. This capability can be applied to DBLs: old-paper records or blueprints can be digitized and then parsed by LLMs to populate the logbook.
- Learning from examples: A powerful aspect of LLMs is their capacity to learn from examples and improve with more data. The technique called few-shot learning allows for transforming information into structured datasets by inferring patterns based on only few examples [29]. For example, a few-shot learning approach could provide the model with examples of how a building record should be transformed into structured output, teaching it to generalize this to new inputs. This is particularly valuable for DBLs, since buildings are highly heterogeneous.
- Learning from external sources: LLMs could be used to search for additional resources external to the DBLs, such as local building codes and regulations, and compare this with the information within the DBLs [30]. This could allow for identifying different correlations between regions with different codes or detecting non-compliance with legal documents. Other external information resources that could be associated with DBLs include weather archives, real estate data, and geological reports. Hence, by including a greater amount of non-structured text in the DBL, more nuanced understanding can be achieved via such comparisons.
1.6. Advances in AI for Structural and Building Assessment
1.7. Research Objectives
- We examine initiatives from the healthcare sector, where LLMs have been applied to unstructured electronic health records (EHRs) and other resources for diagnostics, prognosis, and treatment support. These case studies demonstrate how LLMs can be used similarly for unstructured DBLs.
- We demonstrate a proof-of-concept workflow by testing the abilities of an LLM to extract organized information from building inspection reports written in free form. The methodology for this analysis is detailed in Section 3.
2. Cross-Domain Insights: LLMs in Healthcare Records
3. Methodology
3.1. Data and Sampling
3.2. Workflow Overview
- Stage 1—Descriptive summarization:
- Extract key information from unstructured text using natural language understanding.
- Organize findings into standardized categories relevant to building condition assessment.
- Generate human-readable summaries that preserve technical context and nuance.
- Stage 2—Data structuring and quantification:
- Convert qualitative descriptions into quantitative, database-ready fields.
- Apply consistent classification schemes across diverse input formats.
- Generate structured datasets suitable for statistical analysis and ML.
- Stage 3—Risk level assessment:
- Synthesize multi-dimensional information into actionable insights.
- Provide standardized risk evaluations that can inform decision-making processes.
- Enable comparative analysis across different buildings and time periods.
3.3. LLM Processing
- Descriptive summary generation: The full, cleaned report text is passed to the LLM with strict prompting instructions and returns a structured summary in the form of: (i) Building Overview, (ii) Observations, (iii) Structural Analysis, and (iv) Recommendations.
- Structured attribute extraction: the same report text is then re-submitted to the model with a second prompt that demands a valid Python dictionary. Required keys include number of stories, foundation type, soil type, and binary presence of corrosion, cracking, and moisture issues and their severity on a 1–5 scale. Constraining the output ensures that every value is machine-readable, normalized, and ready for statistical analysis.
- Conclusion and risk level: A third prompt feeds the model the descriptive summary from previous stages. The LLM is asked to synthesize these inputs into a brief risk conclusion and an overall risk score on a 1–10 scale, where 1 signifies minimal concern and 10 denotes critical urgency. This 1–10 scale was chosen for its simplicity and interpretability, providing sufficient granularity while allowing straightforward mapping into categorical bands (low, moderate, high) commonly used in risk communication
3.4. Evaluation and Reliability Assessment
- For each numeric or ordinal field (e.g., cracking severity, moisture severity), statistics such as mean, standard deviation, and min/max were computed.
- For each categorical field, qualitative values (e.g., Building Type, Soil Type, Foundation Type) were compared.
- For the descriptive summary, a random subset of the data was manually checked. In addition, all of the data was evaluated by an LLM via a separate pass, focusing on semantic stability and overall coherence across repeated runs.
4. Results
4.1. Initial Run
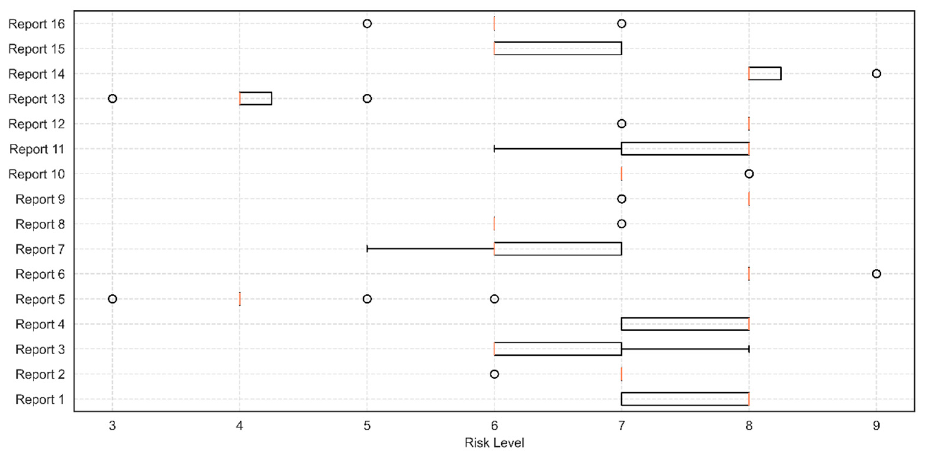
4.2. Consistency Across Runs
- 14 of 16 (87.5%) reports have a standard deviation of 0.60 or below, indicating minimal variability.
- 10 reports fluctuate by only one risk-level stage, a spread that would be indistinguishable to a human assessor, and five reports show a two-point swing.
- Report 5 is the lone outlier, spanning three points (3–6). Closer inspection shows that 17 of the 20 runs returned the same score (4), only one run each produced levels 3, 5, and 6.
4.3. LLM-Based Evaluation of Summary Consistency
4.4. Evaluation of Coupled Report Consistency
- Building Stories and Building Use matched perfectly in all pairs, confirming reproducibility for clearly defined attributes.
- Building Area was consistent except in two pairs (Reports 6 and 14), where the source alternated between “empty” and “Not specified,” reflecting input ambiguity rather than extraction error.
- Foundation Type showed close semantic alignment despite minor wording differences (“Shallow” vs. “Shallow footings”, “Raft” vs. “Slab”).
- Soil Type matched exactly in six pairs, with only descriptive variations (“sand” vs. “sandy”) in the remainder.
- Boolean fields (Reinforcement Corrosion?, Cracking?, Moisture Issues?) achieved 100% agreement across all pairs.
- For corrosion severity, six pairs achieve perfect agreement (100% exact matches, MAE = 0), while the two remaining pairs still show high concordance (90% and 80%, MAE = 0.20).
- Cracking severity: Six pairs exceeded 90% matches; the lowest results (Pairs 3–11 and 7–15) still differed by only one level (MAE = 1.00 and 0.95).
- Moisture severity follows the same pattern, six pairs surpassed 90% agreement, and the largest deviation remained within ±1 level (MAE ≤ 1.0).
- All disagreements were confined ±1 level, indicating that the LLM delivers semantically robust extractions with only minor, interpretable deviations.
4.5. Token Usage and Execution Time
5. Discussion
5.1. Demonstration of LLM-Based Data Extraction
5.2. Implications for Research and Practice
5.3. Practical Implications
- Policy makers: The pipeline provides a scalable mechanism to harmonize heterogeneous building data without requiring immediate consensus on international standards, thus accelerating DBL adoption.
- Facility managers: Automated extraction of structured maintenance and inspection insights can improve asset monitoring, prioritize interventions, and reduce operational costs.
- Engineers and practitioners: Risk evaluation outputs generated consistently within seconds offer actionable insights that can guide rehabilitation strategies, compliance checks, and project planning.
- Building owners and investors: More transparent, standardized records increase confidence in long-term asset performance, valuation, and sustainability compliance.
5.4. Limitations and Future Research
6. Conclusions
Author Contributions
Funding
Data Availability Statement
Acknowledgments
Conflicts of Interest
Abbreviations
| DBL | Digital building logbook |
| LLM | Large language model |
| AEC | Architecture, engineering and construction |
| EU | European Union |
| ML | Machine learning |
| AI | Artificial Intelligence |
| BIM | Building information model |
| HVAC | Heating, ventilation and air-conditioning |
| EHR | Electronic healthcare record |
| OCR | Optical character recognition |
Appendix A
- Table A1—narrative outputs, including building overviews, observations, structural analyses, recommendations, and token counts and execution time.
- Table A2—summarizes the structured attributes extracted in the same run, covering building stories, use, area, foundation type, soil type, cracking, corrosion, and moisture conditions, and token counts and execution time.
- Table A3—presents the LLM-generated risk summaries and assigned risk levels, reflecting how the pipeline interprets and categorizes building conditions, and token counts and execution time.
| Model | Building Overview | Observations | Structural Analysis | Recommendations | Tokens | Execution Time (s) |
|---|---|---|---|---|---|---|
| 1 | The building is a six-story residential apartment constructed in 1976 with a reinforced concrete structure, shallow foundations, and masonry infill walls. | Cracks in masonry walls and columns, water infiltration, and rust staining suggest settlement and potential reinforcement corrosion. | Shallow foundations, age, and poor drainage likely contribute to settlement and differential movement, with active settlement indicated by crack patterns. | Monitor cracks with gauges, repair cracks over 0.5 cm with epoxy, inspect roof drainage, and conduct further analysis for basement slab corrosion. | 832 | 2.33 |
| 2 | The subject property is a four-story commercial building constructed in 1983 with a steel frame structure and concrete slab foundation. | Hairline cracks and water seepage were noted on the exterior, while vertical cracks and rust staining were observed in the basement, along with ceiling sagging on the first floor. | Cracks and sagging indicate differential settlement, and rust staining suggests potential steel reinforcement corrosion requiring core sampling. | Install crack monitors, repair window seals, analyze first-floor ceiling, and implement a phased repair plan with ongoing monitoring every three months. | 678 | 2.37 |
| 3 | The property is a 3-story house built in 1986 with an area of 260 m2, featuring concrete walls and natural rock exterior covering. | Rock elements have fallen in some exterior areas, and minor hairline cracks are observed in the slabs and walls inside the house. | The soil is fat clay with differential heaving, and the piles were driven to a shallow depth of 8 m, contributing to the cracking. | A new foundation system should be designed and built to strengthen the existing one, and rock elements should be removed to inspect the main columns. | 559 | 2.94 |
| 4 | The subject property is a seven-story residential complex constructed in 1992 with reinforced concrete, a raft foundation, and brick masonry walls. | Vertical cracks, spalling concrete, ceiling sag, horizontal cracks with moisture seepage, and a basement gap with moisture intrusion were observed. | The ceiling sag suggests potential beam deflection due to excessive load or corrosion, and the horizontal cracks indicate possible differential movement from foundation settlement. | Immediate shoring of the third-floor ceiling, moisture testing on the fifth floor, crack monitoring, core sampling for corrosion, and phased repairs are recommended. | 709 | 2.13 |
| 5 | The subject property is a seven-story residential complex constructed in 1992 with prefabricated reinforced concrete elements and a raft foundation. | No cracks were found during the visual inspection of the exterior lower stories or in the two inspected apartments. | The finite-element model indicates no immediate risk of structural failure, but the wall removal is non-compliant with building codes and may lead to large deformations. | The wall should be rebuilt or replaced with a steel beam under the supervision of an experienced structural engineer as soon as possible. | 582 | 2.55 |
| 6 | The building is a 12-story structure with a basement parking area, made of reinforced concrete, with shallow foundations and built approximately 20 years ago. | Three major vertical cracks, 1–2 cm wide, were observed in adjacent columns at the ground level, exposing reinforcement bars. | The vertical cracking in columns suggests potential axial loading issues or foundation-related movements, posing a severe risk to structural integrity. | Immediate actions include moving heavy objects, restricting access, treating exposed rebar, adding external jackets to columns, and considering evacuation if repairs are delayed. | 886 | 2.83 |
| 7 | The property is a single-story residential dwelling built in 2008 with concrete block walls and a reinforced concrete roof slab on a shallow footing system. | A significant horizontal crack was observed on the southern wall, with varying widths and slight vertical displacement, along with elevated moisture content and clay-rich soil showing signs of wetting and drying cycles. | The findings suggest foundation movement likely due to soil heave or settlement caused by volume changes in the clay-rich soil, possibly exacerbated by poor drainage. | Evaluate surface drainage around the southern elevation to prevent excessive wetting and schedule a follow-up inspection after winter to monitor the situation. | 726 | 3.00 |
| 8 | The building is a 3-story commercial structure built in 1997 with brick walls and a reinforced concrete frame, located less than 2 km from the sea with a high groundwater level. | Cracks in the brick walls are primarily diagonal and stepped, occurring near openings, with moisture levels slightly elevated, and some separation at the brick-concrete interface. | The cracking is likely due to localized differential movement, thermal effects, and moisture issues influenced by the building’s age, construction, and proximity to the marine environment. | Conduct a thermographic survey, remove and inspect sections of brickwork, and analyze mortar samples to determine necessary repairs. | 919 | 2.72 |
| 9 | The building is a 6-story residential apartment constructed in 1976 with a reinforced concrete structure and shallow footings, featuring masonry infill walls. | Cracks ranging from 0.5 cm to 1 cm wide were observed in masonry walls near columns and windows, with water infiltration and rust staining also noted. | The building’s shallow foundations, age, and poor drainage have contributed to settlement and differential movement, with ongoing monitoring required due to active settlement signs. | Immediate monitoring of cracks is advised, along with a detailed structural analysis and repairs to drainage systems and cracks over 0.5 cm under engineering supervision. | 875 | 3.92 |
| 10 | A four-story commercial building built in 1983 with a steel frame core and a thick concrete slab foundation was visually inspected for structural evaluation. | Hairline cracks in masonry walls, water seepage near windows, significant basement cracks, ceiling sag, and rust staining on basement beams were observed. | The observed structural issues, including cracks and sagging, appear to result from differential settlement in the raft foundation. | Immediate crack monitoring, core sampling, structural analysis of the first-floor ceiling, window seal repairs, and ongoing monitoring every 3 months are recommended. | 691 | 2.17 |
| 11 | The property is a three-story residential house built in 1986 with an area of 260 m2, featuring a rock façade. | Minor hairline cracks are present in the walls and ceilings, and differential surface settlement is observed in the garden. | The current 8 m-deep pile foundation is inadequate for resisting clay heaving, likely causing differential movement and cracking. | A new foundation system with significantly deeper piles is recommended, and façade elements should be removed for column inspection. | 610 | 2.57 |
| 12 | The building is a 7-story residential complex with a basement, constructed in 1992 using reinforced concrete and brick walls, and features a slab foundation. | Vertical cracks on the eastern façade and minor concrete spalling near the roof parapet were noted, along with ceiling sag and horizontal cracks with moisture seepage on the third and fifth floors, respectively. | The ceiling sag on the third floor suggests potential beam deflection, while the horizontal cracks on the fifth floor indicate possible differential movement due to foundation settlement. | Immediate shoring of the third-floor ceiling is necessary, along with moisture testing on the fifth floor, installation of crack monitors, core sampling for corrosion evaluation, and phased repairs focusing on structural deformation and moisture intrusion. | 777 | 3.64 |
| 13 | The building is a seven-story structure with four apartments per story, made of prefabricated concrete elements, constructed in 1992 with a slab foundation. | No cracks were found in the exterior of the lower stories or in the two inspected apartments. | The analytical computer model indicates no immediate risk of structural failure, but the wall removal is not compliant with building codes. | The structure’s integrity should be restored by rebuilding the wall or designing a structural replacement, requiring design and supervision by an experienced structural engineer. | 586 | 2.39 |
| 14 | The building is a 12-story reinforced concrete structure with a single-story basement parking facility, constructed approximately 20 years ago. | Three significant vertical cracks, measuring 1–2 cm wide, were observed in adjacent ground-level columns, with reinforcement bars exposed. | The root cause of the cracking is undetermined, but may involve axial loading issues or foundation-related movements, posing a risk to structural integrity. | Immediate actions include restricting access, treating exposed rebar, reinforcing columns, and possibly evacuating residents if permanent repairs are delayed. | 888 | 5.96 |
| 15 | The building is a single-story residential dwelling built in 2008 with load-bearing concrete block walls and a reinforced concrete roof slab. | A significant horizontal crack, 6 m long and 2–5 mm wide, was observed on the southern wall, with slight vertical displacement and elevated moisture content. | The crack is likely due to foundation movement caused by soil cyclic heave and settlement in clay-rich soil. | Evaluate and improve surface drainage around the southern elevation and conduct another inspection after winter to monitor the condition. | 640 | 1.99 |
| 16 | The building is a three-story commercial structure built in 1997, featuring masonry brick walls, concrete columns and slabs, and a foundation system of 15–20 m-deep piles on sandy soil near the sea with a high groundwater level. | Cracks are mainly diagonal on the first and second floors, originating near openings, with widths ranging from 1 mm to 3 mm, and minor vertical cracks at wall intersections, with moisture levels slightly elevated compared to unaffected areas. | The cracking seems to result from localized differential movement, thermal effects, and moisture issues due to the building’s age, construction, and marine environment location with a high groundwater table. | Further investigations, including a thermographic survey, localized material inspection, and mortar analysis, are essential to fully understand the cracking causes and to provide detailed repair instructions. | 983 | 2.91 |
| Model | Building Stories | Building Use | Building Area | Foundation Type | Soil Type | Reinforcement Corrosion? | Corrosion Severity | Cracking? | Cracking Severity | Moisture Issues? | Moisture Severity | Total Tokens | Execution Time |
|---|---|---|---|---|---|---|---|---|---|---|---|---|---|
| 1 | 6 | Residential | Shallow | 1 | 3 | 1 | 4 | 1 | 3 | 887 | 3.61 | ||
| 2 | 4 | Commercial | Concrete slab | 1 | 3 | 1 | 3 | 1 | 2 | 736 | 3.41 | ||
| 3 | 3 | Residential | 260 | Piles | Fat Clay | 0 | 0 | 1 | 3 | 0 | 0 | 558 | 2.92 |
| 4 | 7 | Residential | Raft | 1 | 3 | 1 | 4 | 1 | 3 | 753 | 3.58 | ||
| 5 | 7 | Residential | Raft | 0 | 0 | 0 | 631 | 3.89 | |||||
| 6 | 12 | Residential | Not specified | Shallow foundations | Over-consolidated clay | 1 | 5 | 1 | 5 | 0 | 0 | 893 | 3.07 |
| 7 | 1 | Residential | Shallow reinforced concrete footing | Clay-rich | 0 | 1 | 4 | 1 | 3 | 750 | 9.28 | ||
| 8 | 3 | Commercial | Piles | Sandy | 0 | 1 | 3 | 1 | 3 | 946 | 3.94 | ||
| 9 | 6 | Residential | Shallow footings | 1 | 3 | 1 | 4 | 1 | 3 | 910 | 3.89 | ||
| 10 | 4 | Commercial | Concrete Slab | 1 | 3 | 1 | 3 | 1 | 2 | 736 | 3.59 | ||
| 11 | 3 | Residential | 260 | Pile | Fat Clay | 0 | 0 | 1 | 2 | 0 | 0 | 627 | 2.48 |
| 12 | 7 | Residential | Slab | 1 | 3 | 1 | 4 | 1 | 3 | 788 | 3.75 | ||
| 13 | 7 | Residential | Slab | 0 | 1 | 0 | 1 | 0 | 1 | 610 | 2.96 | ||
| 14 | 12 | Residential | Not specified | Shallow | Over-consolidated clay | 1 | 5 | 1 | 5 | 0 | 0 | 895 | 2.71 |
| 15 | 1 | Residential | Shallow reinforced concrete footing | Clay | 0 | 1 | 3 | 1 | 3 | 688 | 3.92 | ||
| 16 | 3 | Commercial | Piles | Sand | 0 | 1 | 3 | 1 | 2 | 977 | 4.28 |
| Model | Summary | Overall Risk Level | Total Tokens | Execution Time |
|---|---|---|---|---|
| 1 | The building, a six-story residential apartment constructed in 1976, exhibits significant structural issues. Observations indicate cracks in masonry walls and columns, water infiltration, and rust staining, suggesting settlement and potential reinforcement corrosion. Structural analysis points to shallow foundations, age, and poor drainage as contributing factors to settlement and differential movement. Active settlement is indicated by crack patterns. Recommendations include monitoring cracks, repairing significant ones, inspecting roof drainage, and further analysis for basement slab corrosion. | 7 | 557 | 3.22 |
| 2 | The building is a four-story commercial structure with notable structural concerns. Observations include hairline cracks and water seepage on the exterior, vertical cracks, and rust staining in the basement, and ceiling sagging on the first floor. These issues suggest differential settlement and potential steel reinforcement corrosion. Immediate actions recommended include installing crack monitors, repairing window seals, analyzing the first-floor ceiling, and implementing a phased repair plan with ongoing monitoring every three months. | 7 | 555 | 3.36 |
| 3 | The building is a 3-story residential house with a concrete structure and natural rock exterior, built in 1986. It is experiencing structural issues due to differential heaving of the fat clay soil and shallow pile foundations, leading to hairline cracks in slabs and walls. Rock elements have fallen in some exterior areas. A new foundation system is recommended to address these issues. | 7 | 550 | 2.76 |
| 4 | The seven-story residential building constructed in 1992 exhibits significant structural issues, including vertical and horizontal cracks, spalling concrete, ceiling sag, and moisture intrusion. These issues suggest potential foundation settlement, beam deflection, and reinforcement corrosion. Immediate interventions such as shoring, moisture testing, crack monitoring, and phased repairs are recommended to mitigate risks. | 8 | 541 | 3.13 |
| 5 | The seven-story residential building, constructed with prefabricated reinforced concrete elements and a raft foundation, shows no visible cracks or moisture issues. However, a structural analysis reveals that a non-compliant wall removal could lead to large deformations, posing a potential risk. Immediate action is recommended to rebuild the wall or replace it with a steel beam under professional supervision. | 5 | 530 | 2.63 |
| 6 | The 12-story residential building, constructed with reinforced concrete and shallow foundations, exhibits severe structural risks. Major vertical cracks in ground-level columns expose reinforcement bars, indicating potential axial loading issues or foundation movements. This poses a significant threat to structural integrity, necessitating immediate remedial actions such as restricting access, treating exposed rebar, and reinforcing columns. Evacuation should be considered if repairs are delayed. | 9 | 561 | 4.48 |
| 7 | The building is a single-story residential dwelling with a significant horizontal crack on the southern wall, likely due to foundation movement from soil heave or settlement. The clay-rich soil and poor drainage contribute to elevated moisture content, increasing the risk of structural issues. | 7 | 540 | 2.09 |
| 8 | The building, a 3-story commercial structure built in 1997, exhibits diagonal and stepped cracks near openings due to differential movement, thermal effects, and moisture issues. Its proximity to the sea and high groundwater level contribute to these issues. Moisture levels are slightly elevated, and there is some separation at the brick-concrete interface. Recommendations include conducting a thermographic survey and inspecting brickwork and mortar samples. | 6 | 569 | 2.78 |
| 9 | The 6-story residential building, constructed in 1976 with a reinforced concrete structure and shallow footings, exhibits significant structural concerns. Notable issues include cracks in masonry walls, water infiltration, and rust staining, indicating reinforcement corrosion. The building’s age, shallow foundations, and poor drainage contribute to ongoing settlement and differential movement, necessitating immediate monitoring and repairs. | 7 | 560 | 2.79 |
| 10 | The building, a four-story commercial structure built in 1983, exhibits several structural issues including significant basement cracks, ceiling sag, and rust staining on basement beams. These issues are likely due to differential settlement in the raft foundation. There are also signs of reinforcement corrosion and moisture problems. Immediate actions such as crack monitoring, core sampling, and window seal repairs are recommended, along with ongoing monitoring every 3 months. | 7 | 555 | 3.65 |
| 11 | The three-story residential building, constructed in 1986, exhibits minor hairline cracks and differential settlement due to inadequate pile foundation depth for the clay soil. Structural integrity is compromised, necessitating a new foundation system with deeper piles and further inspection of façade elements. | 7 | 510 | 2.48 |
| 12 | The 7-story residential building, constructed in 1992, exhibits significant structural concerns. Notable issues include vertical cracks on the eastern façade, concrete spalling near the roof, ceiling sag on the third floor, and horizontal cracks with moisture seepage on the fifth floor. These issues suggest potential beam deflection, differential movement due to foundation settlement, and possible reinforcement corrosion. Immediate shoring and further investigations are recommended to address structural deformation and moisture intrusion. | 7 | 600 | 6.06 |
| 13 | The building is a seven-story residential structure made of prefabricated concrete, constructed in 1992. No cracks were found in the exterior or inspected apartments, and there are no immediate risks of structural failure. However, a wall removal is non-compliant with building codes, necessitating structural restoration by an experienced engineer. | 4 | 526 | 2.88 |
| 14 | The 12-story residential building, constructed 20 years ago, exhibits significant structural concerns. Three vertical cracks with exposed reinforcement bars were observed in ground-level columns, indicating potential axial loading issues or foundation-related movements. The corrosion severity is high, and immediate actions are recommended to restrict access, treat the exposed rebar, and reinforce the columns. Evacuation may be necessary if repairs are delayed. | 8 | 553 | 2.05 |
| 15 | The building is a single-story residential dwelling with a significant horizontal crack on the southern wall, likely due to foundation movement from soil heave and settlement in clay-rich soil. The crack shows slight vertical displacement and elevated moisture content. Recommendations include improving surface drainage and conducting a follow-up inspection after winter. | 6 | 525 | 2.92 |
| 16 | The building, a three-story commercial structure built in 1997, exhibits diagonal cracks on the first and second floors, likely due to localized differential movement, thermal effects, and moisture issues. The marine environment and high groundwater table contribute to these issues. Further investigations are recommended to fully understand the causes and provide repair instructions. | 6 | 588 | 1.93 |
References
- Kelleher, J.D.; Tierney, B. Data Science; MIT Press: Cambridge, MA, USA, 2018; ISBN 9780262535434. [Google Scholar]
- Yarkoni, T.; Westfall, J. Choosing Prediction Over Explanation in Psychology: Lessons from Machine Learning. Perspect. Psychol. Sci. 2017, 12, 1100–1122. [Google Scholar] [CrossRef]
- Hardin, G. The Tragedy of the Commons: The Population Problem Has No Technical Solution; It Requires a Fundamental Extension in Morality. Science 1968, 162, 1243–1248. [Google Scholar] [CrossRef]
- European Commission. Definition of the Digital Building Logbook: Report 1 of the Study on the Development of a European Union Framework for Buildings’ Digital Logbook; Publications Office of the European Union: Luxembourg, 2020. [Google Scholar] [CrossRef]
- Gómez-Gil, M.; Sesana, M.M.; Salvalai, G.; Espinosa-Fernández, A.; López-Mesa, B. The Digital Building Logbook as a Gateway Linked to Existing National Data Sources: The Cases of Spain and Italy. J. Build. Eng. 2023, 63, 105461. [Google Scholar] [CrossRef]
- Malinovec Puček, M.; Khoja, A.; Bazzan, E.; Gyuris, P. A Data Structure for Digital Building Logbooks: Achieving Energy Efficiency, Sustainability, and Smartness in Buildings across the EU. Buildings 2023, 13, 1082. [Google Scholar] [CrossRef]
- Gómez-Gil, M.; Espinosa-Fernández, A.; López-Mesa, B. Review and Analysis of Models for a European Digital Building Logbook. Energies 2022, 15, 1994. [Google Scholar] [CrossRef]
- Signorini, M.; Dejaco, M.C.; Lupica Spagnolo, S. The Evolution of Digital Building Logbook: Exploring Building Information Gathering Systems to Boost Building Maintenance and Renovation. Appl. Sci. 2025, 15, 771. [Google Scholar] [CrossRef]
- Alonso, R.; Olivadese, R.; Ibba, A.; Recupero, D.R. Towards the Definition of a European Digital Building Logbook: A Survey. Heliyon 2023, 9, e19285. [Google Scholar] [CrossRef]
- Ugliotti, F.M.; Stradiotto, E. Integrating EPC Data into OpenBIM Workflows: A Methodological Approach for the Digital Building Logbook. Sustainability 2025, 17, 6005. [Google Scholar] [CrossRef]
- Beltrán-Velamazán, C.; Gómez-Gil, M.; Monzón-Chavarrías, M.; Espinosa-Fernández, A.; López-Mesa, B. Harnessing Open European Data for a Data-Driven Approach to Enhancing Decarbonization Measurement in the Built Environment. Environ. Clim. Technol. 2024, 28, 776–793. [Google Scholar] [CrossRef]
- Mêda, P.; Fauth, J.; Schranz, C.; Sousa, H.; Urban, H. Twinning the Path of Digital Building Permits and Digital Building Logbooks—Diagnosis and Challenges. Dev. Built Environ. 2024, 20, 100573. [Google Scholar] [CrossRef]
- Mêda, P.; Calvetti, D.; Sousa, H.; Moreira, J. Data Discovery for Digital Building Logbook (DBL): Directly Implementing and Enabling a Smarter Urban Built Environment. Urban Sci. 2024, 8, 160. [Google Scholar] [CrossRef]
- Lee, S.-K.; Yu, J.-H. Success Model of Project Management Information System in Construction. Autom. Constr. 2012, 25, 82–93. [Google Scholar] [CrossRef]
- Gómez-Gil, M.; Karami, S.; de Almeida, J.-P.; Cardoso, A.; Espinosa-Fernández, A.; López-Mesa, B. Envisaging a European Digital Building Renovation Logbook: Proposal of a Data Model. Appl. Sci. 2024, 14, 8903. [Google Scholar] [CrossRef]
- Urlainis, A.; Mitelman, A. Implementation of a BIM Workflow for Building Permit Coordination in Urban Metro Projects. J. Inf. Technol. Constr. 2025, 30, 319–334. [Google Scholar] [CrossRef]
- Gurevich, U.; Sacks, R. Longitudinal Study of BIM Adoption by Public Construction Clients. J. Manag. Eng. 2020, 36, 05020008. [Google Scholar] [CrossRef]
- Tam, V.W.Y.; Zhou, Y.; Illankoon, C.; Le, K.N. A Critical Review on BIM and LCA Integration Using the ISO 14040 Framework. Build. Environ. 2022, 213, 108865. [Google Scholar] [CrossRef]
- Giat, Y.; Mitelman, A. Cost Overruns, Winner’s Curse, Wisdom of the Crowd, and a Pendulum Effect in Public Construction Tenders. IEEE Eng. Manag. Rev. 2023, 51, 141–151. [Google Scholar] [CrossRef]
- Brynjolfsson, E.; Li, D.; Raymond, L. Generative AI at Work. Q. J. Econ. 2025, 140, 889–942. [Google Scholar] [CrossRef]
- Jurišević, N.; Kowalik, R.; Gordić, D.; Novaković, A.; Vukasinovic, V.; Rakić, N.; Nikolić, J.; Vukicevic, A. Large Language Models as Tools for Public Building Energy Management: An Assessment of Possibilities and Barriers. Int. J. Qual. Res. 2025, 19. [Google Scholar] [CrossRef]
- Wu, H.; Yuan, Y.; Mikaelyan, L.; Meulemans, A.; Liu, X.; Hensman, J.; Mitra, B. Structured Entity Extraction Using Large Language Models. arXiv 2024, arXiv:2402.04437. [Google Scholar] [CrossRef]
- Ghimire, P.; Kim, K.; Acharya, M. Opportunities and Challenges of Generative AI in Construction Industry: Focusing on Adoption of Text-Based Models. Buildings 2024, 14, 220. [Google Scholar] [CrossRef]
- Liu, M.; Zhang, L.; Chen, J.; Chen, W.-A.; Yang, Z.; Lo, L.J.; Wen, J.; O’Neill, Z. Large Language Models for Building Energy Applications: Opportunities and Challenges. Build. Simul. 2025, 18, 225–234. [Google Scholar] [CrossRef]
- Berlato, M.; Binni, L.; Durmus, D.; Gatto, C.; Giusti, L.; Massari, A.; Toldo, B.M.; Cascone, S.; Mirarchi, C. Digital Platforms for the Built Environment: A Systematic Review Across Sectors and Scales. Buildings 2025, 15, 2432. [Google Scholar] [CrossRef]
- Balsiger, D.; Dimmler, H.-R.; Egger-Horstmann, S.; Hanne, T. Assessing Large Language Models Used for Extracting Table Information from Annual Financial Reports. Computers 2024, 13, 257. [Google Scholar] [CrossRef]
- Durmus, D.; Giretti, A.; Ashkenazi, O.; Carbonari, A.; Isaac, S. The Role of Large Language Models for Decision Support in Fire Safety Planning. In Proceedings of the 41st International Symposium on Automation and Robotics in Construction (ISARC), Lille, France, 3–5 June 2024; pp. 339–346. [Google Scholar]
- Pakhale, K. Large Language Models and Information Retrieval. SSRN Electron. J. 2023, 4636121. [Google Scholar] [CrossRef]
- Bahrami, M.; Mansoorizadeh, M.; Khotanlou, H. Few-Shot Learning with Prompting Methods. In Proceedings of the 2023 6th International Conference on Pattern Recognition and Image Analysis (IPRIA), Qom, Iran, 14–16 February 2023; pp. 1–5. [Google Scholar]
- Fuchs, S.; Witbrock, M.; Dimyadi, J.; Amor, R. Using Large Language Models for the Interpretation of Building Regulations. arXiv 2024, arXiv:2407.21060. [Google Scholar]
- Géron, A. Hands-On Machine Learning with Scikit-Learn and TensorFlow, 3rd ed.; O’Reilly Media: Sebastopol, CA, USA, 2022; ISBN 9781098125974. [Google Scholar]
- Beskopylny, A.N.; Shcherban’, E.M.; Stel’makh, S.A.; Mailyan, L.R.; Meskhi, B.; Razveeva, I.; Kozhakin, A.; El’shaeva, D.; Beskopylny, N.; Onore, G. Discovery and Classification of Defects on Facing Brick Specimens Using a Convolutional Neural Network. Appl. Sci. 2023, 13, 5413. [Google Scholar] [CrossRef]
- Oulahyane, A.; Kodad, M.; Bouazza, A.; Oulahyane, K. Assessing the Impact of Deep Learning on Grey Urban Infrastructure Systems: A Comprehensive Review. In Proceedings of the 2024 International Conference on Decision Aid Sciences and Applications, DASA, Manama, Bahrain, 11–12 December 2024. [Google Scholar]
- Alves, V.H.M.; Alves, V.A.M.; Cury, A.A. Artificial Intelligence-Driven Structural Health Monitoring: Challenges, Progress, and Applications. In New Advances in Soft Computing in Civil Engineering; Studies in Systems, Decision and Control; Springer Nature: Cham, Switzerland, 2024; Volume 547, pp. 149–166. [Google Scholar]
- Szűrös, Z.; Ördög, R.R.; Károlyfi, K.A.; Szalai, D.; Bukovics, Á. Building Diagnostics Options for Existing Buildings–Innovative Methods. Chem. Eng. Trans. 2024, 114, 793–798. [Google Scholar] [CrossRef]
- Kim, J.-W.; Choi, H.-W.; Kim, S.-K.; Na, W.S. Review of Image-Processing-Based Technology for Structural Health Monitoring of Civil Infrastructures. J. Imaging 2024, 10, 93. [Google Scholar] [CrossRef]
- Ayaz, M.; Pasha, M.F.; Alzahrani, M.Y.; Budiarto, R.; Stiawan, D. The Fast Health Interoperability Resources (FHIR) Standard: Systematic Literature Review of Implementations, Applications, Challenges and Opportunities. J. Med. Inf. Inform. 2021, 9, e21929. [Google Scholar]
- Papaioannou, I.; Korkas, C.; Kosmatopoulos, E. Smart Building Recommendations with LLMs: A Semantic Comparison Approach. Buildings 2025, 15, 2303. [Google Scholar] [CrossRef]
- Ye, J.; Woods, D.; Jordan, N.; Starren, J. The Role of Artificial Intelligence for the Application of Integrating Electronic Health Records and Patient-Generated Data in Clinical Decision Support. AMIA Jt. Summits Transl. Sci. Proc. 2024, 2024, 459. [Google Scholar]
- Huang, J.; Yang, D.M.; Rong, R.; Nezafati, K.; Treager, C.; Chi, Z.; Wang, S.; Cheng, X.; Guo, Y.; Klesse, L.J. A Critical Assessment of Using ChatGPT for Extracting Structured Data from Clinical Notes. npj Digit. Med. 2024, 7, 106. [Google Scholar] [CrossRef]
- Vithanage, D.; Deng, C.; Wang, L.; Yin, M.; Alkhalaf, M.; Zhang, Z.; Zhu, Y.; Soewargo, A.C.; Yu, P. Evaluating Machine Learning Approaches for Multi-Label Classification of Unstructured Electronic Health Records with a Generative Large Language Model. medRxiv 2024. [Google Scholar] [CrossRef]
- Singhal, K.; Tu, T.; Gottweis, J.; Sayres, R.; Wulczyn, E.; Amin, M.; Hou, L.; Clark, K.; Pfohl, S.R.; Cole-Lewis, H. Toward Expert-Level Medical Question Answering with Large Language Models. Nat. Med. 2025, 31, 943–950. [Google Scholar] [CrossRef]
- Zech, J.R.; Badgeley, M.A.; Liu, M.; Costa, A.B.; Titano, J.J.; Oermann, E.K. Variable Generalization Performance of a Deep Learning Model to Detect Pneumonia in Chest Radiographs: A Cross-Sectional Study. PLoS Med. 2018, 15, e1002683. [Google Scholar] [CrossRef]
- Rajpurkar, P.; Chen, E.; Banerjee, O.; Topol, E.J. AI in Health and Medicine. Nat. Med. 2022, 28, 31–38. [Google Scholar] [CrossRef] [PubMed]
- Cha, Y.; Choi, W.; Suh, G.; Mahmoudkhani, S.; Büyüköztürk, O. Autonomous Structural Visual Inspection Using Region-Based Deep Learning for Detecting Multiple Damage Types. Comput. Aided Civ. Civil. Infrastruct. Eng. 2018, 33, 731–747. [Google Scholar] [CrossRef]
- Wajsbürt, P.; Sarfati, A.; Tannier, X. Medical Concept Normalization in French Using Multilingual Terminologies and Contextual Embeddings. J. Biomed. Inf. Inform. 2021, 114, 103684. [Google Scholar] [CrossRef]
- Peeperkorn, M.; Kouwenhoven, T.; Brown, D.; Jordanous, A. Is Temperature the Creativity Parameter of Large Language Models? arXiv 2024, arXiv:2405.00492. [Google Scholar] [CrossRef]
- Mitelman, A.; Yang, B.; Elmo, D.; Giat, Y. Choosing between Prediction and Explanation in Geological Engineering: Lessons from Psychology. Interdiscip. Sci. Rev. 2023, 48, 651–668. [Google Scholar] [CrossRef]
- Maidi, M.; Lifshitz Sherzer, G.; Shufrin, I.; Gal, E. Seismic Resilience of CRC- vs. RC-Reinforced Buildings: A Long-Term Evaluation. Appl. Sci. 2024, 14, 11079. [Google Scholar] [CrossRef]
- Urlainis, A.; Lifshitz Sherzer, G.; Shohet, I.M. Multi-Scale Integrated Corrosion-Adjusted Seismic Fragility Framework for Critical Infrastructure Resilience. Appl. Sci. 2024, 14, 8789. [Google Scholar] [CrossRef]
- Mitelman, A.; Urlainis, A. Investigation of Transfer Learning for Tunnel Support Design. Mathematics 2023, 11, 1623. [Google Scholar] [CrossRef]
- Leiser, F.; Eckhardt, S.; Leuthe, V.; Knaeble, M.; Mädche, A.; Schwabe, G.; Sunyaev, A. HILL: A Hallucination Identifier for Large Language Models. In Proceedings of the CHI Conference on Human Factors in Computing Systems, Honolulu, HI, USA, 11–16 May 2024; ACM: New York, NY, USA, 2024; pp. 1–13. [Google Scholar]
- Massenon, R.; Gambo, I.; Khan, J.A.; Agbonkhese, C.; Alwadain, A. “My AI Is Lying to Me”: User-Reported LLM Hallucinations in AI Mobile Apps Reviews. Sci. Rep. 2025, 15, 30397. [Google Scholar] [CrossRef] [PubMed]








| Capability | Practical Implementation | Health Sector Case Studies |
|---|---|---|
| Unstructured-text interpretation | LLMs can convert free-form text (e.g., inspection reports, narratives) into structured data without requiring predefined templates. | Huang et al. (2024)—Pathology reports extraction [40] |
| Adaptability to Document Formats | LLMs handle varied input formats such as scanned drawings, PDFs, emails, or handwritten notes by combining OCR and language understanding. | Pakhale (2023)—OCR and LLM for scanned medical records [28] |
| Multilingual Understanding | Trained on multilingual resources, LLMs can understand documents in different languages and normalize terminology. | Wajsbürt et al. (2021)—processing of multilingual medical documents [46] |
| Scalability and Learning | LLMs improve with more data and can generalize from a few examples using techniques such as few-shot learning. | Vithanage et al. (2024)—Few-shot learning for clinical classification [41] |
| Integration with External Sources | LLMs can cross-reference DBL entries with external data such as codes, maps, or climate records to enrich research insights. | Ye et al. (2024)—Cross-referencing patient data with external sources [39] |
| Visual-text coupling | When combined with image models, LLMs help interpret visuals (e.g., cracks, drawings) and contextualize them with text. | Zech et al. (2018)—Pneumonia detection via image data [43] |
| Causal Inference & Interpretation | When combined with ML models like causal forests LLMs can help identify underlying causes from heterogeneous building performance data. | Vithanage et al. (2024)—Identifying risk factors in aged care facilities [41] |
| Stage | Role Definition | Primary Task | Output Format | Temp. | Key Constraints |
|---|---|---|---|---|---|
| Descriptive Summary | Structural engineer with field inspection expertise | Extract and organize key information into standardized categories | Python dictionary with Building Overview, Observations, Structural Analysis, Recommendations | 0.5 | Single sentences (max 45 words), neutral engineering language, no markdown formatting |
| Structured Data | Convert qualitative observations into quantitative, machine-readable format | Structured data including building characteristics, defect presence/severity ratings | 0 | Numerical classifications and binary indicators, standardized scales (1–5 for severity) | |
| Risk Assessment | Integrate multi-stage findings into comprehensive risk assessment | Risk summary narrative and numerical rating (1–10 scale) | 0.3 | Synthesis of Stages 1 and 2 data, standardized risk categorization |
| # | Building Overview | Observations | Structural Analysis | Recommendations | Tokens | Execution Time (s) |
|---|---|---|---|---|---|---|
| 1 | The building is a six-story residential apartment constructed in 1976 with a reinforced concrete structure, shallow foundations, and masonry infill walls. | Cracks in masonry walls and columns, water infiltration, and rust staining suggest settlement and potential reinforcement corrosion. | Shallow foundations, age, and poor drainage likely contribute to settlement and differential movement, with active settlement indicated by crack patterns. | Monitor cracks with gauges, repair cracks over 0.5 cm with epoxy, inspect roof drainage, and conduct further analysis for basement slab corrosion. | 832 | 2.33 |
| 2 | The subject property is a four-story commercial building constructed in 1983 with a steel frame structure and concrete slab foundation. | Hairline cracks and water seepage were noted on the exterior, while vertical cracks and rust staining were observed in the basement, along with ceiling sagging on the first floor. | Cracks and sagging indicate differential settlement, and rust staining suggests potential steel reinforcement corrosion requiring core sampling. | Install crack monitors, repair window seals, analyze first-floor ceiling, and implement a phased repair plan with ongoing monitoring every three months. | 678 | 2.37 |
| 3 | The property is a 3-story house built in 1986 with an area of 260 m2, featuring concrete walls and natural rock exterior covering. | Rock elements have fallen in some exterior areas, and minor hairline cracks are observed in the slabs and walls inside the house. | The soil is fat clay with differential heaving, and the piles were driven to a shallow depth of 8 m, contributing to the cracking. | A new foundation system should be designed and built to strengthen the existing one, and rock elements should be removed to inspect the main columns. | 559 | 2.94 |
| # | Stories | Use | Area | Foundation Type | Soil Type | Reinforcement Yes/No (Severity) | Cracking? Yes/No (Severity) | Moisture Issues? Yes/No (Severity) | Tokens | Execution Time (s) |
|---|---|---|---|---|---|---|---|---|---|---|
| 1 | 6 | Residential | Shallow | Y (3) | Y (4) | Y (3) | 887 | 3.61 | ||
| 2 | 4 | Commercial | Concrete slab | Y (3) | Y (3) | Y (2) | 736 | 3.41 | ||
| 3 | 3 | Residential | 260 | Piles | Fat Clay | N (0) | Y (3) | N (0) | 558 | 2.92 |
| # | Summary | Overall Risk Level | Total Tokens | Execution Time (s) |
|---|---|---|---|---|
| 1 | The building, a six-story residential apartment constructed in 1976, exhibits significant structural issues. Observations indicate cracks in masonry walls and columns, water infiltration, and rust staining, suggesting settlement and potential reinforcement corrosion. Structural analysis points to shallow foundations, age, and poor drainage as contributing factors to settlement and differential movement. Active settlement is indicated by crack patterns. Recommendations include monitoring cracks, repairing significant ones, inspecting roof drainage, and further analysis for basement slab corrosion. | 7 | 557 | 3.22 |
| 2 | The building is a four-story commercial structure with notable structural concerns. Observations include hairline cracks and water seepage on the exterior, vertical cracks, and rust staining in the basement, and ceiling sagging on the first floor. These issues suggest differential settlement and potential steel reinforcement corrosion. Immediate actions recommended include installing crack monitors, repairing window seals, analyzing the first-floor ceiling, and implementing a phased repair plan with ongoing monitoring every three months. | 7 | 555 | 3.36 |
| 3 | The building is a 3-story residential house with a concrete structure and natural rock exterior, built in 1986. It is experiencing structural issues due to differential heaving of the fat clay soil and shallow pile foundations, leading to hairline cracks in slabs and walls. Rock elements have fallen in some exterior areas. A new foundation system is recommended to address these issues. | 7 | 550 | 2.76 |
| Report | Results Frequency (Risk Level) | Stats | |||||||||||
|---|---|---|---|---|---|---|---|---|---|---|---|---|---|
| No. | 3 | 4 | 5 | 6 | 7 | 8 | 9 | 10 | Avg. | Std. | Max | Min | Max-Min |
| 1 | 0 | 0 | 0 | 0 | 8 | 12 | 0 | 0 | 7.60 | 0.49 | 8.0 | 7.0 | 1.0 |
| 2 | 0 | 0 | 0 | 2 | 18 | 0 | 0 | 0 | 6.90 | 0.30 | 7.0 | 6.0 | 1.0 |
| 3 | 0 | 0 | 0 | 13 | 4 | 3 | 0 | 0 | 6.50 | 0.74 | 8.0 | 6.0 | 2.0 |
| 4 | 0 | 0 | 0 | 0 | 8 | 12 | 0 | 0 | 7.60 | 0.49 | 8.0 | 7.0 | 1.0 |
| 5 | 1 | 17 | 1 | 1 | 0 | 0 | 0 | 0 | 4.10 | 0.54 | 6.0 | 3.0 | 3.0 |
| 6 | 0 | 0 | 0 | 0 | 0 | 17 | 3 | 0 | 8.15 | 0.36 | 9.0 | 8.0 | 1.0 |
| 7 | 0 | 0 | 1 | 10 | 9 | 0 | 0 | 0 | 6.40 | 0.58 | 7.0 | 5.0 | 2.0 |
| 8 | 0 | 0 | 0 | 19 | 1 | 0 | 0 | 0 | 6.05 | 0.22 | 7.0 | 6.0 | 1.0 |
| 9 | 0 | 0 | 0 | 0 | 4 | 16 | 0 | 0 | 7.80 | 0.40 | 8.0 | 7.0 | 1.0 |
| 10 | 0 | 0 | 0 | 0 | 16 | 4 | 0 | 0 | 7.20 | 0.40 | 8.0 | 7.0 | 1.0 |
| 11 | 0 | 0 | 0 | 1 | 7 | 12 | 0 | 0 | 7.55 | 0.59 | 8.0 | 6.0 | 2.0 |
| 12 | 0 | 0 | 0 | 0 | 3 | 17 | 0 | 0 | 7.85 | 0.36 | 8.0 | 7.0 | 1.0 |
| 13 | 4 | 11 | 5 | 0 | 0 | 0 | 0 | 0 | 4.05 | 0.67 | 5.0 | 3.0 | 2.0 |
| 14 | 0 | 0 | 0 | 0 | 0 | 15 | 5 | 0 | 8.25 | 0.43 | 9.0 | 8.0 | 1.0 |
| 15 | 0 | 0 | 0 | 14 | 6 | 0 | 0 | 0 | 6.30 | 0.46 | 7.0 | 6.0 | 1.0 |
| 16 | 0 | 0 | 1 | 18 | 1 | 0 | 0 | 0 | 6.00 | 0.32 | 7.0 | 5.0 | 2.0 |
| Models | Corrosion Severity | Cracking Severity | Moisture Severity | Risk Level | ||||
|---|---|---|---|---|---|---|---|---|
| MAE | Exact Matches (%) | MAE | Exact Matches (%) | MAE | Exact Matches (%) | MAE | Exact Matches (%) | |
| 1, 9 | 0 | 100% | 0.05 | 95% | 0 | 100% | 0.2 | 80% |
| 2, 10 | 0 | 100% | 0 | 100% | 0.1 | 90% | 0.3 | 80% |
| 3, 11 | 0 | 100% | 1 | 0% | 0 | 100% | 1.25 | 20% |
| 4, 12 | 0 | 100% | 0 | 100% | 0 | 100% | 0.45 | 55% |
| 5, 13 | 0.2 | 80% | 0.1 | 90% | 0.2 | 80% | 0.55 | 55% |
| 6, 14 | 0.2 | 90% | 0 | 100% | 0.05 | 95% | 0.3 | 70% |
| 7, 15 | 0 | 100% | 0.95 | 5% | 0 | 100% | 0.7 | 35% |
| 8, 16 | 0 | 100% | 0 | 100% | 1 | 0% | 0.15 | 85% |
| Report | Stage 1 | Stage 2 | Stage 3 | Total All Stages | ||||
|---|---|---|---|---|---|---|---|---|
| No. | Avg. | SD | Avg. | SD | Avg. | SD | Avg. | SD |
| 1 | 846.2 | 12.9 | 884.9 | 1.5 | 531.3 | 22.4 | 2262.3 | 30.9 |
| 2 | 690.7 | 16.3 | 732.7 | 2.2 | 517.1 | 12.6 | 1940.5 | 27.3 |
| 3 | 558.2 | 7.3 | 558.0 | 0 | 521.3 | 11.9 | 1637.5 | 16.9 |
| 4 | 735.9 | 13.4 | 754.0 | 6.1 | 543.0 | 11.5 | 2032.8 | 24.6 |
| 5 | 586.2 | 6.0 | 628.7 | 6.1 | 521.9 | 9.3 | 1736.8 | 15.0 |
| 6 | 911.8 | 20.3 | 901.0 | 6.7 | 555.9 | 27.0 | 2368.6 | 44.9 |
| 7 | 713.4 | 13.4 | 749.8 | 0.9 | 529.9 | 12.2 | 1993.0 | 24.5 |
| 8 | 938.6 | 14.6 | 945.5 | 0.6 | 555.5 | 18.2 | 2439.5 | 32.1 |
| 9 | 868.1 | 10.0 | 909.3 | 1.0 | 533.9 | 12.2 | 2311.3 | 20.8 |
| 10 | 692.9 | 5.7 | 735.0 | 1.0 | 518.6 | 10.8 | 1946.5 | 15.0 |
| 11 | 612.4 | 6.7 | 627.0 | 0 | 499.1 | 9.7 | 1738.5 | 15.7 |
| 12 | 770.0 | 11.9 | 788.3 | 1.1 | 552.0 | 10.8 | 2110.2 | 21.9 |
| 13 | 589.8 | 6.6 | 629.9 | 11.6 | 518.8 | 15.1 | 1738.5 | 25.9 |
| 14 | 912.6 | 18.8 | 900.0 | 6.1 | 558.1 | 22.5 | 2370.6 | 35.9 |
| 15 | 653.5 | 14.5 | 687.9 | 0.7 | 528.9 | 15.5 | 1870.3 | 29.5 |
| 16 | 963.9 | 13.3 | 975.4 | 0.8 | 545.5 | 19.0 | 2484.8 | 30.8 |
| Avg. | 752.7 | 12.0 | 775.5 | 2.9 | 533.2 | 15.0 | 2061.3 | 25.7 |
| Report | Stage 1 (s) | Stage 2 (s) | Stage 3 (s) | Total All Stages (s) | ||||
|---|---|---|---|---|---|---|---|---|
| No. | Avg. | SD | Avg. | SD | Avg. | SD | Avg. | SD |
| 1 | 3.5 | 0.5 | 4.1 | 0.7 | 2.4 | 0.8 | 9.1 | 1.8 |
| 2 | 3.0 | 0.7 | 3.6 | 0.7 | 2.9 | 1.4 | 8.4 | 2.4 |
| 3 | 3.5 | 1.1 | 2.7 | 0.5 | 2.5 | 0.5 | 7.8 | 1.8 |
| 4 | 3.7 | 1.1 | 3.8 | 0.7 | 1.9 | 0.4 | 8.6 | 2.0 |
| 5 | 2.8 | 0.4 | 3.7 | 1.3 | 2.7 | 0.9 | 8.2 | 2.2 |
| 6 | 3.9 | 0.8 | 3.3 | 1.3 | 2.9 | 1.3 | 9.0 | 2.5 |
| 7 | 3.2 | 0.6 | 3.7 | 0.7 | 2.4 | 0.5 | 8.5 | 2.3 |
| 8 | 4.0 | 1.1 | 4.5 | 1.1 | 2.4 | 0.4 | 10.0 | 2.5 |
| 9 | 3.3 | 0.5 | 3.7 | 0.7 | 2.2 | 0.4 | 8.4 | 2.1 |
| 10 | 3.0 | 0.4 | 4.1 | 2.4 | 2.5 | 1.3 | 8.7 | 3.7 |
| 11 | 2.9 | 0.6 | 2.6 | 0.5 | 2.7 | 1.4 | 7.2 | 1.9 |
| 12 | 3.9 | 1.2 | 4.0 | 0.8 | 2.3 | 0.6 | 9.3 | 2.2 |
| 13 | 2.9 | 0.5 | 4.2 | 2.6 | 2.6 | 0.8 | 8.7 | 3.2 |
| 14 | 4.2 | 1.6 | 2.9 | 0.7 | 2.6 | 0.8 | 8.8 | 2.7 |
| 15 | 3.6 | 2.2 | 3.6 | 0.6 | 2.3 | 0.5 | 8.7 | 3.1 |
| 16 | 3.8 | 0.9 | 3.7 | 0.8 | 2.7 | 1.2 | 9.2 | 1.8 |
| Avg. | 3.5 | 0.9 | 3.6 | 1.0 | 2.5 | 0.8 | 8.7 | 2.4 |
Disclaimer/Publisher’s Note: The statements, opinions and data contained in all publications are solely those of the individual author(s) and contributor(s) and not of MDPI and/or the editor(s). MDPI and/or the editor(s) disclaim responsibility for any injury to people or property resulting from any ideas, methods, instructions or products referred to in the content. |
© 2025 by the authors. Licensee MDPI, Basel, Switzerland. This article is an open access article distributed under the terms and conditions of the Creative Commons Attribution (CC BY) license (https://creativecommons.org/licenses/by/4.0/).
Share and Cite
Urlainis, A.; Giat, Y.; Mitelman, A. Harnessing Large Language Models for Digital Building Logbook Implementation. Buildings 2025, 15, 3399. https://doi.org/10.3390/buildings15183399
Urlainis A, Giat Y, Mitelman A. Harnessing Large Language Models for Digital Building Logbook Implementation. Buildings. 2025; 15(18):3399. https://doi.org/10.3390/buildings15183399
Chicago/Turabian StyleUrlainis, Alon, Yahel Giat, and Amichai Mitelman. 2025. "Harnessing Large Language Models for Digital Building Logbook Implementation" Buildings 15, no. 18: 3399. https://doi.org/10.3390/buildings15183399
APA StyleUrlainis, A., Giat, Y., & Mitelman, A. (2025). Harnessing Large Language Models for Digital Building Logbook Implementation. Buildings, 15(18), 3399. https://doi.org/10.3390/buildings15183399

