Next Article in Journal
Research on the Lateral Resistance of Column Frames in the Tang Dynasty: A Case Study of the Straight Tenon Joints Under Varied Vertical Load Levels
Next Article in Special Issue
Seismic Performance Assessment of Optimal Tandem-Based Tuned Mass Damper Inerters
Previous Article in Journal
Research on Mechanical Properties of Cement Emulsified Asphalt Mortar Under the Influence of Water-to-Cement Ratios and Water-Reducing Agent
Previous Article in Special Issue
The Seismic Evaluation of Existing Buildings for Energy Renovation—A Case Study for the Residential Building Stock in Bucharest (Romania)
 
 
Font Type:
Arial Georgia Verdana
Font Size:
Aa Aa Aa
Line Spacing:
Column Width:
Background:
Article

Seismic Resilience Evaluation of High-Rise Frame-Core Tube Structure Considering Structural Network Performance Loss and Repair Path

1
School of Civil and Environmental Engineering, Harbin Institute of Technology (Shenzhen), Shenzhen 518055, China
2
Guangdong Provincial Key Laboratory of Intelligent and Resilient Structures for Civil Engineering, Shenzhen 518055, China
*
Author to whom correspondence should be addressed.
Buildings 2025, 15(1), 23; https://doi.org/10.3390/buildings15010023
Submission received: 28 November 2024 / Revised: 17 December 2024 / Accepted: 24 December 2024 / Published: 25 December 2024
(This article belongs to the Special Issue Innovative Solutions for Enhancing Seismic Resilience of Buildings)

Abstract

Structural seismic resilience is influenced by both the structural performance loss (loss) and the repair path (path). Some studies ensure the reality of path but lack accuracy of loss. Others ensure the accuracy of loss but lack the reality of path. Therefore, this paper proposes a new resilience evaluation method for frame-core tube structure that considers both loss and path. Firstly, the complex network method is used to establish structural network performance and its loss index. Next, the repair path is determined by updating the network performance after component repairs. Then, a resilience index that considers both network performance loss and repair path is proposed. Finally, the resilience of the case structures is evaluated and compared with methods that do not reasonably consider loss or path. The results indicate that the proposed method can comprehensively consider the impact of loss and path on resilience. Loss has a greater impact on resilience when the structure is less than slight loss or is in the late stage of moderate loss. Path has a greater impact on resilience when the structure is slight loss or is in the early stage of moderate loss. When only considering loss, the fixed linear path underestimates the resilience of a convex-shaped path and overestimates the resilience of a concave-shaped path. When only considering path, underestimating or overestimating loss can lead to a higher or lower resilience. Particularly when the structure is in the late stage of moderate loss, resilience dropped from 89.16% to 42.04% due to overestimation of loss.

1. Introduction

The concept of disaster resilience was first proposed by Bruneau et al. in 2003 [1]. Disaster resilience requires that a city, community, or building structure minimizes losses during a disaster and recovers its normal functionality as quickly as possible after the event. In February 2011, a strong earthquake occurred in Christchurch, New Zealand. More than 70% of the buildings in the city center, though not collapsed, had to be demolished and rebuilt due to severe damage [2]. This not only greatly prolonged the time needed for the city to return to normal functionality but also resulted in staggering economic losses, estimated to reach $15 billion [3]. The heavy lessons from the Christchurch earthquake greatly shocked the global earthquake engineering community. It indicates that even if buildings were designed according to current seismic codes, the risk of the entire city needing to be demolished and rebuilt after an earthquake cannot be avoided. Therefore, earthquake-resilient cities has become a highly focused topic in the international earthquake engineering community in recent years [4,5,6,7,8].
Accurately quantifying the seismic resilience level of building structures is the foundation for constructing earthquake-resilient cities. The methods for evaluating the seismic resilience of building structures are mainly divided into single-index methods and multi-index methods. Typical of multi-index is the FEMA P-58 methodology [9,10]. FEMA P-58 determines the damage levels of structural components and non-structural components based on structural seismic responses such as inter-story drift, floor deformation, and floor acceleration. It then calculates resilience indexes such as repair costs, repair time, and casualties. Based on FEMA P-58, many building resilience evaluation systems have been developed, such as the Resilience-based Earthquake Design Initiative (REDi) Rating System [11,12], the Seismic Performance Prediction Platform (SP3) [13,14], the US Resiliency Council (USRC) Building Rating System [15,16,17,18], and the Chinese Standard for Resilience Assessment of Buildings [19,20,21]. Resilience single-index is calculated through the loss and recovery curves of building functions (resilience curves). At present, the most widely used resilience single-index was proposed by Cimellaro et al. [22,23,24,25,26], which considered the control time based on the resilience single-index put forward by Bruneau [1]. The resilience single-index for building structures is influenced by the loss function and recovery function of the functionality of building structures.
The loss function of the functionality of buildings is divided into structural losses and non-structural losses. Non-structural losses are further classified into direct economic losses, direct causalities losses, indirect economic losses, and indirect causalities losses [27,28]. In order to estimate the indirect economic loss relatively simply, the economic loss ratio parameter is introduced, which represents the ratio of the indirect economic loss to the direct economic loss [29]. Some studies [30,31] focused only on the direct economic losses caused by seismic damage to structural and non-structural components. The damage state of components is determined through the story-level response, the repair costs of structural and non-structural components are calculated, and the ratio of the building repair costs to the replacement costs is taken as the building functionality loss. Structural seismic performance is a fundamental guarantee for building functionality. The loss of structural seismic performance can be referenced from structural damage calculation methods. Kassem et al. [32,33] utilized HAZUS to assess the structural damage states (immediate occupancy, damage control, life safety, collapse prevention) and to determine the structural damage ratios through inter-story drift ratio. Lu et al. [34] assessed the damage state and damage coefficient of components based on inter-story drift, calculated the average value of component damage coefficients to determine the floor loss, and utilized the maximum floor loss as an index of structural seismic performance loss. Cheng et al. [35] derived the seismic performance loss of structures by weighting the component damage index through the component level. As structural seismic damage develops, the internal force transfer and damage weight relationship of components are constantly changing, and the fixed weighted coefficient is adopted by the component damage weighted method, which cannot reflect the changes in the structural damage state. Therefore, the component damage weighted method has a problem of insufficient accuracy in evaluating the seismic performance loss level of structures [36].
For the resilience single-index of building functionality recovery function, linear, trigonometric, and exponential recovery functions have commonly been used [37]. Different recovery function models have different characteristics. For example, linear functions are accompanied by a steady improvement in functionality, suggesting that services are available in a timely manner. Fixed recovery function models do not reflect the effect of realistic repair strategies on the repair path and the seismic resilience of the structure. Terzic et al. [38,39] calculated the structural performance recovery path based on a realistic repair strategy. The proposed realistic repair strategy was to first repair the structural components and vertical transportation routes (stairs and elevators) simultaneously and then to repair non-structural components. Two repair strategies were used to determine the repair path by Anwar et al. [40] (i.e., series repair strategy, where the building is repaired one story at a time, termed as slow-track; and parallel repair strategy, where all the stories are repaired simultaneously, termed as fast-track). Joyner et al. [24,41] adopted a strategy of repairing the first story first (i.e., structural components of the first story are repaired first before moving to the higher stories). Cheng et al. [35] proposed a component-level repair strategy to enhance the seismic resilience of structures. Although this ensures the reality of the repair path, fixed weighted coefficients make it difficult to ensure the accuracy of seismic performance loss in the structure [36].
Therefore, this paper proposes a new method for evaluating the seismic resilience of structures, which considers both the accuracy of performance loss and the reality of repair paths. Firstly, the theory of directed weighted complex network is applied to construct the structural network model and establish the structural network efficiency index suitable for the structural force transmission network. Then, the structural network performance loss index is proposed based on the degree of reduction in structural network efficiency. Next, by updating the structural network efficiency after repairing the damaged components caused by earthquakes and combining it with the repair time of the repair process, the repair path for the structural network performance is determined. Furthermore, a new index of structural seismic resilience based on the loss and recovery of structural network performance is proposed. Finally, an elasto-plastic time history analysis is conducted on a 25-story high-rise frame-core tube structure case under different seismic waves. The seismic resilience of the structure case is evaluated using the method proposed in this paper and compared with methods that only consider the loss or repair path of seismic performance to verify the accuracy of the proposed structural seismic resilience evaluation method.

2. Materials and Methods

2.1. Structural Seismic Resilience Index Considering Structural Network Performance Loss and Repair Path

The structural seismic resilience index based on structural seismic performance loss and recovery is widely used [22]. The structural seismic performance loss and recovery curve (resilience curve) is shown in Figure 1. The structural seismic resilience index R can be computed as
R = t 0 t h Q ( t ) d t t h t 0 ,
where Q(t) is the seismic performance of the structure at time t. t0 is the time of the earthquake occurrence. Let t0 = 0. th is the control time for resilience evaluation. R is the mean value of the seismic performance of the structure between t0 and th, as shown by the thick green solid line in Figure 1. When the structure damage is severe, the repair time may be close to the structural reconstruction time. In this case, if the control time is less than the structural reconstruction time (e.g., half of the structural reconstruction time), R can only describe the seismic resilience of the early stage of structure repair and cannot describe the seismic resilience of the late stage of structure repair. To compare and evaluate the resilience under different performance losses of structures, the control time th is taken as the structural reconstruction time, and the th of the high-rise frame-core tube structure can be approximately calculated as
t h = 12.16 n s + 4.35 A f + 98.98 ,
where ns is the total number of floors. Af is the building area (1000 m2).
This paper primarily focuses on further research into the seismic resilience index of structures from two aspects: the loss of seismic performance and the recovery path. To more accurately quantify the seismic performance loss of the structure, the complex network method is used. To more realistically reflect the repair strategy, the recovery path is determined based on the component-level repair path. A structural network model is constructed using a directed weighted complex network, and performance for the structural network Q(t) is established. The proposed structural seismic resilience curve based on the performance of the structural network is shown in Figure 2. The resilience index R in Equation (1) can be rewritten as
R = 1 t h ( t h t s ) Q ( t s ) + p = 1 s 0.5 ( t p t p 1 ) Q ( t p ) + Q ( t p 1 ) ,
Q ( t 0 ) = 1 D ( t 0 ) ,
where tp is the time after completing the p-th repair process. Q(tp) is the structural network performance after completing the p-th repair process. The repair path is determined by [tp, Q(tp)]. s is the total number of repair processes. Q(t0) and D(t0) are post-earthquake structural network performance and loss, respectively.
Structural repair does not necessarily ensure that the performance of the structural network can be fully restored to its pre-earthquake level. Q(ts) reflects the level of performance recovery of the structural network after repair. Q(ts) is influenced by the degree of loss [42] in structural network performance, as shown in Table 1 and Figure 3. When the structure is in the difficult repair stage, Q(ts) is proportional to Q(t0), and Q(ts) can be written as
Q ( t s ) = 4 . 733 Q ( t 0 ) 1.083 ,

2.2. Structural Network Performance Loss

The high-rise frame-core tube structure is a network formed by the connection of numerous components. Under the horizontal seismic loads, the load is transmitted to the foundation through the components, forming a directed and complex force transfer network. Different floor positions and types of structural components contribute differently to the structure’s resistance to seismic loads. Directed weighted complex networks can describe the directional and weighted characteristics of structural force transfer networks. Simultaneously, the state of a directed weighted complex network can be updated as network nodes and edges are damaged, which can be used to describe the update of the structural force transfer network caused by the redistribution of internal forces during the process of structural damage evolution [36]. Therefore, to more accurately quantify the loss of structural performance, the loss is calculated using a directed weighted complex network. The steps are as follows:
Step 1: Construct the structural network.
Step 2: Propose a performance index for the structural network.
Step 3: Propose a performance loss index for the structural network.
Structural components are used as network nodes, and the connections between components are used as network edges. The direction of the network edges is defined as the direction of force transfer between the two components in the horizontal direction. Component line stiffness (stiffness per unit length) is used as the weight of the network node. The three-dimensional structural network mode is shown in Figure 4.
The network efficiency index [43] of complex networks is the average efficiency between any pair of nodes, which is not consistent with the characteristic of transferring horizontal loads to the foundation. The closeness centrality index [44] of complex networks is the reciprocal of the sum of all path lengths. When any component is completely loss, the corresponding network edge becomes infinitely large, and the closeness centrality index is 0. Therefore, the closeness centrality index is not comparable and does not correspond to the true seismic performance of the structure. Traditional complex network performance index cannot be directly used to quantify structural seismic performance. In this paper, a comprehensive performance index of structural network E(t), defined as structural network efficiency, is proposed by combining the network efficiency and closeness centrality while introducing an independent path concept [45] to consider more thoroughly the structural force transfer networks. As an independent path can consider more paths between nodes without shared edges rather than just a single shortest path, E(t) can reflect the performance state of secondary structural force transmission paths. The structural network efficiency E(t) can be expressed as
E ( t ) = i V E i ( t ) ,
E i ( t ) = 1 n i k = 1 n i E i , k ( t ) ,
where E(t) represents the structural network efficiency at time t, and Ei(t) represents the efficiency of node i to the foundation. V is the set of nodes. ni is the total number of independent paths from node i to the foundation. Ei,k(t) is the efficiency of the k-th independent path of node i. Ei,k(t) can be written as
E i , k ( t ) = 1 L i , k ( t ) ,
L i , k ( t ) = l P i , k L i , k , l ( t ) ,
L i , k , l ( t ) = 1 ω l , i ( t ) ,
where Li,k(t) is the length of the k-th independent path Pi,k of node i. Li,k,l(t) is the length of the edge l. ωl,i(t) is the weight of the starting node i of the edge l, which is mainly related to the component line stiffness. The length L3,2(t) of the 2nd independent path P3,2 of node 3 is the sum of the lengths L1(t), L2(t), and L3(t), as shown in Figure 5.
The structural network efficiency E(t) essentially represents the efficiency of the structural force transmission path. Physically, it reflects the distribution of the lateral stiffness of the structure, making it an effective indicator of the structural mechanical properties. Through the degree of structural network efficiency degradation E(t), the structural network performance loss index D(t) is calculated, as shown in Figure 6. D(t) can be expressed as
D ( t ) = α u E ( t n ) E ( t ) E ( t n ) E ( t u ) ,
where D(t) is the structural network performance loss index at time t. E(tn) is the structural network efficiency before the earthquake. E(tu) is the structural network efficiency when it enters a collapse state (complete loss). αu is the structural network performance loss index when the structure enters collapse, which is set as 0.9.
When the component is damaged, it will reduce the weight of the network node. The weight ωl,i(t) of the damaged node can be written as
ω l , i ( t ) = 1 d i ( t ) ω i ,
where di(t) is the component (corresponding to node i) damage index. ωi is the node weight before the earthquake, as described in Equation (13).
ω i = ρ i β i ,
ρ i = ρ i * ρ min ,
β i = B i B β s 1 + 1 ,
where ρi is the dimensionless line stiffness of the component. βi is the weight coefficient of the plane position of the component. ρ*i is the component line stiffness. ρmin is the minimum component line stiffness. B is half the length of the structure in the direction of the horizontal seismic load. Bi is the distance between the component and the centroid of the structural plane. βs is used to adjust the weight coefficient of the plane position of components, which is set to 2.
After the earthquake (t = t0), the structural network efficiency decreases from E(tn) to E(t0), and the structural network performance loss index is D(t0). Considering that the component line stiffness is mainly related to the component bending stiffness, the component damage index di(t0) caused by an earthquake is determined by the degree of degradation of the component bending stiffness. The ideal model of the bending moment and rotation of the component is shown in Figure 7. The component damage index di(t0) can be expressed as
d i ( t 0 ) = 1 K i ( t 0 ) K i , 0 ,
where Ki,0 is the initial elastic stiffness of the component. Ki(t0) is the secant stiffness of the component after the earthquake.
The summary of rotation [θ] at different performance points of the component is shown in Table 2 [19]. The yield moment coefficients δ of shear walls, frame columns, frame beams, and coupling beams are taken as 0.80, 0.80, 0.87, and 0.76, respectively. Consequently, the damage indexes dw,i(t0), dc,i(t0), db,i(t0), and dx,i(t0) for shear walls, frame columns, frame beams, and coupling beams can be derived as shown in Equations (17)–(20).
d w , i ( t 0 ) = 1 90.909 θ ( t 0 ) + 1.773 800 θ ( t 0 ) 1 3.3 100 θ ( t 0 ) 800 θ ( t 0 ) , 0.0025 < θ ( t 0 ) < 0.008 , 0.08 θ ( t 0 ) ,
d c , i ( t 0 ) = 1 133.333 θ ( t 0 ) + 2.667 800 θ ( t 0 ) 1 4.667 66.667 θ ( t 0 ) 800 θ ( t 0 ) , 0.004 < θ ( t 0 ) < 0.010 , 0.010 θ ( t 0 ) ,
d b , i ( t 0 ) = 1 39 θ ( t 0 ) + 2.493 870 θ ( t 0 ) 1 3.488 37.5 θ ( t 0 ) 870 θ ( t 0 ) , 0.003 < θ ( t 0 ) < 0.013 , 0.013 θ ( t 0 ) ,
d x , i ( t 0 ) = 1 150 θ ( t 0 ) + 3.05 760 θ ( t 0 ) 1 6.083 83.333 θ ( t 0 ) 760 θ ( t 0 ) , 0.005 < θ ( t 0 ) < 0.013 , 0.013 θ ( t 0 ) ,
where θ(t0) is the peak rotation of the component during an earthquake, which can be easily obtained in structural analysis. Table 2 also presents the damage index [d] of the components at the performance points.

2.3. Structural Network Performance Repair Path

As can be seen in Figure 2, the repair path can be determined by calculating the structural network performance Q(tp) and time tp, respectively. At the same time, the repair path is affected by the difficulty of structural repair, as shown in Figure 3 and Table 1. The difficulty of structural repair is determined by the loss of structural network performance D(t0) after the earthquake.
When 0 ≤ D(t0) < 0.56, the structure is easy to repair or repairable, and the structural network performance can be restored to 100% of the pre-earthquake level. The structural network performance Q(tp) can be expressed as
Q ( t p ) = 1 D ( t p ) ,
where D(tp) represents the structural network performance loss after completing the p-th repair process.
When 0.71 ≤ D(t0) ≤ 1.00, the structure is irreparable, and the structural network performance remains in its post-earthquake state. The structural network performance Q(tp) can be expressed as
Q ( t p ) = 1 D ( t 0 ) ,
When 0.56 ≤ D(t0) < 0.71, the structure is difficult to repair, and it can only partially recover its network performance. The recoverable level of structural network performance decreases from 1 to Q(ts), as shown in Figure 8. Therefore, the repair path should be adjusted through Q(ts). The structural network performance Q(tp) for the partial recovery path is obtained by adjusting the structural network performance Q*(tp) (determined by Equation (21)) for the full recovery path. The adjustment expression can be written as
Q ( t p ) Q ( t 0 ) Q * ( t p ) Q ( t 0 ) = Q ( t s ) Q ( t 0 ) 1 Q ( t 0 ) ,
Substituting Equation (5) into Equation (23), the structural network performance Q(tp) can be expressed as
Q ( t p ) = D ( t p ) D ( t 0 ) 2.65 3.733 D ( t 0 ) D ( t 0 ) D ( t 0 ) + 1 ,
In summary, the structural network performance Q(tp) can be expressed as
Q ( t p ) = 1 D ( t p ) , 0.00 D ( t 0 ) < 0.56 D ( t p ) D ( t 0 ) 2.65 3.733 D ( t 0 ) D ( t 0 ) D ( t 0 ) + 1 , 0.56 D ( t 0 ) < 0.71 , 1 D ( t 0 ) , 0.71 D ( t 0 ) 1.00
It can be seen that the structural performance loss D(tp) after repairing the p-th repair process is crucial for determining the repair path. The repair strategy determines the order in which components are repaired. Once the p-th repair process is completed, the damage di(tp) to the component can be updated as follows:
d i ( t p ) = d i ( t 0 ) , 0 , t p < t a , i t p t a , i ,
where ta,i is the time when component i repair is completed, which is determined by the repair strategy. tp is the time when the p-th repair process is completed. di(t0) is the component damage caused by the earthquake, as determined by Equations (17)–(20).
Substituting Equation (26) into Equation (12), the structural network performance loss D(tp) can be determined.
The time tp equation can be expressed as
t p = p = 1 p T p ,
T p = ν p g = 1 m g t g η g κ g n g N j ,
where Tp represents the time required to complete the p-th repair process. tg represents the repair time of a single component of the g-th type. ηg is the influence coefficient of the volume and weight of the component. mg represents the number of types of components that need to be repaired.
The influence coefficient of floor height νp can be calculated as follows:
ν p = 1 1 + 0.00687 j p , , j p 3 j p > 3 ,
where jp is the number of floors where the repair process p is located.
The influence coefficient of the number of repairs for the g-th type of component κg can be calculated as
κ g = 1 1.046 0.00774 N g 0.667 , , , N g 5 6 N g 49 50 N g ,
where Ng represents the number of repairs for the g-th type of component in the entire structure.
The number of workers arranged, Nj, can be calculated as follows:
N j = 0.026 A j a ,
where Aj represents the floor area (m2). a denotes the weight coefficient of repair time, which is set to 0.42. The smaller a, the fewer workers are assigned, the longer the structural repair time, and the greater the impact of repair time on resilience compared to structural performance loss and repair paths.
tg includes the repair time tw,i, tc,i, tb,i, and tx,i for shear walls, frame columns, frame beams, and coupling beams, respectively. The relationship between single component repair time tg and component damage di(t0) can be approximately expressed as [19]
t w , i = 0 0.0133 e 10 d w , i ( t 0 ) + 3.583 30.0 , , , d w , i ( t 0 ) = 0 0 < d w , i ( t 0 ) < 0.76 0.76 d w , i ( t 0 ) 1 ,
t c , i = 0 0.0489 e 8.073 d c , i ( t 0 ) + 3.259 27.8 , , , d c , i ( t 0 ) = 0 0 < d c , i ( t 0 ) < 0.77 0.77 d c , i ( t 0 ) 1 ,
t b , i = 0 0.000251 e 13.0463 d b , i ( t 0 ) + 3.709 25.0 , , , d b , i ( t 0 ) = 0 0 < d b , i ( t 0 ) < 0.87 0.87 d b , i ( t 0 ) 1 ,
t x , i = 0 0.195 e 6.61 d x , i ( t 0 ) + 2.909 21.5 , , , d x , i ( t 0 ) = 0 0 < d x , i ( t 0 ) < 0.69 0.69 d x , i ( t 0 ) 1 ,
where dw,i(t0), dc,i(t0), db,i(t0), and dx,i(t0) represent the damage index for shear walls, frame columns, frame beams, and coupling beams, respectively, determined by Equations (17)–(20).

3. Results and Discussion

3.1. Construction of Different Structural Damage Modes

A typical 25-story high-rise frame-core tube structure is designed. The structural plan and three-dimensional model are shown in Figure 9a,b. The structural network is shown in Figure 9c. The floor height is 4 m. The slab thickness is 120 mm. The cross-section dimensions of the components on different floors are shown in Table 3. The reinforcement of frame columns, shear walls, external frame beams, coupling beams, and inner frame beams are shown in Table 4, Table 5, Table 6, Table 7 and Table 8. The concrete strength grade of the shear walls and frame columns is C40 (nominal cubic compressive strength fcu = 40 MPa). The concrete strength grade for the frame beams and coupling beams is C30 (fcu = 30 MPa). The strength grade of steel reinforcement is HRB400 (nominal yield strength fy = 400 MPa).
Perform-3D is used to perform elasto-plastic time history analysis in the X direction of the structure. The Perform-3D model of the structure is shown in Figure 9d. This study uses typical earthquake records as seismic inputs for structural elasto-plastic time history analysis. Three real ground motion records (waves El, Ko, and No) are selected from the Pacific Earthquake Research (PEER) database (Table 9). The acceleration time history curves of seismic waves El, Ko, and No are shown in Figure 10. The different peak ground accelerations (PGA = 0.50 g, 0.66 g, 0.83 g, 1.00 g) of the selected ground motion are applied to the structure. Under different seismic waves, the damage development modes of structures are different. Therefore, the structural damage modes corresponding to the seismic waves El, Ko, and No are respectively referred to as mode 1, mode 2, and mode 3.

3.2. Structural Network Performance Loss Analysis

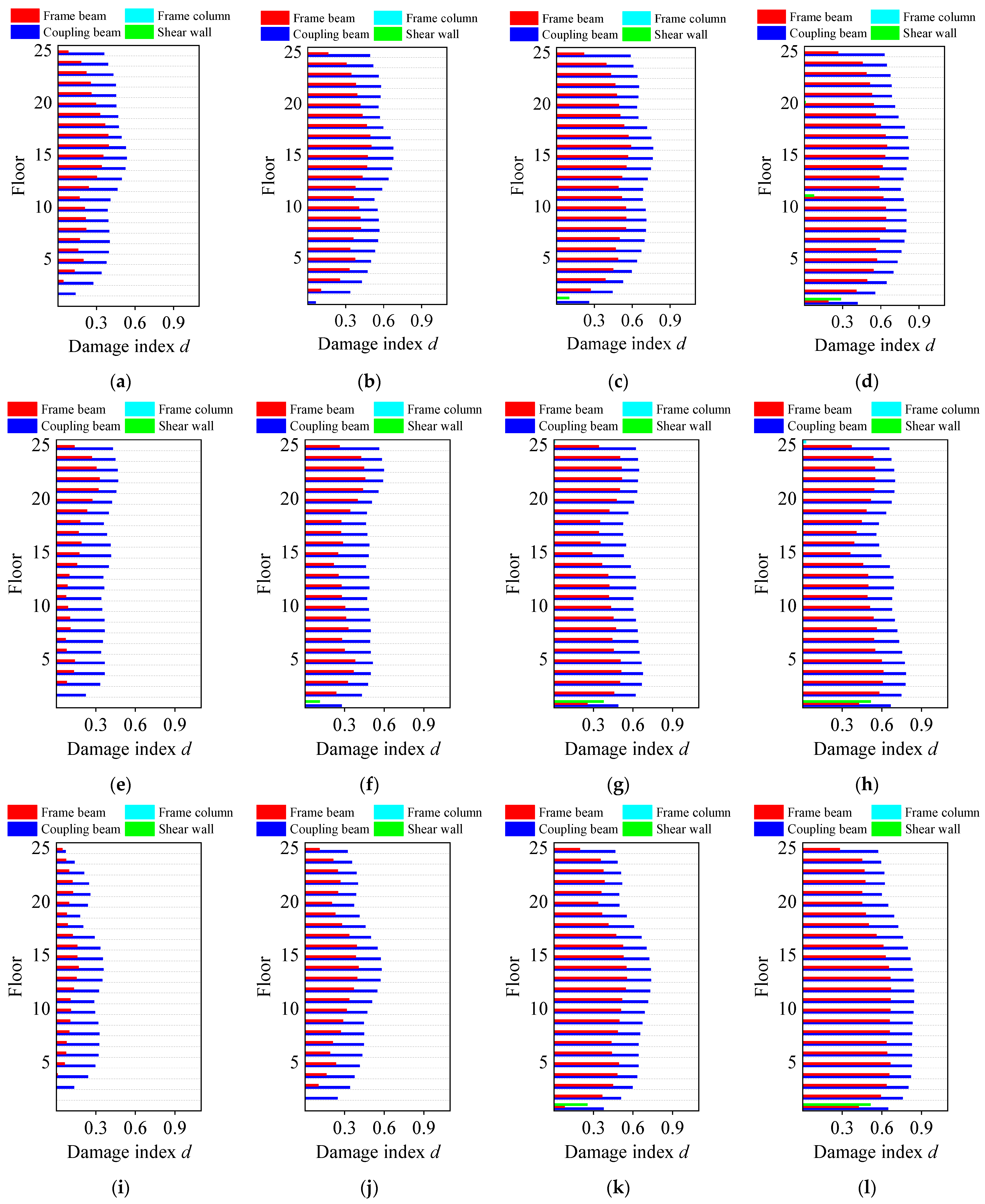
The distribution of component damage along the floor under different damage modes is shown in Figure 11. It can be seen that structural damage development in different structural damage modes has significantly different characteristics. In mode 1, the damage to energy-dissipating components (coupling beams and frame beams) in the middle floors is relatively severe. When PGA = 0.83 g, damage begins to appear in the shear walls of the first floor. When PGA = 1.00 g, the shear wall damage index of the first floor is 0.29, which is smaller than the other modes. In mode 2, initially, the damage to frame beams in the upper floors is relatively severe, and the damage to coupling beams in each floor is relatively uniform. Subsequently, the damage to energy-dissipating components in both the upper and lower floors is relatively severe. When PGA = 0.66 g, damage begins to appear in the shear walls of the first floor. When PGA = 1.00 g, the shear wall damage index of the first floor is 0.52. In mode 3, initially, the damage to energy-dissipating components in the middle floors is relatively severe. Then, the damage to energy-dissipating components in the lower floors is relatively severe. When PGA = 0.83 g, damage begins to appear in the shear walls of the first floor. When PGA = 1.00 g, the shear wall damage index of the first floor is 0.51.
This paper adopts a directed weighted complex network method to calculate structural performance loss (complex network method). The structural performance loss calculation method of reference [35] is selected for comparison. Reference [35] uses a component damage weighted method to calculate structural performance loss (damage weighted method). The structural performance loss of the complex network method and the damage weighted method are shown in Figure 12. The evolution process of structural performance loss between two methods, mode 1 and mode 3, is generally consistent, but mode 2 exhibits certain differences. When PGA = 0.66 g, for the complex network method, the structural performance loss of mode 2 is 0.06 greater than that of mode 1. However, for the damage weighted method, the structural performance loss of mode 2 is 0.01 less than that of mode 1. Under this PGA, the shear wall of mode 2 is damaged, while the shear wall of mode 1 is not damaged, so the loss of structural performance of mode 2 should be more than that of mode 1, indicating that the complex network method proposed in this paper is more accurate. The damage weighted method underestimates the structural performance loss of mode 2. When PGA = 1.00 g, for the complex network method, the structural performance loss of mode 2 is 0.08 less than that of mode 3. However, for the damage weighted method, the structural performance loss of mode 2 is 0.01 greater than that of mode 3. Under this PGA, the average damage index of the coupling beam and frame beam for mode 3 is 0.75 and 0.57, respectively. The average damage index of the coupling beam and frame beam for mode 2 is 0.68 and 0.50, respectively. The average damage index of the coupling beam and frame beam for mode 3 is 10.29% and 14.00% larger than those for mode 2, respectively. Severe damage to components can lead to earlier collapse of the structure. Mode 2 reaches collapse at PGA = 1.6 g, while mode 3 reaches collapse at PGA = 1.2 g, collapsing earlier than mode 2. Therefore, the structural performance loss of mode 2 should be less than that of mode 3, indicating that the complex network method proposed in this paper is more accurate. As PGA increases, the loss of structural performance also increases. Under different PGA levels, the complex network method can accurately quantify the structural performance loss, indicating its applicability to the entire process of structural performance loss. Although the number of PGAs in this study is limited, our previous research [36], which involved a large number of PGAs, demonstrated that the complex network method provides higher accuracy in evaluating structural performance loss.

3.3. Comparison of Resilience with Fixed Repair Path

To analyze the impact of the repair path on structural seismic resilience, it can be deduced from the resilience index R (see Equation (3)) that (t0, Q(t0)) and (ts, Q(ts)) should be kept the same. To achieve this, the distribution of structural damage degree should first be controlled to be the same (i.e., the structure, seismic wave, and PGA should all be identical), ensuring that Q(t0) and Q(ts) are equal. Furthermore, the same number of workers should be assigned for the repair, ensuring that t0 and ts are equal. The differences in resilience between fixed repair paths and three variable repair paths are compared. The shape of the fixed repair path does not change with the realistic repair strategy. This paper uses a linear type as the fixed repair path. The repair paths are complex, and the shape of variable repair paths changes with the repair strategy. In order to make the calculation process of repair paths operative, two adjacent floors are taken as a repair process. Three typical repair strategies (corresponding to three repair paths) are designed.
Path 1: Bottom-up repair.
Path 2: Up-bottom repair.
Path 3: Repair according to the degree of damage from severe to light.
When PGA = 1.00 g, taking Path 3 of mode 2 as an example, the floor damage index is determined based on the damage weighted method. The repair sequence of floors can be determined based on the extent of damage to each floor (Table 10). As the repair process progresses, the state of structural network edge damage (the damage state of the component corresponding to the starting node of the edge) is continuously updated, as shown in Figure 13. According to Equation (6), as component damage is repaired, the edge damage decreases, the edge length shortens, the path length also shortens, the path efficiency increases, and the structural network performance gradually recovers, as shown by the blue dashed line in Figure 14h.
The linear path and the three variable paths (Path 1, Path 2, and Path 3) are shown in Figure 14. It can be seen that Path 1, Path 2, and Path 3 are significantly different from the linear path, which confirms the necessity of focusing on a realistic repair strategy. As the structural performance loss increases, the variable path deviates more from the linear path. When the structural loss is less than slight, the damage primarily occurs in the energy-dissipating components. The restoration of the structural network performance due to the repair of energy-dissipating components at different floors does not show significant differences. Therefore, the repair path does not deviate significantly from the linear path, as seen in mode 1 with D = 0.07 and D = 0.12 (Figure 14a,b). Shear wall damage begins to occur when the structure is slight loss. The repair of the shear wall has a significant impact on the restoration of the structural network performance. As a result, the repair path deviates from the linear path, which becomes evident as D = 0.23 and D = 0.40 for mode 1 (Figure 14c,d). The rapid recovery of structural performance is due to the repair of shear walls. Due to the significant impact of the structural bottom components on the network performance, Path 1, which prioritizes the repair of the bottom components, exhibits a superior convex shape. In contrast, Path 2 displays a poor concave shape. Path 3 is more complex and has a convex shape (Figure 14g), concave shape (Figure 14c), and S shape (Figure 14d). This is because the weighted method underestimates the importance of repairing shear walls for the recovery of structural network performance.
The seismic resilience of the structure under fixed and variable paths is shown in Figure 15. It can be seen that the structural seismic resilience of Path 1, Path 2, and Path 3 is significantly different from that of the linear path. The linear path underestimates the resilience of Path 1 while overestimating the resilience of Path 2. For example, when D = 0.56 in mode 2 (Figure 15h), the resilience of Path 1 is 3.70 greater than that of the linear path. The resilience of Path 2 is 3.86 less than that of the linear path. The linear path may either overestimate or underestimate the resilience of Path 3. When Path 3 is convex, the linear path underestimates its resilience. When Path 3 is concave, the linear path overestimates its resilience. When Path 3 is S-shaped, there is no significant difference between the linear path and the resilience of Path 3. For example, when D = 0.42 for mode 2 (Figure 14g and Figure 15g), Path 3 is a convex shape, and the resilience of Path 3 is 2.44 greater than that of the linear path. When D = 0.23 for mode 1 (Figure 14c and Figure 15c), Path 3 is a concave shape, and the resilience of Path 3 is 0.69 less than that of the linear path. When D = 0.40 for mode 1 (Figure 14d and Figure 15d), Path 3 is S-shaped, and the resilience of Path 3 is 0.16 less than that of the linear path. Linear repair paths may underestimate or overestimate resilience. However, in real life, most of the repair paths are complex and nonlinear. Only focusing on linear paths might oversimplify the process of repair and lead to inaccuracies in the resilience assessment. The proposed method determines the repair paths based on real-life repair strategies, improving the accuracy of resilience assessment. It is worth noting that the results concerning the influence of the various repair paths on seismic resilience are derived from high-rise frame-core tube structures.
The influence of repair paths on resilience may vary for different structural types. For example, compared to the frame-core tube structure, the repair of horizontal components may lead to a more significant improvement in the performance of frame structures, which deserves further investigation.
Based on the linear path, the variation of structural seismic resilience with structural performance loss is shown in Figure 16a. It can be seen that when changes in repair paths are not considered, the loss of structural performance has a significant impact on the seismic resilience of the structure. Moreover, as the loss of structural performance increases, the reduction in seismic resilience becomes more pronounced. Especially when the structure enters a stage that is difficult to repair (Figure 14l and Figure 15l), the structural performance cannot be fully restored to its pre-earthquake level, exacerbating the decrease in seismic resilience. When the structure is difficult to repair, resilience is highly sensitive to performance loss. A slight deviation in performance loss may lead to significant changes in resilience. This precisely highlights the importance of the accuracy of structural performance loss in resilience assessment. The proposed structural performance loss exhibits high accuracy throughout the entire process of structural damage [36], thereby enhancing the accuracy of the resilience evaluation. It is found that the proposed method lacks robustness when the structure is difficult to repair, which deserves further improvement.
Determine the maximum change in resilience ∆RP of different repair paths for a specific D, as shown in Figure 16b. For example, in Figure 15d, ∆RP = 98.33% − 93.29% = 5.04%. The impact of repair paths on resilience initially increases and then decreases with the increase in structural performance loss. When the structure is moderate loss, the change in resilience for different paths is most significant, and the maximum difference in resilience is 7.56% (Figure 15h). Similarly, the changes in resilience ∆RL due to structural performance losses are determined, as shown in Figure 16c. For example, in Figure 15h (linear path), ∆RL = 100% − 93.02% = 6.98%. The relative impact of structural performance loss and repair path on the seismic resilience of the structure is evident. The importance of the repair path relative to the structural performance loss is quantified by path importance coefficient RP = ∆RP/∆RL, as shown in Figure 16d. When the path importance coefficient RP exceeds 50%, it is considered that the repair path is more important than structural performance loss. When 0.10 < D < 0.65, the path importance coefficient RP > 50%. When D ≤ 0.10 or D ≥ 0.65, the path importance coefficient RP ≤ 50%. When the structure is less than slight loss, the structural seismic resilience is mainly affected by the structural performance loss. In this case, energy-dissipating components are repaired. The differences in the recovery of structural network performance due to the repair of energy-dissipating components at different floors are not significant. In the case of slight loss or the early stage of moderate loss, the structural seismic resilience is mainly affected by the repair path. The impact of the repair path on the structural seismic resilience decreases rapidly as the structure enters the difficult repair stage. In this case, the key vertical components (shear walls at the bottom of the structure) are repaired. The repair of key vertical components can rapidly restore the performance of the structural network. Therefore, changing the repair sequence of the key vertical components can significantly affect the area enclosed by the repair path. In the late stage of difficult repair, the structural seismic resilience is mainly affected by the structural performance loss. In this case, the larger the loss of structural performance, the lower the recoverable level of structural performance, and the difference in the area enclosed by the different paths significantly decreases.
This paper preliminarily analyzes the impact of changes in structural performance loss and repair paths on resilience under different damage degrees, as well as their relative relationship. The uncertainty associated with the quantification of structural performance loss and repair paths, as well as its impact on resilience assessment results, requires further comprehensive and systematic analysis.

3.4. Comparison of Resilience with Inaccurate Performance Loss

The structural seismic resilience of two methods is compared:
Method 1 (loss and path method): both structural performance loss and repair path are considered.
Method 2 (only path method): a realistic repair path is considered, but structural performance loss is not accurately considered.
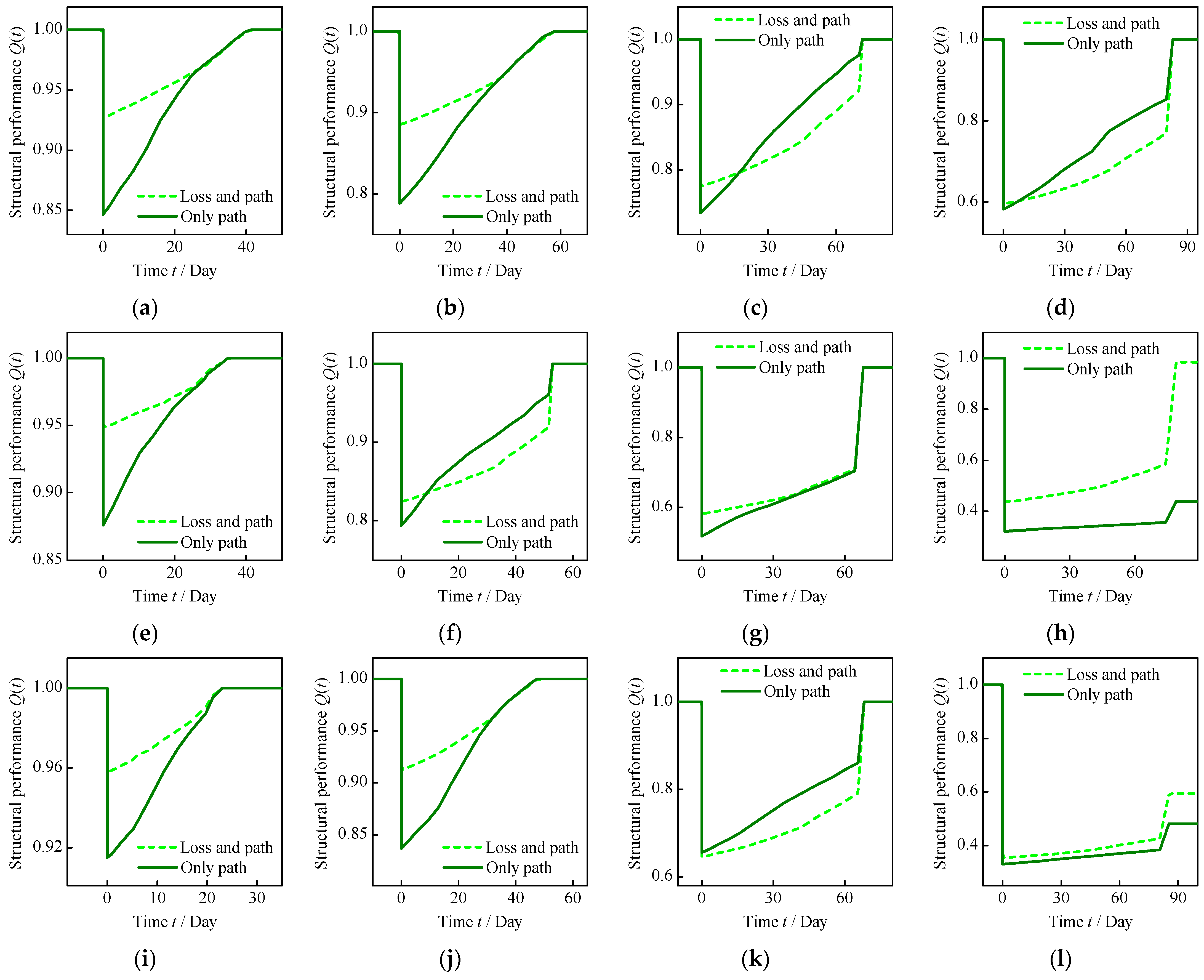
Method 1 uses the resilience evaluation method proposed in this paper. Method 2 uses the resilience evaluation method proposed in Reference [35], where the calculation results of structural performance loss are shown in Figure 12b. The repair strategy uses Path 2. The resilience curves for the two methods are shown in Figure 17. When the structural performance loss is small, the path shape of the only path method is nearly linear, similar to the loss and path method, as shown in Figure 17b. When there is significant loss of structural performance, the path shape of the only path method exhibits a sudden increase after the damage to the shear wall is repaired. This phenomenon is also similar to the loss and path method, as shown in Figure 17g. It can be seen that the path shape of the only path method is similar to that of the loss and path method, which can reflect the realistic repair strategy.
The comparison of the seismic resilience of structures is shown in Figure 18. In Figure 18a, when PGA = 1.00 g, the structural performance loss of mode 1 is less than that of mode 3. Mode 1 is in the repairable stage, and the decrease in resilience is not significant. In contrast, mode 3 is in the difficult to repair stage, where the structural performance recovery is limited, and the decrease in resilience is significant. The variation of structural seismic resilience between two methods, mode 1 and mode 2, is generally consistent, but mode 2 exhibits certain differences. When PGA = 0.66 g, the loss and path method indicates that the resilience of mode 2 is 0.80% less than that of mode 1, while the only path method suggests that the resilience of mode 2 is essentially equal to that of mode 1. The only path method overestimates the resilience of mode 2. This is due to the fact that the only path method underestimates the structural performance loss of mode 2, as shown in Figure 17b,f. When PGA = 1.00 g, the loss and path method shows that the resilience of mode 2 is 33.99% higher than that of mode 3, while the only path method indicates that the resilience of mode 2 is 3.51 lower than that of mode 3, thus underestimating the resilience of mode 2. This is because the only path method overestimates the structural performance loss of mode 2, mistaking reparable states for difficult repair states, as shown in Figure 17h,l. It is evident that even when the realistic repair paths are considered, the inaccurate quantification of structural performance loss can also impact the accuracy of the seismic resilience evaluation. This validates the crucial role of accurately considering structural seismic performance loss in evaluating structural seismic resilience. The proposed method improves the accuracy of quantifying structural performance loss by using structural network performance. At the same time, it considers the impact of component repair sequence on the structural network performance recovery path, further enhancing the accuracy of resilience quantification.

4. Conclusions

In this study, a new method for evaluating the seismic resilience of high-rise frame-core tube structures that considers structural network performance loss and repair path is proposed using a complex network. The research findings are as follows:
(1)
Compared to the traditional damage weighted method, the proposed method can more accurately quantify the degree of structural performance loss D(t0). The evolution process of D(t0) between two methods (proposed method and damage weighted method), mode 1 and mode 3, is generally consistent, but mode 2 exhibits certain differences. When PGA = 0.66 g, for the proposed method, the D(t0) of mode 2 is 0.06 greater than that of mode 1. However, for the damage weighted method, the D(t0) of mode 2 is 0.01 less than that of mode 1, which underestimates the D(t0) of mode 2. When PGA = 1.00 g, for the proposed method, the D(t0) of mode 2 is 0.08 less than that of mode 3. However, for the damage weighted method, the D(t0) of mode 2 is 0.01 greater than that of mode 3, which overestimates the D(t0) of mode 2.
(2)
The changes in repair path have a significant impact on structural seismic resilience. As the structural performance loss increases, the variable path deviates more from the linear path. The linear path underestimates the resilience of Path 1 while overestimating the resilience of Path 2. The linear path may either overestimate or underestimate the resilience of Path 3. When Path 3 is convex, the linear path underestimates its resilience. When Path 3 is concave, the linear path overestimates its resilience. When Path 3 is S-shaped, there is no significant difference between the linear path and the resilience of Path 3.
(3)
When changes in repair paths are not considered, the loss of structural performance has a significant impact on the seismic resilience of the structure. Moreover, as the loss of structural performance increases, the reduction in seismic resilience becomes more pronounced, especially when the structure enters a stage that is difficult to repair. The impact of repair paths on resilience initially increases and then decreases with the increase in structural performance loss. When the structure is moderate loss, the change of resilience for different paths is most significant, and the maximum difference in resilience is 7.56%.
(4)
When 0.10 < D(t0) < 0.65, the path importance coefficient RP > 50%. When D(t0) ≤ 0.10 or D(t0) ≥ 0.65, the path importance coefficient RP ≤ 50%. When the structure is less than slight loss or in the late stage of difficult repair, the structural seismic resilience is mainly affected by the structural performance loss. In the case of slight loss or early stage of moderate loss, the structural seismic resilience is mainly affected by the repair path. The impact of the repair path on the structural seismic resilience decreases rapidly as the structure enters the difficult repair stage.
(5)
It is crucial to accurately consider the D(t0) in evaluating structural seismic resilience. The variation of resilience between two methods (proposed method and only path method), mode 1 and mode 2, is generally consistent, but mode 2 exhibits certain differences. When PGA = 0.66 g, the proposed method indicates that the resilience of mode 2 is 0.80% less than that of mode 1, while the only path method suggests that the resilience of mode 2 is essentially equal to that of mode 1, which overestimates the resilience of mode 2. When PGA = 1.00 g, the proposed method shows that the resilience of mode 2 is 33.99% higher than that of mode 3, while the only path method indicates that the resilience of mode 2 is 3.51 lower than that of mode 3, thus underestimating the resilience of mode 2. Even when the realistic repair paths are considered, the inaccurate quantification of structural performance loss can also impact the accuracy of the seismic resilience evaluation.
The limits of this study and the proposed approach are as follows:
(1)
Whereas the study compares the proposed method with the fixed (linear) repair path and the only path method, the comparison with other resilience evaluation techniques may not be comprehensive, such as resilience evaluation techniques based on inter-story drift or structural stiffness. A wider comparative analysis would have shed more light on the strengths and weaknesses of various approaches to the evaluation.
(2)
The proposed structural network performance loss and repair path needs to be further embedded into the integrated framework for resilience assessment to enhance the effectiveness of the methodology.
(3)
This study has preliminarily validated the advantages of the proposed method, but complete validation and sensitivity analysis are needed to ensure its reliability.

Author Contributions

Conceptualization, Z.L. and J.T.; funding acquisition, Z.L. and J.T.; methodology, J.L. and Z.L.; supervision, J.T.; writing—original draft preparation, J.L. and J.T.; writing—review and editing, J.L. and Z.L. All authors have read and agreed to the published version of the manuscript.

Funding

This work was supported by the National Key Research and Development Program of China (grant numbers 2022YFC3801201, 2023YFC3806601); the Natural Science Foundation of Guangdong Province (grant number 2022A1515010403); the National Natural Science Foundations of China (grant number 51921006); and the Shenzhen Collaborative Innovation Project (grant number CJGJZD20220517142401002). This research was also supported by the Guangdong Provincial Key Laboratory of Intelligent and Resilient Structures for Civil Engineering.

Data Availability Statement

The data presented in this study are available on request from the corresponding author.

Conflicts of Interest

The authors declare no conflicts of interest.

References

  1. Bruneau, M.; Chang, S.E.; Eguchi, R.T.; Lee, G.C.; O’Rourke, T.D.; Reinhorn, A.M.; Shinozuka, M.; Tierney, K.; Wallace, W.A.; Von Winterfeldt, D. A framework to quantitatively assess and enhance the seismic resilience of communities. Earthq. Spectra 2003, 19, 733–752. [Google Scholar] [CrossRef]
  2. Hayward, B.M. Rethinking resilience: Reflections on the earthquakes in Christchurch, New Zealand, 2010 and 2011. Ecol. Soc. 2013, 18, 37. [Google Scholar] [CrossRef]
  3. Guha-Sapir, D.; Vos, F.; Below, R.; Ponserre, S. Annual disaster statistical review 2010. Cent. Res. Epidemiol. Disasters 2011, 1–80. Available online: http://www.cred.be/sites/default/files/ADSR_2010.pdf (accessed on 15 June 2014).
  4. Wang, J.; Zhao, H. High Performance Damage-Resistant Seismic Resistant Structural Systems for Sustainable and Resilient City: A Review. Shock Vib. 2018, 18, 8703697. [Google Scholar] [CrossRef]
  5. Castillo, J.G.S.; Bruneau, M.; Elhami-Khorasani, N. Seismic resilience of building inventory towards resilient cities. Resilient Cities Struct. 2022, 1, 1–12. [Google Scholar] [CrossRef]
  6. Yi, S.R.; Kim, T. System-reliability-based disaster resilience analysis for structures considering aleatory uncertainties in external loads. Earthq. Eng. Struct. Dyn. 2023, 52, 4939–4963. [Google Scholar] [CrossRef]
  7. Biondini, F.; Camnasio, E.; Titi, A. Seismic resilience of concrete structures under corrosion. Earthq. Eng. Struct. Dyn. 2015, 44, 2445–2466. [Google Scholar] [CrossRef]
  8. Cimellaro, G.P.; Solari, D.; Bruneau, M. Physical infrastructure interdependency and regional resilience index after the 2011 Tohoku Earthquake in Japan. Earthq. Eng. Struct. Dyn. 2014, 43, 1763–1784. [Google Scholar] [CrossRef]
  9. Cremen, G.; Baker, J.W. A methodology for evaluating component-level loss predictions of the FEMA P-58 seismic performance assessment procedure. Earthq. Spectra 2019, 35, 193–210. [Google Scholar] [CrossRef]
  10. Ghasemof, A.; Mirtaheri, M.; Mohammadi, R.K. Multi-objective optimization for probabilistic performance-based design of buildings using FEMA P-58 methodology. Eng. Struct. 2022, 254, 113856. [Google Scholar] [CrossRef]
  11. Lu, X.; Chen, A. Measuring seismic resilience of building portfolios based on innovative damage ratio assessment model. Struct. Des. Tall Spec. Build. 2022, 31, e1899. [Google Scholar] [CrossRef]
  12. Omoya, M.; Burton, H.; Baroud, H. Bayesian parameter estimation of duration-based variables used in post-earthquake building recovery modeling. Earthq. Spectra 2022, 38, 2088–2108. [Google Scholar] [CrossRef]
  13. Galasso, C.; Zuccolo, E.; Aljawhari, K.; Cremen, G.; Melis, N.S. Assessing the potential implementation of earthquake early warning for schools in the Patras region, Greece. Int. J. Disaster Risk Reduct. 2023, 90, 103610. [Google Scholar] [CrossRef]
  14. Kahandawa, R.; Domingo, N.; Chawynski, G.; Uma, S.R. Factors impacting post-earthquake damage repair cost estimations. Int. J. Disaster Resil. Built Environ. 2021, 12, 29–49. [Google Scholar] [CrossRef]
  15. Xiao, Y.; Zhou, Y.; Wu, H.; Pan, P.; Wang, T. Comparative study on GB/T 38591-2020 Standard for seismic resilience assessment of buildings and relevant international standards. J. Build. Struct. 2021, 42, 194–202. [Google Scholar]
  16. Dedeoğlu, A.; ZÜLFİKAR, A.C. Earthquake performance based design and resilience based analysis in high-rise buildings. Disaster Sci. Eng. 2020, 6, 12–34. [Google Scholar]
  17. Lu, X.; Liao, W.; Fang, D.; Lin, K.; Tian, Y.; Zhang, C.; Zheng, Z.; Zhao, P. Quantification of disaster resilience in civil engineering: A review. J. Saf. Sci. Resil. 2020, 1, 19–30. [Google Scholar] [CrossRef]
  18. Johansen, C.; Horney, J.; Tien, I. Metrics for evaluating and improving community resilience. J. Infrastruct. Syst. 2017, 23, 04016032. [Google Scholar] [CrossRef]
  19. Tian, Y.; Lu, X.; Lu, X.; Li, M.K.; Guan, H. Quantifying the seismic resilience of two tall buildings designed using Chinese and US codes. Earthq. Struct. 2016, 11, 925–942. [Google Scholar] [CrossRef]
  20. Shang, Q.; Zuo, H.; Wen, L.; Li, Z.; Sun, G.; Pan, P.; Wang, T. Seismic resilience of internet data center building with different disaster mitigation techniques. Resilient Cities Struct. 2022, 1, 42–56. [Google Scholar] [CrossRef]
  21. Yang, C.; Xie, L.; Li, A.; Zeng, D.; Jia, J.; Chen, X.; Chen, M. Resilience-based retrofitting of existing urban RC-frame buildings using seismic isolation. Earthq. Eng. Eng. Vib. 2020, 19, 839–853. [Google Scholar] [CrossRef]
  22. Cimellaro, G.P.; Reinhorn, A.M.; Bruneau, M. Framework for analytical quantification of disaster resilience. Eng. Struct. 2010, 32, 3639–3649. [Google Scholar] [CrossRef]
  23. Hu, J.; Wen, W.; Zhai, C.; Pei, S.; Ji, D. Seismic resilience assessment of buildings considering the effects of mainshock and multiple aftershocks. J. Build. Eng. 2023, 68, 106110. [Google Scholar] [CrossRef]
  24. Anwar, G.A.; Dong, Y. Seismic resilience of retrofitted RC buildings. Earthq. Eng. Eng. Vib. 2020, 19, 561–571. [Google Scholar] [CrossRef]
  25. Kassem, M.M.; Nazri, F.M.; Maissi, A.M. Development of seismic resilience index methodology for RC structures via functionality curve. MethodsX 2022, 9, 101865. [Google Scholar]
  26. Gonzalez, C.; Niño, M.; Jaimes, M.A. Event-based assessment of seismic resilience in Mexican school buildings. Bull. Earthq. Eng. 2020, 18, 6313–6336. [Google Scholar] [CrossRef]
  27. Dong, Y.; Frangopol, D.M. Performance-based seismic assessment of conventional and base-isolated steel buildings including environmental impact and resilience. Earthq. Eng. Struct. Dyn. 2016, 45, 739–756. [Google Scholar] [CrossRef]
  28. Ranjbar, P.R.; Naderpour, H. Probabilistic evaluation of seismic resilience for typical vital buildings in terms of vulnerability curves. Structures 2020, 23, 314–323. [Google Scholar] [CrossRef]
  29. Li, P.; Li, X.; Wang, X.; Wang, D. Seismic resilience evaluation of reinforced concrete frame considering the effect of mainshock-aftershock sequences. Appl. Sci. 2023, 13, 12620. [Google Scholar] [CrossRef]
  30. Motlagh, Z.S.; Dehkordi, M.R.; Eghbali, M.; Samadian, D. Evaluation of seismic resilience index for typical RC school buildings considering carbonate corrosion effects. Int. J. Disaster Risk Reduct. 2020, 46, 101511. [Google Scholar] [CrossRef]
  31. Zheng, X.; Li, H.; Lv, H.; Huo, L.; Zhang, Y. Bayesian-based seismic resilience assessment for high-rise buildings with the uncertainty in various variables. J. Build. Eng. 2022, 51, 104321. [Google Scholar] [CrossRef]
  32. Kassem, M.M.; Mohamed Nazri, F. Integrated approach between seismic resilience and vulnerability indexes with regularity index for vertical irregularity planar frames risk assessment. Bull. Earthq. Eng. 2023, 21, 1903–1941. [Google Scholar] [CrossRef]
  33. Yu, X.; Kuangyu, D.; Li, Y.; Li, B. Seismic resilience assessment of corroded reinforced concrete structures designed to the Chinese codes. Earthq. Eng. Eng. Vib. 2021, 20, 303–316. [Google Scholar]
  34. Lu, X.; Chen, A. Quantitative evaluation and improvement of seismic resilience of a tall frame shear wall structure. Int. J. Disaster Risk Reduct. 2022, 31, e1899. [Google Scholar] [CrossRef]
  35. Cheng, S.; He, H.; Sun, H.; Cheng, Y. Rapid recovery strategy for seismic performance of seismic-damaged structures considering imperfect repair and seismic resilience. J. Build. Eng. 2024, 82, 108422. [Google Scholar] [CrossRef]
  36. Li, Z.; Lu, J.; Teng, J. Seismic performance loss evaluation of reinforced concrete frame structure based on updatable damage model. Earthq. Eng. Resil. 2024, 3, 152–173. [Google Scholar] [CrossRef]
  37. Prasanth, S.; Ghosh, G. Effect of cracked section properties on the resilience based seismic performance evaluation of a building. Structures 2021, 34, 1021–1033. [Google Scholar] [CrossRef]
  38. Terzic, V.; Villanueva, P.K.; Saldana, D.; Yoo, D.Y. Framework for modelling post-earthquake functional recovery of buildings. Eng. Struct. 2021, 246, 113074. [Google Scholar] [CrossRef]
  39. Molina Hutt, C.; Vahanvaty, T.; Kourehpaz, P. An analytical framework to assess earthquake-induced downtime and model recovery of buildings. Earthq. Spectra 2022, 38, 1283–1320. [Google Scholar] [CrossRef]
  40. Anwar, G.A.; Dong, Y.; Li, Y. Performance-based decision-making of buildings under seismic hazard considering long-term loss, sustainability, and resilience. Struct. Infrastruct. Eng. 2020, 17, 454–470. [Google Scholar] [CrossRef]
  41. Joyner, M.D.; Kurth, M.H.; Pumo, I.; Linkov, I. Recovery-based design of buildings for seismic resilience. Int. J. Disaster Risk Reduct. 2021, 65, 102556. [Google Scholar] [CrossRef]
  42. Park, Y.J.; Ang, A.H.S.; Wen, Y.K. Seismic damage analysis of reinforced concrete buildings. J. Struct. Eng. 1985, 111, 740–757. [Google Scholar] [CrossRef]
  43. Crucitti, P.; Latora, V.; Marchiori, M.; Rapisarda, A. Error and attack tolerance of complex networks. Phys. A Stat. Mech. Appl. 2004, 340, 388–394. [Google Scholar] [CrossRef]
  44. Salavati, C.; Abdollahpouri, A.; Manbari, Z. Ranking nodes in complex networks based on local structure and improving closeness centrality. Neurocomputing 2019, 336, 36–45. [Google Scholar] [CrossRef]
  45. Ip, W.H.; Wang, D. Resilience and friability of transportation networks: Evaluation, analysis and optimization. IEEE Syst. J. 2011, 5, 189–198. [Google Scholar] [CrossRef]
Figure 1. Typical resilience curve.
Figure 1. Typical resilience curve.
Buildings 15 00023 g001
Figure 2. Resilience curve based on structural network performance.
Figure 2. Resilience curve based on structural network performance.
Buildings 15 00023 g002
Figure 3. Recoverable level of structural network performance.
Figure 3. Recoverable level of structural network performance.
Buildings 15 00023 g003
Figure 4. Three-dimensional structural network mode. (a) High-rise frame-core tube structure; (b) structural network mode.
Figure 4. Three-dimensional structural network mode. (a) High-rise frame-core tube structure; (b) structural network mode.
Buildings 15 00023 g004
Figure 5. Node weight, edge length, and path length.
Figure 5. Node weight, edge length, and path length.
Buildings 15 00023 g005
Figure 6. Structural network performance loss index.
Figure 6. Structural network performance loss index.
Buildings 15 00023 g006
Figure 7. Relationship between moment M and rotation θ of component.
Figure 7. Relationship between moment M and rotation θ of component.
Buildings 15 00023 g007
Figure 8. Repair path for difficult repair state.
Figure 8. Repair path for difficult repair state.
Buildings 15 00023 g008
Figure 9. Structure and structural network models. (a) Structural plan; (b) three-dimensional model; (c) structural network; (d) Perform-3D model.
Figure 9. Structure and structural network models. (a) Structural plan; (b) three-dimensional model; (c) structural network; (d) Perform-3D model.
Buildings 15 00023 g009
Figure 10. Acceleration time history curves of seismic waves. (a) El wave; (b) Ko wave; (c) No wave.
Figure 10. Acceleration time history curves of seismic waves. (a) El wave; (b) Ko wave; (c) No wave.
Buildings 15 00023 g010
Figure 11. Structure and structural network models. (a) Mode 1, PGA = 0.50 g; (b) mode 1, PGA = 0.66 g; (c) mode 1, PGA = 0.83 g; (d) mode 1, PGA = 1.00 g; (e) mode 2, PGA = 0.50 g; (f) mode 2, PGA = 0.66 g; (g) mode 2, PGA = 0.83 g; (h) mode 2, PGA = 1.00 g; (i) mode 3, PGA = 0.50 g; (j) mode 3, PGA = 0.66 g; (k) mode 3, PGA = 0.83 g; (l) mode 3, PGA = 1.00 g.
Figure 11. Structure and structural network models. (a) Mode 1, PGA = 0.50 g; (b) mode 1, PGA = 0.66 g; (c) mode 1, PGA = 0.83 g; (d) mode 1, PGA = 1.00 g; (e) mode 2, PGA = 0.50 g; (f) mode 2, PGA = 0.66 g; (g) mode 2, PGA = 0.83 g; (h) mode 2, PGA = 1.00 g; (i) mode 3, PGA = 0.50 g; (j) mode 3, PGA = 0.66 g; (k) mode 3, PGA = 0.83 g; (l) mode 3, PGA = 1.00 g.
Buildings 15 00023 g011
Figure 12. Evolution process of structural performance loss. (a) Complex network method (proposed method); (b) damage weighted method.
Figure 12. Evolution process of structural performance loss. (a) Complex network method (proposed method); (b) damage weighted method.
Buildings 15 00023 g012
Figure 13. Update process of structural network edge damage status (mode 2, PGA = 1.00 g, Path 3). (a) Before repair; (b) Repair F1–2; (c) Repair F3–4; (d) Repair F5–6; (e) Repair F7–8; (f) Repair F21–22; (g) Repair F23–24; (h) Repair F9–10; (i) Repair F11–12; (j) Repair F19–20; (k) Repair F13–14; (l) repair completed.
Figure 13. Update process of structural network edge damage status (mode 2, PGA = 1.00 g, Path 3). (a) Before repair; (b) Repair F1–2; (c) Repair F3–4; (d) Repair F5–6; (e) Repair F7–8; (f) Repair F21–22; (g) Repair F23–24; (h) Repair F9–10; (i) Repair F11–12; (j) Repair F19–20; (k) Repair F13–14; (l) repair completed.
Buildings 15 00023 g013aBuildings 15 00023 g013b
Figure 14. Resilience curve of fixed and variable repair paths. (a) Model 1, D = 0.07; (b) Model 1, D = 0.12; (c) Model 1, D = 0.23; (d) Model 1, D = 0.40; (e) Model 2, D = 0.05; (f) Model 2, D = 0.18; (g) Model 2, D = 0.42; (h) Model 2, D = 0.56; (i) Model 3, D = 0.04; (j) Model 3, D = 0.09; (k) Model 3, D = 0.35; (l) Model 3, D = 0.65.
Figure 14. Resilience curve of fixed and variable repair paths. (a) Model 1, D = 0.07; (b) Model 1, D = 0.12; (c) Model 1, D = 0.23; (d) Model 1, D = 0.40; (e) Model 2, D = 0.05; (f) Model 2, D = 0.18; (g) Model 2, D = 0.42; (h) Model 2, D = 0.56; (i) Model 3, D = 0.04; (j) Model 3, D = 0.09; (k) Model 3, D = 0.35; (l) Model 3, D = 0.65.
Buildings 15 00023 g014aBuildings 15 00023 g014b
Figure 15. Structural seismic resilience under fixed and variable repair paths. (a) Model 1, D = 0.07; (b) Model 1, D = 0.12; (c) Model 1, D = 0.23; (d) Model 1, D = 0.40; (e) Model 2, D = 0.05; (f) Model 2, D = 0.18; (g) Model 2, D = 0.42; (h) Model 2, D = 0.56; (i) Model 3, D = 0.04; (j) Model 3, D = 0.09; (k) Model 3, D = 0.35; (l) Model 3, D = 0.65.
Figure 15. Structural seismic resilience under fixed and variable repair paths. (a) Model 1, D = 0.07; (b) Model 1, D = 0.12; (c) Model 1, D = 0.23; (d) Model 1, D = 0.40; (e) Model 2, D = 0.05; (f) Model 2, D = 0.18; (g) Model 2, D = 0.42; (h) Model 2, D = 0.56; (i) Model 3, D = 0.04; (j) Model 3, D = 0.09; (k) Model 3, D = 0.35; (l) Model 3, D = 0.65.
Buildings 15 00023 g015
Figure 16. Impact of structural network performance loss and repair paths on seismic resilience. (a) Variation of resilience with loss (linear path); (b) resilience changes caused by repair paths; (c) comparison of loss and path on changes in resilience; (d) impact of repair paths on resilience.
Figure 16. Impact of structural network performance loss and repair paths on seismic resilience. (a) Variation of resilience with loss (linear path); (b) resilience changes caused by repair paths; (c) comparison of loss and path on changes in resilience; (d) impact of repair paths on resilience.
Buildings 15 00023 g016
Figure 17. Resilience curve considering loss and path (proposed method) versus considering only path. (a) Mode 1, PGA = 0.50 g; (b) mode 1, PGA = 0.66 g; (c) mode 1, PGA = 0.83 g; (d) mode 1, PGA = 1.00 g; (e) mode 2, PGA = 0.50 g; (f) mode 2, PGA = 0.66 g; (g) mode 2, PGA = 0.83 g; (h) mode 2, PGA = 1.00 g; (i) mode 3, PGA = 0.50 g; (j) mode 3, PGA = 0.66 g; (k) mode 3, PGA = 0.83 g; (l) mode 3, PGA = 1.00 g.
Figure 17. Resilience curve considering loss and path (proposed method) versus considering only path. (a) Mode 1, PGA = 0.50 g; (b) mode 1, PGA = 0.66 g; (c) mode 1, PGA = 0.83 g; (d) mode 1, PGA = 1.00 g; (e) mode 2, PGA = 0.50 g; (f) mode 2, PGA = 0.66 g; (g) mode 2, PGA = 0.83 g; (h) mode 2, PGA = 1.00 g; (i) mode 3, PGA = 0.50 g; (j) mode 3, PGA = 0.66 g; (k) mode 3, PGA = 0.83 g; (l) mode 3, PGA = 1.00 g.
Buildings 15 00023 g017
Figure 18. Impact of structural network performance loss and repair paths on seismic resilience. (a) Consider loss and path (proposed method); (b) consider only path.
Figure 18. Impact of structural network performance loss and repair paths on seismic resilience. (a) Consider loss and path (proposed method); (b) consider only path.
Buildings 15 00023 g018
Table 1. Degree of performance loss and the level of recoverability of structural network.
Table 1. Degree of performance loss and the level of recoverability of structural network.
Structural Network Performance Loss
Degree
Structural Network Performance Loss/D(t0)Structural Repair
Difficulty
Recoverable Level of Structural Network Performance/Q(ts)Structural Seismic
Resilience R
None0.00–0.12Easy repair100%0.88–1.00
Slight0.12–0.40Easy repair100%0.60–1.00
Moderate0.40–0.56Repairable100%0.44–1.00
Moderate0.55–0.71Difficult repair29–100%0.29–1.00
Severe0.71–0.90Irreparable10–29%0.10–0.29
Complete0.90–1.00Irreparable0–10%0.00–0.10
Table 2. Relationship between damage degree, rotation, and damage index of component.
Table 2. Relationship between damage degree, rotation, and damage index of component.
Component Damage DegreeNoneSlightMinorModerateSevereComplete
Performance Point yIOpLSu
Shear wall[θ] rad%0.250.500.801.001.30
[θ]/θy1.002.003.204.005.20
[d]0.000.440.610.710.81
Frame column[θ] rad%0.400.701.001.602.20
[θ]/θy1.001.752.504.005.50
[d]0.000.360.500.720.82
Frame beam[θ] rad%0.300.901.301.902.90
[θ]/θy1.003.004.306.309.70
[d]0.000.640.740.830.91
Coupling beam[θ] rad%0.500.901.301.502.50
[θ]/θy1.001.802.603.005.00
[d]0.000.360.490.580.79
Table 3. Cross-section dimensions of components (width × height, unit: mm).
Table 3. Cross-section dimensions of components (width × height, unit: mm).
FloorShear WallFrame ColumnExternal Frame BeamCoupling BeamInternal Frame Beam
1–53000 × 400 mm900 × 900 mm400 × 700 mm400 × 700 mm400 × 700 mm
6–103000 × 400 mm900 × 900 mm400 × 800 mm400 × 700 mm400 × 800 mm
11–153000 × 300 mm800 × 800 mm400 × 900 mm300 × 700 mm300 × 900 mm
16–253000 × 300 mm800 × 800 mm400 × 700 mm300 × 700 mm300 × 700 mm
Table 4. Reinforcement of frame columns (unit: mm).
Table 4. Reinforcement of frame columns (unit: mm).
FloorStirrupLongitudinal Reinforcement of Corner ColumnLongitudinal Reinforcement of Side Column
1–5ϕ 12 @ 10020 ϕ 2220 ϕ 22
6–10ϕ 10 @ 10020 ϕ 2020 ϕ 20
11–15ϕ 10 @ 10016 ϕ 2016 ϕ 20
16–25ϕ 8 @ 10016 ϕ 2016 ϕ 20
Table 5. Reinforcement of shear walls (unit: mm).
Table 5. Reinforcement of shear walls (unit: mm).
FloorHorizontal ReinforcementVertical ReinforcementEnd ColumnL-Shaped Column
1–52 rows ϕ 14 @ 2002 rows ϕ 14 @ 2008 ϕ 1616 ϕ 20
6–102 rows ϕ 10 @ 1502 rows ϕ 14 @ 2008 ϕ 1214 ϕ 14
11–152 rows ϕ 10 @ 2002 rows ϕ 10 @ 1504 ϕ 1412 ϕ 12
16–252 rows ϕ 10 @ 2002 rows ϕ 10 @ 1504 ϕ 1412 ϕ 12
Table 6. Reinforcement of external frame beam (unit: mm).
Table 6. Reinforcement of external frame beam (unit: mm).
FloorStirrupTop Longitudinal ReinforcementBottom Longitudinal Reinforcement
1–5ϕ 8 @ 200 (4)2 ϕ 18 + 2 ϕ 122 ϕ 18 + 2 ϕ 16
6–10ϕ 8 @ 200 (4)2 ϕ 16 + 2 ϕ 124 ϕ 18
11–15ϕ 8 @ 200 (4)2 ϕ 18 + 2 ϕ 122 ϕ 20 + 2 ϕ 18
16–25ϕ 8 @ 200 (4)2 ϕ 18 + 2 ϕ 122 ϕ 18 + 2 ϕ 16
Table 7. Reinforcement of coupling beam (unit: mm).
Table 7. Reinforcement of coupling beam (unit: mm).
FloorStirrupTop Longitudinal ReinforcementBottom Longitudinal Reinforcement
1–5ϕ 8 @ 100 (4)5 ϕ 162 ϕ 18 + 2 ϕ 16
6–10ϕ 8 @ 100 (4)5 ϕ 164 ϕ 18
11–15ϕ 8 @ 100 (4)4 ϕ 162 ϕ 18 + 1 ϕ 16
16–25ϕ 8 @ 100 (4)4 ϕ 162 ϕ 20
Table 8. Reinforcement of internal frame beam (unit: mm).
Table 8. Reinforcement of internal frame beam (unit: mm).
FloorStirrupTop Longitudinal ReinforcementBottom Longitudinal Reinforcement
1–5ϕ 8 @ 200 (4)2 ϕ 18 + 2 ϕ 122 ϕ 22 + 2 ϕ 20
6–10ϕ 8 @ 200 (4)2 ϕ 18 + 2 ϕ 124 ϕ 20
11–15ϕ 8 @ 200 (4)2 ϕ 202 ϕ 22 + 1 ϕ 20
16–25ϕ 8 @ 200 (4)2 ϕ 222 ϕ 25 + 1 ϕ 22
Table 9. Ground motion record.
Table 9. Ground motion record.
NameEventDirectionYearStationDuration/sPGA/gMagnitudeArias Intensity/m/sHousner Intensity/cm
ElImperial Valley-02ELC1801940El Centro Array#924.20.28087.01.556128.900
KoKobe, JapanHIK0001995HIK17.40.13946.90.37170.291
NoNorthridge-01SOR2251994West Covina-S Orange Ave19.70.06437.00.08127.682
Table 10. Repair sequence of floors.
Table 10. Repair sequence of floors.
Floor (F)1–23–45–67–89–1011–1213–1415–1617–1819–2021–2223–2425
Damage1.190.720.690.650.620.600.590.490.510.590.640.630.57
Sequence12347810131295611
Disclaimer/Publisher’s Note: The statements, opinions and data contained in all publications are solely those of the individual author(s) and contributor(s) and not of MDPI and/or the editor(s). MDPI and/or the editor(s) disclaim responsibility for any injury to people or property resulting from any ideas, methods, instructions or products referred to in the content.

Share and Cite

MDPI and ACS Style

Lu, J.; Li, Z.; Teng, J. Seismic Resilience Evaluation of High-Rise Frame-Core Tube Structure Considering Structural Network Performance Loss and Repair Path. Buildings 2025, 15, 23. https://doi.org/10.3390/buildings15010023

AMA Style

Lu J, Li Z, Teng J. Seismic Resilience Evaluation of High-Rise Frame-Core Tube Structure Considering Structural Network Performance Loss and Repair Path. Buildings. 2025; 15(1):23. https://doi.org/10.3390/buildings15010023

Chicago/Turabian Style

Lu, Jianfeng, Zuohua Li, and Jun Teng. 2025. "Seismic Resilience Evaluation of High-Rise Frame-Core Tube Structure Considering Structural Network Performance Loss and Repair Path" Buildings 15, no. 1: 23. https://doi.org/10.3390/buildings15010023

APA Style

Lu, J., Li, Z., & Teng, J. (2025). Seismic Resilience Evaluation of High-Rise Frame-Core Tube Structure Considering Structural Network Performance Loss and Repair Path. Buildings, 15(1), 23. https://doi.org/10.3390/buildings15010023

Note that from the first issue of 2016, this journal uses article numbers instead of page numbers. See further details here.

Article Metrics

Back to TopTop