Using Optimized Sulphoaluminate Cement to Enhance the Early Strength of Cement-Treated Aggregate Base for Rapid Traffic Opening
Abstract
1. Introduction
2. Materials and Methods
2.1. Cement and Cement Admixtures
2.2. Measurements on SAC Paste
2.3. Preparation and Test Methods of CTA
2.3.1. Aggregates and Mixture Proportion of CTA
2.3.2. Compaction Test
2.3.3. Mechanical Performance Test
2.3.4. Scouring Test
3. Results and Discussion
3.1. Performance Optimization of SAC and Mechanistic Investigations
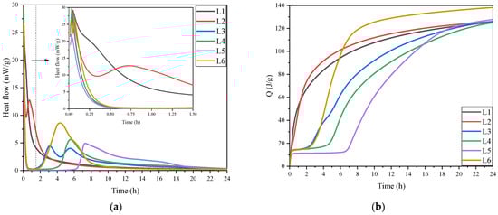
3.1.1. Hydration Kinetics of SAC Paste
3.1.2. Setting Time and Compressive Strength of SAC Paste
3.1.3. SEM of SAC Paste
3.2. Optimum Moisture Content and Maximum Dry Density of CTA
3.3. Mechanical Performances of CTA
3.3.1. Unconfined Compressive Strength and Indirect Tension Strength
3.3.2. Effect of Delay Time on Unconfined Compressive Strength
3.3.3. Compression Modulus of Resilience
3.3.4. Interfacial Bonding Strength
3.3.5. Drying Shrinkage Strain
3.4. Scouring Test of CTA
4. Conclusions
- (1)
- The compound retarder (PCE + B) dramatically delayed the hydration and setting time and reduced the early strength of SAC. The addition of early strength agent (LC) enhanced the retarding effect of compound retarder on the hydration of SAC. The compound early strength agent (LC + CF) reduced the negative effect of the compound retarder (PCE + B) on the early strength of SAC. The incorporation of compound retarder and compound early strength agent ensured that SAC had enough setting time and high early strength to prepare CTA.
- (2)
- Increasing the optimized SAC content could increase the unconfined compressive strength, indirect tension strength, and compression modulus of resilience of SACTAs, which were higher than those of 4% OPCTA at the same curing time. The 1 d unconfined compressive strength of the SACTAs after 80 min delay time could meet the minimum requirement of surface layer paving of the highway.
- (3)
- The interfacial bonding strength between SACTA and OPCTA was higher than the indirect tension strength of OPCTA, indicating that optimized SAC was a good maintenance material for CTA.
- (4)
- The drying shrinkage strain of SACTA was lower than that of 4% OPCTA, indicating that SACTA had better cracking resistance. The results of the scouring test show that SACTA had better anti-scouring performance than OPCTA.
5. Recommendations
Author Contributions
Funding
Data Availability Statement
Conflicts of Interest
References
- Huang, T.; Qi, S.; Liu, H.; Yu, H.; Li, S. Shear properties of asphalt mixtures under triaxial compression. Appl. Sci. 2019, 9, 1489. [Google Scholar] [CrossRef]
- Li, J.; Zi, J.; Jiang, T.; Hu, T.; Feng, Z. Impact of the implementation of continuous construction method on pavement cracking performance. Int. J. Pavement Eng. 2016, 17, 201–210. [Google Scholar] [CrossRef]
- Sun, Y.; Li, L. Strength assessment and mechanism analysis of cement stabilized reclaimed lime-fly ash macadam. Constr. Build. Mater. 2018, 166, 118–129. [Google Scholar] [CrossRef]
- Francois, A.; Ali, A.; Mehta, Y. Evaluating the impact of different types of stabilised bases on the overall performance of flexible pavements. Int. J. Pavement Eng. 2019, 20, 938–946. [Google Scholar] [CrossRef]
- He, M.; Ma, S.; Liu, C.; Zhang, J.; Yuan, S. Effect of microcracking on the shrinkage cracking and durability performance of cement-treated macadam material. Int. J. Pavement Eng. 2022, 23, 4909–4922. [Google Scholar] [CrossRef]
- Lv, S.; Xia, C.; You, L.; Wang, X.; Li, J.; Zheng, J. Unified fatigue characteristics model for cement-stabilized macadam under various loading modes. Constr. Build. Mater. 2019, 223, 775–783. [Google Scholar] [CrossRef]
- Lv, S.; Peng, X.; Yuan, J.; Liu, H.; Liu, J. Stress path investigation of fatigue characteristics of cement stabilized macadam. Constr. Build. Mater. 2021, 292, 123446. [Google Scholar] [CrossRef]
- JTG F20-2015; Technical Guidelines for Construction of Highway Roadbases. China Communication Press: Beijing, China, 2015.
- JTG D50-2017; Specifications for Design of Highway Asphalt Pavement. China Communication Press: Beijing, China, 2017.
- JTG 3441-2024; Test Methods of Materials Stabilized with Inorganic Binders for Highway Engineering. China Communications Press: Beijing, China, 2024.
- Li, P.; Wei, D.; Zhang, D.; Xu, S. Study on the properties and mechanisms of a cement-stabilized aggregate mixture with vibration mixing. Front. Mater. 2021, 8, 634336. [Google Scholar] [CrossRef]
- Tian, T.; Jiang, Y.; Zhang, Y.; Deng, C.; Yi, Y.; Fan, J. Strong interlocking skeleton gradation design and performance evaluation of cement-stabilised crushed gravel via vertical vibration test method. Int. J. Pavement Eng. 2023, 24, 2021404. [Google Scholar] [CrossRef]
- Du, Q.; Pan, T.; Lv, J.; Zhou, J.; Ma, Q.; Sun, Q. Mechanical properties of sandstone cement-stabilized macadam. Appl. Sci. 2019, 9, 3460. [Google Scholar] [CrossRef]
- Li, Z.; Chen, Y.; Meng, Q.; Wang, C.; Guan, J.; Zhang, L. Study on Pavement Performance of Cement Stabilized Recycled Brick Aggregate Base with Basalt Fiber. Adv. Mater. Sci. Eng. 2022, 2022, 2347736. [Google Scholar] [CrossRef]
- Ma, Y.; Gu, J.; Li, Y.; Li, Y. The bending fatigue performance of cement-stabilized aggregate reinforced with polypropylene filament fiber. Constr. Build. Mater. 2015, 83, 230–236. [Google Scholar] [CrossRef]
- Adresi, M.; Khishdari, A.; Ahmadi, A.; Rooholamini, H. Influence of high content of reclaimed asphalt on the mechanical properties of cement-treated base under critical environmental conditions. Int. J. Pavement Eng. 2019, 20, 1098–1105. [Google Scholar] [CrossRef]
- Kawashima, S.; Hou, P.; Corr, D.J.; Shah, S.P. Modification of cement-based materials with nanoparticles. Cement Concr. Compos. 2013, 36, 8–15. [Google Scholar] [CrossRef]
- Land, G.; Stephan, D. The effect of synthesis conditions on the efficiency of CSH seeds to accelerate cement hydration. Cement Concr. Compos. 2018, 87, 73–78. [Google Scholar] [CrossRef]
- Mangat, P.S.; Ojedokun, O.O.; Lambert, P. Chloride-initiated corrosion in alkali activated reinforced concrete. Cement Concr. Compos. 2021, 115, 103823. [Google Scholar] [CrossRef]
- Hu, W.; Nie, Q.K.; Huang, B.S.; Su, A.W.; Du, Y.; Shu, X.; He, Q. Mechanical property and microstructure characteristics of geopolymer stabilized aggregate base. Constr. Build. Mater. 2018, 191, 1120–1127. [Google Scholar] [CrossRef]
- Guotang, Z.; Wei, S.; Guotao, Y.; Li, P.; Degou, C.; Jinyang, J. Mechanism of cement on the performance of cement stabilized aggregate for high speed railway roadbed. Constr. Build. Mater. 2017, 144, 347–356. [Google Scholar] [CrossRef]
- Deng, C.; Jiang, Y.; Lin, H.; Ji, X. Mechanical-strength-growth law and predictive model for cement-stabilized macadam. Constr. Build. Mater. 2019, 215, 582–594. [Google Scholar] [CrossRef]
- Deng, C.; Jiang, Y.; Tian, T.; Chen, Z. Resilient modulus and influencing factors of vertical vibration compacted cement-stabilized macadam. Int. J. Pavement Eng. 2021, 22, 1435–1445. [Google Scholar] [CrossRef]
- Wang, L.; Shen, A.; Lyu, Z.; Guo, Y.; He, Z.; Mou, G. Rapid regeneration cement-stabilized macadam: Preparation, mechanical properties, and dry shrinkage performance. Constr. Build. Mater. 2022, 341, 127901. [Google Scholar] [CrossRef]
- Cai, G.; Zhao, J. Application of sulphoaluminate cement to repair deteriorated concrete members in chloride ion rich environment-a basic experimental investigation of durability properties. Ksce. J. Civ. Eng. 2016, 20, 2832–2841. [Google Scholar] [CrossRef]
- Ma, J.; Wang, H.; Yu, Z.; Shi, H.; Wu, Q.; Shen, X. A systematic review on durability of calcium sulphoaluminate cement-based materials in chloride environment. J. Sustain. Cem.-Based Mater. 2023, 12, 687–698. [Google Scholar] [CrossRef]
- Zhao, J.; Cai, G.; Gao, D.; Zhao, S. Influences of freeze–thaw cycle and curing time on chloride ion penetration resistance of Sulphoaluminate cement concrete. Constr. Build. Mater. 2014, 53, 305–311. [Google Scholar] [CrossRef]
- Subramanian, S.; Moon, S.W.; Moon, J.; Ku, T. CSA-treated sand for geotechnical application: Microstructure analysis and rapid strength development. J. Mater. Civil. Eng. 2018, 30, 04018313. [Google Scholar] [CrossRef]
- Zajac, M.; Skocek, J.; Bullerjahn, F.; Haha, M.B. Effect of retarders on the early hydration of calcium-sulpho-aluminate (CSA) type cements. Cement Concr. Res. 2016, 84, 62–75. [Google Scholar] [CrossRef]
- Gelli, R.; Tonelli, M.; Ridi, F.; Martini, F.; Calucci, L.; Borsacchi, S. Effect of borax on the hydration and setting of magnesium phosphate cements. Constr. Build. Mater. 2022, 348, 128686. [Google Scholar] [CrossRef]
- Du, Y.; Wang, S.; Xue, Z.; Ma, C. Performance regulation and mechanism of sulphoaluminate cement for cement treated aggregate. J. Railw. Sci. Eng. 2023, 20, 1–10. [Google Scholar]
- JTG 3420-2020; Testing Methods of Cement and Concrete for Highway Engineering. China Communication Press: Beijing, China, 2020.
- Coumes, C.; Dhoury, M.; Champenois, J.B.; Mercier, C.; Damidot, D. Combined effects of lithium and borate ions on the hydration of calcium sulfoaluminate cement. Cement Concr. Res. 2017, 97, 50–60. [Google Scholar] [CrossRef]
- Li, B.; Ling, X.; Liu, X.; Li, Q.; Chen, W. Hydration of Portland cements in solutions containing high concentration of borate ions: Effects of LiOH. Cement Concr. Compos. 2019, 102, 94–104. [Google Scholar] [CrossRef]
- Wolf, J.J.; Jansen, D.; Goetz-Neunhoeffer, F.; Neubauer, J. Impact of varying Li2CO3 additions on the hydration of ternary CSA-OPC-anhydrite mixes. Cement Concr. Res. 2020, 131, 106015. [Google Scholar] [CrossRef]
- Sounthararajah, A.; Nguyen, N.; Bui, H.; Jitsangiam, P.; Leung, G.; Kodikara, J. Effect of cement on the engineering properties of pavement materials. Mater. Sci. Forum. 2016, 866, 31–36. [Google Scholar] [CrossRef]
- Pasetto, M.; Nicola, B. Recycling of waste aggregate in cement bound mixtures for road pavement bases and sub-bases. Constr. Build. Mater. 2016, 108, 112–118. [Google Scholar] [CrossRef]
- Zheng, Y.; Zhang, P.; Cai, Y.; Jin, Z.; Moshtagh, E. Cracking resistance and mechanical properties of basalt fibers reinforced cement-stabilized macadam. Compos. Part B-Eng. 2019, 165, 312–334. [Google Scholar] [CrossRef]
- Ke, G.; Zhang, J.; Liu, Y.; Xie, S. Pore characteristics of calcium sulfoaluminate cement paste with impact of supplementary cementitious materials and water to binder ratio. Powder Technol. 2021, 387, 146–155. [Google Scholar] [CrossRef]











| Material | Content (%) | ||||||
|---|---|---|---|---|---|---|---|
| SiO2 | CaO | Fe2O3 | Al2O3 | SO3 | MgO | Other | |
| SAC | 11.98 | 44.21 | 3.59 | 27.99 | 8.79 | 2.49 | 0.16 |
| OPC | 22.28 | 60.65 | 4.02 | 4.41 | 2.02 | 1.98 | 0.98 |
| Silica fume | 92.85 | 0.58 | 0.82 | 0.41 | 0.78 | 0.61 | — |
| Samples | Cement (g) | PCE (g) | B (g) | LC (g) | CF (g) | Water (g) | SF (g) |
|---|---|---|---|---|---|---|---|
| L1 | 95 | - | - | - | - | 31 | 5 |
| L2 | 95 | 0.4 | - | - | - | 31 | 5 |
| L3 | 95 | - | 0.6 | - | - | 31 | 5 |
| L4 | 95 | 0.4 | 0.6 | - | - | 31 | 5 |
| L5 | 95 | 0.4 | 0.6 | 0.25 | - | 31 | 5 |
| L6 | 95 | 0.4 | 0.6 | 0.25 | 0.6 | 31 | 5 |
| Samples | Setting Time (min) | Compressive Strength (MPa) | ||||
|---|---|---|---|---|---|---|
| Initial Setting | Final Setting | 12 h | 1 d | 3 d | 7 d | |
| L1 | 12 | 17 | 24.0 | 31.3 | 39.4 | 46 |
| L4 | 120 | 180 | 19.3 | 26.8 | 35.9 | 43.1 |
| L6 | 90 | 120 | 22.4 | 30.3 | 38.9 | 46.4 |
| Samples | Interfacial Bonding Strength | |||
|---|---|---|---|---|
| 1 d | 3 d | 7 d | 28 d | |
| 3.0% S-PCTA | 0.19 | 0.3 | 0.38 | 0.58 |
| 3.5% S-PCTA | 0.21 | 0.35 | 0.48 | 0.65 |
| 4.0% S-PCTA | 0.27 | 0.43 | 0.57 | 0.73 |
| 4.5% S-PCTA | 0.35 | 0.55 | 0.63 | 0.79 |
| 5.0% S-PCTA | 0.42 | 0.6 | 0.72 | 0.85 |
Disclaimer/Publisher’s Note: The statements, opinions and data contained in all publications are solely those of the individual author(s) and contributor(s) and not of MDPI and/or the editor(s). MDPI and/or the editor(s) disclaim responsibility for any injury to people or property resulting from any ideas, methods, instructions or products referred to in the content. |
© 2025 by the authors. Licensee MDPI, Basel, Switzerland. This article is an open access article distributed under the terms and conditions of the Creative Commons Attribution (CC BY) license (https://creativecommons.org/licenses/by/4.0/).
Share and Cite
Kong, L.; Xu, J.; Wang, D.; Wang, H.; Du, Y.; Wang, S. Using Optimized Sulphoaluminate Cement to Enhance the Early Strength of Cement-Treated Aggregate Base for Rapid Traffic Opening. Buildings 2025, 15, 1958. https://doi.org/10.3390/buildings15111958
Kong L, Xu J, Wang D, Wang H, Du Y, Wang S. Using Optimized Sulphoaluminate Cement to Enhance the Early Strength of Cement-Treated Aggregate Base for Rapid Traffic Opening. Buildings. 2025; 15(11):1958. https://doi.org/10.3390/buildings15111958
Chicago/Turabian StyleKong, Lingxiang, Junquan Xu, Dongtao Wang, Hong Wang, Yinfei Du, and Shungui Wang. 2025. "Using Optimized Sulphoaluminate Cement to Enhance the Early Strength of Cement-Treated Aggregate Base for Rapid Traffic Opening" Buildings 15, no. 11: 1958. https://doi.org/10.3390/buildings15111958
APA StyleKong, L., Xu, J., Wang, D., Wang, H., Du, Y., & Wang, S. (2025). Using Optimized Sulphoaluminate Cement to Enhance the Early Strength of Cement-Treated Aggregate Base for Rapid Traffic Opening. Buildings, 15(11), 1958. https://doi.org/10.3390/buildings15111958

