Abstract
As an important part of world cultural heritage, waterscapes in Chinese classical gardens are renowned for their unique design, rich cultural connotations, and distinctive esthetic value. However, objective studies of their impact on mental health are lacking. This paper focuses on Xishu Garden, a Chinese classical garden, and examines four types of waterscapes (for a total of twelve) using eye-tracking technology and the Perceived Restorativeness Scale (PRS). The aim of this study is to explore the restorative effects of different types of waterscapes with visual and audiovisual conditions, with particular attention paid to their mechanisms of action. The research results indicate that (1) waterscapes with an audiovisual interaction have a greater restorative value; (2) dynamic waterscapes have greater visual appeal than still landscapes do, but the latter have stronger environmentally restorative effects; and (3) the visual behavioral characteristics of waterscapes change during audiovisual interactions. This study contributes theoretical support for the maintenance and enhancement of Chinese classical gardens and the planning and design of modern urban green spaces, and it enriches our understanding of the role of waterscapes in restorative environments.
1. Introduction
The fast-paced lifestyle, high-intensity pressure of work and study, and growing population of the 21st century have produced a significant mental health crisis for global residents [1,2,3]. According to reports from the World Health Organization, mental health issues are steadily increasing worldwide, and overall health levels are continuously declining [4,5]. Numerous studies have confirmed that exposure to green environments has restorative effects that can improve mental health and reduce stress [6,7,8]. As a unique type of green environment, Chinese classical gardens integrate ancient Chinese health care theories and the concept of “harmony between man and nature” to embody the traditional medicine and survival wisdom of the Chinese people. By presenting a beautiful environment that is “derived from nature yet surpasses nature” [9], these gardens exert effects that include physical health, mental rehabilitation, and well-being [10]. As an important example of a Chinese classical garden, Xishu Garden shares these characteristics but has its own unique regional features and health benefits. In Xishu Garden, the waterscape constitutes a relatively large proportion of the landscape. The body of water is often regarded as the main landscape element, and there are almost no gardens without water.
Waterscapes (often referred to as “blue spaces”), including oceans, lakes, rivers, waterfalls, and fountains, have been found to provide various psychological and physiological benefits and to contribute to overall well-being [11,12]. To better understand the restorative effects of waterscapes, we draw upon three major theories in environmental psychology: attention restoration theory (ART) [13], stress reduction theory (SRT) [14], and the biophilia hypothesis [15]. (1) ART posits that prolonged directed attention can lead to cognitive fatigue. Natural environments provide “soft fascination,” a form of effortless attention that does not require intense cognitive engagement. This allows the brain’s directed attention mechanisms to rest and recover. (2) SRT suggests that humans have an innate preference for natural settings. Exposure to such environments can activate the parasympathetic nervous system, resulting in a decreased heart rate and blood pressure and reduced secretion of stress hormones. These physiological changes contribute to alleviating both psychological and physical stress. (3) The biophilia hypothesis proposes that humans possess an inherent affinity for the natural world, a tendency rooted in an evolutionary dependence on natural resources. Interaction with nature satisfies fundamental psychological needs, thus enhancing well-being and promoting both mental and physical health. Ulrich’s pioneering study revealed that clinical patients who viewed natural landscapes, especially those with water, recovered faster and experienced less pain than did patients who saw only urban landscapes without natural elements [16]. Finlay et al. reported that exposure to water environments significantly improved the quality of life and mental health of elderly individuals [17]. Using longitudinal analysis, Keijzer et al. emphasized the importance of blue spaces in promoting active lifestyles and enhancing overall well-being in older adults [18]. These findings highlight the importance of incorporating blue spaces into urban planning to meet the needs of the aging population. Huynh et al. reported that people who exercised near water showed more significant improvements in mood and self-esteem than did those who exercised in green spaces only [19]. Gao et al. reported that exposure to blue spaces significantly alleviated negative emotions and attention fatigue [20], and Luo et al. confirmed that even brief exposure to water environments could yield positive psychologically restorative effects [21]. In addition to exploring improvements in psychological restoration through waterscapes, studies have examined the restorative potential of the soundscapes within water environments [22,23,24]. Although numerous studies have demonstrated the strong restorative potential of waterscapes, previous research has typically treated waterscapes as homogenous entities [25], largely overlooking the internal variations within them. For example, whether different types of waterscapes yield distinct restorative effects remains unclear. To bridge this gap, the present study categorizes waterscapes based on their dynamic characteristics into four types: still water, flowing water, spraying water, and falling water.
In real-world settings, people do not perceive their surroundings solely through visual input. Instead, environmental perception is inherently multisensory, involving auditory, olfactory, and tactile stimuli. Among them, vision accounts for approximately 80% of sensory perception [26], followed by auditory perception—also known as the sound-scape—which plays a particularly significant role. Since the Canadian composer R. Murray Schafer proposed the concept of the soundscape in the 1960s [27], it has developed rapidly on a global scale. In 1978, Barry Truax defined a soundscape as the auditory environment perceived and understood by individuals or society [28], including both real and imagined environments. This definition later became one of the foundations of the concept of soundscapes issued by the International Organization for Standardization (ISO). Buxton et al. reported that natural sounds in national parks are related to health benefits and emphasized the potential of natural soundscapes to enhance visitors’ experiences and promote well-being in natural environments [29]. Uebel et al. and Michels et al. further explored the effects of specific natural sounds (such as birdsong and water sounds) on stress recovery and reported that these sounds could significantly improve negative emotions [30,31]. However, relying solely on visual perception or auditory perception can introduce bias into the results of environmental restoration studies. In contrast, environments with audiovisual interactions allow for more engagement and restorative effects [32]. Alvarsson et al. reported that natural sounds combined with visual stimuli led to a faster decrease in skin conductance levels and more effective stress recovery [33]. Yang et al. also confirmed that the audiovisual stimulation in natural environments offers greater health benefits than visual stimuli alone [34]. From a theoretical perspective, audiovisual integration is not merely the sum of visual and auditory inputs, but a synergistic process that enhances environmental coherence and the immersive experience. Therefore, research into the restorative benefits of audiovisual integration is of great importance. What makes waterscapes unique within natural landscapes is their intrinsic integration of movement and sound, offering a tightly coupled audiovisual environment. This distinctive feature positions waterscapes as an ideal setting for investigating how the integration of visual and auditory stimuli contributes to psychological restoration. Hence, waterscapes represent a valuable yet underexplored subject in the field of environmental psychology. Although previous studies have explored the relationship between the characteristics of waterscapes and the restorative benefits of their associated soundscapes [25,35], the use of randomly combined audiovisual materials has often resulted in mismatched sensory stimuli, introducing potential biases in the findings. Moreover, isolating water sounds from their environmental context does not accurately reflect real-world acoustic environments. In this research, synchronized audiovisual recordings from actual settings are used to ensure ecological validity. To address these limitations, it is necessary to systematically compare the unique contributions of various types of natural waterscapes and their soundscapes to health and well-being to enrich our understanding of the role of waterscapes in restorative environments.
To conceptually ground the investigation, this study adopts a multisensory restoration perspective, wherein auditory and visual stimuli are not merely additive, but interactively influence attentional mechanisms. Natural environments rich in congruent audiovisual cues promote perceptual fluency, enabling more efficient information processing and reducing cognitive effort. This joint modality effect is particularly salient in waterscapes, where visual motion (e.g., ripples and flow) and natural water sounds are often co-occurring and temporally synchronized. Therefore, examining their interaction provides a more ecologically valid understanding of how environmental multisensory features support psychological recovery.
Eye-tracking technology can observe eye movements and measure the position, movement, and fixation of eyes as well as pupil diameter to assess visual attention [36]. Studies have confirmed that eye-tracking technology can provide objective data on restorative environments. For example, Nordh et al. classified environmental components on the basis of eye-tracking data collected during a restorative rating task [37], and Wu Y. et al. explored the relationships among the perceived design intensity, preference, and eye movements in urban green spaces [38]. Similarly, Kang and Kim used eye tracking to reveal different scanning behaviors related to perceived restoration [39].
On this basis, this study uses eye-tracking technology to conduct an objective quantitative analysis of participants’ perceptions to provide data support for the interaction between the visual and auditory systems in the process of attention restoration. This study focuses on the waterscape in Xishu Garden and combines eye-tracking measurements with the Perceived Restorativeness Scale (PRS) to answer the following questions: (1) What are the differences in the restorative benefits of waterscapes with a single type of visual stimulation or audiovisual interaction? (2) Is there a difference in environmental restoration between different types of waterscapes? (3) What are the differences in the visual behavioral characteristics of waterscapes with single types of visual stimulation or audiovisual interaction?
2. Materials and Methods
2.1. Experimental Materials
This study selected seven Xishu Gardens with rich waterscapes as case studies. The locations, environmental characteristics, and photos of the sample sites are shown in Table 1 and Figure 1. To minimize the influence of nonaudiovisual perceptual factors such as climate, light, and temperature, the experiment was conducted by showing the participants videos in a controlled laboratory environment.
Table 1.
Characteristics of the sample sites.
Figure 1.
Sample site location and schematic diagram.
The experimental materials for this study were filmed from 23 September to 1 October 2023 (weather: cloudy), from 10:00 a.m. to 5:00 p.m. when the lighting was optimal. Different angles of the waterscapes in the seven gardens were filmed onsite for a minimum of 2 min each, and their exact locations were recorded on a map. The video recording was made with a Canon G7X Mark III (manufacturer: Canon, Tokyo, Japan). To ensure high-quality audio, a Canon high-fidelity recorder was used. During postproduction, the footage was edited and synthesized using Adobe Premiere, and all clips were uniformly cut to 40 s. Ultimately, through video quality assessment, evaluation of the ability of the video to reflect the real situation, and feedback from landscape experts, a total of 12 video segments were selected on the basis of the type of waterscape. Based on the observable physical dynamics and acoustic characteristics of water bodies, the 12 video clips were categorized into four types of waterscapes: flowing water (S1–S3), falling water (S4–S6), spraying water (S7–S9), and still water (S10–S12). This classification was conducted through onsite assessments and verified by three landscape experts to ensure consistency between water movement and the corresponding sound features. For the purely visual condition, the audio tracks were muted using Adobe Premiere during the editing process. Both the audiovisual and visual-only versions were trimmed to a uniform length of 40 s, ensuring that the only difference between the two conditions was the presence or absence of sound.
2.2. Experimental Subjects
Forty college students were recruited for this experiment. To ensure the accuracy of the experimental data, all participants were required to be in good health, without any diagnosed mental or neurological disorders and with normal unaided or corrected vision (≥1.0), no color blindness, and normal hearing (threshold < 25 dB). After data collection, the quality of the eye-tracking data was assessed. According to the criteria provided by Tobii Pro Lab (v1.232), participants with a pupil capture rate less than 80% or with more than 20% invalid or missing eye-tracking data were excluded because of insufficient data reliability. On the basis of these criteria, data from 7 participants were removed, resulting in a final sample of 33 individuals, including 15 males (45.5%) and 18 females (54.5%), with an average age of 22.0 ± 3.0 years. This experiment was approved by the Ethics Committee of Sichuan Agricultural University, and all subjects participated voluntarily.
2.3. Data Collection
2.3.1. Eye-Tracking Data
To minimize the impact of external perceptual factors such as lighting, temperature, and noise, this experiment was conducted at the Digital Landscape Laboratory of Sichuan Agricultural University. The 12 video segments were imported into Tobii Pro Lab (v1.232) software for design. To reduce the influence of the video order on the data, the 12 segments were designed for random playback and presented on a 27-inch LCD monitor (Model: Lenovo LEN63A9 T27p-30; resolution: 3840 × 2160 pixels). The eye-tracking data collection device used was Tobii Pro Glasses 2 (manufacturer: Tobii AB, Danderyd, Sweden) wearable eye tracker (sampling rate: 100 Hz; scene camera video format and resolution: H.264 1920 × 1080 pixels @ 25 fps; operating distance: 60–100 cm), as shown in Figure 2. Data collection was conducted in conjunction with Tobii Pro Glasses Controller (v1.14) software, and the collected data were imported into the Tobii Pro Lab (v1.232) software for processing and analysis.
Figure 2.
Tobii Pro Glasses2 wearable eye-tracking device.
According to ART and SRT, restoration is conceptualized as a multistage experiential process [40]. It begins with the elicitation of effortless attention by natural environments, which alleviates directed attention fatigue. The positive emotional responses triggered by natural settings subsequently further facilitate stress reduction [40], leading to decreased physiological stress indicators. The alleviation of stress supports cognitive functioning and concentration, which in turn creates favorable conditions for the recovery of directed attention. Therefore, among the eye-tracking metrics commonly used in previous studies, the fixation duration is the most frequently employed indicator [41]. In ART, attention fatigue is often regarded as a consequence of stress [42]. Under stress, the sympathetic nervous system is activated, signaling the adrenal glands to release cortisol and catecholamines into the body, thereby inducing physiological responses [43]. The observable changes in physiological indicators include pupil dilation, an increased blink rate, reduced heart rate variability (HRV), and elevated blood pressure [41].
Based on these insights, the present study selects four eye-tracking indicators for analysis: the average pupil diameter (APD), the average fixation duration (AFD), fixation frequency (FF), and the total fixation duration (TFD). The significance of each metric is summarized in Table 2.
Table 2.
Basic significance of eye movement metrics.
2.3.2. Subjective Perceived Restorative Effect
In addition to the use of eye-tracking equipment to collect dynamic changes in restorative effects on participants in different environments, the subjective perceptions of the participants were assessed. The PRS was used to evaluate the participants’ subjective perceptions of the restorative effects. This scale was developed by Hartig and Korpela et al. in 1997 [44] and has been applied in numerous environmental restoration experiments. The scale includes four main dimensions, namely, being away, fascination, coherence, and compatibility [45], which correspond to the characteristics of restorative environments. Each dimension contains four questions for a total of 16 questions, and each question is rated on a scale ranging from 1 to 7 (where 1 indicates strong disagreement and 7 indicates strong agreement). A higher total score indicates a better perceived restorative effect of the environment. Although the PRS was originally developed to assess individuals’ perception of restorative quality in real-world natural environments [44], subsequent studies have validated its applicability in laboratory-controlled virtual settings, including experiments employing photographs [46,47], videos [48], or virtual reality simulations [49,50] to represent natural environments. Consequently, the PRS is deemed appropriate for this study utilizing video-based simulations of natural environments.
2.4. Experimental Procedure
To ensure experimental validity and minimize potential biases, this study adopted a within-subjects design incorporating both randomization and a single-blind procedure. Each participant completed two experimental sessions: one under a purely visual (silent) condition and another under an audiovisual condition. The two sessions were separated by a minimum interval of two days to reduce memory effects. To avoid order-related biases, all 12 video clips were presented in a randomized sequence using the randomization function in Tobii Pro Lab software, thus eliminating potential sequence effects. Furthermore, to maintain perceptual authenticity and reduce expectancy effects and subjective bias, the participants were not informed that the experiment involved both audiovisual and visual-only conditions, nor were they made aware of this study’s hypotheses regarding potential differences in restorative outcomes between the two conditions. Instead, they were simply told that they would be watching a series of garden landscape videos. This approach was intended to ensure that the participants’ perceptions and responses were based entirely on their immediate experience, uninfluenced by prior assumptions or demand characteristics.
The specific procedure was as follows. (1) In the preparation stage, the participants arrived at the designated laboratory, were directed to a rest area for 3–5 min, and provided relevant basic information and informed consent for the experiment. At the same time, the experimental process and the use of the equipment were explained. (2) In the stress stage, the participants completed mental arithmetic of math problems without the help of a pen and paper according to computer screen prompts. The participants were asked to inform the experimenter of the answers and to complete as many problems as possible. This process lasted for 90 s. A previous study has shown that cognitive load and stress increase significantly when individuals perform mental arithmetic under time constraints or complex conditions [51]. (3) In the eye-tracking calibration stage, the participants were equipped with Tobii Pro Glasses 2 eye-tracking devices and instructed to fixate on a black circular calibration point (5 mm in diameter) displayed at the center of the screen. They were asked to keep their heads steady and maintain natural fixation on the point for 5 s until calibration was confirmed by the Tobii Pro Glasses Controller (v1.14). To minimize external auditory distractions, the participants also wore over-ear headphones throughout the process. (4) In the formal experiment stage, the participants viewed videos of waterscapes that were played randomly on the computer (to mitigate the impact of the video order) in a comfortable posture. They immersed themselves in the scenes while the eye tracker recorded relevant data, as shown in Figure 3. (5) In the questionnaire completion stage, after the video playback concluded, the participants removed the equipment and moved to a nearby area to complete the PRS. (6) At the end of the experiment, after completing all steps, the participants received a small gift and exited the laboratory in an orderly fashion. The total duration of the experiment was approximately 30 min, as illustrated in Figure 4.
Figure 3.
Field experiment.
Figure 4.
Experimental flow chart.
2.5. Data Analysis
The eye-tracking data were processed using Tobii Pro Lab (v1.232) software, from which relevant eye movement metrics and heatmaps were exported. All the data were subsequently imported into Excel and SPSS 27 for further statistical analysis. Two-way repeated-measures ANOVA was conducted to examine the main effects and interaction effects of the waterscape type (flowing/falling/spraying/still water) and sensory condition (audiovisual/visual-only) on the dependent variables, including PRS scores and four eye-tracking indicators: the average fixation duration (AFD), fixation frequency (FF), the total fixation duration (TFD), and the average pupil diameter (APD). Post hoc pairwise comparisons were conducted with Bonferroni correction. In addition, paired-sample t tests were conducted to compare the overall differences between the audiovisual and visual-only conditions. Statistical significance was set at p < 0.05. Effect sizes for the ANOVA results were reported using partial eta squared (η2), whereas Cohen’s d was used to report effect sizes for the paired comparisons. Finally, Pearson correlation analyses were performed to explore the relationships between the eye-tracking metrics and subjective perceptions. The main steps of this research are illustrated in Figure 5.
Figure 5.
Technical methods.
3. Results
3.1. Analysis of Subjective Perceived Restorative Effects
SPSS 27 software was used to conduct reliability and validity tests on the results of the PRS in this study. The Cronbach’s alpha coefficients were calculated for all the participants’ data in the silent, sound, and overall conditions; the standardized α values were 0.956, 0.958, and 0.956, respectively. All values exceeded 0.801, indicating that the questionnaire data in this study exhibited good internal consistency and high reliability. The validity analysis of the questionnaire results was conducted using the Kaiser-Meyer-Olkin (KMO) measure, which yielded a KMO value of 0.944 (p < 0.001), indicating the high validity of the questionnaire. The score of perceived restoration for each water scene video was calculated in Excel, and the data were imported into SPSS 27 for paired-sample t tests. The results indicated that the perceived environmentally restorative benefits under silent conditions (M = 78.25, SD = 18.47) were lower than those under sound conditions (M = 80.73, SD = 17.49), with a significant difference, t (395) = −2.931, p = 0.004 < 0.01, Cohen’s d = 0.15. The results show that subjective recovery scores are significantly improved after the addition of natural sounds, which is revealing in practical application scenarios despite the small effect size.
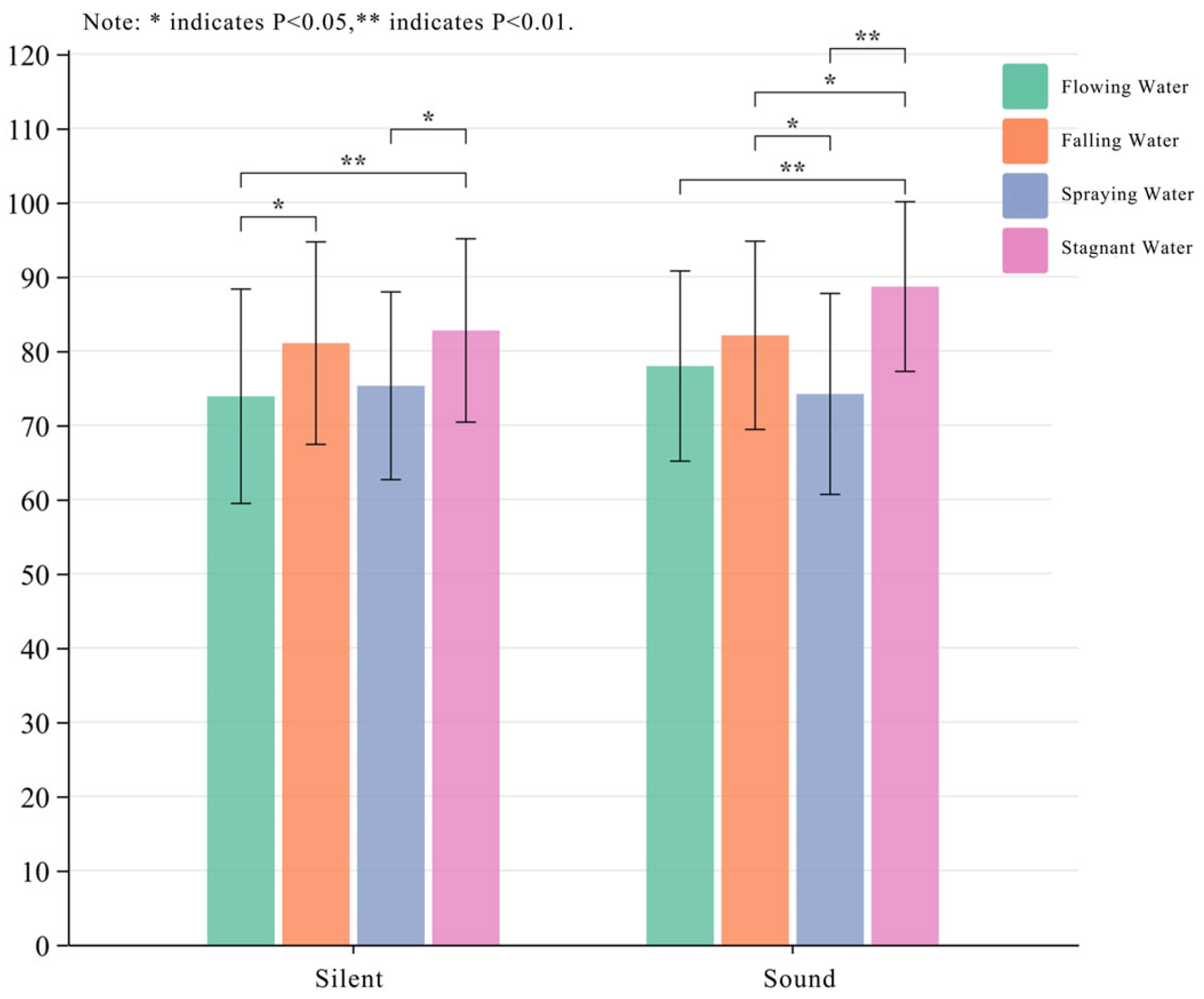
To further explore the interaction between the type of waterscape (i.e., flowing water, falling water, spraying water, and still water) and the sound condition (i.e., silent and sound), two-way repeated-measures ANOVA was conducted to observe whether the combination of the type of water scene and the sound conditions had different effects on the perceived restoration. The types of water scenes were categorized, and the average perceived restoration scores of the three scenes in each type were used as the score for that type of water scene. The results indicated that different types of water scenes had a significant effect on the perceived restoration (F (3, 96) = 16.640, p < 0.001, η2 = 0.342), and the interaction effect between the type of water scene and the sound condition was significant (F(3, 96) = 3.690, p = 0.015, η2 = 0.103). Further pairwise comparison analyses with Bonferroni correction (α = 0.05) revealed that different types of water scenes and their combinations with natural sounds had varying effects on perceived restoration. Specifically, under silent conditions, the perceived restoration score for still water was significantly higher than that for flowing water and spraying water, while falling water scored significantly higher than flowing water. In contrast, under sound conditions, the perceived restoration score for still water was significantly higher than that for the other types (p < 0.05). These statistical results are visually summarized in Figure 6, which shows the main effect of the waterscape type on restoration perception. Notably, the still water scenes consistently achieved higher mean scores under both sound and silent conditions. Although the effect size (Cohen’s d = 0.15) is considered small, it reflects a meaningful trend, particularly in applied design contexts where even marginal improvements can yield substantial public health benefits.
Figure 6.
Perceived restoration scores across waterscape types under silent vs. sound conditions.
3.2. The Effect of Sound on Visual Attention
Using Tobii Pro Lab (v1.232), the eye movement metrics for each of the 12 waterscape video scenes under both silent and sound conditions were extracted and analyzed using SPSS 27. Paired-sample t-tests were performed to examine the effects of sound on visual attention across four key indicators: APD, AFD, FF, and TFD. Three fundamental patterns emerged from the data, as presented in Table 3: (1) APD significantly decreased under sound conditions across all 12 scenes (all p < 0.01, Cohen’s d > 0.58), suggesting a consistent reduction in the cognitive load; (2) FF decreased in 11 scenes (91.7%), except for S11, indicating more stable and sustained visual attention in the presence of natural sounds; (3) TFD increased universally under sound conditions, implying enhanced visual engagement with the waterscape scenes.
Table 3.
The impact of sound on various eye movement metrics (silent–sound).
To further explore these patterns, detailed comparisons were conducted for each indicator. First, the APD for all scenes was significantly greater under silent conditions than under sound conditions (p < 0.01), suggesting that participants’ pupils dilated more in the absence of sound, potentially reflecting higher levels of attentional effort or mental load. In terms of the AFD, although the differences were not significant for most scenes (p > 0.05), there was an overall upward trend under sound conditions. In certain scenes, such as S3 (t = −2.463, p = 0.019 < 0.05, Cohen’s d = 0.429), S4 (t = −2.682, p = 0.011 < 0.05, Cohen’s d = −0.467) and S5 (t = −2.186, p = 0.036 < 0.05, Cohen’s d = −0.381), the AFD was longer under sound conditions, with the differences approaching significance. Moreover, FF exhibited significant differences in some scenes, such as S3, S4, S5, and S6, with t values ranging from 2.641 to 3.263 (p < 0.05), indicating a higher FF for the participants under silent conditions. In terms of the TFD, scenes S3, S5, S7, and S8 presented significantly shorter total fixation durations under silent conditions than under sound conditions (p < 0.05), whereas the other scenes presented an increasing trend under sound conditions, suggesting that the addition of sound may have prolonged the participants’ TFD. In summary, the experimental results demonstrate that the addition of sound significantly impacts key eye movement metrics such as the APD and FF, with variations across different scenes. This reveals the complex role of sound elements in influencing the participants’ visual attention and physiological responses.
3.3. Influence of Types of Waterscapes on Visual Attention
3.3.1. Influence of the Type of Waterscape on Eye Movement Metrics Under Silent Conditions
All eye movement metrics were imported into Excel and categorized by the type of waterscape, with the average value of three scenes for each type used as the eye movement metric for that type of waterscape. Repeated-measures ANOVA was conducted via SPSS 27 to investigate the differences in eye movement metrics among different types of waterscapes under silent conditions. The results, which are shown in Table 4, indicate that different types of waterscapes have a significant effect on the APD under silent conditions (F = 4.216, p = 0.009, η2 = 0.182). The significant APD differences (η2 > 0.14) reveal that dynamic waterscapes (spraying/falling water) demand 1.7% greater cognitive resources than still water (mean ΔAPD = 0.0635 mm). This explains their lower restorative scores in Figure 6. Further post hoc tests revealed that the APD for spraying water (3.789 mm) and falling water (3.780 mm) was significantly greater than that for still water (3.721 mm, p < 0.05). Although no significant difference was observed for flowing water, the result was still greater than that for still water, suggesting that dynamic waterscapes tend to induce a greater cognitive load or emotional responses in silent environments. In contrast, there were no significant differences among the four types of waterscapes in terms of the other eye movement metrics, namely, the AFD (F = 0.120, p = 0.948, η2 = 0.006), FF (F = 0.566, p = 0.645, η2 = 0.091), and the TFD (F = 1.012, p = 0.394, η2 = 0.051) (p > 0.05).
Table 4.
Effects of the type of waterscape on eye movements in silent conditions.
3.3.2. Influence of the Type of Waterscape on Eye Movement Metrics Under Sound Conditions
Similar to the operations under silent conditions, repeated-measures ANOVA was conducted via SPSS 27 to investigate the differences in eye movement metrics among different types of waterscapes under sound conditions. The results, which are shown in Table 5, indicate that different types of waterscapes have significant effects on several eye movement metrics under sound conditions. First, the type of waterscape significantly affects the APD (F = 8.776, p < 0.001, η2 = 0.316). Falling water (3.587 mm) has a significantly larger APD than flowing water (3.535 mm) or still water (3.498 mm), and still water (3.498 mm) has a significantly smaller APD than spraying water (3.572 mm). In addition, FF differed significantly among the different types of waterscapes (F = 3.614, p = 0.018, η2 = 0.160). Still water (1.407) had a significantly higher FF than falling water (1.17, p < 0.05), representing a 22% increase in visual dispersion. Similarly, the TFD differed significantly (F = 2.980, p = 0.039, η2 = 0.136); spraying water (35.311 s) and flowing water (35.553 s) were significantly longer than still water (34.079 s, p < 0.05). However, the differences among the types of waterscapes in terms of the AFD (F = 2.084, p = 0.113, η2 = 0.099) did not reach statistical significance. Therefore, under sound conditions, dynamic waterscapes (such as flowing and falling water) elicit a greater cognitive load and visual responses than still water, whereas still water enhances FF.
Table 5.
Effects of the type of waterscape on eye movements in sound conditions.
3.4. Relationship Between the Subjective Perceived Restorative Effect and Eye Movement
To further explore the relationship between visual attention and the subjective perception of recovery, a correlation analysis was conducted between the eye movement data and the scores for the subjective perception of recovery scores under both silent and sound conditions. The results are shown in Table 6. The findings indicate a significant positive correlation between the AFD and perceived restorative benefits under silent conditions (r = 0.167, p = 0.002 < 0.01). In contrast, a significant negative correlation existed between the APD and perceived restorative benefits under sound conditions (r = −0.165, p = 0.002 < 0.01). The other eye movement metrics, such as the TFD and FF, did not significantly correlate with the perceived restorative benefits in either condition (p > 0.05).
Table 6.
Correlation analysis between the evaluation of eye movement and perceived restorative benefits.
3.5. Eye Movement Heatmap Analysis
By overlaying the gaze data of 33 participants in Tobii Pro Lab (v1.232), eye movement heatmaps were generated (as shown in Figure 7). In the heatmaps, different colors were used to represent the participants’ level of attention to various elements of the stimuli, with colors from deep red to light green indicating a decreasing order. The analysis of 24 heatmaps revealed that the participants’ attention was focused primarily on the visual center. The main focus element was the body of water itself, followed by buildings and plants. Almost no attention was given to the sky element. This finding is consistent with the center-surround effect of visual attention in which the human visual system tends to prioritize processing information at the visual center [52,53]. A comparison of the heatmaps between different types of waterscapes revealed that in dynamic waterscapes (i.e., flowing water, falling water, and spraying water), the participants’ attention was focused on the moving water body itself, whereas in still waterscapes, their attention was focused on buildings. Additionally, a comparison of the heatmaps with and without sound revealed that sound changed the participants’ attention to some extent. In dynamic waterscapes, attention was focused more on the primary sound source, i.e., the water element, whereas in still waterscapes, attention was more dispersed.
Figure 7.
Comparison of eye movement heatmaps.
4. Discussion
The purpose of this study was to analyze the differences in eye movement and the environmentally restorative effects among participants who watched videos of waterscapes under different sound conditions as well as the restorative effects of different types of waterscapes. Unlike earlier studies that applied generic environmental stimuli, this research incorporated ecologically valid audiovisual materials collected in situ, allowing for the contextual synchronization of sound and vision. Furthermore, by categorizing waterscapes not only by motion type, but also by acoustic properties, this study moves beyond prior binary visual–sound comparisons and provides a typologically refined understanding of a multisensory landscape perception. This methodological refinement allows for a more precise analysis of how specific combinations of stimuli influence perceptual and physiological responses.
To address the core research questions (RQs), both subjective (PRS) and objective (eye-tracking) measures were analyzed, with particular emphasis on eye movement as the primary indicator of perceptual and cognitive processes. Regarding RQ1, audiovisual integration significantly enhanced perceived restoration, with PRS scores increasing by 3.2% overall (Δ = 2.48 points, p = 0.004). The eye-tracking results revealed that audiovisual conditions led to a consistent reduction in the pupil diameter and an increase in the total fixation duration across all scenes, indicating a lower cognitive load and deeper visual engagement. For RQ2, still waterscapes demonstrated a 12.7% greater restorative value than dynamic types such as flowing water (88.67 vs. 77.96), as measured by PRS. Correspondingly, eye-tracking data showed smaller pupil diameters and more stable fixation patterns in still waterscapes, suggesting lower visual complexity and higher compatibility with attention restoration. As for RQ3, natural sounds effectively reduced the cognitive effort, evidenced by a 6.4% decrease in the pupil diameter in representative scenes (e.g., S1: 3.778 mm → 3.535 mm, p < 0.01), along with a lower fixation frequency and higher total fixation duration. These findings lay the foundation for the theoretical interpretation that follows and highlight the combined importance of multisensory input and landscape typology in shaping restorative experience.
According to the analysis of the experimental data, the perceived restorative effect of waterscapes improved significantly after the addition of natural sounds. This finding is consistent with previous research on the restorative effects of natural sounds on the environment [54,55,56]. As an essential element of restorative environments [57], the interaction of water sounds, bird calls, cicada chirps, and other natural sounds provides a stable and nondistracting background sound that enhances sensory stimulation and further increases the attractiveness and restorative characteristics of the environment [45]. In addition, the differences in the perceived restorative effects of different types of waterscapes are noteworthy, especially the significantly greater restorative effects of still water compared to other types. This finding might be due to the relatively quiet, stable, and open nature of still water environments, which can better promote psychological recovery. According to tranquillity theory, individuals experience reduced psychological stress and anxiety levels and increased psychological recovery when they perceive tranquil environments [58]. The consistent visual stimulation provided by still waterscapes in natural sound conditions aligns with tranquil environments and makes it easier for individuals to realize an experience of “coherence” and “compatibility”. Greater spatial openness can enhance visual openness and transparency to effectively increase spatial visual focus [59]. This can provide participants with a relaxed and free psychological experience, thereby alleviating the stress and anxiety caused by traditional learning environments. Thus, the still waterscape exerts a more restorative effect, which also explains why the restorative scores for still water were significantly higher than those of dynamic waterscapes (i.e., flowing water, falling water, and spraying water).
Additionally, the results for visual attention indicate that natural sounds play a crucial role in regulating the cognitive load. Under sound conditions, the significant reduction in the pupil diameter suggested that the presence of natural sounds reduced the participants’ cognitive load [60] and allowed them to immerse themselves in the scene and alleviate their mental burden. This finding is consistent with previous research showing that natural sounds can provide an additional sensory input to distract individuals from focusing excessively on the details of the visual environment, which can reduce the overall cognitive load [61]. Under silent conditions, individuals require more visual information to perceive and understand the environment, which requires more attentional resources and results in greater pupil dilation [62]. However, under sound conditions, individuals’ visual attention is guided by sound, which makes environmental comprehension easier and results in a smaller pupil diameter. Moreover, according to the cognitive load theory, human working memory has a limited capacity [51]. When participants rely solely on visual information to interpret the environment, working memory is burdened with processing a large volume of visual data. This burden can lead to an excessive depletion of attentional resources and an increase in the intrinsic cognitive load. In contrast, under audiovisual conditions, natural soundscapes provide an additional sensory input that complements visual information, thus reducing the reliance on the visual channel alone and lowering the overall cognitive load. As the cognitive load decreases, individuals are able to allocate their cognitive resources more efficiently, which facilitates psychological restoration. This interpretation is supported by the observed significant reduction in the APD under audiovisual conditions. Pupil constriction is commonly associated with lower cognitive effort and reduced emotional arousal [62], reinforcing the notion that multisensory input can ease mental demands and promote recovery. Moreover, FF was significantly greater under silent conditions than under sound conditions, particularly for dynamic waterscapes (such as flowing and falling water). This finding indicates that without the aid of sound, individuals may disperse their attention more and frequently shift their gaze among different visual targets. This phenomenon might be due to individuals’ need to observe the environment more carefully in the absence of auditory information, which leads to frequent changes in fixation targets and an increased cognitive load. Conversely, under sound conditions, the participants’ AFD and total fixation time increased significantly, especially in dynamic waterscapes (such as flowing and spraying water). The addition of natural sounds reduced environmental distractions and directed the participants’ visual attention, thereby extending their fixation time on objects of interest and enhancing their perception of environmental details. In summary, after natural sounds were added, the APD decreased, FF decreased, the TFD increased, and the AFD increased. These findings indicate an increase in the attractiveness of the scene and in the participants’ interest, suggesting that soundscapes can promote attention restoration and enhance environmentally restorative effects and attractiveness. The results above also corroborate the findings of Berto [63], Valtchanov [64], and Franěk [65].
Notably, different types of waterscapes show significant differences in the distribution of visual attention. Regardless of sound conditions, dynamic waterscapes (such as spraying and falling water) induce larger average pupil diameters than still waterscapes, indicating greater visual variability and a greater cognitive load and attention. Specifically, motion elements in dynamic waterscapes may increase the need for visual information processing, resulting in a greater cognitive load [66]. Previous scores for perception recovery further demonstrated that still waterscapes may better facilitate psychological recovery. Furthermore, this result can be better understood through the lens of the four key components of restorative environments proposed by attention restoration theory (ART). Specifically, the openness of still waterscapes, when combined with natural soundscapes, fosters a sense of “being away” from everyday stressors. The coherent integration of waterscapes with traditional architectural elements enhances the “extent”, stimulating the desire for exploration. Subtle surface dynamics, such as ripples, provide “soft fascination”, gently capturing attention without depleting cognitive resources. Finally, the low-stimulation nature of still waterscapes ensures a high degree of “compatibility” between the environment and individuals’ psychological needs. In contrast, dynamic waterscapes (e.g., waterfalls) may exceed the bounds of soft fascination owing to their strong visual stimulation, potentially dispersing attention and partially offsetting their restorative potential. However, under sound conditions, the TFD in dynamic waterscapes is significantly greater than that in still waterscapes, suggesting that the combination of dynamic waterscapes and natural sounds effectively guides and sustains individuals’ visual attention [67]. In falling water and spraying water scenes in particular, the synchronous changes in water sounds and visual dynamics generate stronger attraction and enhance the visual experience. This paradox is one of the intriguing findings of the current study: although dynamic waterscapes are more visually engaging and attract more fixations, they are perceived as less restorative than still waterscapes are. This apparent contradiction can be explained by cognitive load theory and ART. First, dynamic stimuli tend to be visually complex, requiring participants to process more intricate visual information (e.g., water flow patterns), which demands more attentional resources and may lead to working memory over-load—ultimately increasing the cognitive load rather than promoting relaxation. Second, according to ART, effective restoration arises from environments that attract attention in a way that does not deplete cognitive resources. The rapid and continuous changes in dynamic waterscapes may compel participants to maintain directed attention to track visual targets, thereby inducing cognitive fatigue. In contrast, the subtle movements in still waterscapes—such as ripples or reflections—better align with the principle of soft fascination. These features allow attention to wander in a low-effort manner, thereby enhancing restorative outcomes. In addition to the differences in these, it is important to consider the role of environmental predictability and perceptual fluency in restorative processes. According to the Predictive Coding framework [68], environments that enable accurate sensory predictions are experienced as less mentally taxing. Dynamic waterscapes, with rapid and irregular motion patterns, may challenge sensory predictability and thereby increase arousal or cognitive alertness. In contrast, still waterscapes provide higher perceptual stability, which can lead to smoother cognitive processing and a stronger sense of psychological safety. This multisensory integration effect shows that different types of sensory inputs can enhance the overall environmental experience through mutual coordination, thus improving the attention maintenance time and environmental cognition.
Correlation analysis revealed a significant positive correlation between the AFD and perceived restorative benefits under silent conditions. In contrast, there was a significant negative correlation between the APD and perceived restorative benefits under sound conditions. These findings further support the crucial role of natural sounds in promoting psychological recovery, and they indicate that natural sounds can enhance restorative effects by reducing the cognitive load and increasing environmental attractiveness. This finding also corroborates the studies of Franěk [65], Yuxi Weng [69], and Erkang Fu [70] by emphasizing the importance of eye movement characteristics in assessing the restorative benefits of environments.
The results of the eye movement heatmap analysis revealed significant impacts of different types of waterscapes and sound conditions on participants’ visual attention distribution. Overall, as the core visual element, the water body attracted most of the attention of the participants. Dynamic waterscapes (such as flowing water, falling water, and spraying water) consistently demonstrated stronger visual appeal in all conditions, with attention focused mainly on moving water areas. The reason is that the motion elements in dynamic waterscapes provide stronger visual stimuli and appeal, and the human visual system is highly sensitive to dynamic information [71] that effectively attracts and maintains participants’ attention. In contrast, owing to the lack of visual variability, waterscapes attract less attention, which may lead participants to explore other distinctive elements in the scene, such as buildings. Additionally, the impact of auditory stimuli on visual attention is evident in the analysis. In dynamic waterscapes, the participants’ attention was focused more on the primary sound source, i.e., the water element. The reason is that sound stimuli enhance visual processing by directing attention to consistent visual elements, creating an engaging sensory experience and maintaining participants’ attention. Conversely, the lack of dynamic auditory cues in still waterscapes results in more a widespread distribution of visual attention among various elements, leading to more exploratory visual behavior.
5. Conclusions and Prospects
5.1. Conclusions
This study examined 12 waterscapes in Xishu Garden and used eye-tracking technology and the PRS to study the restorative effects of waterscapes with audiovisual interactions. By combining mathematical and statistical logic, the influences of the type of waterscape and soundscape on restoration were explored, leading to the following conclusions.
- Waterscapes with audiovisual interactions have a greater restorative value than single visual stimuli do. The addition of natural sounds significantly enhances the environmentally restorative effects of waterscapes, as evidenced by both subjective perceptions and eye movement characteristics. Specifically, audiovisual stimuli increased restoration scores by 3.2% overall (Δ = 2.48, p = 0.004).
- Different types of waterscapes have significant impacts on environmental restoration. Dynamic waterscapes (such as falling water and spraying water) induce a greater cognitive load and psychological stress than still waterscapes (such as still water) while also exhibiting stronger visual appeal. However, overall, still waterscapes show better restorative effects.
- There are differences in visual behavioral characteristics between waterscapes with single visual stimuli and those with audiovisual interaction. Dynamic waterscapes with audiovisual interactions are more focused, whereas still waterscapes are more dispersed.
In addition to its theoretical contributions, this study offers practical implications for landscape and urban planning. These findings suggest a typological approach to designing restorative landscapes. Still waterscapes, characterized by a low sensory load and high perceptual stability, are best suited for contemplative zones, healing gardens, or rehabilitation parks. In contrast, dynamic waterscapes may be employed in interactive or transitional public spaces where short-term attention arousal is desired, but long-term exposure is minimal. Landscape planners should consider the balance between fascination and overstimulation, ensuring congruence between the environmental intent and sensory design. The synchrony of auditory and visual features also emerges as a key factor in enhancing the user experience, supporting design decisions that avoid sensory incongruence in artificial installations.
Additional, as urban planners and landscape architects increasingly prioritize evidence-based strategies for promoting health and well-being, the integration of multisensory elements—particularly those combining visual and auditory stimuli, such as waterscapes—becomes especially vital. As natural audiovisual composites, waterscapes not only serve an esthetic function, but also play a crucial role in enhancing urban psychological resilience and overall well-being. In high-density, high-stress urban environments, a multisensory-oriented design represents a promising approach to improving residents’ quality of life. Therefore, this study advocates for the adoption of a multisensory perspective by policymakers and design practitioners to foster the development of more inclusive and restorative public spaces. However, to enable broader and more effective implementation, future research should incorporate more diverse participant samples. This is essential to ensure the inclusiveness and generalizability of design strategies aimed at enhancing urban well-being.
5.2. Limitations of the Study
This study has certain limitations. (1) First, in the selection of sample sites, Xishu Garden, which is a classical garden with commemorative and historical features [72], primarily uses natural landscaping. In contrast, fountain landscapes are modern, which limits the range of options. (2) Second, the season is a factor that affects the esthetic and restorative variations of waterscapes because plant phenology and soundscape combinations change with the season. Studying waterscapes in different seasons is crucial. (3) An-other important limitation lies in the composition of the participant sample. While university students represent a convenient and controllable population and are often considered scientifically valid and broadly representative in experimental contexts [73], their relatively narrow demographic profile—young, highly educated, and generally healthy—may limit the generalizability of the findings. Individual differences in age, life experience, sociocultural background, and familiarity with environmental settings can significantly influence responses to visual and auditory stimuli in restorative environments. Previous studies have also shown that perceptions of soundscape restorativeness vary significantly across age groups [74,75]. Therefore, although the present study provides valuable preliminary insights into the restorative potential of waterscapes under audiovisual conditions, caution should be exercised when these findings are applied to broader, real-world urban and landscape design contexts involving more diverse populations. Future research should consider expanding the sample size and introducing more diverse participant groups, such as people from different age groups, cultural backgrounds, and professions, to provide more convincing evidence for the design of restorative waterscape environments. (4) In addition, although high-fidelity audiovisual materials were used and the experimental environment was tightly controlled to enhance the ecological validity, the sense of perception and emotional immersion may still differ from that of actual onsite experiences. The absence of a physical presence, atmospheric conditions, and full multisensory engagement in a lab setting may limit the extent to which the simulated environment replicates real-life interactions.
5.3. Prospects
The rich landscape elements, exquisite gardening techniques, and valuable gardening wisdom of Chinese classical gardens provide important information and a valuable model for constructing contemporary urban green spaces. Waterscapes are important garden elements within classical gardens, making research on their restorative effects important. Future research could conduct field experiments in outdoor environments or use technologies such as VR to create more realistic settings. Combining these methods with more complex environmental variables (e.g., different weather conditions, seasonal changes) would yield conclusions with greater ecological validity and provide a comprehensive understanding of the restorative mechanisms of waterscapes. Additionally, exploring the subtle differences in the restorative effects of various features of waterscapes (e.g., the water flow rate, water body shape, and transparency) could reveal how waterscapes impact humans’ physical and mental health. Revealing this impact would provide more solid theoretical support and practical guidance for research on the landscape design and environmental psychology.
In addition to technological and environmental enhancements, future research should explore the cross-cultural validity of waterscape-induced restorative effects. The cultural background can significantly shape the environmental perception, emotional responses, and esthetic preferences. For example, the symbolic and philosophical meanings of water in East Asian cultures—often associated with stillness, harmony, and spiritual balance—may influence the perceived tranquility and restorative impact of waterscapes. In contrast, Western urban populations may associate water features with vitality or recreational values. Cross-cultural comparative studies could reveal how the sociocultural context modulates multisensory processing and restoration, thereby informing culturally sensitive design strategies for public spaces worldwide.
Author Contributions
Conceptualization, L.C., Z.G., L.G. and D.Z.; Methodology, Z.Z., L.C. and D.Z.; Software, Z.Z. and L.C.; Validation, Z.G.; Formal analysis, Z.Z.; Investigation, Z.Z., L.C. and Q.L.; Resources, Q.L.; Data curation, Z.Z., L.C. and L.G.; Writing—original draft preparation, Z.Z.; Writing—review and editing, L.G. and D.Z.; Visualization, Z.Z.; Supervision, L.C., Q.L. and Z.G.; Project administration, Z.G. and L.G.; Funding acquisition, Z.G., L.G. and D.Z. All authors have read and agreed to the published version of the manuscript.
Funding
This research was funded by the National Natural Science Foundation of China, grant number 32071824.
Data Availability Statement
Due to privacy and ethical considerations, the data supporting the findings of this study are not publicly available. However, the raw data can be made available upon reasonable request to the corresponding author.
Acknowledgments
We sincerely thank all the students who participated in the experiment. We are also grateful to the two anonymous reviewers for their professional comments, which significantly improved the quality of this paper.
Conflicts of Interest
Author Zheng Gong is employed by the CECEP (ChengDu) Ecological Environment Protection Industrial Co., Ltd. The remaining authors declare that the research was conducted in the absence of any commercial or financial relationships that could be construed as a potential conflict of interest.
References
- Giles-Corti, B.; Vernez-Moudon, A.; Reis, R.; Turrell, G.; Dannenberg, A.L.; Badland, H.; Foster, S.; Lowe, M.; Sallis, J.F.; Stevenson, M.; et al. City planning and population health: A global challenge. Lancet 2016, 388, 2912–2924. [Google Scholar] [CrossRef] [PubMed]
- Charlson, F.; Ali, S.; Augustinavicius, J.; Benmarhnia, T.; Birch, S.; Clayton, S.; Fielding, K.; Jones, L.; Juma, D.; Snider, L.; et al. Global priorities for climate change and mental health research. Environ. Int. 2022, 158, 106984. [Google Scholar] [CrossRef] [PubMed]
- Brooks, S.K.; Webster, R.K.; Smith, L.E.; Woodland, L.; Wessely, S.; Greenberg, N.; Rubin, G.J. The psychological impact of quarantine and how to reduce it: Rapid review of the evidence. Lancet 2020, 395, 912–920. [Google Scholar] [CrossRef] [PubMed]
- Holmes, E.A.; O’Connor, R.C.; Perry, V.H.; Tracey, I.; Wessely, S.; Arseneault, L.; Ballard, C.; Christensen, H.; Cohen Silver, R.; Everall, I.; et al. Multidisciplinary research priorities for the COVID-19 pandemic: A call for action for mental health science. Lancet Psychiatry 2020, 7, 547–560. [Google Scholar] [CrossRef]
- Rehm, J.; Shield, K.D. Global burden of disease and the impact of mental and addictive disorders. Curr. Psychiatry Rep. 2019, 21, 10. [Google Scholar] [CrossRef]
- Kondo, M.C.; Fluehr, J.M.; McKeon, T.; Branas, C.C. Urban green space and its impact on human health. Int. J. Environ. Res. Public Health 2018, 15, 445. [Google Scholar] [CrossRef]
- Jackson, S.B.; Stevenson, K.T.; Larson, L.R.; Peterson, M.N.; Seekamp, E. Outdoor activity participation improves adolescents’ mental health and well-being during the COVID-19 pandemic. Int. J. Environ. Res. Public Health 2021, 18, 2506. [Google Scholar] [CrossRef]
- Bratman, G.N.; Anderson, C.B.; Berman, M.G.; Cochran, B.; De Vries, S.; Flanders, J.; Folke, C.; Frumkin, H.; Gross, J.J.; Hartig, T.; et al. Nature and mental health: An ecosystem service perspective. Sci. Adv. 2019, 5, eaax0903. [Google Scholar] [CrossRef]
- Zhou, W. History of Classical Chinese Gardens, 3rd ed.; Tsinghua University Press: Beijing, China, 2008. (In Chinese) [Google Scholar]
- Zhang, X.; Li, F. On the Health Thoughts in Chinese Classical Garden: Taking the Imperial Garden in Qing Dynasty as Example. Chin. Landsc. Archit. 2019, 35, 28–33. (In Chinese) [Google Scholar] [CrossRef]
- Völker, S.; Kistemann, T. The impact of blue space on human health and well-being–Salutogenetic health effects of inland surface waters: A review. Int. J. Hyg. Environ. Health 2011, 214, 449–460. [Google Scholar] [CrossRef]
- Völker, S.; Kistemann, T. Developing the urban blue: Comparative health responses to blue and green urban open spaces in Germany. Health Place 2015, 35, 196–205. [Google Scholar] [CrossRef] [PubMed]
- Kaplan, S. The restorative benefits of nature: Toward an integrative framework. J. Environ. Psychol. 1995, 15, 169–182. [Google Scholar] [CrossRef]
- Ulrich, R.S. Aesthetic and affective response to natural environment. In Behavior and the Natural Environment; Springer: Boston, MA, USA, 1983; pp. 85–125. [Google Scholar] [CrossRef]
- Kellert, S.R.; Wilson, E.O. The Biophilia Hypothesis; Island Press: Washington, DC, USA, 1995. [Google Scholar]
- Ulrich, R.S. View through a window may influence recovery from surgery. Science 1984, 224, 420–421. [Google Scholar] [CrossRef]
- Finlay, J.; Franke, T.; McKay, H.; Sims-Gould, J. Therapeutic landscapes and wellbeing in later life: Impacts of blue and green spaces for older adults. Health Place 2015, 34, 97–106. [Google Scholar] [CrossRef]
- De Keijzer, C.; Tonne, C.; Sabia, S.; Basagaña, X.; Valentín, A.; Singh-Manoux, A.; Antó, M.J.; Alonso, J.; Nieuwenhuijsen, M.J.; Sunyer, J.; et al. Green and blue spaces and physical functioning in older adults: Longitudinal analyses of the Whitehall II study. Environ. Int. 2019, 122, 346–356. [Google Scholar] [CrossRef]
- Huynh, Q.; Craig, W.; Janssen, I.; Pickett, W. Exposure to public natural space as a protective factor for emotional well-being among young people in Canada. BMC Public Health 2013, 13, 407. [Google Scholar] [CrossRef]
- Gao, T.; Zhang, T.; Zhu, L.; Gao, Y.; Qiu, L. Exploring psychophysiological restoration and individual preference in the different environments based on virtual reality. Int. J. Environ. Res. Public Health 2019, 16, 3102. [Google Scholar] [CrossRef]
- Luo, S.; Xie, J.; Wang, H.; Wang, Q.; Chen, J.; Yang, Z.; Furuya, K. Natural dose of blue restoration: A field experiment on mental restoration of urban blue spaces. Land 2023, 12, 1834. [Google Scholar] [CrossRef]
- Hong, J.Y.; Lam, B.; Ong, Z.T.; Ooi, K.; Gan, W.S.; Kang, J.; Yeong, S.; Lee, I.; Tan, S.T. The effects of spatial separations between water sound and traffic noise sources on soundscape assessment. Build. Environ. 2020, 167, 106423. [Google Scholar] [CrossRef]
- Liu, F.; Liu, P.; Kang, J.; Meng, Q.; Wu, Y.; Yang, D. Relationships between landscape characteristics and the restorative quality of soundscapes in urban blue spaces. Appl. Acoust. 2022, 189, 108600. [Google Scholar] [CrossRef]
- Zhu, G.; Yuan, M.; Ma, H.; Luo, Z.; Shao, S. Restorative effect of audio and visual elements in urban waterfront spaces. Front. Psychol. 2023, 14, 1113134. [Google Scholar] [CrossRef] [PubMed]
- Guo, Y.; Wang, K.; Zhang, H.; Jiang, Z. Soundscape Perception Preference in an Urban Forest Park: Evidence from Moon Island Forest Park in Lu’an City. Sustainability 2022, 14, 16132. [Google Scholar] [CrossRef]
- Rock, I.; Harris, C.S. Vision and touch. Sci. Am. 1967, 216, 96–107. [Google Scholar] [CrossRef] [PubMed]
- Schafer, R.M. The New Soundscape; BMI Canada Limited: Toronto, ON, Canada, 1969; p. 57. [Google Scholar]
- Truax, B. Handbook for Acoustic Ecology; ARC Publications: Burnaby, BC, Canada, 1978. [Google Scholar]
- Buxton, R.T.; Pearson, A.L.; Allou, C.; Fristrup, K.; Wittemyer, G. A synthesis of health benefits of natural sounds and their distribution in national parks. Proc. Natl. Acad. Sci. USA 2021, 118, e2013097118. [Google Scholar] [CrossRef]
- Uebel, K.; Marselle, M.; Dean, A.J.; Rhodes, J.R.; Bonn, A. Urban green space soundscapes and their perceived restorativeness. People Nat. 2021, 3, 756–769. [Google Scholar] [CrossRef]
- Michels, N.; Hamers, P. Nature sounds for stress recovery and healthy eating: A lab experiment differentiating water and bird sound. Environ. Behav. 2023, 55, 175–205. [Google Scholar] [CrossRef]
- Conniff, A.; Craig, T. A methodological approach to understanding the wellbeing and restorative benefits associated with greenspace. Urban For. Urban Green. 2016, 19, 103–109. [Google Scholar] [CrossRef]
- Alvarsson, J.J.; Wiens, S.; Nilsson, M.E. Stress recovery during exposure to nature sound and environmental noise. Int. J. Environ. Res. Public Health 2010, 7, 1036–1046. [Google Scholar] [CrossRef]
- Yang, Z.; Zhao, X.; Zhu, L.; Xia, Y.; Ma, Y.; Wu, J.; Xiong, X.; Yang, N.; Lu, M. Research on the healing potential of urban parks from the perspective of audio-visual integration: A case study of five urban parks in Chengdu. Land 2023, 12, 1317. [Google Scholar] [CrossRef]
- Ji, R.; Li, S.; Bai, Z.; Xu, B.; Hu, Z. Are natural soundscapes always beneficial? Evaluating the restorative qualities and influencing mechanisms of natural water soundscapes. Appl. Acoust. 2025, 227, 110205. [Google Scholar] [CrossRef]
- Klaib, A.F.; Alsrehin, N.O.; Melhem, W.Y.; Bashtawi, H.O.; Magableh, A.A. Eye tracking algorithms, techniques, tools, and applications with an emphasis on machine learning and Internet of Things technologies. Expert Syst. Appl. 2021, 166, 114037. [Google Scholar] [CrossRef]
- Nordh, H.; Hagerhall, C.M.; Holmqvist, K. Tracking restorative components: Patterns in eye movements as a consequence of a restorative rating task. Landsc. Res. 2013, 38, 101–116. [Google Scholar] [CrossRef]
- Wu, Y.; Zhuo, Z.; Liu, Q.; Yu, K.; Huang, Q.; Liu, J. The relationships between perceived design intensity, preference, restorativeness and eye movements in designed urban green space. Int. J. Environ. Res. Public Health 2021, 18, 10944. [Google Scholar] [CrossRef]
- Kang, Y.; Kim, E.J. Differences of restorative effects while viewing urban landscapes and green landscapes. Sustainability 2019, 11, 2129. [Google Scholar] [CrossRef]
- Purani, K.; Kumar, D.S. Exploring restorative potential of biophilic servicescapes. J. Serv. Mark. 2018, 32, 414–429. [Google Scholar] [CrossRef]
- Liu, Y.; Zhou, J. A Review of Eye-Tracking Applications in Biophilic Design. Build. Environ. 2024, 112179. [Google Scholar] [CrossRef]
- Kaplan, S.; Kaplan, R. The visual environment: Public participation in design and planning. J. Soc. Issues 1989, 45, 59–86. [Google Scholar] [CrossRef]
- Awada, M.; Becerik-Gerber, B.; Liu, R.; Seyedrezaei, M.; Lu, Z.; Xenakis, M.; Lucas, G.; Roll, S.; Narayanan, S. Ten questions concerning the impact of environmental stress on office workers. Build. Environ. 2023, 229, 109964. [Google Scholar] [CrossRef]
- Hartig, T.; Korpela, K.; Evans, G.W.; Gärling, T. A measure of restorative quality in environments. Scand. Hous. Plan. Res. 1997, 14, 175–194. [Google Scholar] [CrossRef]
- Kaplan, R. The Experience of Nature: A Psychological Perspective; Cambridge University Press: Cambridge, UK, 1989. [Google Scholar]
- Berto, R. Exposure to restorative environments helps restore attentional capacity. J. Environ. Psychol. 2005, 25, 249–259. [Google Scholar] [CrossRef]
- Nordh, H.; Hartig, T.; Hagerhall, C.M.; Fry, G. Components of small urban parks that predict the possibility for restoration. Urban For. Urban Green. 2009, 8, 225–235. [Google Scholar] [CrossRef]
- Laumann, K.; Gärling, T.; Stormark, K.M. Rating scale measures of restorative components of environments. J. Environ. Psychol. 2001, 21, 31–44. [Google Scholar] [CrossRef]
- Browning, M.H.E.M.; Mimnaugh, K.J.; Van Riper, C.J.; Laurent, H.K.; LaValle, S.M. Can simulated nature support mental health? Comparing short, single-doses of 360-degree nature videos in virtual reality with the outdoors. Front. Psychol. 2020, 10, 2667. [Google Scholar] [CrossRef] [PubMed]
- Reese, G.; Stahlberg, J.; Menzel, C. Digital shinrin-yoku: Do nature experiences in virtual reality reduce stress and increase well-being as strongly as similar experiences in a physical forest? Virtual Real. 2022, 26, 1245–1255. [Google Scholar] [CrossRef]
- Sweller, J. Cognitive load during problem solving: Effects on learning. Cogn. Sci. 1988, 12, 257–285. [Google Scholar] [CrossRef]
- Carrasco, M. Visual attention: The past 25 years. Vis. Res. 2011, 51, 1484–1525. [Google Scholar] [CrossRef]
- Staugaard, C.F.; Petersen, A.; Vangkilde, S. Eccentricity effects in vision and attention. Neuropsychologia 2016, 92, 69–78. [Google Scholar] [CrossRef]
- Jo, H.; Song, C.; Ikei, H.; Enomoto, S.; Kobayashi, H.; Miyazaki, Y. Physiological and psychological effects of forest and urban sounds using high-resolution sound sources. Int. J. Environ. Res. Public Health 2019, 16, 2649. [Google Scholar] [CrossRef]
- Zhao, J.; Xu, W.; Ye, L. Effects of auditory-visual combinations on perceived restorative potential of urban green space. Appl. Acoust. 2018, 141, 169–177. [Google Scholar] [CrossRef]
- Van Hedger, S.C.; Nusbaum, H.C.; Clohisy, L.; Jaeggi, S.M.; Buschkuehl, M.; Berman, M.G. Of cricket chirps and car horns: The effect of nature sounds on cognitive performance. Psychon. Bull. Rev. 2019, 26, 522–530. [Google Scholar] [CrossRef]
- White, M.; Smith, A.; Humphryes, K.; Pahl, S.; Snelling, D.; Depledge, M. Blue space: The importance of water for preference, affect, and restorativeness ratings of natural and built scenes. J. Environ. Psychol. 2010, 30, 482–493. [Google Scholar] [CrossRef]
- Herzog, T.R.; Barnes, G.J. Tranquility and preference revisited. J. Environ. Psychol. 1999, 19, 171–181. [Google Scholar] [CrossRef]
- Wen, H.; Lin, H.; Liu, X.; Guo, W.; Yao, J.; He, B.J. An assessment of the psychologically restorative effects of the environmental characteristics of university common spaces. Environ. Impact Assess. Rev. 2025, 110, 107645. [Google Scholar] [CrossRef]
- Beatty, J. Task-evoked pupillary responses, processing load, and the structure of processing resources. Psychol. Bull. 1982, 91, 276. [Google Scholar] [CrossRef] [PubMed]
- Liu, Y.; Hu, M.; Zhao, B. Audio-visual interactive evaluation of the forest landscape based on eye-tracking experiments. Urban For. Urban Green. 2019, 46, 126476. [Google Scholar] [CrossRef]
- Laeng, B.; Sirois, S.; Gredebäck, G. Pupillometry: A window to the preconscious? Perspect. Psychol. Sci. 2012, 7, 18–27. [Google Scholar] [CrossRef]
- Berto, R.; Massaccesi, S.; Pasini, M. Do eye movements measured across high and low fascination photographs differ? Addressing Kaplan’s fascination hypothesis. J. Environ. Psychol. 2008, 28, 185–191. [Google Scholar] [CrossRef]
- Valtchanov, D.; Ellard, C.G. Cognitive and affective responses to natural scenes: Effects of low level visual properties on preference, cognitive load and eye-movements. J. Environ. Psychol. 2015, 43, 184–195. [Google Scholar] [CrossRef]
- Franěk, M.; Šefara, D.; Petružálek, J.; Cabal, J.; Myška, K. Differences in eye movements while viewing images with various levels of restorativeness. J. Environ. Psychol. 2018, 57, 10–16. [Google Scholar] [CrossRef]
- Franconeri, S.L.; Alvarez, G.A.; Cavanagh, P. Flexible cognitive resources: Competitive content maps for attention and memory. Trends Cogn. Sci. 2013, 17, 134–141. [Google Scholar] [CrossRef]
- Kaplan, S. Aesthetics, affect, and cognition: Environmental preference from an evolutionary perspective. Environ. Behav. 1987, 19, 3–32. [Google Scholar] [CrossRef]
- Huang, Y.; RAO, R.P.N. Predictive coding. Wiley Interdiscip. Rev. Cogn. Sci. 2011, 2, 580–593. [Google Scholar] [CrossRef] [PubMed]
- Weng, Y.; Zhu, Y.; Huang, Y.; Lin, R.; Wang, M.; Dong, J. Anxiety and attention level induced by forest landscape images of backlight and frontlight in college students. Chin. Ment. Health J. 2020, 34, 361–366. (In Chinese) [Google Scholar]
- Fu, E.; Wang, Y.; Zhou, J.; Li, X.A. Tentative Research of Restorative Environmental Evaluation of Community Parks Base on Eye Movement Analysis. South Archit. 2022, 6, 93–99. (In Chinese) [Google Scholar]
- Klatt, S.; Noël, B.; Brocher, A. Pupil size in the evaluation of static and dynamic stimuli in peripheral vision. PLoS ONE 2021, 16, e0250027. [Google Scholar] [CrossRef]
- Chen, Q.B.; Yang, Y.P. Xishu Garden; China Forestry Press: Being, China, 2019. (In Chinese) [Google Scholar]
- Stamps, A.E., III. Demographic effects in environmental aesthetics: A meta-analysis. J. Plan. Lit. 1999, 14, 155–175. [Google Scholar] [CrossRef]
- Long, X.; Din, N.C.; Lei, Y.; Mahyuddin, N. The restorative effects of outdoor soundscapes in nursing homes for elderly individuals. Build. Environ. 2023, 242, 110520. [Google Scholar] [CrossRef]
- Shu, S.; Ma, H. The restorative environmental sounds perceived by children. J. Environ. Psychol. 2018, 60, 72–80. [Google Scholar] [CrossRef]
Disclaimer/Publisher’s Note: The statements, opinions and data contained in all publications are solely those of the individual author(s) and contributor(s) and not of MDPI and/or the editor(s). MDPI and/or the editor(s) disclaim responsibility for any injury to people or property resulting from any ideas, methods, instructions or products referred to in the content. |
© 2025 by the authors. Licensee MDPI, Basel, Switzerland. This article is an open access article distributed under the terms and conditions of the Creative Commons Attribution (CC BY) license (https://creativecommons.org/licenses/by/4.0/).






