Correlation Between Outdoor Microclimate and Residents’ Health Across Different Residential Community Types in Wuhan, China: A Case Study of Hypertension
Abstract
1. Introduction
2. Materials and Methods
2.1. Study Area and Data
2.2. Community Classification by Height of Buildings
2.3. CFD Simulation Settings
2.3.1. Software Selection
2.3.2. Climate Indicator Settings
2.3.3. Built Environment Settings
2.3.4. Physical Parameters
2.3.5. Turbulence Model Selection
2.4. Exporting Simulation Results
2.5. Field Measurement
2.6. Relevance Studies
2.6.1. Calculation Method
2.6.2. Microclimate Parameters
2.6.3. Correlation Analysis
3. Results and Discussion
3.1. Analysis of Results from Phoenics and ENVI-Met
3.2. Analysis of Different Communities with Phoenics
3.2.1. Simulation Results Analysis for Multi-Story Communities
3.2.2. Simulation Results Analysis for Mid-Rise Communities
3.2.3. Simulation Results Analysis for High-Rise Communities
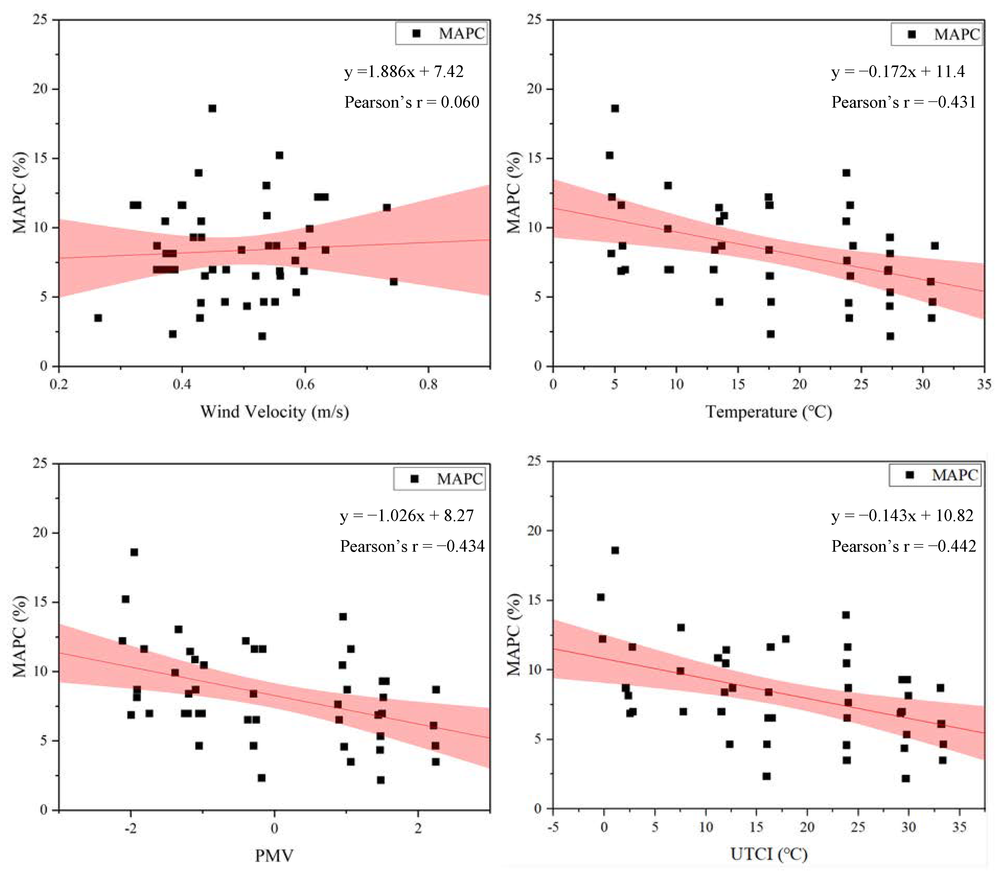
3.3. Correlation Analysis
3.3.1. Correlation Analysis in Multi-Story Communities
3.3.2. Correlation Analysis in Mid-Rise Communities
3.3.3. Correlation Analysis in High-Rise Communities
3.4. Discussion
4. Conclusions
- In communities with different building heights, MAPC is reduced by approximately 1.35% to 1.72% for every 10 °C increase in temperature, by about 0.759% to 1.026% for every 1-unit increase in PMV, and by about 1.13% to 1.43% for every 10 °C increase in UTCI.
- When temperature, PMV, and UTCI increase simultaneously, the effect on MAPC becomes more pronounced. Compared to other types of communities, temperature and PMV have the most significant impact on the MAPC in multi-story residential areas, which indicates the necessity of taking into account the health risks associated with microclimatic imbalances during cold seasons.
- As building height increases, the influence of temperature, PMV, and UTCI on hypertension incidence tends to decrease. It is recommended to improve the stability of the outdoor microclimate by implementing public green zones.
Author Contributions
Funding
Institutional Review Board Statement
Informed Consent Statement
Data Availability Statement
Conflicts of Interest
Abbreviations
| CFD | Computational Fluid Dynamics |
| PMV | Predicted Mean Vote |
| UTCI | Universal Thermal Climate Index |
| BP | Blood Pressure |
| PET | Physiological Equivalent Temperature |
| ABPM | Ambulatory Blood Pressure Monitoring |
| SBP | Systolic Blood Pressure |
| DBP | Diastolic Blood Pressure |
| PP | Pulse Pressure |
| MAP | Mean Arterial Pressure |
| MAPC | Monthly Proportion of Annual Patient Cases |
References
- Wei, X. Research on Reducing Carbon Consumption in Residential Community Spaces as Influenced by Microclimate Environments. J. Urban Plan. Dev. 2021, 147, 04021037. [Google Scholar] [CrossRef]
- Zhang, W.C.; Luo, X.Y.; Peng, X.R.; Liu, R.Z.; Jing, Y.; Zhao, F.Y. Green roof on the ventilation and pollutant dispersion in urban street canyons under unstable thermal stratification: Aiding and opposing effects. Sustain. Cities Soc. 2021, 75, 103315. [Google Scholar] [CrossRef]
- Gundeti, V.; Aroor, S.; H, K.; Lewis, L.E.; Mundkur, S.C.; Bhat Y, R.; Kini, P. Alarming rise in prevalence of obesity among children with essential hypertension: Reflection of larger global epidemiological change of adolescent nutritional status. Clin. Epidemiol. Glob. Health 2025, 32, 101948. [Google Scholar] [CrossRef]
- Lin, S.; Yan, H.; Zhou, S.; Qiao, Z.; Chen, J. HRP-OG: Online Learning with Generative Feature Replay for Hypertension Risk Prediction in a Nonstationary Environment. Sensors 2024, 24, 5033. [Google Scholar] [CrossRef]
- GBD 2016 Lifetime Risk of Stroke Collaborators. Global, regional, and country-specific lifetime risks of stroke, 1990 and 2016. N. Engl. J. Med. 2018, 379, 2429–2437. [Google Scholar] [CrossRef]
- de la Sierra, A.; Ruilope, L.M.; Staplin, N.; Gorostidi, M.; Vinyoles, E.; Segura, J.; Armario, P.; Oliveras, A.; Williams, B. Resistant Hypertension and Mortality: An Observational Cohort Study. Hypertension 2024, 81, 2350–2356. [Google Scholar] [CrossRef]
- Rajagopalan, S.; Brook, R.D.; Münzel, T. Environmental Hypertensionology and the Mosaic Theory of Hypertension. Hypertension 2025, 82, 561–572. [Google Scholar] [CrossRef]
- Tai, Y.; Obayashi, K.; Yamagami, Y.; Saeki, K. Inverse association of skin temperature with ambulatory blood pressure and the mediation of skin temperature in blood pressure responses to ambient temperature. Hypertension 2022, 79, 1845–1855. [Google Scholar] [CrossRef]
- Komulainen, S.; Oja, T.; Rintamäki, H.; Virokannas, H.; Keinänen-Kiukaanniemi, S. Blood pressure and thermal responses to whole body cold exposure in mildly hypertensive subjects. J. Therm. Biol. 2004, 29, 851–856. [Google Scholar] [CrossRef]
- Goto, T.; Niu, Z.; Chiba, Y.; Amano, K.; Saijo, Y. Human body temperature and cardiovascular response to changes in ambient temperature and body posture. Build. Environ. 2024, 266, 112085. [Google Scholar] [CrossRef]
- Martinez-Nicolas, A.; Meyer, M.; Hunkler, S.; Madrid, J.A.; Rol, M.A.; Meyer, A.H.; Schötzau, A.; Orgül, S.; Kräuchi, K. Daytime variation in ambient temperature affects skin temperatures and blood pressure: Ambulatory winter/summer comparison in healthy young women. Physiol. Behav. 2015, 149, 203–211. [Google Scholar] [CrossRef] [PubMed]
- Kashiba, A.; Ueda, K.; Uematsu, Y.; Utsumi, M.; Miyai, N.; Arita, M. Blood Pressure-Variation By Room Temperature In Home Pressure Among Metabolic Syndrome Using Home Blood Pressure Web-Based Monitoring. Atherosclerosis 2019, 287, e155. [Google Scholar] [CrossRef]
- Jehn, M.; Appel, L.J.; Sacks, F.M.; Miller, E.R. The effect of ambient temperature and barometric pressure on ambulatory blood pressure variability. Am. J. Hypertens. 2002, 15, 941–945. [Google Scholar] [CrossRef] [PubMed]
- Van Den Hurk, K.; De Kort, W.L.; Deinum, J.; Atsma, F. Higher outdoor temperatures are progressively associated with lower blood pressure: A longitudinal study in 100,000 healthy individuals. J. Am. Soc. Hypertens. 2015, 9, 536–543. [Google Scholar] [CrossRef]
- Xu, D.; Zhang, Y.; Wang, B.; Yang, H.; Ban, J.; Liu, F.; Li, T. Acute effects of temperature exposure on blood pressure: An hourly level panel study. Environ. Int. 2019, 124, 493–500. [Google Scholar] [CrossRef]
- Zheng, S.; Wang, M.Z.; Cheng, Z.Y.; Kang, F.; Nie, Y.H.; Mi, X.Y.; Li, H.Y.; Jin, L.; Zhang, Y.W.; Bai, Y.N. Effects of Outdoor Temperature on Blood Pressure in a Prospective Cohort of Northwest China. Biomed. Environ. Sci. 2021, 34, 89–100. [Google Scholar]
- Kang, Y.; Han, Y.; Guan, T.; Wang, X.; Xue, T.; Chen, Z.; Jiang, L.; Zhang, L.; Zheng, C.; Wang, Z.; et al. Clinical blood pressure responses to daily ambient temperature exposure in China: An analysis based on a representative nationwide population. Sci. Total Environ. 2020, 705, 135762. [Google Scholar] [CrossRef]
- Yoshie, R.; Mochida, A.; Tominaga, Y.; Kataoka, H.; Harimoto, K.; Nozu, T.; Shirasawa, T. Cooperative project for CFD prediction of pedestrian wind environment in the Architectural Institute of Japan. J. Wind Eng. Ind. Aerodyn. 2007, 95, 1551–1578. [Google Scholar] [CrossRef]
- Fujita, K.; Yoshida, S.; Ishizaki, R.; Yamamoto, E.; Takahashi, N.; Iwamae, A. Estimation of the relationship between the thermal environment of a house in winter and its occupants’ health. Environ. Res. 2024, 253, 119147. [Google Scholar] [CrossRef]
- Niu, J.L.; Gao, N.P. CFD Simulation of Spread Risks of Infectious Disease due to Interactive Wind and Ventilation Airflows via Window Openings in High-Rise Buildings. In Proceedings of the 2nd International Symposium on Computational Mechanics 12th International Conference on the Enhancement and Promotion of Computational Methods in Engineering and Science, Hong Kong, China, 30 November–3 December 2009; pp. 169–174. [Google Scholar]
- Yang, Y.; Hu, J.; Tan, Y.; Wang, K.; Shen, L. Pollutant Diffusion in an Infectious Disease Hospital with Different Thermal Conditions. Buildings 2024, 14, 1185. [Google Scholar] [CrossRef]
- Park, S.; Kario, K.; Chia, Y.C.; Turana, Y.; Chen, C.H.; Buranakitjaroen, P.; Nailes, J.; Hoshide, S.; Siddique, S.; Sison, J.; et al. The influence of the ambient temperature on blood pressure and how it will affect the epidemiology of hypertension in Asia. J. Clin. Hypertens. 2020, 22, 438–444. [Google Scholar] [CrossRef] [PubMed]
- Cao, Q.; Huang, H.; Hong, Y.; Huang, X.; Wang, S.; Wang, L.; Wang, L. Modeling intra-urban differences in thermal environments and heat stress based on local climate zones in central Wuhan. Build. Environ. 2022, 225, 109625. [Google Scholar] [CrossRef]
- Ding, L.; Zhao, W.; Huang, Y.; Cheng, S.; Liu, C. Research on the Coupling Coordination Relationship between Urbanization and the Air Environment: A Case Study of the Area of Wuhan. Atmosphere 2015, 6, 1539–1558. [Google Scholar] [CrossRef]
- Zhang, C.; Xu, S.; Qi, C.; Dai, R.; Mendis, T.; Wang, M. Comparison of Thermal Comfort in Different Subway Spaces in China’s Hot Summer and Cold Winter Region: A Field Investigation Based on Subway Station Transition. Buildings 2025, 15, 786. [Google Scholar] [CrossRef]
- Li, R.; Zhang, Y.; Li, W.; Xu, X. Identification Model of Traditional Village Cultural Landscape Elements and Its Application from the Perspective of Living Heritage—A Case Study of Chentian Village in Wuhan. Buildings 2024, 14, 3535. [Google Scholar] [CrossRef]
- Deng, X.; Cao, Q.; Wang, L.; Wang, W.; Wang, S.; Wang, L. Understanding the impact of urban expansion and lake shrinkage on summer climate and human thermal comfort in a land-water mosaic area. J. Geophys. Res. Atmos. 2022, 127, e2021JD036131. [Google Scholar] [CrossRef]
- Li, C.; Xu, K.; Yan, S.; Ji, Q.; Zhang, D.; Zhou, X. Assessment of the estimation methods of Tmrt in semi-outdoor spaces in humid sub-tropical climates: An empirical study in Wuhan, China. Build. Environ. 2024, 262, 111758. [Google Scholar] [CrossRef]
- Jiao, L.; Dong, T.; Xu, G.; Zhou, Z.; Liu, J.; Liu, Y. Geographic micro-process model: Understanding global urban expansion from a process-oriented view. Comput. Environ. Urban Syst. 2021, 87, 101603. [Google Scholar] [CrossRef]
- GB 50352-2019; Unified Standard for Design of Civil Buildings. Ministry of Housing and Urban-Rural Development of the People’s Republic of China: Beijing, China, 2019.
- Chen, B.; Xie, M.; Feng, Q.; Li, Z.; Chu, L.; Liu, Q. Heat risk of residents in different types of communities from urban heat-exposed areas. Sci. Total Environ. 2021, 768, 145052. [Google Scholar] [CrossRef]
- Liang, H.; Meng, Q.; Qi, Q.; Ren, P. Spatiotemporal interaction between urban heat island and urban-construction indicators on the block scale in autumn in a humid and hot climate. Sustain. Cities Soc. 2022, 78, 103638. [Google Scholar] [CrossRef]
- Song, X.; Wang, G.; Deng, Q.; Wang, S.; Jiao, C. The Influence of Residential Block Form on Summer Thermal Comfort of Street Canyons in the Warm Temperate Zone of China. Buildings 2023, 13, 1627. [Google Scholar] [CrossRef]
- Zhang, A.; Gao, C.; Zhang, L. Numerical simulation of the wind field around different building arrangements. J. Wind Eng. Ind. Aerodyn. 2005, 93, 891–904. [Google Scholar] [CrossRef]
- Oke, T.R. Boundary Layer Climates. Earth Sci. Rev. 1987, 27, 265. [Google Scholar]
- Mou, B.; He, B.J.; Zhao, D.X.; Chau, K.W. Numerical simulation of the effects of building dimensional variation on wind pressure distribution. Eng. Appl. Comput. Fluid Mech. 2017, 11, 293–309. [Google Scholar] [CrossRef]
- Oliveira, S.; Andrade, H.; Vaz, T. The cooling effect of green spaces as a contribution to the mitigation of urban heat: A case study in Lisbon. Build. Environ. 2011, 46, 2186–2194. [Google Scholar] [CrossRef]
- Shashua-Bar, L.; Hoffman, M. Vegetation as a climatic component in the design of an urban street: An empirical model for predicting the cooling effect of urban green areas with trees. Energy Build. 2000, 31, 221–235. [Google Scholar] [CrossRef]
- Lu, M.; Song, D.; Shi, D.; Liu, J.; Wang, L. Effect of High-Rise Residential Building Layout on the Spatial Vertical Wind Environment in Harbin, China. Buildings 2022, 12, 705. [Google Scholar] [CrossRef]
- Nugroho, N.Y.; Triyadi, S.; Wonorahardjo, S. Effect of high-rise buildings on the surrounding thermal environment. Build. Environ. 2022, 207, 108393. [Google Scholar] [CrossRef]
- Xie, Z.Y.; Zheng, N.; Wang, C.H. Study on Ecological Design of Layout of Air Yard of High-Rise Building. Appl. Mech. Mater. 2012, 174, 3106–3110. [Google Scholar] [CrossRef]
- Shang, J.; Zhong, H.Y.; Zhang, H.L.; Li, B.; Wang, X.X.; Zhao, F.Y.; Li, Y. Diode effects on street canyon ventilation in valley city: Temperature inversion and calm geostrophic wind. Build. Environ. 2023, 244, 110839. [Google Scholar] [CrossRef]
- Huang, W.; Tian, F.; Huang, T. Energy Performance-Oriented Multi-Objective Optimization of Spatial Form of High-Rise Residential Blocks in the Changsha Region. Buildings 2025, 15, 56. [Google Scholar] [CrossRef]
- Shi, F.; Chen, Y.; Yue, W.; Wang, Y. High-Rise Residential District Morphology Optimization for Enhancing the Green Space Cooling Effect. Buildings 2024, 14, 183. [Google Scholar] [CrossRef]
- Elnabawi, M.H.; Hamza, N. A Behavioural Analysis of Outdoor Thermal Comfort: A Comparative Analysis between Formal and Informal Shading Practices in Urban Sites. Sustainability 2020, 12, 9032. [Google Scholar] [CrossRef]
- Luo, C.; Hui, L.; Shang, Z.; Wang, C.; Jin, M.; Wang, X.; Li, N. Portable Arduino-Based Multi-Sensor Device (SBEDAD): Measuring the Built Environment in Street Cycling Spaces. Sensors 2024, 24, 3096. [Google Scholar] [CrossRef]
- Wang, T.; Chen, Y.; Wei, Z.; Chen, J.; Fang, J.; Dong, Z.; Zheng, L. Images of Architectural Landmarks Integrated into Spatial Vision Based on Urban Image Theory: A Case Study on the Wuhan Design Biennale Exhibition Space. Buildings 2025, 15, 530. [Google Scholar] [CrossRef]
- Cai, B.; Cheng, H.; Xiang, F.; Wang, H.; Kang, T. Modeling the Effects of Vegetation on Air Purification Through Computational Fluid Dynamics in Different Neighborhoods of Beijing. Buildings 2025, 15, 995. [Google Scholar] [CrossRef]
- Chen, J.; Zeng, J.; Huang, T.; Wang, Y.; Yang, H.; Yu, X.; Wang, Z. Impacts of Plant Configuration on the Outdoor Wind Comfort of Subtropical Coastal Campuses: Evidence from a Study of Quanzhou. Forests 2025, 16, 461. [Google Scholar] [CrossRef]
- Du, Z.; Guo, W.; Li, W.; Gao, X. A Study on the Optimization of Wind Environment of Existing Villa Buildings in Lingnan Area: A Case Study of Jiangmen’s “Yunshan Poetic” Moon Island Houses. Buildings 2022, 12, 1304. [Google Scholar] [CrossRef]
- Lin, K.; Zhan, Q.; Xue, W.; Shu, Y.; Lu, Y. Thermal Environmental Impact of Urban Development Scenarios from a Low Carbon Perspective: A Case Study of Wuhan. Buildings 2025, 15, 208. [Google Scholar] [CrossRef]
- Toja-Silva, F.; Kono, T.; Peralta, C.; Lopez-Garcia, O.; Chen, J. A review of computational fluid dynamics (CFD) simulations of the wind flow around buildings for urban wind energy exploitation. J. Wind Eng. Ind. Aerodyn. 2018, 180, 66–87. [Google Scholar] [CrossRef]
- Negi, A.; Emmanuel, R.; Aarrevaara, E. Planning for a Warmer Future: Heat Risk Assessment and Mitigation in Lahti, Finland. Atmosphere 2025, 16, 146. [Google Scholar] [CrossRef]
- Jiang, Y.; Sun, Y.; Liu, Y.; Li, X. Exploring the correlation between waterbodies, green space morphology, and carbon dioxide concentration distributions in an urban waterfront green space: A simulation study based on the carbon cycle. Sustain. Cities Soc. 2023, 98, 104831. [Google Scholar] [CrossRef]
- Elraouf, R.A.; ELMokadem, A.; Megahed, N.; Eleinen, O.A.; Eltarabily, S. Evaluating urban outdoor thermal comfort: A validation of ENVI-met simulation through field measurement. J. Build. Perform. Simul. 2022, 15, 268–286. [Google Scholar] [CrossRef]
- Crank, P.J.; Sailor, D.J.; Ban-Weiss, G.; Taleghani, M. Evaluating the ENVI-met microscale model for suitability in analysis of targeted urban heat mitigation strategies. Urban Clim. 2018, 26, 188–197. [Google Scholar] [CrossRef]
- Li, B.; Guo, W.; Schnabel, M.A.; Zhang, Z. Virtual Simulation of New Residential Buildings in Lingnan Using Vernacular Wisdom. In Proceedings of the eCAADe 2020: Anthropologic-Architecture and Fabrication in the Cognitive Age, Berlin, Germany, 16–17 September 2020. [Google Scholar]
- GB 50736-2012; Design Code for Heating, Ventilation and Air Conditioning of Civil Buildings. Ministry of Housing and Urban-Rural Development of the People’s Republic of China: Beijing, China; General Administration of Quality Supervision, Inspection and Quarantine of the People’s Republic of China: Beijing, China, 2012.
- Lai, B.; Fu, J.M.; Guo, C.K.; Zhang, D.Y.; Wu, Z.G. Street Geometry Factors Influencing Outdoor Pedestrian Thermal Comfort in a Historic District. Buildings 2025, 15, 613. [Google Scholar] [CrossRef]
- Stavrakakis, G.M.; Katsaprakakis, D.A.; Damasiotis, M. Basic Principles, Most Common Computational Tools, and Capabilities for Building Energy and Urban Microclimate Simulations. Energies 2021, 14, 6707. [Google Scholar] [CrossRef]
- Li, X.; Shi, W.; Liu, Y.; Zhang, N. Optimization Strategy for Thermal Comfort in Railway Stations above Ground Level in Beijing. Buildings 2024, 14, 2843. [Google Scholar] [CrossRef]
- Halder, N.; Kumar, M.; Deepak, A.; Mandal, S.K.; Azmeer, A.; Mir, B.A.; Nurdiawati, A.; Al-Ghamdi, S.G. The Role of Urban Greenery in Enhancing Thermal Comfort: Systematic Review Insights. Sustainability 2025, 17, 2545. [Google Scholar] [CrossRef]
- Mei, S.J.; Luo, Z.; Zhao, F.Y.; Wang, H.Q. Street canyon ventilation and airborne pollutant dispersion: 2-D versus 3-D CFD simulations. Sustain. Cities Soc. 2019, 50, 101700. [Google Scholar] [CrossRef]
- Nicholls-Clow, R.; Simmonds-Buckley, M.; Waller, G. Avoidant/restrictive food intake disorder: Systematic review and meta-analysis demonstrating the impact of study quality on prevalence rates. Clin. Psychol. Rev. 2024, 114, 102502. [Google Scholar] [CrossRef]
- Zhong, H.Y.; Jing, Y.; Liu, Y.; Zhao, F.Y.; Liu, D.; Li, Y. CFD simulation of “pumping” flow mechanism of an urban building affected by an upstream building in high Reynolds flows. Energy Build. 2019, 202, 109330. [Google Scholar] [CrossRef]
- Yang, Y.; Wang, X.; Luo, S.; Wang, Y.; Wen, X.; Ni, N.; Wang, L.; Jiang, W.; Cai, J.; Xu, G.; et al. Study on the Impact of Courtyard Proportions in Kunming’s Vernacular One-Seal Dwellings (Yikeyin) on Architectural Climatic Adaptability. Sustainability 2025, 17, 3066. [Google Scholar] [CrossRef]
- Chudzik, M.; Williams, K.; Shields, A.; Nagesh, S.V.S.; Paccione, E.; Bednarek, D.R.; Rudin, S.; Ionita, C.N. Semi-automatic Co-Registration of 3D CFD Vascular Geometry to 1000 FPS High-Speed Angiographic (HSA) Projection Images for Flow Determination Comparisons. In Proceedings of the Medical Imaging 2022: Biomedical Applications In Molecular, Structural, and Functional Imaging, San Diego, CA, USA, 20–22 February 2022. [Google Scholar]
- Sunagawa, M.; Ichi Shikii, S.; Beck, A.; Kek, K.J.; Yoshioka, M. Analysis of the effect of thermal comfort on driver drowsiness progress with Predicted Mean Vote: An experiment using real highway driving conditions. Transp. Res. Part F Traffic Psychol. Behav. 2023, 94, 517–527. [Google Scholar] [CrossRef]
- Elshater, A.; Abusaada, H.; Alfiky, A.; El-Bardisy, N.; Elmarakby, E.; Grant, S. Workers’ Satisfaction vis-à-vis Environmental and Socio-Morphological Aspects for Sustainability and Decent Work. Sustainability 2022, 14, 1699. [Google Scholar] [CrossRef]
- Potchter, O.; Cohen, P.; Lin, T.P.; Matzarakis, A. Outdoor human thermal perception in various climates: A comprehensive review of approaches, methods and quantification. Sci. Total Environ. 2018, 631–632, 390–406. [Google Scholar] [CrossRef]
- Gao, C.Y.; Niu, J.G.; Gao, Q.C. The Application of Origin Software in the Data Processing of Rock Creep Experiment. Appl. Mech. Mater. 2014, 580–583, 509–513. [Google Scholar] [CrossRef]
- Yang, S.; Wang, L.L.; Stathopoulos, T.; Marey, A.M. Urban microclimate and its impact on built environment—A review. Build. Environ. 2023, 238, 110334. [Google Scholar] [CrossRef]
- Oke, T.R. The energetic basis of the urban heat island. Q. J. R. Meteorol. Soc. 1982, 108, 1–24. [Google Scholar] [CrossRef]




















| Month | Velocity | Direction | Pressure | Temp. | Rel Humidity | Direct Rad. | Diffuse Rad. | Daylight Hours |
|---|---|---|---|---|---|---|---|---|
| (m/s) | (degrees) | (Pa) | (°C) | (percent) | (W/sq.m) | (W/sq.m) | (h) | |
| Jan. | 1.48 | 145 | 123,026 | 4.12 | 86.00 | 12.74 | 11.85 | 3.03 |
| Feb. | 1.45 | 142 | 102,178 | 8.63 | 80.82 | 11.37 | 12.59 | 5.98 |
| Mar. | 1.66 | 165 | 101,535 | 13.00 | 78.71 | 13.84 | 10.55 | 7.25 |
| Apr. | 1.49 | 154 | 101,560 | 16.81 | 70.53 | 11.35 | 14.45 | 8.52 |
| May | 1.38 | 153 | 100,546 | 23.13 | 76.64 | 16.33 | 9.34 | 5.01 |
| Jun. | 1.32 | 155 | 100,119 | 26.48 | 85.52 | 14.84 | 9.96 | 2.94 |
| Jul. | 1.40 | 149 | 100,161 | 26.43 | 88.24 | 25.06 | 7.38 | 2.00 |
| Aug. | 1.60 | 179 | 100,202 | 30.02 | 75.71 | 15.08 | 14.38 | 7.76 |
| Sep. | 0.99 | 137 | 100,975 | 22.93 | 85.20 | 13.12 | 13.77 | 3.21 |
| Oct. | 1.15 | 152 | 101,792 | 16.75 | 85.12 | 14.79 | 12.58 | 3.18 |
| Nov. | 1.38 | 114 | 102,159 | 12.50 | 81.84 | 18.54 | 12.55 | 3.77 |
| Dec. | 1.29 | 91 | 102,589 | 4.85 | 76.52 | 13.88 | 12.70 | 2.89 |
| Method | Exterior Wall | Lawn | Underlying Surface | Trees | Lake and River | Road |
|---|---|---|---|---|---|---|
| Phoenics | Brick at 20 °C | Foliage | Soil | Wood and Foliage | Water at 20 °C | Asphalt |
| ENVI-met | BrickWall (reinforced) | Grass 25 cm | Sandy Soil | Dutch Elm (middle) | Water at 20 °C | Asphalt |
| Age | Gender | Weight | Height | Walking Speed | Surface Area | Static Insulation Outdoor |
|---|---|---|---|---|---|---|
| 35 y | Male | 75.00 kg | 1.75 m | 2 km/h | 1.91 m2 | 0.6/0.8/1.0 clo |
| Model Number | Wind Speed Measurement | Temperature Measurement | Wind Rating | Sampling Rate |
|---|---|---|---|---|
| UT-363 | 0–30 m/s ± (5% + 0.5) | −10–50 °C ± (2 °C) | Level 0–12 (±1) | 500 ms |
Disclaimer/Publisher’s Note: The statements, opinions and data contained in all publications are solely those of the individual author(s) and contributor(s) and not of MDPI and/or the editor(s). MDPI and/or the editor(s) disclaim responsibility for any injury to people or property resulting from any ideas, methods, instructions or products referred to in the content. |
© 2025 by the authors. Licensee MDPI, Basel, Switzerland. This article is an open access article distributed under the terms and conditions of the Creative Commons Attribution (CC BY) license (https://creativecommons.org/licenses/by/4.0/).
Share and Cite
Li, K.; Li, K.; Lau, S.S.Y.; Ji, H.; Feng, M.; Li, F. Correlation Between Outdoor Microclimate and Residents’ Health Across Different Residential Community Types in Wuhan, China: A Case Study of Hypertension. Buildings 2025, 15, 2210. https://doi.org/10.3390/buildings15132210
Li K, Li K, Lau SSY, Ji H, Feng M, Li F. Correlation Between Outdoor Microclimate and Residents’ Health Across Different Residential Community Types in Wuhan, China: A Case Study of Hypertension. Buildings. 2025; 15(13):2210. https://doi.org/10.3390/buildings15132210
Chicago/Turabian StyleLi, Ke, Kun Li, Stephen Siu Yu Lau, Hao Ji, Maohui Feng, and Fei Li. 2025. "Correlation Between Outdoor Microclimate and Residents’ Health Across Different Residential Community Types in Wuhan, China: A Case Study of Hypertension" Buildings 15, no. 13: 2210. https://doi.org/10.3390/buildings15132210
APA StyleLi, K., Li, K., Lau, S. S. Y., Ji, H., Feng, M., & Li, F. (2025). Correlation Between Outdoor Microclimate and Residents’ Health Across Different Residential Community Types in Wuhan, China: A Case Study of Hypertension. Buildings, 15(13), 2210. https://doi.org/10.3390/buildings15132210

