A Cost-Efficient Validation of Architectural Heritage: Digitally Conducted Stylistic Assessment of Artifacts Based on Diagrammatic Expressions of Their Morphology
Abstract
1. Introduction
1.1. Historical Background of Architectural Orders
1.1.1. The Architectural Orders: Origins and Development
1.1.2. The Roman Doric Architectural Order
1.2. Recent Advances and Limitations in Digital Heritage Analysis
1.3. Study Objectives and Outline
How can the morphology of classical architectural artifacts be represented and quantitatively compared to cost-efficiently validate their stylistic affiliation, particularly within the Doric order?
2. Materials and Methods
2.1. Equipment and Software Employed
- Dell Vostro 15 3580 Laptop, 15.6-inch FHD Display, Intel(R) Core(TM) i7-8565U CPU, 8 GB DDR4 SODIMM RAM, SSD M.2 PCLe NVMe 256 GB, AMD(R) Radeon(TM) 520 2 GB GDDR5;
- Robert McNeel & Associates (TLM, Inc.) Rhino 7 SR 9 (7.9.21222.15001) along with Grasshopper 1.0.0007 (hereinafter referred to as GH) as an already built-in visual programming tool (bearing in mind that an adequate freeware alternative to Rhino could be the latest version of Blender, including the Sverchok add-on, as the most appropriate substitute for Grasshopper, and/or Geometry Nodes as an already built-in visual programming tool—all of which we are not familiar with, wherefore we have not used them), for generating capital 3D models and making their sizes uniform; for extracting latent features (Section 2.3) and diagramming morphologies (Section 2.4); and for obtaining populations (hereinafter referred to as POPs) and extracting samples (hereinafter referred to as SMPs) of the relevant comparison-wise numerical outputs (Section 2.5.2);
- CloudCompare 2.13.2 freeware (hereinafter referred to as CC), for comparing previously paired up diagrammatic representatives quantitatively, i.e., for computing, within such pairs, how far the vertices of the one representative are from the nearest ones of the other, as well as for defining scalar fields (hereinafter referred to as SFs) based on those comparison-wise distance datasets and deriving the relevant statistical parameters from (Section 2.5.1 and Section 3.1.1);
- Microsoft Excel for the Web as a free spreadsheet software available online at https://excel.cloud.microsoft/ (accessed on 25 July 2025), for creating relevant dynamics-wise graphs with associated trendlines (Section 2.4.1); obtaining range bounds of SFs, of their absolute and transformed forms as well as of POPs and SMPs derived from (all together previously imported into); organizing such ranges into a tabular format (Section 3.1.2); and for obtaining the remaining relevant statistical parameters, besides importing the certain subsequently obtained outputs related to the other software used (Section 3.1.4 and Section 3.2);
- Matplotlib (3.10.0) as a comprehensive Python (3.13.1) library within Microsoft Visual Studio Code 1.96.4 (hereinafter referred to as VS Code), for visualizing relevant frequency- and density-wise histograms, where the latter ensured the normal probability density functions (hereinafter referred to as PDFs) are fitted in (Section 3.1.2 and Section 3.1.3);
- Sample Size Calculator (Raosoft, Inc., 2009) as a free tool available online at http://www.raosoft.com/samplesize.html (accessed on 25 July 2025), for checking the adequacy (sufficiency) of defined SMPs (in terms of size) relative to sizes of corresponding POPs (Section 3.1.3);
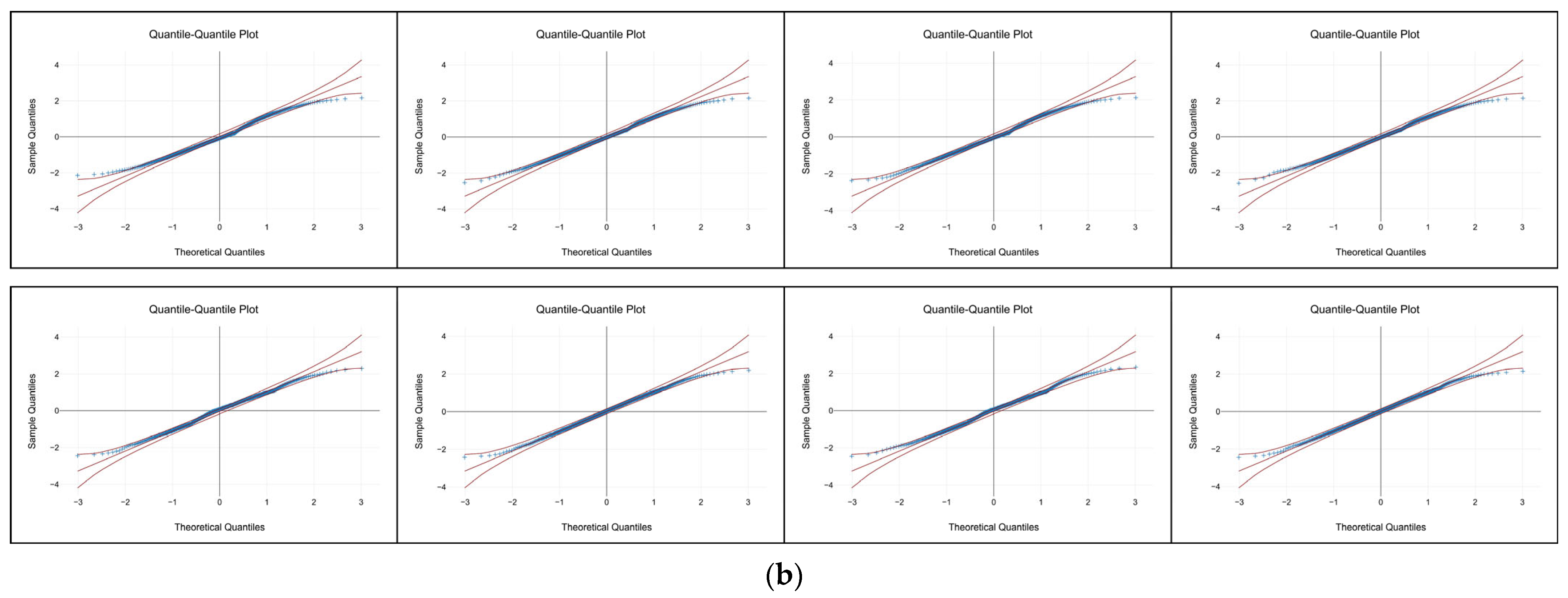
- Statisty freeware, available online at https://statisty.app/ (accessed on 25 July 2025), for creating relevant normal quantile–quantile (hereinafter referred to as Q–Q) plots in the role of indicators of normality of SMP-related distance distributions (Section 3.1.3);
- Statistics Kingdom (launched in November 2017) as a freeware available online at https://www.statskingdom.com/ (accessed on 25 July 2025), for applying simple linear regression (hereinafter referred to as SLR) models in the role of estimators of the amount of correlation between SMP-related distances and their corresponding normal/theoretical z-scores (Section 3.1.3), as well as for defining normal PDFs of distributions of such distances and calculating relevant areas under, equal to aim-directed probabilities (Section 3.1.4).
2.2. Input Preparation
2.2.1. Artifact Selection and Clustering
2.2.2. Acquisition and Requirement-Based Validation
2.2.3. Scaling 3D Models to a Uniform Height
2.3. Feature Extraction
2.3.1. Creating 3D Model Contours
2.3.2. Transposing Contours into Substituting Circles
2.4. Morphology Diagramming
2.4.1. Calculating Dynamics of Circle Perimeter Change
2.4.2. Generating Diagrammatic Representatives
2.5. Quantitative Comparison
2.5.1. Mesh-to-Mesh Distance Computation
2.5.2. Obtaining Populations and Extracting Samples
2.6. Stylistic Assessment
2.6.1. Statistical Data Analysis and Validation
- Graphical—by observing how well (a) heights of SMP-related bins, defined within density histograms, follow the corresponding normal PDF, i.e., (smooth) bell-shaped curve, fitted relative to the associated SMPMean and SMPSD values; (b) data points of SMP-related quantiles, plotted against the normal/theoretical quantiles within normal Q–Q plots, follow the corresponding identity line, i.e., (straight) line of equality; (c) data points of SMP-related normal/theoretical z-scores (as possibly dependent variable), plotted against the SMP-related distances (as independent variable) within the SLR model-based line fit plots, follow the corresponding regression line, i.e., (straight) line of best fit—in accordance with the principle that the better the data fit the certain model, the more normally distributed they are;
- Numerical—by considering how close the values of the coefficient of determination (hereinafter referred to as r2), calculated based on the line fit plots created, are to their targeted values, namely, by indicating how large the portions of the variances in the dependent variable (SMP-related normal/theoretical z-scores) are such that can be explained by the independent variable (SMP-related distances)—in accordance with the principle that the higher the value of r2 (in the range between 0 and 1) is, or in other words, the better the SLR model fits the data, the more strongly correlated the variables are to each other and the data, consequently, more normally distributed.
2.6.2. Probability-Based Discrimination
3. Results
3.1. Intermediate Results
3.1.1. Comparison-Wise Outputs
3.1.2. Derivation- and Reduction-Wise Outputs
3.1.3. Goodness-of-Fit Outputs
3.1.4. Probability Density Outputs
3.2. Final Results
4. Discussion
4.1. Interpreting and Valorizing Intermediate Results
4.1.1. Comparison-Based Color-Coding
4.1.2. Reduction-Wise Outputs and Distance Frequencies
4.1.3. Distribution Normality and Size Adequacy
4.1.4. Statistical Parameters of “Gaussian” Datasets
4.2. Interpreting and Valorizing Final Results
5. Conclusions
- Theoretical;
- Methodological;
- Practical.
Supplementary Materials
Author Contributions
Funding
Data Availability Statement
Acknowledgments
Conflicts of Interest
Abbreviations
| AP | Aspirational probability |
| ARD | Assumed Roman Doric |
| CB | Confidence band |
| CC | CloudCompare |
| CD | Computed distance |
| Absolute value of computed distance | |
| CL | Confidence level |
| DPC | Dynamics of perimeter change |
| Dynamics of averaged perimeter change | |
| EP | Expected probability |
| GH | Grasshopper |
| IL | Interval length |
| ION | Ionic |
| IRD | Indisputable Roman Doric |
| LB | Lower bound |
| Probability density function | |
| POP | Population |
| POV | Point of view |
| PSC | Perimeter of substituting circle |
| Q–Q | Quantile–quantile |
| r2 | Coefficient of determination |
| REF | Reference entity |
| RMSE | Root-mean-square error |
| RR | Reduction rate |
| SD | Standard deviation |
| SF | Scalar field |
| SLR | Simple linear regression |
| SMP | Sample |
| TDC | Transformed dynamics of (averaged) perimeter change |
| TD | Transformed absolute value of computed distance |
| TSS | Transverse-slicing step |
| UB | Upper bound |
| VS Code | Visual Studio Code |
References
- Dev, K.; Kim, K.; Villar, N.; Lau, M. Improving Style Similarity Metrics of 3D Shapes. In Proceedings of the 42nd Graphics Interface Conference, Graphics Interface 2016, Victoria, BC, Canada, 1–3 June 2016; pp. 175–182. Available online: https://graphicsinterface.org/proceedings/gi2016/gi2016-22/ (accessed on 25 July 2025).
- Osada, R.; Funkhouser, T.; Chazelle, B.; Dobkin, D. Matching 3D Models with Shape Distributions. In Proceedings of the International Conference on Shape Modeling and Applications, Genova, Italy, 7–11 May 2001; pp. 154–166. Available online: https://ieeexplore.ieee.org/document/923386/ (accessed on 25 July 2025).
- Azouz, Z.B.; Rioux, M.; Shu, C.; Lepage, R. Characterizing Human Shape Variation Using 3D Anthropometric Data. Vis. Comput. 2006, 22, 302–314. [Google Scholar] [CrossRef]
- Azouz, Z.B.; Rioux, M.; Lepage, R. 3D Description of the Human Body Shape: Application of Karhunen-Loève Expansion to the CAESAR Database. In CARS 2002 Computer Assisted Radiology and Surgery; Lemke, H.U., Inamura, K., Doi, K., Vannier, M.W., Farman, A.G., Reiber, J.H.C., Eds.; Springer: Berlin/Heidelberg, Germany, 2002; pp. 571–576. [Google Scholar]
- Cui, J.; Zang, M.; Liu, Z.; Qi, M.; Luo, R.; Gu, Z.; Lu, H. BIM Product Style Classification and Retrieval Based on Long-Range Style Dependencies. Buildings 2023, 13, 2280. [Google Scholar] [CrossRef]
- Austern, G.; Bloch, T.; Abulafia, Y. Incorporating Context into BIM-Derived Data—Leveraging Graph Neural Networks for Building Element Classification. Buildings 2024, 14, 527. [Google Scholar] [CrossRef]
- Siountri, K.; Anagnostopoulos, C.-N. The Classification of Cultural Heritage Buildings in Athens Using Deep Learning Techniques. Heritage 2023, 6, 3673–3705. [Google Scholar] [CrossRef]
- Luo, S.; Shang, W.; Yan, Z.; Bi, S. Research on Factors Influencing the Style of Chinese Historic Districts Based on the Mask R-CNN Deep Learning Model. Buildings 2024, 14, 420. [Google Scholar] [CrossRef]
- Shan, L.; Zhang, L. Application of Intelligent Technology in Facade Style Recognition of Harbin Modern Architecture. Sustainability 2022, 14, 7073. [Google Scholar] [CrossRef]
- Lian, Y.; Xie, J. The Evolution of Digital Cultural Heritage Research: Identifying Key Trends, Hotspots, and Challenges through Bibliometric Analysis. Sustainability 2024, 16, 7125. [Google Scholar] [CrossRef]
- Barrios Hernandez, C.R. Thinking Parametric Design: Introducing Parametric Gaudi. Des. Stud. 2006, 27, 309–324. [Google Scholar] [CrossRef]
- Katifori, A.; Antoniou, A.; Damala, A.; Raftopoulou, P. Editorial for the Special Issue “Advanced Technologies in Digitizing Cultural Heritage”. Appl. Sci. 2023, 13, 5873. [Google Scholar] [CrossRef]
- Vitruvius Pollio, M. The Ten Books on Architecture (De Architectura Libri Decem); Morgan, M.H., Translator; Warren, H.L., Ed.; Harvard University Press: Cambridge, MA, USA, 1914. [Google Scholar]
- Vitruvius Pollio, M. On Architecture (De architectura); Bojić, Z., Translator; Bojić, Z., Ed.; Textbook Institute, Dosije Studio: Belgrade, Serbia, 2009. (In Serbian) [Google Scholar]
- Vitruvius Pollio, M. The Ten Books on Architecture (De Architectura Libri Decem); Lopac, M., Translator; Jadrešin-Milić, R., Ed.; Orion Art: Belgrade, Serbia, 2014. (In Serbian) [Google Scholar]
- Jadrešin-Milić, R. Aktuelnost Vitruvijeve teorije arhitekture. In The Ten Books on Architecture (De Architectura Libri Decem); Lopac, M., Translator; Jadrešin-Milić, R., Ed.; Orion Art: Belgrade, Serbia, 2014; pp. I–XXVII. (In Serbian) [Google Scholar]
- Chitham, R. The Classical Orders of Architecture, 2nd ed.; Architectural Press: Amsterdam, The Netherlands, 2005. [Google Scholar]
- Thoenes, C.; Byatt, L. Architectural Orders: Rebirth or Invention? Art Transl. 2017, 9, 296–311. [Google Scholar] [CrossRef]
- Serlio, S. General Rules of Architecture; Francesco Marcolini da Forli: Venice, Italy, 1537. (In Italian) [Google Scholar]
- Vignola, G.B. The Five Orders of Architecture (Regola Delli Cinque Ordini d’architettura); Juglaris, T.; Locke, W.S., Translators; Press of Berwick & Smith: Boston, MA, USA, 1889. [Google Scholar]
- Halstead, F. The Orders of Architecture; John Wiley & Sons: New York, NY, USA, 1927. [Google Scholar]
- Ware, W.R. The American Vignola: The Five Orders, 5th ed.; International Textbook Company: Scranton, PA, USA, 1925; Volume 1. [Google Scholar]
- Penjor, T.; Banihashemi, S.; Hajirasouli, A.; Golzad, H. Heritage Building Information Modeling (HBIM) for Heritage Conservation: Framework of Challenges, Gaps, and Existing Limitations of HBIM. Digit. Appl. Archaeol. Cult. Herit. 2024, 35, e00366. [Google Scholar] [CrossRef]
- Aubin, P.F. Renaissance Revit: Creating Classical Architecture with Modern Software; G3B Press: Oak Lawn, IL, USA, 2013. [Google Scholar]
- Spallone, R.; Vitali, M. Parametric Thinking: Recognizing the “Architectural Formulas” in Cultural Built Heritage by Parametric Digital Modelling. In Proceedings of the 2018 Metrology for Archaeology and Cultural Heritage (MetroArchaeo), Cassino, Italy, 22–24 October 2018; pp. 102–106. Available online: https://ieeexplore.ieee.org/document/9089745/ (accessed on 25 July 2025).
- Pepe, M.; Garofalo, A.R.; Costantino, D.; Tana, F.F.; Palumbo, D.; Alfio, V.S.; Spacone, E. From Point Cloud to BIM: A New Method Based on Efficient Point Cloud Simplification by Geometric Feature Analysis and Building Parametric Objects in Rhinoceros/Grasshopper Software. Remote Sens. 2024, 16, 1630. [Google Scholar] [CrossRef]
- Diara, F.; Rinaudo, F. Building Archaeology Documentation and Analysis through Open Source HBIM Solutions via NURBS Modelling. Int. Arch. Photogramm. Remote Sens. Spat. Inf. Sci. 2020, XLIII-B2-2020, 1381–1388. [Google Scholar] [CrossRef]
- Zhang, K.; Fassi, F. Transforming Architectural Digitisation: Advancements in Ai-Driven 3D Reality-Based Modelling. Heritage 2025, 8, 81. [Google Scholar] [CrossRef]
- Alfio, V.S.; Costantino, D.; Pepe, M.; Restuccia Garofalo, A. A Geomatics Approach in Scan to FEM Process Applied to Cultural Heritage Structure: The Case Study of the “Colossus of Barletta”. Remote Sens. 2022, 14, 664. [Google Scholar] [CrossRef]
- Đorđević, Đ.; Đukanović, G.; Duta, A.; Devetaković-Radojević, M.; Popović, N. Point-Clouds as Photogrammetric Representations of Linear Objects Surfaces: The Impact of Extrinsic Shooting Parameters on the Change of Roughness-Quality of Their Textures. FME Trans. 2019, 47, 316–325. [Google Scholar] [CrossRef]
- Harshit, H.; Kushwaha, S.K.P.; Jain, K. Geometric Features Interpretation of Photogrammetric Point Cloud from Unmanned Aerial Vehicle. ISPRS Ann. Photogramm. Remote Sens. Spat. Inf. Sci. 2022, X-4/W2-2022, 83–88. [Google Scholar] [CrossRef]
- Milosz, M.; Kęsik, J.; Montusiewicz, J. Three-Dimensional Digitization of Documentation and Perpetual Preservation of Cultural Heritage Buildings at Risk of Liquidation and Loss—The Methodology and Case Study of St Adalbert’s Church in Chicago. Electronics 2024, 13, 561. [Google Scholar] [CrossRef]
- Sánchez-Aparicio, L.J.; Santamaría-Maestro, R.; Sanz-Honrado, P.; Villanueva-Llauradó, P.; Aira-Zunzunegui, J.R.; González-Aguilera, D. A Holistic Solution for Supporting the Diagnosis of Historic Constructions from 3D Point Clouds. Remote Sens. 2025, 17, 2018. [Google Scholar] [CrossRef]
- Spreafico, M.C.; Franci, F.; Bitelli, G.; Borgatti, L.; Ghirotti, M. Intact Rock Bridge Breakage and Rock Mass Fragmentation upon Failure: Quantification Using Remote Sensing Techniques. Photogramm. Rec. 2017, 32, 513–536. [Google Scholar] [CrossRef]
- Moyano, J.; Nieto-Julián, J.E.; Lenin, L.M.; Bruno, S. Operability of Point Cloud Data in an Architectural Heritage Information Model. Int. J. Archit. Herit. 2022, 16, 1588–1607. [Google Scholar] [CrossRef]
- Fattore, C.; Buldo, M.; Priore, A.; Porcari, S.; Porcari, V.D.; De Fino, M. A Comprehensive Overview of Heritage BIM Frameworks: Platforms and Technologies Integrating Multi-Scale Analyses, Data Repositories, and Sensor Systems. Heritage 2025, 8, 247. [Google Scholar] [CrossRef]
- Silva, C.; Oliveira, L. Artificial Intelligence at the Interface between Cultural Heritage and Photography: A Systematic Literature Review. Heritage 2024, 7, 3799–3820. [Google Scholar] [CrossRef]
- Gîrbacia, F. An Analysis of Research Trends for Using Artificial Intelligence in Cultural Heritage. Electronics 2024, 13, 3738. [Google Scholar] [CrossRef]
- Vo, A.-V.; Truong-Hong, L.; Laefer, D.F.; Bertolotto, M. Octree-Based Region Growing for Point Cloud Segmentation. ISPRS J. Photogramm. Remote Sens. 2015, 104, 88–100. [Google Scholar] [CrossRef]
- Cerio, D.G.; Witmer, L.M. Intraspecific Variation and Symmetry of the Inner-Ear Labyrinth in a Population of Wild Turkeys: Implications for Paleontological Reconstructions. PeerJ 2019, 7, e7355. [Google Scholar] [CrossRef]
- Loiotine, L.; Andriani, G.F.; Jaboyedoff, M.; Parise, M.; Derron, M.-H. Comparison of Remote Sensing Techniques for Geostructural Analysis and Cliff Monitoring in Coastal Areas of High Tourist Attraction: The Case Study of Polignano a Mare (Southern Italy). Remote Sens. 2021, 13, 5045. [Google Scholar] [CrossRef]
- Buldo, M.; Agustín-Hernández, L.; Verdoscia, C. Semantic Enrichment of Architectural Heritage Point Clouds Using Artificial Intelligence: The Palacio de Sástago in Zaragoza, Spain. Heritage 2024, 7, 6938–6965. [Google Scholar] [CrossRef]
- Janković Babić, R. A Comparison of Methods for Image Classification of Cultural Heritage Using Transfer Learning for Feature Extraction. Neural Comput. Appl. 2024, 36, 11699–11709. [Google Scholar] [CrossRef]
- Rashid, S.; Qasha, R. Cloud-Based Data Classification Framework for Cultural Heritage Conservation. In Proceedings of the GI-Edition: Lecture Notes in Informatics (LNI), INFORMATIK 2024, Wiesbaden, Germany, 24–26 September 2024; Volume P-352, pp. 973–983. Available online: https://dl.gi.de/handle/20.500.12116/45251 (accessed on 25 July 2025).
- Chen, B.; Wang, X. Artificial Intelligence for Cultural Heritage: Digital Image Processing-Based Techniques and Research Challenges. Int. J. Inf. Commun. Technol. 2025, 26, 37–60. [Google Scholar] [CrossRef]
- Hwang, H.; Park, C.-W.; Kim, H.-K.; Lee, J.-H. CATS: Cultural-Heritage Classification Using LLMs and Distribute Model. Npj Herit. Sci. 2025, 13, 76. [Google Scholar] [CrossRef]
- Vila Domini, D.A. The Diminution of the Classical Column: Visual Sensibility in Antiquity and the Renaissance. Nexus Netw. J. 2003, 5, 99–124. [Google Scholar] [CrossRef][Green Version]
- Frazer, J. Parametric Computation: History and Future. Archit. Des. 2016, 86, 18–23. [Google Scholar] [CrossRef]
- Khanzode, C.; Sarode, R. Advantages and Disadvantages of Artificial Intelligence and Machine Learning: A Literature Review. Int. J. Libr. Inf. Sci. IJLIS 2022, 9, 30–36. [Google Scholar] [CrossRef]
- Moshayedi, A.J.; Roy, A.S.; Kolahdooz, A.; Shuxin, Y. Deep Learning Application Pros and Cons Over Algorithm. EAI Endorsed Trans. AI Robot. 2022, 1, e7. [Google Scholar] [CrossRef]
- Tsimenidis, S. Limitations of Deep Neural Networks: A Discussion of G. Marcus’ Critical Appraisal of Deep Learning. arXiv 2020, arXiv:2012.15754. [Google Scholar] [CrossRef]
- De Luca, L.; Veron, P.; Florenzano, M. Reverse Engineering of Architectural Buildings Based on a Hybrid Modeling Approach. Comput. Graph. 2006, 30, 160–176. [Google Scholar] [CrossRef]
- De Luca, L.; Véron, P.; Florenzano, M. A Generic Formalism for the Semantic Modeling and Representation of Architectural Elements. Vis. Comput. 2007, 23, 181–205. [Google Scholar] [CrossRef]
- Mitrovic, D.; Djordjevic, D.; Devetakovic, M.; Djukanovic, G. Encoding/Decoding Capitals of Classical Architectural Orders by Using Fractal Geometry: Establishing Methodology. In Proceedings of the 9th International Scientific Conference on Geometry, Graphics and Design in the Digital Age, MoNGeometrija 2023, Novi Sad, Serbia, 7–10 June 2023; pp. 153–167. Available online: https://raf.arh.bg.ac.rs/handle/123456789/1628 (accessed on 25 July 2025).
- Mitrović, D.; Djordjević, D.; Devetaković, M.; Djukanović, G. Towards Numerical Architectural Order Identification: Expressing Capital Morphology by Using Dynamics of Its Parameters. In Proceedings of the International Conference Synergy of Architecture & Civil Engineering, SINARG 2023, Niš, Serbia, 14–15 September 2023; Volume 2, pp. 886–897. Available online: https://raf.arh.bg.ac.rs/handle/123456789/1639 (accessed on 25 July 2025).



























| Order | Vitruvius [14] | Alberti [18] | Serlio [18] | Vignola [17] | Perrault [17] | Gibbs [17] | Palladio [17] | Scamozzi [17] |
|---|---|---|---|---|---|---|---|---|
| Doric | 1:6, 1:7 | 1:7 | 1:7 | 1:8 | 1:8 | 1:8 | 1:8½, 1:8⅔ | 1:8½, 1:8⅔ |
| Ionic | 1:8, 1:9 | 1:8 | 1:8 | 1:9 | 1:8⅔ | 1:9 | 1:9 | 1:8⅔ |
| Corinthian | 1:9½ | 1:9 | 1:9 | 1:10 | 1:9⅔ | 1:10 | 1:9½ | 1:10 |
| Tuscan | - | - | 1:6 | 1:7 | 1:7⅓ | 1:7½ | 1:7 | 1:7 |
| Composite | - | - | 1:10 | 1:10 | 1:10 | 1:10 | 1:10 | 1:9¾ |
| Research Group | Group Role(s) | Group Member(s) | Order | Type | Subtype | Order Affiliation | Abbr. | Orn. Poss. |
|---|---|---|---|---|---|---|---|---|
| Control Group | To Establish a Reference Entity and “Constant” Probability Bounds and To Provide Expected Results of the Stylistic Assessment | Capital 1 | Doric | Roman | Denticulated | Indisputable | IRD(1) | ✓ |
| Capital 2 | Doric | Roman | Denticulated | Indisputable | IRD(2) | ✗ | ||
| Capital 3 | Doric | Roman | Denticulated | Indisputable | IRD(3) | ✓ | ||
| Capital 4 | Doric | Roman | Denticulated | Indisputable | IRD(4) | ✗ | ||
| Capital 5 | Doric | Roman | Mutulary | Indisputable | IRD(5) | ✓ | ||
| Capital 6 | Doric | Roman | Mutulary | Indisputable | IRD(6) | ✗ | ||
| Capital 7 | Doric | Roman | Mutulary | Indisputable | IRD(7) | ✓ | ||
| Capital 8 | Doric | Roman | Mutulary | Indisputable | IRD(8) | ✗ | ||
| 1st Experimental Group | To Confirm the Assumed Order Affiliation | Capital 1 | Doric | Roman | - | Assumed | ARD(1) | ✗ |
| Capital 2 | Doric | Roman | - | Assumed | ARD(2) | ✗ | ||
| 2nd Experimental Group | To Prove the Reliability of the Proposed Approach | Capital 1 | Ionic | - | - | Indisputable | ION | ✓ |
| Comparison | CDRange [cm] | CDMean [cm] | CDSD [cm] | |CD|Range [cm] | |CD|Mean [cm] | |CD|SD [cm] |
|---|---|---|---|---|---|---|
| IRD(1)-to-REF | −0.729738 to 0.280826 | −0.181926 | 0.345906 | 0.020860 to 0.729738 | 0.312554 | 0.234644 |
| IRD(2)-to-REF | −0.726647 to 0.302852 | −0.193170 | 0.344418 | 0.002859 to 0.726647 | 0.319692 | 0.231808 |
| IRD(3)-to-REF | −0.737378 to 0.280254 | −0.180272 | 0.346439 | 0.008031 to 0.737378 | 0.311964 | 0.234938 |
| IRD(4)-to-REF | −0.735076 to 0.300661 | −0.192838 | 0.344570 | 0.001152 to 0.735076 | 0.319783 | 0.231632 |
| IRD(5)-to-REF | −0.430206 to 0.263827 | 0.056305 | 0.188614 | 0.009523 to 0.430206 | 0.173962 | 0.092100 |
| IRD(6)-to-REF | −0.419204 to 0.280315 | 0.043607 | 0.183939 | 0.007290 to 0.419204 | 0.162464 | 0.096646 |
| IRD(7)-to-REF | −0.442283 to 0.260904 | 0.058434 | 0.190318 | 0.008972 to 0.442283 | 0.176184 | 0.092706 |
| IRD(8)-to-REF | −0.417380 to 0.284221 | 0.045615 | 0.184144 | 0.007385 to 0.417380 | 0.163759 | 0.095773 |
| ARD(1)-to-REF | −1.487549 to 0.473135 | −0.166920 | 0.362205 | 0.001276 to 1.487549 | 0.339905 | 0.208613 |
| ARD(2)-to-REF | −1.478695 to 0.481159 | −0.164275 | 0.363957 | 0.003691 to 1.478695 | 0.339933 | 0.209515 |
| ION-to-REF | −3.207141 to 10.360001 | 1.760332 | 3.538888 | 0.013077 to 10.360001 | 3.050246 | 2.513658 |
| Comparison | TDRange [cm] | TDMean [cm] | TDSD [cm] | POPRange [cm] | POPMean [cm] | POPSD [cm] |
|---|---|---|---|---|---|---|
| IRD(1)-to-REF | 0.144431 to 0.854247 | 0.516703 | 0.213476 | 0.146734 to 0.852429 | 0.498229 | 0.163554 |
| IRD(2)-to-REF | 0.053473 to 0.852436 | 0.523791 | 0.212922 | 0.053473 to 0.850176 | 0.484629 | 0.169833 |
| IRD(3)-to-REF | 0.089614 to 0.858707 | 0.515231 | 0.215642 | 0.092095 to 0.853501 | 0.493679 | 0.169308 |
| IRD(4)-to-REF | 0.033935 to 0.857366 | 0.524490 | 0.211409 | 0.033935 to 0.850927 | 0.480989 | 0.172095 |
| IRD(5)-to-REF | 0.097585 to 0.655901 | 0.400585 | 0.116163 | 0.099014 to 0.655244 | 0.386391 | 0.117309 |
| IRD(6)-to-REF | 0.085379 to 0.647459 | 0.384075 | 0.122270 | 0.088119 to 0.645864 | 0.380728 | 0.120811 |
| IRD(7)-to-REF | 0.094723 to 0.665044 | 0.403246 | 0.116522 | 0.098874 to 0.664284 | 0.388580 | 0.117802 |
| IRD(8)-to-REF | 0.085939 to 0.646049 | 0.386359 | 0.120357 | 0.086754 to 0.644852 | 0.383832 | 0.121379 |
| ARD(1)-to-REF | 0.035724 to 1.219651 | 0.547533 | 0.200281 | 0.035724 to 1.098714 | 0.519565 | 0.178233 |
| ARD(2)-to-REF | 0.060755 to 1.216016 | 0.546356 | 0.203539 | 0.061673 to 1.070856 | 0.521996 | 0.171724 |
| ION-to-REF | 0.114355 to 3.218696 | 1.596378 | 0.708397 | 0.114355 to 3.210716 | 1.581800 | 0.659925 |
| Comparison | TDCount | RR [%] | POPSize | SMPSize | SMPPercentage [%] | r2 |
|---|---|---|---|---|---|---|
| IRD(1)-to-REF | 313,200 | 55.6322 | 138,960 > 128,062 | 386 > 384 | 0.2778 | 0.9850 |
| IRD(2)-to-REF | 313,200 | 55.6322 | 138,960 > 128,062 | 386 > 384 | 0.2778 | 0.9919 |
| IRD(3)-to-REF | 312,840 | 55.6962 | 138,600 > 128,062 | 385 > 384 | 0.2778 | 0.9899 |
| IRD(4)-to-REF | 313,200 | 55.6322 | 138,960 > 128,062 | 386 > 384 | 0.2778 | 0.9908 |
| IRD(5)-to-REF | 308,160 | 55.0234 | 138,600 > 128,062 | 385 > 384 | 0.2778 | 0.9932 |
| IRD(6)-to-REF | 308,160 | 55.0234 | 138,600 > 128,062 | 385 > 384 | 0.2778 | 0.9938 |
| IRD(7)-to-REF | 308,160 | 55.0234 | 138,600 > 128,062 | 385 > 384 | 0.2778 | 0.9933 |
| IRD(8)-to-REF | 308,160 | 55.0234 | 138,600 > 128,062 | 385 > 384 | 0.2778 | 0.9935 |
| ARD(1)-to-REF | 316,440 | 55.8589 | 139,680 > 128,062 | 388 > 384 | 0.2778 | 0.9893 |
| ARD(2)-to-REF | 316,440 | 55.8589 | 139,680 > 128,062 | 388 > 384 | 0.2778 | 0.9897 |
| ION-to-REF | 309,960 | 55.1684 | 138,960 > 128,062 | 386 > 384 | 0.2778 | 0.9867 |
| Comparison | SMPRange [cm] | SMPMean [cm] | SMPSD [cm] | EPLB (x1-score) [cm] | EPUB (x2-score) [cm] | EPIL [cm] |
|---|---|---|---|---|---|---|
| IRD(1)-to-REF | 0.146734 to 0.852429 | 0.498229 | 0.163766 | 0.334463 | 0.661995 | 0.327532 |
| IRD(2)-to-REF | 0.053473 to 0.850176 | 0.484629 | 0.170053 | 0.314576 | 0.654682 | 0.340106 |
| IRD(3)-to-REF | 0.092095 to 0.853501 | 0.493679 | 0.169527 | 0.324152 | 0.663206 | 0.339054 |
| IRD(4)-to-REF | 0.033935 to 0.850927 | 0.480989 | 0.172318 | 0.308671 | 0.653307 | 0.344636 |
| IRD(5)-to-REF | 0.099014 to 0.655244 | 0.386391 | 0.117462 | 0.268929 | 0.503853 | 0.234924 |
| IRD(6)-to-REF | 0.088119 to 0.645864 | 0.380728 | 0.120967 | 0.259761 | 0.501695 | 0.241934 |
| IRD(7)-to-REF | 0.098874 to 0.664284 | 0.388580 | 0.117955 | 0.270625 | 0.506535 | 0.235910 |
| IRD(8)-to-REF | 0.086754 to 0.644852 | 0.383832 | 0.121536 | 0.262296 | 0.505368 | 0.243072 |
| ARD(1)-to-REF | 0.035724 to 1.098714 | 0.519565 | 0.178463 | 0.341102 | 0.698028 | 0.356926 |
| ARD(2)-to-REF | 0.061673 to 1.070856 | 0.521996 | 0.171946 | 0.350050 | 0.693942 | 0.343892 |
| ION-to-REF | 0.114355 to 3.210716 | 1.581800 | 0.660780 | 0.921020 | 2.242580 | 1.321560 |
| Set of Comparisons | APLB (x̅1-score) [cm] | APUB (x̅2-score) [cm] | APIL [cm] |
|---|---|---|---|
| IRD(1–8)-to-REF | 0.292934 | 0.581330 | 0.288396 |
| Comparison | EP | AP | RMSE |
|---|---|---|---|
| IRD(1)-to-REF | 0.682689 | 0.589080 | 0.093609 < 0.2 |
| IRD(2)-to-REF | 0.682689 | 0.585389 | 0.097300 < 0.2 |
| IRD(3)-to-REF | 0.682689 | 0.579256 | 0.103433 < 0.2 |
| IRD(4)-to-REF | 0.682689 | 0.582253 | 0.100436 < 0.2 |
| IRD(5)-to-REF | 0.682689 | 0.738380 | 0.055691 < 0.2 |
| IRD(6)-to-REF | 0.682689 | 0.717383 | 0.034694 < 0.2 |
| IRD(7)-to-REF | 0.682689 | 0.740160 | 0.057471 < 0.2 |
| IRD(8)-to-REF | 0.682689 | 0.720663 | 0.037974 < 0.2 |
| ARD(1)-to-REF | 0.682689 | 0.533305 | 0.149384 < 0.2 |
| ARD(2)-to-REF | 0.682689 | 0.543579 | 0.139110 < 0.2 |
| ION-to-REF | 0.682689 | 0.039447 | 0.643242 > 0.2 |
Disclaimer/Publisher’s Note: The statements, opinions and data contained in all publications are solely those of the individual author(s) and contributor(s) and not of MDPI and/or the editor(s). MDPI and/or the editor(s) disclaim responsibility for any injury to people or property resulting from any ideas, methods, instructions or products referred to in the content. |
© 2025 by the authors. Licensee MDPI, Basel, Switzerland. This article is an open access article distributed under the terms and conditions of the Creative Commons Attribution (CC BY) license (https://creativecommons.org/licenses/by/4.0/).
Share and Cite
Mitrović, D.; Djordjević, D.; Devetaković, M.; Nikolić, M.; Šćekić, J.; Ivanović, J. A Cost-Efficient Validation of Architectural Heritage: Digitally Conducted Stylistic Assessment of Artifacts Based on Diagrammatic Expressions of Their Morphology. Buildings 2025, 15, 3147. https://doi.org/10.3390/buildings15173147
Mitrović D, Djordjević D, Devetaković M, Nikolić M, Šćekić J, Ivanović J. A Cost-Efficient Validation of Architectural Heritage: Digitally Conducted Stylistic Assessment of Artifacts Based on Diagrammatic Expressions of Their Morphology. Buildings. 2025; 15(17):3147. https://doi.org/10.3390/buildings15173147
Chicago/Turabian StyleMitrović, Djordje, Djordje Djordjević, Mirjana Devetaković, Marko Nikolić, Jelena Šćekić, and Jelena Ivanović. 2025. "A Cost-Efficient Validation of Architectural Heritage: Digitally Conducted Stylistic Assessment of Artifacts Based on Diagrammatic Expressions of Their Morphology" Buildings 15, no. 17: 3147. https://doi.org/10.3390/buildings15173147
APA StyleMitrović, D., Djordjević, D., Devetaković, M., Nikolić, M., Šćekić, J., & Ivanović, J. (2025). A Cost-Efficient Validation of Architectural Heritage: Digitally Conducted Stylistic Assessment of Artifacts Based on Diagrammatic Expressions of Their Morphology. Buildings, 15(17), 3147. https://doi.org/10.3390/buildings15173147

