Abstract
This study investigates how different longitudinal steel rebars influence the flexural performance and cracking mechanisms of reinforced ultra-high-performance concrete (UHPC) beams, combining axial tensile tests using acoustic emission monitoring with standard four-point bending tests. A series of experimental assessments on the flexural behavior of UHPC beams reinforced with various types of longitudinal reinforcement was conducted. The types of longitudinal reinforcement mainly encompassed HRB 400, HRB 600, and NPR steel rebars. The test results revealed that the UHPC beams reinforced with the three types of longitudinal steel rebar exhibited distinctly different failure modes. Compared to the single dominant crack failure typical of UHPC beams reinforced with HRB 400 steel rebars, the beams using HRB 600 rebars exhibited a tendency under balanced failure conditions to develop fewer main cracks (typically two or three). Conversely, the UHPC beams incorporating NPR steel rebars exhibited significantly more cracking within the pure bending zone, characterized by six to eight uniformly distributed main cracks. Meanwhile, the HRB 600 and NPR steel rebars effectively upgraded the flexural load-bearing capacity and deformation ability compared to the HRB 400 steel rebars. By integrating the findings from the direct tensile tests on reinforced UHPC, aided by acoustic emission source location, this research specifically highlights the damage mechanisms associated with each rebar type.
1. Introduction
The rapid development of increasingly complex and large-scale engineering structures demands superior mechanical properties from the predominant structural materials like steel and concrete. In this context, ultra-high-performance concrete (UHPC) has emerged as a highly promising material over recent decades, owing to its exceptional properties, including ultra-high compressive and tensile strength, outstanding durability, and more [1,2,3]. These enhanced characteristics, particularly the ultra-high compressive strength and superior durability, are primarily attributed to UHPC’s optimized mix design underpinned by the packing density theory [4]. In addition, UHPC shows high tensile strength and tensile strain-hardening effect given a volume content of fibers [2,5]. Great momentum has thus been growing towards the utilization of UHPC, which has been mainly studied and applied in bridges [6], prefabricated buildings [7], marine engineering [8], and so forth.
For steel rebars, traditional steel rebars (HRB 335, HRB 400, HRB 600, and so on, determined following Chinese standards) have generally faced the shortcomings of premature necking and decreased ductility. A higher tensile strength in steel rebars corresponds to reduced ductility, creating a fundamental conflict between achieving high load-bearing capacity and sufficient deformability for reinforced concrete members within the current design codes [9]. Recently, an innovative kind of engineering steel rebar with high strength (its yielding and ultimate tensile strength is greater than 600 MPa and 1000 MPa, respectively) and high uniform elongation (>40%) has been developed [10,11]. Distinct from traditional steel rebars, the most unique characteristic of this type of steel rebar is that it possesses a negative Poisson’s ratio effect under the plastic stage, and it is therefore abbreviated as NPR steel rebar in this study. NPR steel rebars are preferred for adoption in engineering structures where large stress and high ductility are simultaneously required.
Research on the flexural behavior of UHPC beams reinforced with conventional steel rebars has advanced significantly [12,13,14,15], demonstrating that UHPC substantially enhances load-bearing capacity while its steel fibers effectively improve cracking resistance and toughness. For example, Graybeal’s early investigation of full-scale prestressed UHPC I-girders (without mild reinforcement) revealed that the fiber–matrix interaction promotes closely spaced micro-cracking [16]. Furthermore, studies by Bae and Pyo on UHPC sleepers established that an increased steel fiber volume fraction directly enhances the energy absorption capacity under repeated train and impact loading [17,18]. Shao and Billington and Shao et al. systematically investigated the effect of high-amplitude cyclic loading on reinforced UHPC beams with varying longitudinal reinforcement ratios and fiber contents [19,20]. The test results demonstrated that for both monotonical and cyclical loadings, a higher reinforcement ratio and a lower fiber content might result in more localized cracks and delay fractures in steel rebars.
However, most of the aforementioned research also concluded that the employment of UHPC might deteriorate the deformation and ductility ability of UHPC flexural members reinforced with conventional steel rebars owing to the stress concentration at a few main cracks, and the high performance of UHPC was not fully utilized [19,21,22]. Therefore, the authors proposed to adopt NPR steel rebars in UHPC beams, and both the monotonically and cyclically flexural behavior of UHPC beams reinforced with NPR steel rebars was preliminarily investigated [23,24]. The results showed that the NPR steel rebars effectively improved the flexural strength and upgraded the deformability and ductility. Zheng et al. investigated the flexural behavior of high-ductility concrete beams reinforced with NPR steel rebars. The results revealed that the superior tensile characteristic of NPR steel rebars could effectively enhance both the load-bearing capacity and ductility of high-ductility concrete beams and prevent localized crack deterioration, resulting in the fine, dense, and uniformly spaced crack failure mode of beams [25]. Besides, UHPC members reinforced with NPR steel rebars combine exceptional crack resistance with tensile ductility, facilitating blast/earthquake-resistant structures, military fortifications, and tunnel linings. Its synclastic curvature under tension, coupled with the synergistic steel rebar–UHPC interaction, significantly amplifies energy absorption in protective structures, adaptive facades, and so forth, and paves the way for next-generation resilient infrastructure. The distinct influence of NPR steel rebars, compared to traditional reinforcement, on the flexural behavior and crack evolution mechanism in reinforced UHPC beams remains unclear. Acoustic emission (AE) technology enables the real-time tracking of internal UHPC damage phenomena, including matrix micro-cracking and steel fiber debonding. Consequently, integrating AE with axial tensile testing provides a novel methodology to reveal the micro-scale crack development mechanism.
This study briefly introduces an experimental study on the failure mode and load-deflection responses of UHPC beams reinforced with different longitudinal reinforcements based on different batches of UHPC beam specimens. Using the reinforced UHPC direct tensile test, accompanied by AE source-locating technology, the damage mechanism of UHPC beams reinforced with different types of longitudinal reinforcements, including HRB 400, HRB 600, and NPR steel rebars, was selectively emphasized. This study advances understanding in civil engineering by establishing a qualitative link between rebar types and failure modes in UHPC beams, demonstrating NPR steel’s capacity to generate numerous uniformly distributed cracks while simultaneously enhancing flexural strength and ductility. Acoustic-emission-based tensile testing provides fundamental micromechanical insights into damage progression, supporting evidence-based improvement selection for crack-sensitive infrastructure.
2. Brief Description of Experimental Program
Two batches of UHPC beam specimens reinforced with different types of longitudinal reinforcements were tested successively. The first batch of test specimens included four simply supported UHPC beams reinforced with HRB 400 and HRB 600 steel rebars, and is referred to as “the first part of the beams”. The subsequent batch mainly involved four simply supported UHPC beams reinforced with HRB 400 and NPR steel rebars, and is abbreviated as “the second part of the beams”. A brief introduction of each experimental program is as follows. The beam specimens’ parameters are presented in Table 1. In Table 1, the first notation refers to the shape of the cross-section of the beam specimens. “R” and “T” represent the rectangle and T-shape respectively. The second notation refers to the type of longitudinal reinforcements. “400”, “600”, and “NPR” represent the HRB 400, HRB 600, and NPR steel rebars, respectively. The third notation refers to the longitudinal reinforcement ratio.
Table 1.
Design parameters of all beam specimens.
2.1. UHPC Beam Specimens Reinforced with HRB 600 Steel Rebars
The detailed description of the UHPC beams reinforced with HRB 600 steel rebars, encompassing specimen design, material properties, test setup, and instrumentation, has been reported in the literature [26] by the authors. The geometry and reinforcement details of the cross-section of four UHPC beam specimens are presented in Figure 1. The T-beam specimens featured a 120 mm × 300 mm web and a 320 mm × 60 mm flange. To prevent shear failure in the bending–shear regions, HPB300 stirrups were spaced at 100 mm, whereas the pure bending zone was not configured with stirrups. The actual length and calculated span of the four UHPC beams was 3000 mm and 2700 mm, respectively. The conventional four-point bending approach was employed in this study, in which the length of both the bending–shear region and the pure bending region was 900 mm. Loading control was achieved via hydraulic screw jacks in a range of 300 kN with a displacement rate of 0.3 mm/min.
Figure 1.
Cross-section of UHPC beams reinforced with HRB 600 and HRB 400. (a) Rectangle cross-section; (b) T-shape cross-section.
2.2. UHPC Beam Specimens Reinforced with NPR Steel Rebars
The notation, detailed reinforcements and dimensions, and design parameters of the UHPC beam specimens reinforced with NPR steel rebars are presented in Figure 2 and Table 1. The actual and calculated span of this series of UHPC beam specimens was 2200 mm and 2000 mm, respectively. The four-point bending method was adopted as well, and the shear–bending region and pure bending region were 700 mm and 600 mm, respectively.
Figure 2.
Cross-section of UHPC beams reinforced with NPR and HRB 400 steel rebar. (a) R-400-1.72%/R-NPR-1.72%; (b) R-400-2.58%/R-NPR-2.58%.
2.3. Direct Tensile Test of Reinforced UHPC
A direct tensile test accompanied by an AE source-locating technique was introduced to analyze the tensile response of the reinforced UHPC and further to explain the failure mechanism of reinforced UHPC located at the tension zone of the beams. The reinforcement types included HRB 400, HRB 600, and NPR steel rebar. The same diameter of 16 mm was adopted for each kind of steel rebar. The manufacturing of the reinforced UHPC direct tensile specimens was constructed parallel to that of the second batch of beam specimens—that is, the UHPC beam reinforced with an NPR steel rebar. Three identical samples were prepared for each group of reinforced UHPC direct tensile specimens. As shown in Figure 3, eight transducers detected the AE sources on both specimen surfaces, and the figure also details the geometries of the reinforced UHPC direct tensile specimens. The direct tensile test of the reinforced UHPC was achieved through a 300 kN universal testing machine in a displacement-controlled manner. The test setup and instrumentation of the reinforced UHPC direct tensile tests, accompanied by AE source-locating technology, are shown in Figure 4.
Figure 3.
Detailed geometries and AE transducer location of reinforced UHPC direct tensile specimens.
Figure 4.
Test setup of reinforced UHPC direct tensile test and AE source test.
2.4. Materials Properties
In terms of UHPC, it consists of commercial premix, steel fibers, and water. The UHPC mix comprised Portland cement P·I 42.5 determined following Chinese standard GB 175–2023 [27], silica sand (0.1–0.3 mm particle size), quartz powder (38 μm particle size, 2.65 g/cm3 density), silica fume, and superplasticizer, with the weight proportions of cement: sand: quartz powder: silica fume: superplasticizer being 1:1.34:0.3:0.3:0.005. Additionally, 2.0% volume fraction steel fibers (16 mm length, 20 μm diameter) were incorporated. All materials were batched according to the manufacturer’s specifications and mixed using prescribed procedures, and the specimens underwent standard 28-day room-temperature curing. The axial tensile stress versus the axial strain response of the dog-bone-shaped UHPC samples for each batch, which were tested following the test setup (Figure 4), is shown in Figure 5. The samples 1-1~1-3 represent the samples employed in the first part of the reinforced UHPC beam test. Similarly, the samples 2-1~2-3 represent the samples adopted in the second part of the reinforced UHPC beam specimens and direct tensile specimens. The UHPC exhibited high tensile strength and ultimate tensile strain.
Figure 5.
Tested axial stress versus axial strain response of UHPC.
For each rebar type, multiple diameters underwent tensile testing using three 500 mm specimens (300 mm gauge length) per diameter. The resulting tensile properties are summarized in Table 2, while the average axial stress–strain curves per rebar type appear in Figure 6. HRB 400-1 and HRB 400-2 refer to the HRB 400 steel rebar employed in the first part and the second part of the beam specimens, respectively. As shown in Figure 6, the NPR steel rebar exhibited excellent tensile strength and elongation compared to the HRB 400 and HRB 600 steel rebars. Besides, the unique characteristic of NPR steel rebars, which distinguishes them from conventional steel rebars, is that there is no yielding plateau.
Table 2.
Mechanical properties of steel rebars.
Figure 6.
Tested average axial tensile stress versus axial strain response for steel rebars.
3. Test Results and Discussions
3.1. Crack Pattern of UHPC Beams
The crack pattern of the UHPC beams reinforced with various types of longitudinal steel rebar is shown in Figure 7. Consistent with prior research [18,20,28], the UHPC beams reinforced with normal-strength steel (HRB 400) typically developed a dominant primary crack within the tension zone, accompanied by distributed micro-cracking. This failure pattern manifested clearly in specimens R-400-2.62%, T-400-2.91%, and R-400-1.72%, all exhibiting localized tensile cracking with varying degrees of compressive crushing in the UHPC matrix. Notably, specimen R-400-2.58% developed one principal crack of maximum width alongside two significant secondary cracks.
Figure 7.
Failure mode of UHPC beams reinforced with various longitudinal steel rebars. (a) R-400-2.62%; (b) R-600-2.62%; (c) T-400-2.62%; (d) T-600-2.62%; (e) T-400-2.62%; (f) T-600-2.62%; (g) R-NPR-1.72%; (h) R-NPR-2.58%.
The UHPC beams reinforced with the HRB 600 steel rebar were slightly different, presenting a few (2~3) main cracks, like the phenomenon seen in some other studies as well [15,29]. Specimen T-600-2.91% exhibited three main cracks; however, the failure mode of specimen R-600-2.62% was similar to that of over-reinforced failure. That is, the UHPC in the compression zone suddenly collapsed prior to the fracture of the HRB 600 steel rebars, whereas the UHPC beams reinforced with NPR steel rebars under a traditional four-point bending load exhibited multiple (7~8) uniformly distributed main cracks along the entire pure bending segment. Additionally, the UHPC in the compression zone displayed overall spalling failure, in that a longitudinally horizontal crack appeared along the pure bending region. Specimens R-NPR-1.72% and R-NPR-2.58% both showed the above-mentioned failure mode.
Under low to moderate bending loads, all specimens, whether reinforced with HRB 400, HRB 600, or NPR steel rebars, developed multiple closely spaced micro-cracks within the pure bending region. This behavior stems directly from UHPC’s inherent strain-hardening characteristics. As the load gradually increased, the fibers at the micro-cracks gradually debonded from the UHPC matrix. For both the HRB 400 and HRB 600 steel rebars, once the strain hardening of the steel rebar was not enough to compensate for the loss caused by the debonding and pull-out of the steel fibers, a single or a few localized cracks in relatively weaker positions progressively widened, along with different gradual UHPC crushing failures. For the UHPC beams reinforced with NPR steel rebar, a typical crack evolution for specimen R-NPR-2.58% is presented in Figure 8. The successive widening of the micro-cracks culminated in the concurrent formation of multiple macro-cracks.
Figure 8.
Crack evolution of specimen R-NPR-2.58% [23].
3.2. Load-Deflection Curves of UHPC Beams
Figure 9 presents the load versus midspan deflection response for all reinforced UHPC beams, showing curves that are generally divisible into three distinct stages: an initial elastic stage, followed by a nonlinear hardening stage, and culminating in a yielding stage for the beams reinforced with HRB 400 or HRB 600 rebars. However, for the NPR-reinforced beams, the third stage featured a continual load-bearing capacity increase, mirroring the stress–strain behavior of the NPR steel rebar. Besides, given a certain cross-section and longitudinal reinforcement ratio, the slope at the first and the second stages of the UHPC beams remained approximately similar owing to the relatively close elastic modulus for each kind of steel rebar. Moreover, the unique phenomenon of the load–midspan deflection curves for specimens R-NPR-1.72%/2.58% was that there were multiple load fluctuations in the third stage. This behavior likely stems from NPR rebars’ efficient load-transfer capability. Their continuous post-yield strain hardening effectively offsets the diminished steel fiber bridging effect resulting from the fiber debonding and pull-out at multiple cracks. The above-mentioned multiple main cracks failure path would appear. In addition, as in some other research [25,29], both the HRB 600 and NPR steel rebars significantly enhanced the load-bearing and deformation abilities of the reinforced UHPC beams given a certain longitudinal reinforcement ratio.
Figure 9.
Load–midspan deflection curves of all reinforced UHPC beam specimens. (a) The first part of the beam specimens; (b) The second part of the beam specimens.
The low-ductility case occurred in specimen T-600-2.62% due to the over-reinforced failure. The UHPC at the compression zone was prematurely crushed, meaning that the tensile characteristic of the HRB 600 was not fully utilized, and a poor deformation performance occurred in the reinforced UHPC beam. However, as shown in Figure 9b, since specimen R-400-1.72% exhibited an under-reinforced failure mode, the longitudinal reinforcements ruptured when slight crushing of the UHPC appeared at the compression zone, which further resulted in a poor deformation ability as well.
Shao and Billington [30] identified two predominant flexural failure paths in longitudinally reinforced HPFRCC structural members—failure after crack localization and failure after gradual strain hardening (Figure 10)—through an extensive literature review and experimental work, with the boundary between paths demarcated by whether the steel rebar’s strain-hardening capacity sufficiently offsets the loss of the fiber bridging effect. The corresponding calculation approach to the limit reinforcement ratio between the two failure paths is shown in Equation (1). The calculated limit longitudinal reinforcement area according to Equation (1) for UHPC reinforced with HRB 400 steel rebars is 1.28%. Thus, specimen R-400-1.72% exhibited a relatively weak gradual strain-hardening failure, while specimen R-400-2.58% showed a strong gradual strain-hardening failure.
where As,lim refers to the minimum longitudinal reinforcement area; fsu and fsy are the ultimate stress and yielding stress of the steel reinforcement, respectively; ft is the post-cracking tensile strength of the UHPC; and b and d refer to the beam width and the distance from the extreme compression edge to the centroid of tension reinforcement, respectively.
Figure 10.
Two failure paths summarized from reinforced HPFRCC flexural members [30].
In short, while maintaining the required structural load-bearing capacity and deformation performance, the use of NPR reinforcement allows a significant reduction in longitudinal steel quantity, lowering material consumption. This concurrently ensures superior UHPC castability and maximizes the synergistic mechanical advantages of both UHPC and NPR steel. Although NPR reinforcement effectively controls crack propagation and enhances the serviceability limit state performance, it has minimal impact on slimming structural profiles.
3.3. Tensile Load–Strain Curve of Direct Tensile Reinforced UHPC Specimens
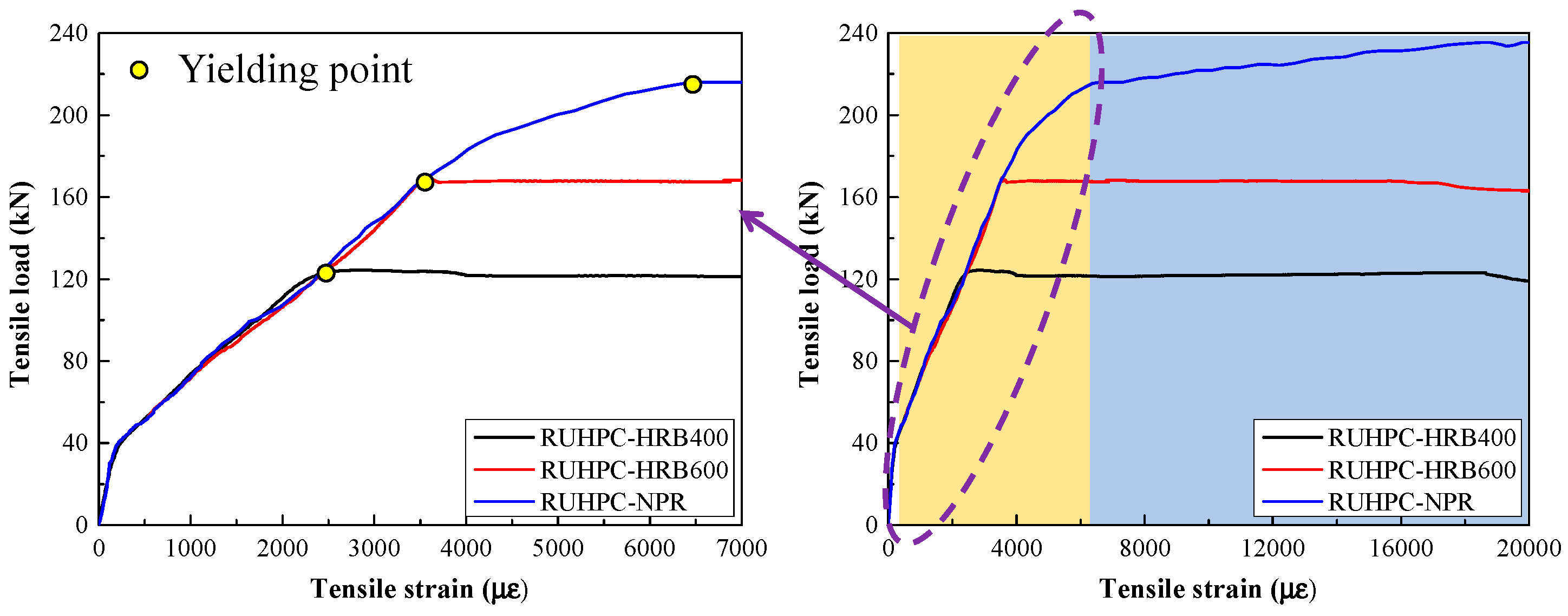
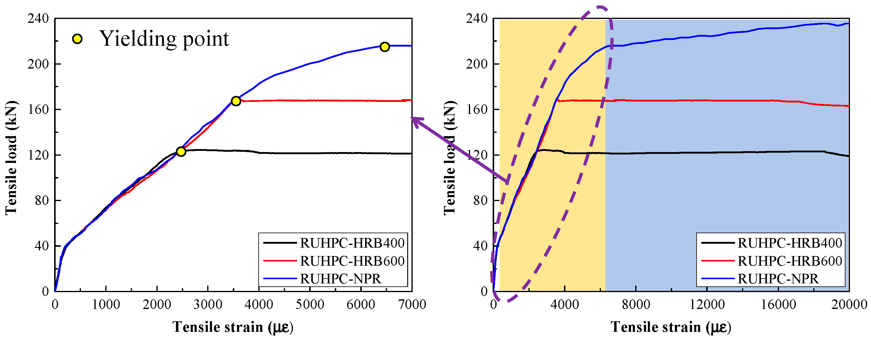
The averaged axial tensile load versus tensile strain response of the direct tensile UHPC specimens reinforced with different kinds of steel rebars is shown in Figure 11. It was observed from Figure 11 that the axial tensile load–strain curves of reinforced UHPC can be generally divided into three stages: the elastic stage, the elastic–plastic stage, and the plastic stage. All reinforced UHPC specimens exhibited smooth elastic-to-post-elastic transitions, governed by the UHPC matrix’s dominance during elastic deformation. Prior to the HRB 400 rebar yielding, the tensile load–strain curves converged across specimens due to the comparable elastic moduli among all three rebar types. Besides, the strains at the beginning of the plastic stage for specimens RUHPC-HRB 400, RUHPC-HRB 600, and RUHPC-NPR were approximately similar to the yielding strains corresponding to the HRB 400, HRB 600, and NPR steel rebars. Consequently, negligible slip occurred between the UHPC matrix and all steel rebar types, indicating that effective composite action was achieved prior to the steel rebar’s yielding.
Figure 11.
Tensile load–strain curves of direct tensile reinforced UHPC specimens.
In addition, the yielding and ultimate tensile loads increased as the tensile strength of the steel rebars increased. Moreover, the third stage for the UHPC direct tensile specimen reinforced with NPR steel rebars exhibited a slightly gradual strain hardening, which was different from the UHPC direct tensile specimens reinforced with HRB 400 and HRB 600 steel rebars in that the curves at the third stage showed a stable yielding plateau. This is because the NPR steel rebar possessed progressive strain hardening after yielding.
3.4. AE Evolution of Direct Tensile Reinforced UHPC Specimens
The AE analysis approach can effectively monitor the internal damage of UHPC from the microcosmic point of view. The AE source evolution for the UHPC direct tensile specimens reinforced with different kinds of steel rebar is shown in Figure 12. The values in brackets are the accumulated numbers of AE sources detected by the AE analysis system. It can be seen that there was generally no AE sources generated at the elastic stage for all reinforced UHPC direct tensile specimens. At the transition stage, a few AE sources were gradually detected. As the axial tensile load increased, the AE sources increased cumulatively and were distributed uniformly, reflecting that multiple micro-cracks (or defects) appeared all over the specimens. Subsequently, for specimen RUHPC-HRB 400, once the HRB 400 steel rebar yielded, a localized macro-crack developed progressively at the weakest position, yet the UHPC was still in the strain-hardening stage. This was attributed to the fact that the hardening ability of the steel rebar was not enough to compensate for the loss caused by the debonding and pull-out of the steel fibers at the crack region. Meanwhile, for specimen RUHPC-HRB 600, most of the AE sources were concentrated to two planes, which meant that two macro-cracks occurred. The position of relatively concentrated AE sources basically paralleled the actual position of the two macro-cracks, as shown in Figure 12b. The HRB 600 steel rebars’ elevated yield strain compensated for the post-first-crack load reduction caused by the steel fiber failure. In tensile tests, the NPR-reinforced specimens exhibited more uniformly distributed AE sources before rebar yielding than the HRB 400/600 counterparts at equivalent strains. This indicates that the UHPC specimens reinforced with NPR steel rebars generated more defects compared to the UHPC direct tensile specimens reinforced with HRB 400 and HRB 600 steel rebars. Prior to the yielding of the HRB 400 steel rebar, the AE sources detected for all reinforced HUPC direct tensile specimens were close, owing to the similar elastic modulus of each type of steel rebar.

Figure 12.
AE source evolution for different kinds of reinforced UHPC specimens. (a) RUHPC-HRB 400; (b) RUHPC-HRB 600; (c) RUHPC-NPR.
4. Damage Mechanism Analysis
According to the results from the UHPC beams and the direct tensile specimens reinforced with various types of steel rebar, the key distinction between UHPC beams reinforced with NPR steel rebars and conventional UHPC beams lies in their cracking behavior. The different crack behavior stems from the following factors. Firstly, the NPR steel rebar’s post-yield progressive strain hardening effectively compensates for the strength loss due to fiber-bridging failure. Combined with stress transfer through the rebar and residual fiber bridging, the gradual development of multiple cracks is promoted. Furthermore, the absence of a distinct yield plateau in NPR steel rebars mitigates crack localization, ensuring distributed cracking across the pure bending region. Zheng et al. [25] additionally demonstrated that its uniform tensile properties enhance stress transfer, reduce the strain differences between rebar and concrete, prevent localized crack deterioration, and compensate for strength loss following fiber bridging failure.
In UHPC beams reinforced with HRB 400 steel rebars, reaching the ultimate tensile strain of the UHPC disrupts the stress transfer across crack surfaces via reinforcement, triggering rapid localization of cracking at relatively weaker positions. Conversely, when HRB 600 rebar is employed, it works synergistically with the steel fibers to restrain existing crack development and maintain stress transfer away from the crack locations until the HRB 600 steel itself reaches its yielding strain.
5. Conclusions
This study conducted a comparative study on the effect of longitudinal reinforcements on the flexural performance and damage mechanisms of reinforced UHPC flexural members. The four-point bending test of reinforced UHPC beams and direct tensile test of reinforced UHPC dog-boned specimens, including different types of longitudinal reinforcements of HRB 400, HRB 600, and NPR steel rebars, was selectively conducted and discussed. The following main conclusions have been drawn:
- (1)
- Unlike the single main crack typical of HRB 400-reinforced UHPC beams, beams with HRB 600 rebar under balanced–reinforced failure transitioned to failure via a few (2–3) main cracks. In contrast, the NPR-reinforced UHPC beams developed multiple (6–8) uniformly distributed main cracks within the pure bending region.
- (2)
- Both the HRB 600 and NPR steel rebars significantly enhanced the load-bearing capacity and deformation ability of the reinforced UHPC beams given a certain longitudinal reinforcement ratio.
- (3)
- The AE analysis method provided robust detection of sub-0.01 mm defects while elucidating the micro-level damage evolution process in the reinforced UHPC specimens.
- (4)
- The superior and distinct tensile characteristics of NPR steel rebar could promote effective stress transfer resulting from minimizing the strain differential between the rebar and the UHPC. Besides, NPR steel rebar might mitigate localized crack deterioration while offsetting the strength reductions from fiber bridging failure.
Author Contributions
Conceptualization, J.-B.G. and J.-Y.W.; methodology, Y.T.; software, Y.-H.C.; validation, J.-B.G., Y.-H.C. and S.-X.Z.; formal analysis, J.-B.G. and Y.-H.C.; investigation, J.-B.G. and Y.-H.C.; resources, Y.T. and J.-Y.W.; data curation, J.-B.G. and Y.T.; writing—original draft preparation, J.-B.G., Y.-H.C. and S.-X.Z.; writing—review and editing, J.-B.G., Y.-H.C. and S.-X.Z.; supervision, J.-B.G. and Y.T.; project administration, J.-B.G.; funding acquisition, J.-B.G. and Y.T. All authors have read and agreed to the published version of the manuscript.
Funding
The financial support received from the National Natural Science Foundation of Shaanxi Province (Grant No. 2024JC-YBQN-0547); the Open Fund of the Shanghai Key Laboratory of Engineering Structure Safety (Grant No. 2023-KF09); the Collaborative Innovation Center Project of Shaanxi Provincial Department of Education (Grant No. 21JY025); and the Young Talent Fund of Xi’an Association for Science and Technology (Grant No. 959202413011) is grate-fully acknowledged.
Data Availability Statement
Data will be made available on request.
Conflicts of Interest
The authors declare no conflicts of interest.
References
- Richard, P.; Cheyrezy, M. Composition of reactive powder concretes. Cem. Concr. Res. 1995, 25, 1501–1511. [Google Scholar] [CrossRef]
- Yu, J.; Zhang, B.; Chen, W.; Liu, H. Multi-scale analysis on the tensile properties of UHPC considering fiber orientation. Compos. Struct. 2022, 280, 114835. [Google Scholar] [CrossRef]
- Hung, C.-C.; Chen, Y.-T.; Yen, C.-H. Workability, fiber distribution, and mechanical properties of UHPC with hooked end steel macro-fibers. Constr. Build. Mater. 2020, 260, 119944. [Google Scholar] [CrossRef]
- Dixit, A.; Du, H.; Pang, S.D. Carbon capture in ultra-high performance concrete using pressurized CO2 curing. Constr. Build. Mater. 2021, 288, 123076. [Google Scholar] [CrossRef]
- Wang, J.-Y.; Guo, J.-Y. Damage investigation of ultra high performance concrete under direct tensile test using acoustic emission techniques. Cem. Concr. Compos. 2018, 88, 17–28. [Google Scholar] [CrossRef]
- Miao, L.; Cheng, Z.; Song, J.; Zhang, Q.; Cui, C.; Li, J. Numerical study on the effects of the mechanical degradation of UHPC layer and stud connectors on the fatigue performance of steel-UHPC composite bridge decks. Eng. Struct. 2025, 332, 120069. [Google Scholar] [CrossRef]
- Zhang, Z.-Y.; Ding, R.; Nie, X.; Fan, J.-S. Seismic performance of a novel interior precast concrete beam-column joint using ultra-high performance concrete. Eng. Struct. 2020, 222, 111145. [Google Scholar] [CrossRef]
- Zeng, J.-J.; Feng, P.; Dai, J.-G.; Zhuge, Y. Development and behavior of novel FRP-UHPC tubular members. Eng. Struct. 2022, 266, 114540. [Google Scholar] [CrossRef]
- GB 50011-2010; Standardization Administration of the People’s Republic of China (SAC). Code for Seismic Design of Buildings. Standards Press of China: Beijing, China, 2010.
- Gu, T.; Jia, L.-J.; Chen, B.; Xia, M.; Guo, H.; He, M.-C. Unified full-range plasticity till fracture of meta steel and structural steels. Eng. Fract. Mech. 2021, 253, 107869. [Google Scholar] [CrossRef]
- Brüx, U.; Frommeyer, G.; Grässel, O.; Meyer, L.W.; Weise, A. Development and characterization of high strength impact resistant Fe-Mn-(Al-, Si) TRIP/TWIP steels. Steel Res. Int. 2002, 73, 294–298. [Google Scholar] [CrossRef]
- Bandelt, M.J.; Billington, S.L. Impact of Reinforcement Ratio and Loading Type on the Deformation Capacity of High-Performance Fiber-Reinforced Cementitious Composites Reinforced with Mild Steel. J. Struct. Eng. 2016, 142, 04016084. [Google Scholar] [CrossRef]
- Shafieifar, M.; Farzad, M.; Azizinamini, A. A comparison of existing analytical methods to predict the flexural capacity of Ultra High Performance Concrete (UHPC) beams. Constr. Build. Mater. 2018, 172, 10–18. [Google Scholar] [CrossRef]
- Zhang, W.; Zheng, D.; Huang, Y.; Kang, S. Experimental and simulative analysis of flexural performance in UHPC-RC hybrid beams. Constr. Build. Mater. 2024, 436, 136889. [Google Scholar] [CrossRef]
- Hung, C.-C.; Chueh, C.-Y. Cyclic behavior of UHPFRC flexural members reinforced with high-strength steel rebar. Eng. Struct. 2016, 122, 108–120. [Google Scholar] [CrossRef]
- Graybeal, B.A. Flexural Behavior of an Ultrahigh-Performance Concrete I-Girder. J. Bridge Eng. 2008, 13, 602–610. [Google Scholar] [CrossRef]
- Yan, W.; Zhang, R.; Sushant, S.; Ashour, A.; Fu, S.; Qiu, L.; Zhang, Z.; Ge, W. Experimental investigation on flexural performance of UHPC beams reinforced with steel-FRP bars. Arch. Civ. Mech. Eng. 2024, 24, 132. [Google Scholar] [CrossRef]
- Bae, Y.; Pyo, S. Effect of steel fiber content on structural and electrical properties of ultra high performance concrete (UHPC) sleepers. Eng. Struct. 2020, 222, 111131. [Google Scholar] [CrossRef]
- Shao, Y.; Billington, S.L. Impact of cyclic loading on longitudinally-reinforced UHPC flexural members with different fiber volumes and reinforcing ratios. Eng. Struct. 2021, 241, 112454. [Google Scholar] [CrossRef]
- Shao, Y.; Billington, S.L. Impact of UHPC tensile behavior on steel reinforced UHPC flexural behavior. J. Struct. Eng. 2022, 148, 04021244. [Google Scholar] [CrossRef]
- Yang, I.H.; Joh, C.; Kim, B.-S. Structural behavior of ultra high performance concrete beams subjected to bending. Eng. Struct. 2010, 32, 3478–3487. [Google Scholar] [CrossRef]
- Gao, X.-L.; Wu, K.; Guo, Y.-Q.; Zhao, Y.-C.; Guo, J.-Y. Experimental and numerical study on flexural behaviors of damaged RC beams strengthened with UHPC layer using the bonding technology of post-installed reinforcing bar. Constr. Build. Mater. 2023, 391, 131835. [Google Scholar] [CrossRef]
- Gu, J.-B.; Wang, J.-Y.; Lu, W. An experimental assessment of ultra high performance concrete beam reinforced with negative Poisson’s ratio (NPR) steel rebar. Constr. Build. Mater. 2022, 327, 127042. [Google Scholar] [CrossRef]
- Gu, J.-B.; Wang, J.-Y.; Tao, Y. Experimental assessment on cyclic flexural behavior of UHPC beam reinforced with negative Poisson’s ratio (NPR) steel rebar. Compos. Struct. 2023, 322, 117353. [Google Scholar] [CrossRef]
- Zheng, X.; Tao, Z.; He, M.; Geng, L. Investigation of the mechanical response and failure mode of high-ductility concrete (HDC) beams reinforced with negative Poisson’s ratio (NPR) steel rebar. Constr. Build. Mater. 2025, 475, 141178. [Google Scholar] [CrossRef]
- Wang, J.Y.; Gu, J.B.; Liu, C.; Huang, Y.H.; Xiao, R.C.; Ma, B. Flexural behavior of ultra high performance concrete beams reinforced with high strength steel. Struct. Eng. Mech. 2022, 81, 539–550. [Google Scholar] [CrossRef]
- GB 175-2023; Standardization Administration of the People’s Republic of China (SAC). Common Portland Cement. Standards Press of China: Beijing, China, 2023.
- Bae, Y.; Pyo, S. Ultra high performance concrete (UHPC) sleeper: Structural design and performance. Eng. Struct. 2020, 210, 110374. [Google Scholar] [CrossRef]
- Li, Y.; Aoude, H. Effect of high-strength and stainless steel reinforcement on the flexural behavior of UHPC beams. Case Stud. Constr. Mater. 2024, 20, e03271. [Google Scholar] [CrossRef]
- Shao, Y.; Billington, S.L. Predicting the two predominant flexural failure paths of longitudinally reinforced high-performance fiber-reinforced cementitious composite structural members. Eng. Struct. 2019, 199, 109581. [Google Scholar] [CrossRef]
Disclaimer/Publisher’s Note: The statements, opinions and data contained in all publications are solely those of the individual author(s) and contributor(s) and not of MDPI and/or the editor(s). MDPI and/or the editor(s) disclaim responsibility for any injury to people or property resulting from any ideas, methods, instructions or products referred to in the content. |
© 2025 by the authors. Licensee MDPI, Basel, Switzerland. This article is an open access article distributed under the terms and conditions of the Creative Commons Attribution (CC BY) license (https://creativecommons.org/licenses/by/4.0/).












