Next Article in Journal
Carbon Neutrality Benefit by Developing Underground Space and Overlying Green Land: Calculation Methodology and Case Study
Next Article in Special Issue
In Situ Testing Evaluation and Numerical Simulation of CFRP-Strengthened Reinforced Concrete Two-Way Slab with Initial Defect
Previous Article in Journal
Economic and Carbon Emission Analyses of C50 Manufactured Sand Concrete Considering Workability and Compressive Strength
Previous Article in Special Issue
Mechanical Behavior and Innovative Applications of Fiber-Reinforced Cementitious Composite and Fiber-Reinforced Polymer in Infrastructures
 
 
Font Type:
Arial Georgia Verdana
Font Size:
Aa Aa Aa
Line Spacing:
Column Width:
Background:
Article

Dynamic Monitoring of CFRP Strengthened Bridges: A Distributed Sensing Approach Under Bridge–Vehicle Coupling

1
School of Civil Engineering and Architecture, East China Jiaotong University, Nanchang 330013, China
2
Central Research Institute of Building and Construction Co., Ltd. MCC, Beijing 100088, China
3
College of Civil and Transportation Engineering, Hohai University, Nanjing 210098, China
*
Authors to whom correspondence should be addressed.
Buildings 2025, 15(1), 76; https://doi.org/10.3390/buildings15010076
Submission received: 9 November 2024 / Revised: 8 December 2024 / Accepted: 26 December 2024 / Published: 29 December 2024

Abstract

:
To achieve a rapid assessment of reinforced bridges without interrupting traffic, the method and influence parameters for evaluating prestressed CFRP (Carbon Fiber Reinforced Polymer) plate-strengthened bridges were investigated based on distributed sensing while considering the bridge–vehicle coupling. Firstly, based on the principle of distributed monitoring, the strain influence line equation for prestressed CFRP plate-strengthened bridges under moving vehicle loads was derived. An evaluation index and method for assessing strengthening effectiveness based on distributed strain monitoring was proposed. Numerical simulation experiments were conducted for verification, in which a simulation method for solving the bridge–vehicle coupling vibration response based on the displacement contact method was studied. Relevant example verifications were carried out to prove the correctness of this method. On this basis, a dynamic performance analysis of the bridge before and after strengthening under bridge–vehicle coupling was performed. Finally, a study on influencing parameters was conducted to investigate the impact of different prestress levels of CFRP plates, different vehicle speeds, and different vehicle axle loads on the evaluation method. The results demonstrate that the bridge–vehicle coupling calculation model based on the displacement contact method can effectively simulate the dynamic response of the bridge after reinforcement. The evaluation method based on distributed sensing monitoring is unaffected by the speed and axle load of the vehicle, enabling the assessment of the condition and stress state of the strengthened bridge.

1. Introduction

CFRP exhibits numerous advantages, including lightweight, high strength, corrosion resistance, fatigue resistance, and ease of transportation and construction. It has been widely employed for the strengthening and maintenance of bridges and various building components [1,2,3]. The most common CFRP strengthening methods consist of direct bonding and prestressed CFRP strengthening. The direct bonding method involves adhering CFRP to the bottom of the reinforced component, significantly enhancing the component’s load-bearing capacity and fatigue resistance [4,5,6,7]. However, this method still has drawbacks, such as the under-utilization of CFRP strength and limited improvement in the rigidity of the reinforced components [8,9]. Existing studies indicate that when externally bonded CFRP plates are applied for the flexural reinforcement of structures, the effectiveness of the CFRP plates often depends on the strength of the bonding interface between the plates and the structure. When the CFRP-reinforced structure fails, the usual failure mode is interface failure, where the CFRP plate peels off from the structure. At this point, the strength of the CFRP plates is only about one-fifth of their ultimate tensile strength. Due to the relatively low interfacial bonding strength, the high tensile performance of CFRP sheets is often not fully utilized [10,11].
To solve the above issues, researchers have proposed and developed the prestressed CFRP strengthening method. This method involves applying prestress to CFRP plates [12,13,14], which not only fully leverages the material’s advantages but also enhances structural performance. In terms of experimental research, the use of mechanical anchoring for prestressed tensioning of CFRP plates has been proven to be an effective method for maintaining the synergistic work of CFRP and concrete beams in the event of premature debonding [15,16,17]. Research has shown that the use of prestressed reinforcement technology with mechanical anchoring at both ends can effectively improve the load-bearing capacity of the structure and the utilization rate of CFRP plates, avoiding the failure of the anchored end of CFRP and the delamination failure of CFRP plates [18,19]. The application of mechanical anchoring prestressed CFRP reinforcement technology in actual bridge-strengthening projects has achieved good strengthening effects [20,21]. Kim et al. [22] selected a method of fiber-reinforced polymer (FRP) bonded in sheet form to conduct an experimental study on the performance of the reinforced structure. Soureshjani et al. [23] studied the seismic performance of bridge piers strengthened with CFRP. The results show that CFRP reinforcement can improve the seismic performance of structures. However, with the increase in service time and the influence of the external environment, prestressed CFRP plate-strengthened bridges inevitably lead to prestress loss, which affects the strengthening effect.
To investigate the mechanism and causes of prestress loss in the mechanical anchoring reinforcement method, many scholars have conducted extensive monitoring experiments [24,25,26] Hu5ang et al. [27] proposed a fatigue life prediction model for reinforced concrete beams strengthened with post-tensioned CFRP plates, considering the component materials and partial delamination of CFRP. They found that the fatigue performance of prestressed CFRP-reinforced beams was significantly better than that of unreinforced beams. Peng et al. [28] studied the effects of different strengthening methods on the flexural bearing capacity and fatigue performance of seven reinforced concrete beams. In addition to the concrete test components mentioned above, studies have also been conducted on the strengthening of prestressed CFRP plates in bridges. Puurula et al. [29] established a finite element model based on a 50-year full-scale failure test of a reinforced concrete railway bridge and evaluated the bearing capacity of different strengthening schemes using the model. The bridge can withstand loads 6.5 times greater than the existing load requirements. Wu [30] studied the longitudinal and transverse stress redistribution law of continuous beam bridges reinforced with prestressed CFRP plates. For bridges composed of multiple beams, the uneven transverse stress caused by the prestressed system during strengthening cannot be ignored, and the strengthening effect between adjacent spans will affect each other and cannot be ignored. In summary, compared with other strengthening methods, the prestressed CFRP strengthening method has the advantages of improving the bending and shear bearing capacity of components, improving the stress distribution of components, suppressing deformation and crack propagation, almost not increasing the self-weight of the structure, and a high material strength utilization rate. In the existing research on the bending performance of prestressed CFRP plate-strengthened beams, the strengthening effect is usually evaluated through ultimate load tests. However, the ultimate load test is a destructive test, and it is not practical to evaluate the reinforcement performance of actual bridges by conducting ultimate load tests.
Static vehicle load testing is used to evaluate the bearing capacity of actual bridges. By applying vehicle loads equivalent to the design loads, the monitoring data is compared with the theoretical values calculated by the model to evaluate whether the deformations and stresses meet the requirements for bridge-bearing capacity. However, conducting static load tests on bridges requires interrupting normal traffic, organizing and arranging loading vehicles, and requires a significant amount of time and economic costs. In addition, in order to evaluate the effectiveness of bridge strengthening, two static load tests are required, one before and one after strengthening, to compare the results before and after strengthening, which will incur greater costs. To assess the current bridge conditions, researchers investigated the use of influence lines for evaluating bridge stiffness under moving vehicle loads [31,32,33]. By monitoring the dynamic response of vehicles passing over bridges, the deformation and stress conditions of the bridges can be evaluated. The most commonly used theory for this evaluation is the influence line theory, which converts moving vehicle loads into quasi-static loads. These approaches can effectively identify and assess the longitudinal distribution pattern of stress on the bridges. However, in practical engineering, the interaction between vehicles and bridges is a complex dynamic process. Simplifying the vehicle to a moving concentrated force in finite element simulations can inevitably lead to significant errors.
In addition, the existing research on strengthening monitoring methods mainly involves attaching “point” type strain gauges to the surface of CFRP plates and evaluating the stress conditions during the reinforcement process by monitoring the stress of the CFRP plates. However, if the gauge length of the strain gauge is too small, it is prone to failure due to the influence of small surface cracks on the CFRP plate. This study proposes a method and influence parameters for evaluating prestressed CFRP plate-strengthened bridges under bridge–vehicle coupling, which utilizes the regional monitoring advantages of distributed long-gauge strain sensing technology. A simulation based on the displacement contact method was studied to analyze the vibration response of the strengthened bridge–vehicle coupling, and a finite element model of a prestressed CFRP plate-strengthened multi-beam composite bridge under bridge–vehicle coupling was established. By employing numerical simulation methods, the influence of different prestressing levels of CFRP plates, variations in vehicle speeds, and different axle loads on the strengthened bridge evaluation were studied. The proposed method attempts to quickly evaluate reinforced bridges without interrupting normal traffic. Using distributed long-gauge sensors to achieve full coverage of key areas in reinforced bridges overcomes the problem of traditional strain monitoring being too “local” and unable to achieve regional monitoring. This research shows that the longitudinal strain distribution pattern before and after bridge reinforcement is well identified by moving vehicle loads and is not affected by changes in vehicle parameters.

2. Evaluation of Prestressed CFRP Plate-Strengthened Bridge Using Distributed Sensing

By secondary encapsulating fiber Bragg grating sensors, long-gauge strain (or macro-strain) sensors can be produced, enabling distributed monitoring. In this section, the formula for solving the long-gauge strain at the bottom of the concrete beam of the bridge structure after strengthening with prestressed CFRP plates is derived. The bridge structure is illustrated in Figure 1, where the span of the bridge is l, and the bottom of the bridge is strengthened with prestressed CFRP plates. The symbols E, I, A, l, y, and ACFRP represent the elastic modulus of the beam structure, the moment of inertia of the cross-section about the neutral axis, the cross-sectional area, the calculated length of the beam, the height of the neutral axis, and the cross-sectional area of the prestressed CFRP plates, respectively. There are i long-gauge strain sensors arranged at the bottom of the beam, with the center of the i-th sensor located at a distance xi from the support. The CFRP plates are tensioned and anchored at both ends to the bottom of the beam to work together with the concrete bridge, with a tensile force of Fp. The prestress in the CFRP plates is σp = Fp/ACFRP.
The long-gauge strain ε ¯ p i at the i-th sensor inside the anchor point caused by prestressed CFRP strengthening is given by Equation (1):
ε ¯ p i = F p E A + M y E I = F p E A + F p y 2 E I
When the CFRP plates experience prestress loss, the corresponding tensile force and the prestress of the CFRP plates are denoted as Fl and σl, respectively. After the prestress loss occurs, the area of the CFRP plates ACFRP remains unchanged. At this point, the long-gauge strain of the i-th sensor after prestress loss is as follows:
ε ¯ l i = F l E A + M y E I = F l E A + F l y 2 E I
Dividing ε ¯ l i by ε ¯ p i , the following is obtained:
ε ¯ l i ε ¯ p i = F l F p = σ l i σ p i
According to Equation (3), given σ l i and σ p i , the long-gauge strain of the i-th sensor can be used as an evaluation index to assess the prestress loss of the CFRP plate at position xi. This index is applicable for the prestress evaluation of CFRP plates during the strengthening process. In the operational phase, after the completion of bridge strengthening, the strengthened bridge bears moving vehicle loads. Therefore, it is necessary to study the evaluation index for the prestress loss of the CFRP plate under traffic conditions without interruption. The strain influence line was primarily used for vehicle load identification by Ojio and Yamada [34]. The strain influence line fi(x) at the bottom of the bridge at position xi is expressed as follows in Equation (4):
f i ( x ) = ( l x i ) y x E I l         0 x x i f i ( x ) = x i y E I 1 x l         x i < x l
When a vehicle with speed v passes through the bridge, the axle weight of the j-th axle is Pj(j = 1~n), and the distance between wheel j and the first wheel is dj(j = 1~n), the long-gauge strain response of the i-th sensor under the moving vehicle load can be expressed as follows:
ε ¯ V i x = j = 1 n P j f i x d j
The integral of the long-gauge strain generated by the vehicle load along the span direction of the beam is as follows:
0 l + d n ε ¯ V i x d x = j = 1 n P j 0 l + d n f i x d j d x = j = 1 n P j 0 l f i x d x
By substituting fi(x) and t = (l + dn)/v into the above equation, the integral value Svi with respect to time t for the long-gauge strain of the i-th sensor under vehicle load is obtained:
0 l + d n ε ¯ V i ( x ) d x = v S v i = ( l x i ) y x i j = 1 n P j 2 E I
The integral value Spi of the long-gauge strain of the i-th sensor caused by prestressing strengthening with respect to time t can be expressed as follows:
S P i = 0 t ε ¯ P i d t
Substituting Equation (2) into Equation (8), respectively, the following is obtained:
S P i = F P E A + F P y 2 E I t
Thus, the integral value Si of the long-gauge strain with respect to time t for the bridge strengthened by prestressed CFRP plates as the vehicle passes is expressed as shown in Equation (10):
S i = S V i + S P i
Substituting SPi and SVi into Equation (10) yields the expression for Si:
S i = S P i + S V i = ( l x i ) y x i j = 1 n P j 2 E I v F P E A + F P y 2 E I l + d n v
According to Equation (11), it can be concluded that the damage Si caused by a test vehicle with known speed and axle load passing over the strengthened bridge can be used as an evaluation index to assess the prestress loss of the prestressed CFRP plates at the corresponding location xi. This can serve as the evaluation metric for the prestress loss in the CFRP plates, leading to the proposal of a corresponding distributed static and dynamic prestress loss assessment method. The above derivation process is based on the concentrated force of movement without considering the influence of different vehicle parameters, such as the influence of different vehicle speeds, weights, and types. Therefore, this study mainly investigates the effects of different vehicle parameters and different tensile stresses on the above methods.

3. Numerical Simulation of Bridge Strengthening Under Bridge–Vehicle Coupled Vibration

3.1. Calculation of Bridge–Vehicle Coupled Vibration Based on the Displacement Contact Method

In the previous section, a theoretical analysis was conducted on the assessment method for prestressed CFRP plate-strengthened bridges. To verify the feasibility of the proposed method, a simulation method based on the displacement contact method for bridge–vehicle coupled vibration is employed. A finite element model of a prestressed CFRP plate-strengthened multi-beam composite bridge under bridge–vehicle coupled vibration is established to investigate the influence of different CFRP plate prestressing levels and vehicle parameters on the evaluation indices of bridge strengthening based on the envelope line of distributed macro-strain amplitude. The finite element model adopts a 32 m span simply supported multi-beam composite bridge consisting of five I-shaped steel beams with a main beam spacing of 2.13 m, a bridge deck width of 10.65 m, and a deck thickness of 0.20 m [35]. The deck material is C50 concrete, and the I-shaped steel beams are made of Q345 steel. The cross-sectional schematic of the bridge is shown in Figure 2a. The parameters of the main beams are presented in Figure 2b.
The bridge model was established using ANSYS 19.2 software. The bridge deck and I-shaped steel beams are simulated using SOLID65 elements, and they are connected by common nodes to achieve a rigid connection, meaning there is no sliding between the steel beams and the bridge deck. The ends of the bridge are constrained as simply supported. Figure 3 shows the established finite element model of the bridge.
A 3-axle vehicle model was selected as the simulated loading vehicle, which consists of three parts: the vehicle body, suspension, and tires. The vehicle body considers degrees of freedom for vertical movement and pitching, while the three tires consider vertical movement degrees of freedom. The vehicle body and tire elements are simulated using MASS21 elements, and the spring-damping system between the vehicle body, suspension, and tires is simulated using COMBIN14 elements, as shown in Figure 3. The parameters of the model vehicle are shown in Table 1.
The displacement contact method was used to simulate the interaction between the vehicle and the bridge by establishing contact pairs between the bridge model and the wheel contact points. Displacement is then applied along the bridge direction to the wheel contact points to simulate the movement of vehicle loads, ultimately achieving bridge–vehicle coupling vibration, as shown in Figure 4. The advantage of this method is that the moving mass can move at any position on the bridge, not confined to the nodes of the bridge model, which facilitates the creation of a more refined bridge model.
The bridge deck is defined as the target surface, simulated using the target element TARGE170. The wheel contact points are defined as the contact surface, simulated using the contact element CONTA175. The contact between the contact elements and target elements is set to be non-separable. The displacement coordination between the two contact surfaces is achieved through the augmented Lagrangian algorithm. Considering the structure’s predominant bending deformation, the contact stiffness is set to 0.1. The effect of pavement irregularities on the bridge–vehicle coupling system is simulated by applying a pair of interaction forces at the wheel-bridge contact points.
The central displacement time history diagrams of the simply supported beam at different speeds, derived from the algorithm in this paper, are compared with the displacement time history diagrams from the original literature, as shown in Figure 5a,b. Figure 5a,b compare the mid-span displacement time histories between the displacement contact method and the reference calculation method, with vehicle speeds of 60 km/h and 120 km/h, respectively. By comparing the central displacement time history diagrams at different speeds, it is evident that the results from the literature reference align well with the results calculated by the method in this paper. This indicates that the method described in this paper can effectively and accurately simulate and analyze bridge–vehicle coupling vibration.

3.2. Model Establishment of Prestressed CFRP Plate Strengthened Bridges

The commonly used methods for applying prestress in ANSYS 19.2 include the equivalent load method and the solid strengthening method, where the solid strengthening method typically employs the cooling method and the initial strain method to achieve prestressing in structures. The method for simulating the prestressed CFRP plate strengthened beam bridge in this paper is as follows: SHELL63 elements are selected to simulate the CFRP plates, which are arranged at the bottom of each steel beam; all degrees of freedom of the end nodes of the CFRP plates, simulated with SHELL63 elements, are coupled with the corresponding nodes of the steel beam simulated with SOLID65 elements to model the effect of the CFRP plate anchoring system in practice; the midsection nodes of the CFRP plate elements are coupled with the corresponding steel beam nodes for lateral and vertical degrees of freedom to ensure the collaborative work between the CFRP plates and the steel beams; the cooling method is used to simulate the application of prestress to the CFRP plates, where the relationship between temperature change and prestress in the CFRP plates is given by Δ T = F / ( E α f ) , where F is the applied prestress, E is the elastic modulus of the CFRP plates, and α f is the linear expansion coefficient of the CFRP plates. The specific parameters of CFRP plates are shown in Table 2.
The finite element model of the bridge has a total of 18,160 nodes and 25,587 elements. In order to meet the calculation accuracy, the mesh size of the bridge deck is 0.5 × 0.28 × 0.2 m, the mesh size of the steel beam web element is 0.5 × 0.014 × 0.23 m, and the mesh size of the flange plate is 0.5 × 0.125 × 0.014 m (upper flange) and 0.5 × 0.125 × 0.036 m (lower flange). The prestressed CFRP plate has 780 elements and a grid size of 0.5 × 0.043 × 0.003 m. The main beam material of the bridge is Q345, with an elastic modulus of 2.10 × 1011 Pa, Poisson’s ratio of 0.3, density of 7850 kg/m3, yield strength of 3.45 × 108 Pa, tensile strength of 5.60 × 108 Pa, and moment of inertia of a single beam of 0.011 m4. The bridge deck is made of C50 concrete with an elastic modulus of 3.45 × 1010 Pa, Poisson’s ratio of 0.2, density of 2500 kg/m3, compressive strength of 5 × 107 Pa, and moment of inertia of 20.13 m4.
After the bridge model is established, the coupling effect of the CFRP plates on the bridge and the relevant prestressing are considered according to the above methods. Finally, a vehicle model and the contact relationship between the vehicle and the bridge are established. The finite element model of the multi-beam composite bridge strengthened with prestressed CFRP plates under the bridge–vehicle coupling effect, established in this paper, is shown in Figure 6.

4. Analysis of Influencing Parameters on Strengthening Effect Evaluation Methods

In the previous section, a finite element model of a multi-beam composite bridge strengthened with prestressed CFRP plates under bridge–vehicle coupling effects and a bridge–vehicle coupling calculation method was established. To investigate the influence of different strengthening levels and vehicle parameters on the evaluation results, a relevant parameter influence analysis was conducted. This analysis examines the effects of varying CFRP plate prestress levels, vehicle speeds, and vehicle axle loads on the proposed evaluation method for strengthening effects. It is assumed that 31 long-gauge fiber Bragg grating sensor (FBG) strain sensors with a gauge length of 1 m are arranged at the bottom of the beam, and the sensors are sequentially numbered as G1~G31, as shown in Figure 7.

4.1. The Impact of Different Prestress Levels of CFRP Plates

This section primarily considers the impact of different prestress levels of CFRP plates on the evaluation methods for strengthening effectiveness. One initial scenario, P0, and five strengthened scenarios, P1 to P5, were designed. The prestress levels of CFRP plates under each strengthened scenario are detailed in Table 3. The prestress level for 100% CFRP plates is 1200 MPa. The vehicle speed is set at 120 km/h, and the vehicle axle load and related parameters are provided in Section 3.1.
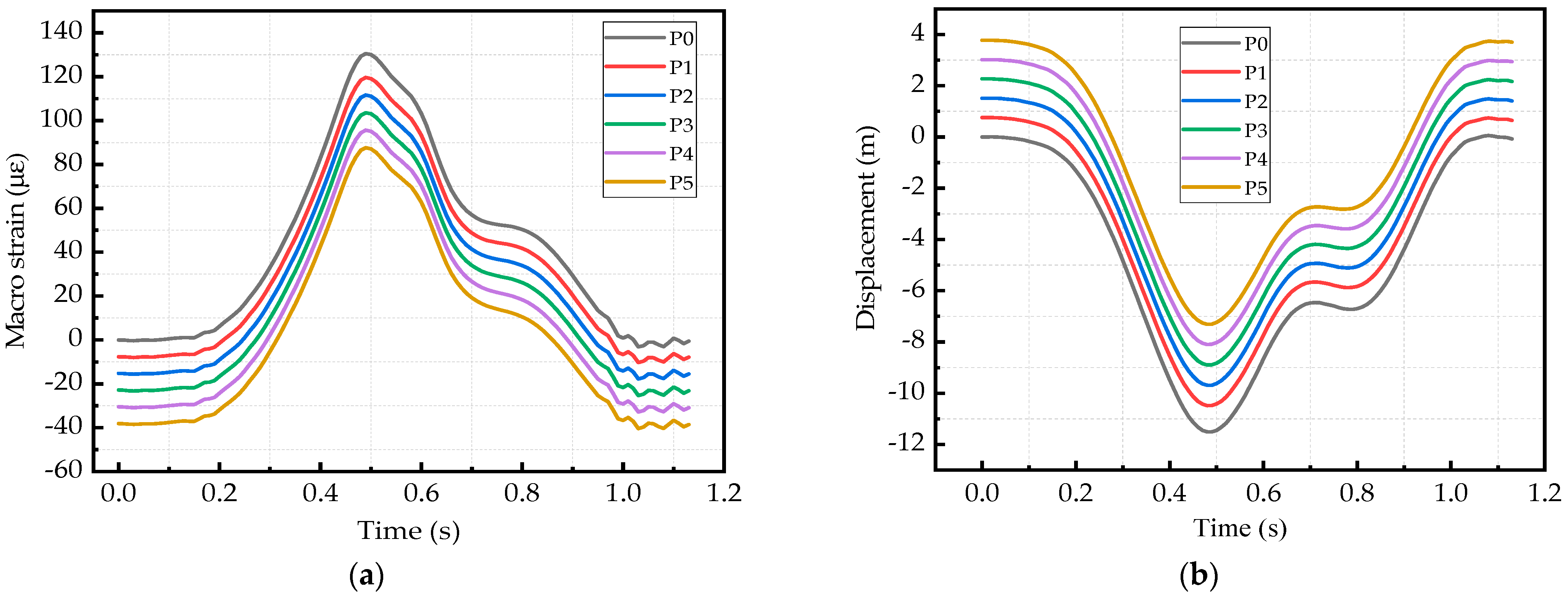
The calculated results for different cases under the bridge–vehicle coupling effect are extracted. The macro-strain time–history curves at the mid-span of the beam (covering the area of sensor G16) under different CFRP plate strengthening cases are shown in Figure 8a, and the mid-span node displacement time–history curves are shown in Figure 8b. From Figure 8a,b, it can be observed that after reinforcing the bridge with prestressed CFRP plates, the macro-strain time–history curves in the sensor coverage area and the mid-span node displacement time–history curves have an initial value, which is due to the initial stress. This initial value is related to the prestress level of the CFRP plate, but the presence of the prestress does not alter the trend of the curves or the location of the maximum amplitude. For each reinforcing case, the macro-strain amplitude and displacement amplitude of the curves both occur within the sensor span. With the increase in CFRP plate tension prestress, the amplitude of macro-strain and displacement time–history curves at the mid-span of the bridge generally decrease, indicating that prestressing strengthening has a good effect on reducing bridge deformation and stress. The results indicate that the bridge–vehicle coupling calculation method based on the displacement contact method can effectively solve the dynamic response of bridges reinforced with pre-stressed CFRP plates.
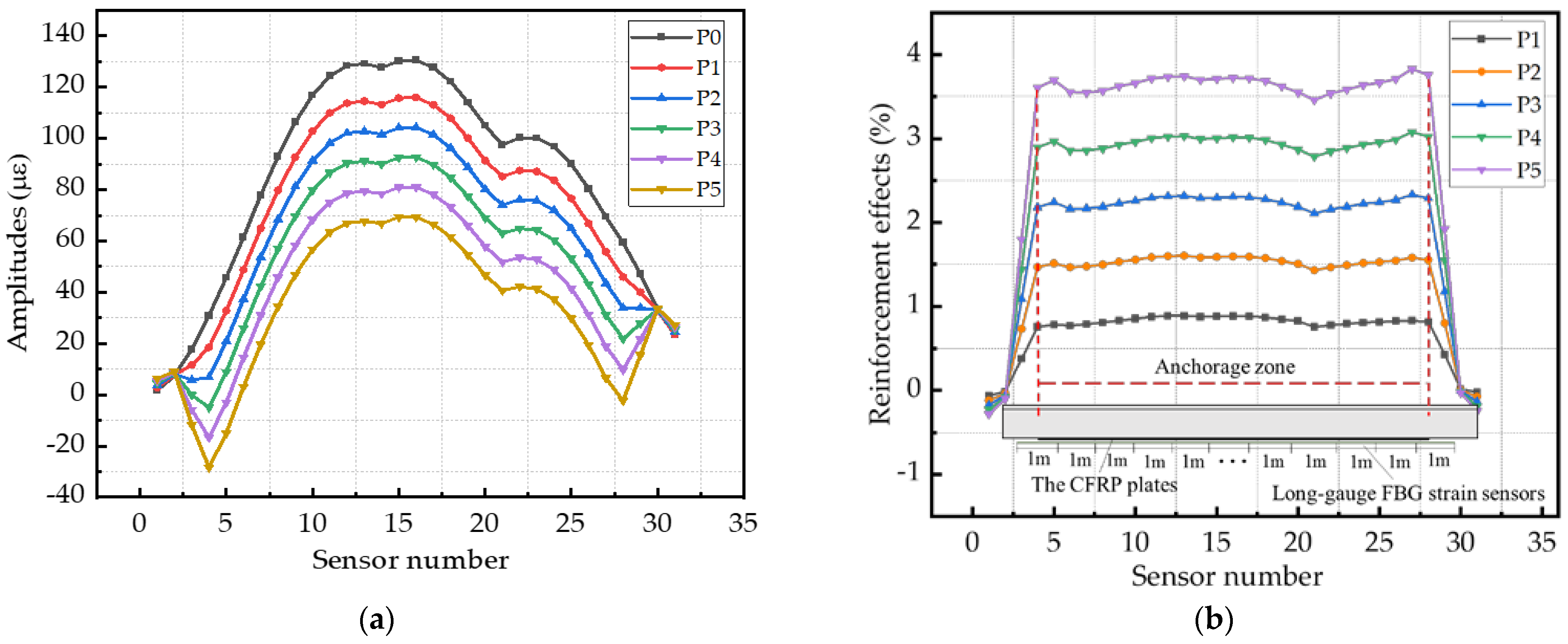
The measured distributed macro-strain amplitudes under different strengthening cases are plotted as envelopes, as shown in Figure 9a. From the figure, it can be observed that the macro-strain amplitude envelope exhibits a staged decline trend within the anchorage zone, particularly in the coverage area of sensors G4 to G28, as the prestress level of the CFRP plate increases. Outside the anchorage zone, the effect of the initial stress gradually diminishes, and the declining trend of the measured macro-strain amplitude decreases with increasing distance from the anchorage point. Near the supports, the macro-strain amplitudes measured by the sensors remain relatively unchanged across different scenarios. The maximum values of the macro-strain amplitude envelopes for all strengthening scenarios occur at sensor G16 in the mid-span, with the values being 130.6 με, 116.0 με, 104.4 με, 92.7 με, 81.0 με, and 69.4 με, respectively. In the P5 case, where the CFRP plate is at full prestress, the macro-strain amplitude at sensor G16 is reduced by approximately 61.2 με.
Through the above analysis, it can be concluded that the prestressed CFRP plate strengthening of beam bridges effectively reduces the mid-span strain and vertical deflection of the bridges when subjected to vehicle loads. By substituting the macro-strain amplitudes measured by different sensors under each strengthening scenario into Equation (11), the strengthening effect of the prestressed CFRP plate on the beam bridge in this simulation can be determined. From Figure 9b, it can be observed that the strengthening effect distribution curves measured by the sensors exhibit an overall upward trend with increasing CFRP plate prestress. Within the anchorage zone, the strengthening effects measured by each sensor are generally consistent. Outside the anchorage zone, the strengthening effects measured by each sensor decrease with increasing distance from the anchorage zone. Under the full prestress level of the CFRP plate, i.e., the P5 strengthening case, the strengthening effects measured near the mid-span by sensors G15, G16, and G17 are 3.71%, 3.73%, and 3.72%, respectively.

4.2. Impact of Different Vehicle Speeds on the Assessment Method

To study the impact of vehicle speed on the proposed strengthening effect assessment method, the changes in the distributed macro-strain amplitude envelopes of the bridge under different vehicle speeds were analyzed. The vehicle speed scenarios were designed as 40 km/h, 60 km/h, 80 km/h, 100 km/h, and 120 km/h. The macro-strain amplitude envelopes at different speeds before and after strengthening can be seen in Figure 10.
From Figure 10a–c, it can be observed that the distributed macro-strain amplitude envelopes at the same speed show a regular decreasing trend under different strengthening cases. However, the shapes of the macro-strain amplitude envelopes measured by each sensor vary at different vehicle speeds, and the corresponding macro-strain amplitudes for each sensor also differ. To verify whether this phenomenon impacts the assessment method for the strengthening effects proposed in this study, a comparative analysis of the strengthening effects measured by each sensor under different speeds in the strengthening scenario P5 is shown in Figure 10d. It can be found that the distribution curves of the bridge strengthening effects at different speeds are largely overlapping, with the maximum error in the strengthening effect at the mid-span being approximately 6%. Thus, the vehicle speed has little effect on the assessment method for strengthening effects presented in this paper.

4.3. Impact of Different Vehicle Weights on the Assessment Method

In actual situations, the types of vehicles are random, and the axle loads of the vehicles will vary. By altering the vehicle mass, the influence of different vehicle weights on the proposed strengthening effect assessment method in this paper is simulated. Assuming the standard vehicle mass is P, 0.5P and 1.5P are used to simulate the effects of light and heavy vehicles in practice, respectively. Other vehicle parameters remain unchanged, and the vehicle speed is set to 120 km/h. Figure 11 shows the macro-strain amplitude envelopes for vehicles with different axle loads under the P0 scenario. It can be seen that with the increase in vehicle axle load, the macro-strain amplitudes measured by each sensor increase synchronously, but the shapes of the macro-strain amplitude envelopes remain largely unchanged.
The evaluation method for the strengthening effect discussed in this paper is suitable for the detection of medium and small-span bridges. Under the condition of ensuring consistent vehicle parameters before and after strengthening, this method can effectively carry out assessments of the bridge strengthening effect. Outside the anchoring zone of the CFRP plates, the strengthening effect is not significant due to the reduced utility of initial stress. Through the longitudinal stress distribution of the bridge during the reinforcement process, it is known that there is a significant stress concentration and complex stress distribution at the anchorage points of the CFRP plate. However, at positions within the anchoring zone, the strengthening effect measured by each sensor is basically the same. Within the range of two anchoring points, as the tensile stress increases, the longitudinal stress at the bottom of the beam increases significantly, which can better evaluate the reinforcement effect of the bridge. However, at positions within the anchoring zone, the strengthening effect measured by each sensor is basically the same. Therefore, when conducting evaluations and monitoring the strengthening effect of prestressed CFRP plates on bridges, long-gauge FBG strain sensors should preferably be arranged in the anchoring sections of the CFRP plates.

5. Conclusions

This article mainly studies the evaluation method of reinforced bridges based on distributed monitoring technology under bridge–vehicle coupling, as well as the influence of vehicle parameter changes on tension and prestress changes. Firstly, the calculation formula for the distributed strain influence line of reinforced bridges under moving vehicle loads was derived, and the distributed strain amplitudes before and after reinforcement were used as evaluation indicators. The main conclusions of this article are as follows:
(1)
The finite element computation results show that, when subjected to vehicle loads, the mid-span strain and mid-span displacement of the bridge are significantly reduced after strengthening with prestressed CFRP plates. Comparing the mid-span macro-strain values and mid-span displacement values before and after strengthening, the mid-span macro-strain value and mid-span displacement value after strengthening are reduced by 61.2 με and 0.0047 m, respectively;
(2)
With changes in vehicle speed, the shape and magnitude of the macro-strain envelope of the bridge also change. However, when the vehicle speeds before and after strengthening are consistent, the distribution curves of the strengthening effect measured by each sensor do not exhibit significant changes due to the differences in the shape and magnitude of the macro-strain envelope. The maximum error of the mid-span reinforcement effect is about 6%. The distribution curves of the strengthening effect at different vehicle speeds essentially overlap;
(3)
The influence of vehicle load on the evaluation method for the strengthening effect is that changes in axle load cause synchronous variations in the macro-strain measured by each sensor, but the shape of the macro-strain envelope remains unchanged. When using long-gauge sensors for monitoring and evaluating the anchored prestressed CFRP plates strengthening method, it is more effective to install the sensors within the area between the two end anchorage points.

Author Contributions

Conceptualization, B.W.; Methodology, Z.Z.; Software, Y.G., Y.S. and H.W.; Validation, Z.Z. and H.W.; Writing—original draft, S.F.; Writing—review and editing, B.W.; Supervision, Z.Z.; Funding acquisition, B.W. All authors have read and agreed to the published version of the manuscript.

Funding

This study was supported by the National Natural Science Foundation of China (Grant No. 52368042), the Jiangxi Provincial Cultivation Program for Academic and Technical Leaders of Major Subjects (Grant No. 20225BCJ23025), the Natural Science Foundation of Jiangxi Province (Grant No. 20242BAB22008), and the Beijing Nova Program (20220484088, 20230484402).

Data Availability Statement

The data presented in this study are available in the article.

Conflicts of Interest

Author Yanchao Shao is employed by the Central Research Institute of Building and Construction Co., Ltd. MCC. The remaining authors declare that the research was conducted in the absence of any commercial or financial relationships that could be construed as a potential conflict of interest.

References

  1. Havez, A.A.; Al-Mayah, A. Flexural strengthening of concrete structures using externally bonded and unbonded prestressed CFRP laminates: A Literature review. J. Compos. Constr. 2023, 27, 03123001. [Google Scholar] [CrossRef]
  2. Shi, J.W.; Wu, Q.Q.; Li, B.; Liu, Y.; Cao, W.H.; Wang, H.T. Fatigue bond behavior of FRP-to-concrete joints with various bonding adhesives. Eng. Struct. 2024, 301, 117311. [Google Scholar] [CrossRef]
  3. Duan, L.; Wang, C.; Brühwiler, E.; Wang, Q. Experiments on the flexural behavior of full-scale PC box girders with service damage strengthened by prestressed CFRP plates. Compos. Struct. 2023, 312, 116864. [Google Scholar] [CrossRef]
  4. Taheri, F.; Shahin, K.; Widiarsa, I. On the parameters influencing the performance of reinforced concrete beams strengthened with FRP plates. Compos. Struct. 2002, 58, 217–226. [Google Scholar] [CrossRef]
  5. Esfahani, M.R.; Kianoush, M.R.; Tajari, A.R. Flexural behaviour of reinforced concrete beams strengthened by CFRP sheets. Eng. Struct. 2007, 29, 2428–2444. [Google Scholar] [CrossRef]
  6. Boukhezar, M.; Samai, M.L.; Mesbah, H.A. Flexural behaviour of reinforced low-strength concrete beams strengthened with CFRP plates. Struct. Eng. Mech. 2013, 47, 819–838. [Google Scholar] [CrossRef]
  7. Gong, S.; Su, M.; Yoshitake, I.; Zhu, C.; Peng, H. Factors affecting flexural properties of RC beams strengthened with gradually prestressed NSM CFRP strips. Eng. Struct. 2024, 306, 117865. [Google Scholar] [CrossRef]
  8. Wang, H.T.; Liu, S.S.; Shi, J.W.; Xu, G.W.; Chen, M.S.; Bian, Z.N. Bonded and unbonded strengthening of RC beams with the prestressed CFRP plate system: An experimental study. Constr. Build. Mater. 2024, 438, 137118. [Google Scholar] [CrossRef]
  9. Zaki, M.A.; Rasheed, H.A.; Roukerd, R.R.; Raheem, M. Performance of reinforced concrete T beams strengthened with flexural CFRP sheets and secured using CFRP splay anchors. Eng. Struct. 2020, 210, 110304. [Google Scholar] [CrossRef]
  10. Aram, M.R.; Czaderski, C.; Motavalli, M. Debonding failure modes of flexural FRPstrengthened RC beams. Compos. Part B Eng. 2008, 39, 826–841. [Google Scholar] [CrossRef]
  11. ACI Committee 440. Guide for the Design and Construction of Externally Bonded FRP Systems for Strengthening Concrete Structures (ACI 440.2 R-22); American Concrete Institute: Farmington Hills, MI, USA, 2022. [Google Scholar] [CrossRef]
  12. Wang, H.T.; Bian, Z.N.; Wu, Q.; Hu, L.; Chen, M.S.; Tang, C. Development of a novel anchorage and tensioning system for strengthening steel beams with unbonded prestressed CFRP plates. Eng. Struct. 2024, 312, 118234. [Google Scholar] [CrossRef]
  13. Piatek, B.; Siwowski, T.; Michalowski, J.; Blazewicz, S. Flexural strengthening of RC beams with prestressed CFRP strips: Development of novel anchor and tensioning system. J. Compos. Constr. 2020, 24, 04020015. [Google Scholar] [CrossRef]
  14. Deng, J.; Rashid, K.; Li, X.; Xie, Y.; Chen, S. Comparative study on prestress loss and flexural performance of rectangular and T beam strengthened by prestressing CFRP plate. Compos. Struct. 2021, 262, 113340. [Google Scholar] [CrossRef]
  15. Zaki, M.A.; Rasheed, H.A. Impact of efficiency and practicality of CFRP anchor installation techniques on the performance of RC beams strengthened with CFRP sheets. Can. J. Civ. Eng. 2019, 46, 796–809. [Google Scholar] [CrossRef]
  16. Chen, L.; Qiang, X.; Jiang, X.; Bai, J. Numerical study of steel–concrete composite beams strengthened by CFRP plates with prestressed unbonded reinforcement system. Eng. Fail. Anal. 2024, 157, 107905. [Google Scholar] [CrossRef]
  17. Wang, H.T.; Wu, Q.; Zhu, C.Y.; Mao, Y.H.; Guo, C.C. An innovative prestressing system of prestressed carbon fiber sheets for strengthening RC beams under flexure. Constr. Build. Mater. 2024, 411, 134409. [Google Scholar] [CrossRef]
  18. Su, M.; Gong, S.; Liu, Y.; Peng, H. Flexural behavior of RC beams strengthened with fully or partially prestressed near-surface mounted FRP strips: An experimental investigation. Eng. Struct. 2022, 262, 114345. [Google Scholar] [CrossRef]
  19. Lee, H.Y.; Jung, W.T.; Chung, W. Flexural strengthening of reinforced concrete beams with pre-stressed near surface mounted CFRP systems. Compos. Struct. 2017, 163, 1–12. [Google Scholar] [CrossRef]
  20. Michels, J.; Staśkiewicz, M.; Czaderski, C. Prestressed CFRP strips for concrete bridge girder retrofitting: Application and static loading test. J. Bridge Eng. 2016, 21, 04016003. [Google Scholar] [CrossRef]
  21. Grace, N.; Jensen, E.; Matsagar, V.; Penjendra, P. Performance of an AASHTO beam bridge prestressed with CFRP tendons. J. Bridge Eng. 2013, 18, 110–121. [Google Scholar] [CrossRef]
  22. Soureshjani, O.K.; Nouri, G. Seismic assessment and rehabilitation of a RC structure under mainshock-aftershock seismic sequences using beam-column bonded CFRP strategy. Bull. Earthq. Eng. 2022, 20, 4989–5016. [Google Scholar] [CrossRef]
  23. Kim, T.K.; Park, J.S. Flexural Behavior Evaluation for Seismic, Durability and Structure Performance Improvement of Aged Bridge According to Reinforcement Methods. Int. J. Concr. Struct. Mater. 2024, 18, 5. [Google Scholar] [CrossRef]
  24. Ghafoori, E.; Hosseini, A.; Al-Mahaidi, R.; Zhao, X.L.; Motavalli, M. Prestressed CFRP-strengthening and long-term wireless monitoring of an old roadway metallic bridge. Eng. Struct. 2018, 176, 585–605. [Google Scholar] [CrossRef]
  25. Kianmofrad, F.; Ghafoori, E.; Elyasi, M.M.; Motavalli, M.; Rahimian, M. Strengthening of metallic beams with different types of pre-stressed un-bonded retrofit systems. Compos. Struct. 2017, 159, 81–95. [Google Scholar] [CrossRef]
  26. Hosseini, A.; Ghafoori, E.; Al-Mahaidi, R. Strengthening of a 19th-century roadway metallic bridge using nonprestressed bonded and prestressed unbonded CFRP plates. Constr. Build. Mater. 2019, 209, 240–259. [Google Scholar] [CrossRef]
  27. Huang, H.; Wang, W.W.; Dai, J.G. Fatigue behavior of reinforced concrete beams strengthened with externally bonded prestressed CFRP sheets. J. Compos. Const. 2017, 21, 04016108. [Google Scholar] [CrossRef]
  28. Peng, H.; Zhang, J.; Shang, S.; Liu, Y. Experimental study of flexural fatigue performance of reinforced concrete beams strengthened with prestressed CFRP plates. Eng. Struct. 2016, 127, 62–72. [Google Scholar] [CrossRef]
  29. Puurula, A.M.; Enochsson, O.; Sas, G.; Blanksvärd, T.; Ohlsson, U.; Bernspång, L.; Täljsten, B.; Carolin, A.; Paulsson, B.; Elfgren, L. Assessment of the strengthening of an RC railway bridge with CFRP utilizing a full-scale failure test and finite-element analysis. J. Struct. Eng. 2015, 141, D4014008. [Google Scholar] [CrossRef]
  30. Wu, B.; Zhou, Y.; Yin, X.; Lin, Z.; Zhou, Z. The anti-arch inhibition effect of multispan continuous girder bridge strengthened with prestressed CFRP plates. Structures 2022, 35, 845–855. [Google Scholar] [CrossRef]
  31. Zheng, X.; Yi, T.H.; Yang, D.H.; Li, H.N. Stiffness estimation of girder bridges using influence lines identified from vehicle-induced structural responses. J. Eng. Mech. 2021, 147, 04021042. [Google Scholar] [CrossRef]
  32. Zhang, G.W.; Cheng, Y.Y.; Xia, Q.; Zhang, J. Curvature envelope area based rapid identification method of bridge distributional element stiffness using microwave interference radar. Mech. Syst. Signal Process. 2023, 197, 110390. [Google Scholar] [CrossRef]
  33. Hester, D.; Brownjohn, J.; Huseynov, F.; Obrien, E.; Gonzalez, A.; Casero, M. Identifying damage in a bridge by analysing rotation response to a moving load. Struct. Infrastruct. Eng. 2020, 16, 1050–1065. [Google Scholar] [CrossRef]
  34. Ojio, T.; Yamada, K. Bridge weigh-in-motion systems using stringers of plate girder bridges. In Proceedings of the Third International Conference on Weigh-in-Motion (ICWIM3) Iowa State University, Orlando, FL, USA, 13–15 May 2002.
  35. Wang, W.; Deng, L.; He, X.; Cai, C.S.; Bi, T. Truck Weight Limit for Simply Supported Steel Girder Bridges Based on Bridge Fatigue Reliability. J. Aerosp. Eng. 2018, 31, 4018079. [Google Scholar] [CrossRef]
Figure 1. Schematic diagram of evaluation under moving loads.
Figure 1. Schematic diagram of evaluation under moving loads.
Buildings 15 00076 g001
Figure 2. Schematic diagram of the bridge cross-section: (a) the bridge cross-section (unit: m); (b) the cross-section of the main beam (unit: m).
Figure 2. Schematic diagram of the bridge cross-section: (a) the bridge cross-section (unit: m); (b) the cross-section of the main beam (unit: m).
Buildings 15 00076 g002
Figure 3. Three-axle vehicle model.
Figure 3. Three-axle vehicle model.
Buildings 15 00076 g003
Figure 4. Schematic diagram of displacement contact method.
Figure 4. Schematic diagram of displacement contact method.
Buildings 15 00076 g004
Figure 5. Comparison of results at different speeds: (a) v = 60 km/h; (b) v = 120 km/h.
Figure 5. Comparison of results at different speeds: (a) v = 60 km/h; (b) v = 120 km/h.
Buildings 15 00076 g005
Figure 6. Calculation model of prestressed CFRP strengthened bridge with bridge–vehicle coupling.
Figure 6. Calculation model of prestressed CFRP strengthened bridge with bridge–vehicle coupling.
Buildings 15 00076 g006
Figure 7. Sensor position layout.
Figure 7. Sensor position layout.
Buildings 15 00076 g007
Figure 8. Displacement and the macro-strain response of a strengthened bridge under bridge–vehicle coupling vibration: (a) macro-strain time-history curves; (b) displacement time–history curve.
Figure 8. Displacement and the macro-strain response of a strengthened bridge under bridge–vehicle coupling vibration: (a) macro-strain time-history curves; (b) displacement time–history curve.
Buildings 15 00076 g008
Figure 9. Identification results of strengthening effect under different tensile stress conditions: (a) envelopes of macro-strain under different cases; (b) strengthening effect measured by each sensor under different cases.
Figure 9. Identification results of strengthening effect under different tensile stress conditions: (a) envelopes of macro-strain under different cases; (b) strengthening effect measured by each sensor under different cases.
Buildings 15 00076 g009
Figure 10. Evaluation results of bridge strengthening effect under different vehicle speeds: (a) v = 40 km/h; (b) v = 80 km/h; (c) v = 120 km/h; (d) envelope lines of macro-strain amplitude at different speeds.
Figure 10. Evaluation results of bridge strengthening effect under different vehicle speeds: (a) v = 40 km/h; (b) v = 80 km/h; (c) v = 120 km/h; (d) envelope lines of macro-strain amplitude at different speeds.
Buildings 15 00076 g010
Figure 11. Impact of different vehicle weights on the assessment method: (a) envelope lines of macro-strain amplitude values for different vehicle weights under P0 operating conditions; (b) strengthening effect under different vehicle axle loads.
Figure 11. Impact of different vehicle weights on the assessment method: (a) envelope lines of macro-strain amplitude values for different vehicle weights under P0 operating conditions; (b) strengthening effect under different vehicle axle loads.
Buildings 15 00076 g011
Table 1. Vehicle Parameters.
Table 1. Vehicle Parameters.
ParametersUnitsValue
Weight of the middle and rear wheels m1, m2kg1600
body weight Mkg27,400
Front-wheel weight m1kg1400
Vehicle pitch moment of inertia Ikg·m2288,000
Stiffness coefficient of the upper suspension system of the front wheel k21kN·m−14200
Damping coefficient of front wheel upper suspension system c21kN·s·m−11.75
Stiffness coefficient of front wheel lower suspension system k11kN·m−14000
Damping coefficient of front wheel lower suspension system c11kN·s·m−10.852
Stiffness coefficient of the upper suspension system of the middle and rear wheels k22, k23kN·m−115,000
Damping coefficient of the upper suspension system of the middle and rear wheels c22, c23kN·s·m−13.872
Stiffness coefficient of the lower suspension system of the middle and rear wheels k12, k13kN·m−14000
Damping coefficient of the lower suspension system of the middle and rear wheels c12, c13kN·s·m−17
Front wheelbase to vehicle weight center distance a1m2.7
Distance from the center of gravity of the vehicle to the center of the middle wheelbase a2m1.3
Distance between the rear wheels and the center of gravity of the vehicle a1 + a2m2.7
Table 2. Specific parameters of CFRP plates.
Table 2. Specific parameters of CFRP plates.
ParametersValue
Tensile strength (MPa)2400
Elastic modulus (GPa)163
Thickness (m)3 × 10−3
Width (m)0.1
Length (m)26
Linear expansion coefficient3.2 × 10−5
Table 3. Design of CFRP plate strengthening conditions.
Table 3. Design of CFRP plate strengthening conditions.
CasesLevel
(%)
Tensile Stress
(Mpa)
CFRP Plate Strain (με)CFRP Plate Sizes
Width (m)Thickness
(m)
Area (m2)
P0//////
P12024014720.13 × 10−33 × 10−4
P24048029450.13 × 10−33 × 10−4
P36072044170.13 × 10−33 × 10−4
P48096058900.13 × 10−33 × 10−4
P5100120073620.13 × 10−33 × 10−4
Disclaimer/Publisher’s Note: The statements, opinions and data contained in all publications are solely those of the individual author(s) and contributor(s) and not of MDPI and/or the editor(s). MDPI and/or the editor(s) disclaim responsibility for any injury to people or property resulting from any ideas, methods, instructions or products referred to in the content.

Share and Cite

MDPI and ACS Style

Wu, B.; Fu, S.; Gong, Y.; Shao, Y.; Zhou, Z.; Wang, H. Dynamic Monitoring of CFRP Strengthened Bridges: A Distributed Sensing Approach Under Bridge–Vehicle Coupling. Buildings 2025, 15, 76. https://doi.org/10.3390/buildings15010076

AMA Style

Wu B, Fu S, Gong Y, Shao Y, Zhou Z, Wang H. Dynamic Monitoring of CFRP Strengthened Bridges: A Distributed Sensing Approach Under Bridge–Vehicle Coupling. Buildings. 2025; 15(1):76. https://doi.org/10.3390/buildings15010076

Chicago/Turabian Style

Wu, Bitao, Sicheng Fu, Yan Gong, Yanchao Shao, Zhenwei Zhou, and Haitao Wang. 2025. "Dynamic Monitoring of CFRP Strengthened Bridges: A Distributed Sensing Approach Under Bridge–Vehicle Coupling" Buildings 15, no. 1: 76. https://doi.org/10.3390/buildings15010076

APA Style

Wu, B., Fu, S., Gong, Y., Shao, Y., Zhou, Z., & Wang, H. (2025). Dynamic Monitoring of CFRP Strengthened Bridges: A Distributed Sensing Approach Under Bridge–Vehicle Coupling. Buildings, 15(1), 76. https://doi.org/10.3390/buildings15010076

Note that from the first issue of 2016, this journal uses article numbers instead of page numbers. See further details here.

Article Metrics

Back to TopTop