Method of Calculating Outdoor PM2.5 Concentration in Fresh Air Systems Based on Population Density Distribution Regions
Abstract
1. Introduction
2. Material and Methods
2.1. Outdoor Design PM2.5 Concentration
2.2. Method of Recommended K
2.3. Recommended K for Different Population Density Zones
2.4. Filtration Efficiency
3. Results and Discussion
3.1. Variation in Concentration of PM2.5 in Major Cities
3.2. Differences in Recommended K Values under Different Partition Methods
3.3. Analyzing Typical Cities as Examples
3.4. Filter Selection and Filtration Efficiency
4. Conclusions
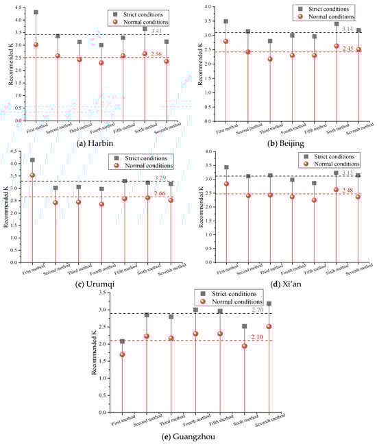
- There are significant differences in the recommended K values for different population density zones; the recommended K values for all seven population density zones meet the K value requirements of the region. The average value of five typical cities under strict conditions is 3.14, and the average value under normal conditions is 2.45;
- The method of seven major regions, based on population migration and urbanization, recommends the optimal K value. Under these conditions, the recommended K values for five typical cities under strict and normal conditions differ from their average K values by 0.07 and 0.04, respectively;
- Based on the uneven distribution of outdoor PM2.5 concentrations in 31 provinces, autonomous regions, and municipalities directly under the central government in China, as well as relatively incomplete historical data, the method of seven major regions is recommended for calculating the design concentration of outdoor PM2.5 in fresh air filtration systems. The method is based on population migration and urbanization. The difference between the K value recommended by the five typical cities under strict and normal conditions and the average K value of the seven methods is 0.07 and 0.04, respectively. These differences provide a reference value for selecting PM2.5 design concentrations in fresh air systems under population distribution differentiation.
Author Contributions
Funding
Data Availability Statement
Conflicts of Interest
References
- Nguyen, M.H.; Le, T.T.; Vuong, Q.H. Ecomindsponge: A novel perspective on human psychology and behavior in the ecosystem. Urban Sci. 2023, 7, 31. [Google Scholar] [CrossRef]
- Deng, Q.S.; Cuesta, L.; Alvarado, R.; Murshed, M.; Tillaguango, B.; Işık, C.; Rehman, A. Nexus between government stability and environmental pollution. J. Clean. Prod. 2024, 434, 140061. [Google Scholar] [CrossRef]
- Jeon, J.; Chen, Y.; Kim, H. Influences of meteorology on emission sources and physicochemical properties of particulate matter in Seoul, Korea during the heating period. Atmos. Environ. 2023, 303, 119733. [Google Scholar] [CrossRef]
- Bagheri, G.; Schlenczek, O.; Turco, L.; Thiede, B.; Stieger, K.; Kosub, J.M.; Clauberg, S.; Pöhlker, M.L.; Pöhlker, C.; Moláček, J.; et al. Size, concentration, and origin of human exhaled particles and their dependence on human factors with implications on infection transmission. J. Aerosol Sci. 2023, 168, 106102. [Google Scholar] [CrossRef]
- Ahn, H.; Lee, J.; Hong, A. Urban form and air pollution: Clustering patterns of urban form factors related to particulate matter in Seoul, Korea. Sustain. Cities Soc. 2022, 81, 103859. [Google Scholar] [CrossRef]
- Das, G.S.; Raju, K.S.; Dhiman, N.; Tripathi, K.M. Removal of Anthropogenic Toxic Gaseous Compounds from Indoor using Biomass-based Graphene Aerogels. ACS Eng. Au. 2024, 4, 325–332. [Google Scholar] [CrossRef]
- Li, T.; Liu, R.H.; Wang, Q.; Rao, J.Q.; Liu, Y.J.; Dai, Z.K.; Gooneratne, R.; Wang, J.; Xie, Q.M.; Zhang, X.H. A review of the influence of environmental pollutants microplastics, pesticides, antibiotics, air pollutants, viruses and bacteria on animal viruses. J. Hazard. Mater. 2024, 468, 133831. [Google Scholar] [CrossRef]
- Benaissa, A. Rhizosphere: Role of bacteria to manage plant diseases and sustainable agriculture—A review. J. Basic. Microb. 2024, 64, 2300361. [Google Scholar] [CrossRef]
- Vasco, F.; Perrin, J.A.; Oertli, B. Urban pondscape connecting people with nature and biodiversity in a medium-sized European city (Geneva, Switzerland). Urban. Ecosyst. 2024, 27, 1117–1137. [Google Scholar] [CrossRef]
- Shang, L.F.; Wu, Z.P.; Wu, B.J.; Yang, G.F.; Ge, Y.; Chang, J. Scaling of multiple functional facilities covering comprehensive processes in cities. Cities 2024, 145, 104666. [Google Scholar] [CrossRef]
- Wang, S.P.; Zhao, C.Y. Effects of expanding imports on urban manufacturing employment: Evidence from China. PLoS ONE 2024, 19, e0296961. [Google Scholar] [CrossRef] [PubMed]
- Guo, X.X.; Deng, M.; Wang, X.G.; Yang, X.Z. Population agglomeration in Chinese cities: Is it benefit or damage for the quality of economic development? Environ. Sci. Pollut. R 2024, 31, 10106–10118. [Google Scholar] [CrossRef]
- Zhang, X.; Sun, H.; Li, K.P.; Nie, X.X.; Fan, Y.S.; Wang, H.; Ma, J.Y. Comparison of the Application of Three Methods for the Determination of Outdoor PM2.5 Design Concentrations for Fresh Air Filtration Systems in China. Int. J. Environ. Res. Public Health 2022, 19, 16537. [Google Scholar] [CrossRef]
- Zacharias, N.; Haag, A.; Lamprecht, R.B.; Gebel, J.; Essert, S.M.; Kistemann, T.; Exner, M.; Mutters, N.T.; Engelhart, S. Air filtration as a tool for the reduction of viral aerosols. Sci. Total Environ. 2021, 772, 144956. [Google Scholar] [CrossRef] [PubMed]
- Song, H.; Dong, Y.H.; Yang, J.Y.; Zhang, X.; Nie, X.X.; Fan, Y.X. Concentration Characteristics and Correlations with Other Pollutants of Atmospheric Particulate Matter As Affected by Relevant Policies. Int. J. Environ. Res. Public Health 2023, 20, 1051. [Google Scholar] [CrossRef]
- Han, H.B.; Yang, X.Y. Agricultural tridimension pollution emission efficiency in China: An evaluation system and influencing factors. Sci. Total Environ. 2024, 906, 167782. [Google Scholar] [CrossRef] [PubMed]
- Ishimura, Y.; Shinkuma, T.; Takeuchi, K.; Hosoda, E. The effects of regional goal setting on household waste. Ecol. Econ. 2024, 215, 108015. [Google Scholar] [CrossRef]
- Liu, C.; Yu, Y.; Yang, X. Perceptual Evaluation of Street Quality in Underdeveloped Ethnic Areas: A Random Forest Method Combined with Human–Machine Confrontation Framework Provides Insights for Improved Urban Planning—A Case Study of Lhasa City. Buildings 2024, 146, 1698. [Google Scholar] [CrossRef]
- Weber, H.; Sciubba, J.D. The effect of population growth on the environment: Evidence from European regions. Eur. J. Popul. 2019, 35, 379–402. [Google Scholar] [CrossRef]
- Iungman, T.; Cirach, M.; Marando, F.; Barboza, E.P.; Khomenko, S.; Masselot, P.; Quijal-Zamorano, M.; Mueller, N.; Gasparrini, A.; Urquiza, J.; et al. Cooling cities through urban green infrastructure: A health impact assessment of European cities. Lancet 2023, 401, 577–589. [Google Scholar] [CrossRef]
- Zaib, S.; Lu, J.J.; Bilal, M. Spatio-Temporal Characteristics of Air Quality Index (AQI) over Northwest China. Atmosphere 2022, 13, 375. [Google Scholar] [CrossRef]
- Bu, S.B.; Wang, Y.L.; Wang, H.Y.; Wang, F.; Tan, Y.F. Predicting spatio-temporal distribution of indoor multi-phase phthalates under the influence of particulate matter. Built Environ. 2022, 221, 109329. [Google Scholar] [CrossRef]
- Yu, W.; Wang, L.X.; Wang, Q.Q.; Wang, X.F.; Li, G.Z.; Wang, J.L.; Awbi, H. Design selection and evaluation method of PM2.5 filters for fresh air systems. J. Build. Eng. 2020, 27, 100977. [Google Scholar] [CrossRef]
- Wu, Y.Q.; Chen, C.; Chen, Z.G.; Hao, Z.Y.; Lin, J. Discussion on determination method of mass concentration calculation of outdoor fine particulate matter (PM2.5). HVAC 2019, 49, 83–87+45. (In Chinese) [Google Scholar]
- Zhang, X.L. Study on the Method of Determining the Design Concentration of Ventilation Outdoor PM2.5. Master’s Thesis, Xi’an University of Architecture and Technology, Xi’an, China, 2019. (In Chinese). [Google Scholar]
- Sun, H.; Zhou, G.; Liu, Y.; Fu, H.; Jin, Y. Housing vacancy identification in shrinking cities based on multi-source data: A case study of Fushun city in Northeast China. J. Geogr. Sci. 2024, 34, 89–111. [Google Scholar] [CrossRef]
- Liu, R.; Shao, M.; Wang, Q.G. Multi-timescale variation characteristics of PM2.5 in different regions of China during 2014–2022. Sci. Total Environ. 2024, 920, 171008. [Google Scholar] [CrossRef] [PubMed]
- Lalitha, C.; Ravindran, D. Hybrid deep learning framework for weather forecast with rainfall prediction using weather bigdata analytics. Multimed. Tools Appl. 2024, 83, 66413–66432. [Google Scholar] [CrossRef]
- Aram, S.A.; Nketiah, E.A.; Saalidong, B.M.; Wang, H.; Afitiri, A.R.; Akoto, A.B.; Lartey, P.O. Machine learning-based prediction of air quality index and air quality grade: A comparative analysis. Int. J. Environ. Sci. Technol. 2024, 21, 1345–1360. [Google Scholar] [CrossRef]
- Kumar, P.; Singh, A.B.; Arora, T.; Singh, S.; Singh, R. Critical review on emerging health effects associated with the indoor air quality and its sustainable management. Sci. Total Environ. 2023, 872, 162163. [Google Scholar] [CrossRef]
- Wei, Y.M.; Huang, X.; Hou, Z.R.; Zhang, X. Outdoor design PM2.5 concentration method for fresh air systems based on dual-carbon target: A case study of urban economic regions from China. Therm. Sci. 2024, 28, 3141–3154. [Google Scholar] [CrossRef]
- Zhang, X.; Fan, Y.S.; Zhang, J.X.; Wang, H.; Wei, S.X. Research on outdoor design PM2.5 concentration for fresh air filtration systems based on mathematical inductions. J. Build. Eng. 2021, 34, 101883. [Google Scholar] [CrossRef]
- Li, J.; Zhao, J.; Lu, Z. A typical meteorological day database of solar terms for simplified simulation of outdoor thermal environment on a long-term. Urban Clim. 2024, 57, 102117. [Google Scholar] [CrossRef]
- Wang, Q.; Fan, D.; Zhao, L.; Wu, W. A study on the design method of indoor fine particulate matter (PM2.5) pollution control in China. Int. J. Environ. Res. Public Health 2019, 16, 4588. [Google Scholar] [CrossRef]
- Wang, H.Q.; Lu, X.C.; Guo, Q.J.; Zhang, Y.J. The Spatiotemporal Measurement of Coordinated Development of Resource-Environment-Economy Based on Empirical Analysis from China’s 30 Provinces. Sustainability 2023, 15, 6995. [Google Scholar] [CrossRef]
- Xing Lj Chen, Q.; Liu, Y.L.; He, H.G. Evaluating the accessibility and equity of urban health resources based on multi-source big data in high-density city. Sustain. Cities Soc. 2024, 100, 105049. [Google Scholar] [CrossRef]
- Song, Y.; de Jong, M.; Stead, D.; Yang, W.; Wang, B.Y. Dreaming the wrong dream: An exploratory case study of a policy change toward sustainable urban development in a medium-sized Chinese city. J. Urban Aff. 2024, 46, 252–266. [Google Scholar] [CrossRef]
- Li, Q.W.; Yang, Z.C.; Tian, Z.L.; Yin, Q.L. Multidimensional measurement of the High-Quality development of city Clusters: Dynamic Evolution, regional differences and trend forecasting--based on the basic connotation of Chinese-style modernization. Ecol. Indic. 2024, 161, 111989. [Google Scholar] [CrossRef]
- Wang, C.L.; Cheng, S.J.; Zhu, Z.L.; Wang, M.M. Development of New Urbanization Based on Moderate Population Capacity: Five Cities in Ningxia. Chin. Agric. Sci. Bull. 2020, 36, 151–157. (In Chinese) [Google Scholar]
- Cheng, Y.H.; Cai, Z.G. A Re-Examination off Population Migration and Urbanization: Implications of the Seventh National Population Census. J. Hohai Univ. (Philos. Soc. Sci.) 2021, 23, 85–93+112. (In Chinese) [Google Scholar]
- Zhou, Y.; Chen, H.; Fang, T. Spatial Analysis of Intercity Migration Patterns of China’s Rural Population: Based on the Network Perspective. Agriculture 2024, 14, 655. [Google Scholar] [CrossRef]
- Liu, H.; Zhu, Y.T.; Zhang, C.W.; Zhou, Y.Q.; Yu, D.G. Electrospun nanofiber as building blocks for high-performance air filter: A review. Nano Today 2024, 55, 102161. [Google Scholar] [CrossRef]
- Xie, W.; Fan, Y.S.; Zhang, X.; Tian, G.J.; Si, P.F. A mathematical model for predicting indoor PM2.5 concentration under different ventilation methods in residential buildings. Build. Serv. Eng. Res. Technol. 2020, 41, 694–708. [Google Scholar] [CrossRef]
- GB 3095-2012; National Standard of the People’s Republic of China. Ambient Air Quality Standards. China Environmental Science Press: Beijing, China, 2012.
- Andrei, J.V.; Cristea, D.S.; Nuţă, F.M.; Petrea, Ş.M.; Nuţă, A.C.; Tudor, A.T.; Chivu, L. Exploring the causal relationship between PM2.5 air pollution and urban areas economic welfare and social-wellbeing: Evidence form 15 European capitals. Sustain. Dev. 2024. [Google Scholar] [CrossRef]
- Fan, P.; Chen, J.; John, R. Urbanization and environmental change during the economic transition on the Mongolian Plateau: Hohhot and Ulaanbaatar. Environ. Res. 2016, 144, 96–112. [Google Scholar] [CrossRef] [PubMed]
- Bernt, M.; Hamann, U.; El-Kayed, N.; Keskinkilic, L. Internal migration industries: Shaping the housing options for refugees at the local level. Urban Stud. 2022, 59, 2217–2233. [Google Scholar] [CrossRef]
- Xie, W.; Fan, Y.; Yu, J.; Zhang, X.; Si, P. Feature analysis of indoor particulate matter concentration using fiber filtration for mechanical ventilation. J. Eng. Fiber Fabr. 2020, 15, 1558925019898960. [Google Scholar] [CrossRef]







| Air Quality Index | Air Quality Index Level | Air Quality Index Categories and Color Representation | |
|---|---|---|---|
| 0~50 | Level 1 | excellent | green |
| 51~100 | Level 2 | good | yellow |
| 101~150 | Level 3 | slightly polluted | orange |
| 151~200 | Level 4 | moderately polluted | red |
| 201~300 | Level 5 | heavily polluted | purple |
| >300 | Level 6 | severely polluted | maroon |
| Number | Methods | Include Content |
|---|---|---|
| First | Recommended K for cities | Beijing, Harbin, Changchun, Shenyang, Hohhot, Jinan, Lanzhou, Shijiazhuang, Tianjin, Taiyuan, Zhengzhou, Xi’an, Xining, Urumqi, Lasa, Wuhan, Changsha, Chongqing, Chengdu, Nanchang, Hangzhou, Shanghai, Nanning, Fuzhou, Hefei, Yinchuan, Kunming, Guiyang, Nanjing, Guangzhou, Haikou |
| Second | Recommended K of nine types of region [36] | Medium clustering area: Tianjin, Shanghai, Beijing, |
| High clustering area: Nanjing, Guangzhou, Jinan, Zhengzhou, Hangzhou | ||
| Moderate clustering area: Hefei, Shijiazhuang | ||
| Low clustering area: Chongqing, Wuhan, Changsha, Fuzhou, Shenyang, Nanchang, Haikou, Taiyuan, Nanning, Guiyang | ||
| General transition area: Xi’an, Chengdu, Changchun, Kunming, Yinchuan | ||
| Relatively sparse area: Harbin, Lanzhou | ||
| Absolutely sparse area: Hohhot | ||
| Extremely sparse area: Urumqi, Xining, Lasa | ||
| Basic unmanned area: | ||
| Third | Recommended K for five types of region [37] | Megacities: Tianjin, Shanghai, Beijing, Chongqing, Guangzhou |
| Large cities: Wuhan, Chengdu, Nanjing, Zhengzhou, Xi’an, Shenyang, Hangzhou | ||
| Type I big cities: Harbin, Changchun, Hefei, Jinan, Kunming, Changsha, Taiyuan, Nanning, Fuzhou, Hohhot | ||
| Type II big cities: Urumqi, Guiyang, Shijiazhuang, Nanchang, Hohhot, Haikou, Lanzhou, Yinchuan | ||
| Medium-sized cities: Lasa | ||
| Fourth | Recommended K for three major regions [38] | Eastern coastal regions: Tianjin, Shanghai, Beijing, Jinan, Shijiazhuang, Shenyang, Harbin, Changchun, Nanjing, Hangzhou, Fuzhou, Guangzhou, Haikou |
| Central regions: Taiyuan, Zhengzhou, Hefei, Wuhan, Nanchang, Changsha | ||
| Western plateau regions: Xi’an, Xining, Urumqi, Lasa, Chongqing, Chengdu, Yinchuan, Kunming, Guiyang, Nanning, Lanzhou, Hohhot | ||
| Fifth | Recommended K for four region levels [39] | Level I densely populated areas: Beijing, Tianjin, Shanghai, Jinan, Nanjing, Zhengzhou, Guangzhou, Hangzhou |
| Level II medium population area: Chengdu, Chongqing, Xi’an, Hefei, Wuhan, Changsha, Shenyang, Fuzhou, Haikou, Nanchang | ||
| Level III sparsely populated areas: Nanning, Shijiazhuang, Changchun, Kunming, Yinchuan, Guiyang, Taiyuan | ||
| Level IV extremely sparsely populated areas: Lasa, Lanzhou, Xining, Harbin, Hohhot, Urumqi | ||
| Sixth | Recommended K for seven major regions [40] | East China: Jinan, Hangzhou, Hefei, Nanjing, Shanghai, Fuzhou, Nanchang |
| North China: Beijing, Tianjin, Shijiazhuang, Taiyuan, Hohhot | ||
| Central China: Wuhan, Changsha, Zhengzhou | ||
| South China: Nanning, Guangzhou, Haikou | ||
| Southwest China: Chengdu, Kunming, Guiyang, Chongqing, Lasa | ||
| Northwest China: Urumqi, Yinchuan, Xi’an, Xining, Lanzhou, Hohhot | ||
| Northeast China: Harbin, Changchun, Shenyang, Hohhot | ||
| Seventh | Recommended K for four active regions [41] | Net inflow active regions: Beijing, Tianjin, Shanghai, Guangzhou, Hohhot, Hangzhou, Urumqi, Nanjing |
| Net outflow active regions: Hefei, Changsha, Nanning, Guiyang, Taiyuan, Xining, Lanzhou, Yinchuan, Haikou, Nanchang | ||
| Balanced active regions: Fuzhou, Jinan | ||
| Non-active regions: Harbin, Changchun, Shenyang, Shijiazhuang, Chongqing, Kunming, Lasa, Chengdu, Xi’an, Wuhan, Zhengzhou |
| Air Quality Index Level | Top Three Cities in Terms of Air Quality Index Proportion | |||
|---|---|---|---|---|
| 2020 | 2019 | 2018 | 2017 | |
| excellent | Lasa (100%), Haikou (99.7%), Fuzhou (98.6%) | Lasa (100%), Haikou (99.4%), Fuzhou (98.2%) | Lasa (99.7%), Haikou (99.2%), Fuzhou (95.8%) | Lasa (98.4%), Haikou (96.4%), Fuzhou (95.6%) |
| good | Taiyuan (30.6%), Shijiazhuang (28.7%), Jinan (25.1%) | Tianjin (32.2%), Jinan (31.6%), Changsha (29.5%) | Taiyuan (39.8%), Shijiazhuang (34.5%), Chengdu (31.1%) | Shijiazhuang (40.7%), Taiyuan (39.3%), Jinan (38.5%) |
| slightly polluted | Shijiazhuang (8.2%), Urumqi (8.2%), Xi’an (7.7%) | Urumqi (12.0%), Taiyuan (9.6%), Xi’an (9.3%) | Shijiazhuang (11.3%), Urumqi (10.7%), Xi’an (9.9%) | Shijiazhuang (10.7%), Jinan (9.6%), Urumqi (9.3%) |
| moderately polluted | Urumqi (4.6%), Shijiazhuang (4.1%), Harbin (3.0%) | Urumqi (7.2%), Shijiazhuang (5.1%), Xi’an (5.1%), Zhengzhou (5.1%) | Xi’an (4.8%), Shijiazhuang (4.8%), Urumqi (4.0%) | Shijiazhuang (6.6%), Zhengzhou (5.8%), Tianjin (4.7%) |
| heavily polluted | Beijing (2.7%), Harbin (2.2%), Changchun (1.9%) | Xi’an (3.3%), Zhengzhou (3.0%), Shijiazhuang (2.7%) | Urumqi (3.4%), Zhengzhou (2.8%), Shijiazhuang (2.5%) | Urumqi (8.5%), Xi’an (4.4%), Shijiazhuang (4.4%) |
| severely polluted | Harbin (0.5%), Hohhot (0.5%), Changchun (0.3%) | Shijiazhuang (0.6%) | Zhengzhou (0.6%), Shijiazhuang (0.3%) | Urumqi (1.6%), Xi’an (1.6%), Shijiazhuang (1.4%) |
| City | Strict Conditions | Normal Conditions |
|---|---|---|
| Beijing | G3 + F8, G3 + F9, G3 + H10, G4 + F7, G4 + F8, G4 + F9, G4 + H10. | G3 + M5, G3 + M6, G3 + F7, G3 + F8, G3 + F9, G3 + H10, G4 + M5, G4 + M6, G4 + F7, G4 + F8, G4 + F9, G4 + H10 |
| Harbin | G3 + F7, G3 + F8, G3 + F9, G3 + H10, G4 + F7, G4 + F8, G4 + F9, G4 + H10 | G3 + M5, G3 + M6, G3 + F7, G3 + F8, G3 + F9, G3 + H10, G4 + M5, G4 + M6, G4 + F7, G4 + F8, G4 + F9, G4 + H10 |
| Urumqi | G3 + F8, G3 + F9, G3 + H10, G4 + F8, G4 + F9, G4 + H10 | G3 + F7, G3 + F8, G3 + F9, G3 + H10, G4 + M6, G4 + F7, G4 + F8, G4 + F9, G4 + H10 |
| Xi’an | G3 + F8, G3 + F9, G3 + H10, G4 + F8, G4 + F9, G4 + H10 | G3 + F8, G3 + F9, G3 + H10, G4 + F7, G4 + F8, G4 + F9, G4 + H10 |
| Guangzhou | G3 + M5, G3 + M6, G3 + F7, G3 + F8, G3 + F9, G3 + H10, G4 + M5, G4 + M6, G4 + F7, G4 + F8, G4 + F9, G4 + H10 | G3 + M5, G3 + M6, G3 + F7, G3 + F8, G3 + F9, G3 + H10, G4 + M5, G4 + M6, G4 + F7, G4 + F8, G4 + F9, G4 + H10 |
Disclaimer/Publisher’s Note: The statements, opinions and data contained in all publications are solely those of the individual author(s) and contributor(s) and not of MDPI and/or the editor(s). MDPI and/or the editor(s) disclaim responsibility for any injury to people or property resulting from any ideas, methods, instructions or products referred to in the content. |
© 2024 by the authors. Licensee MDPI, Basel, Switzerland. This article is an open access article distributed under the terms and conditions of the Creative Commons Attribution (CC BY) license (https://creativecommons.org/licenses/by/4.0/).
Share and Cite
Tang, D.; Guo, X.; Zhao, Q.; Zhang, X. Method of Calculating Outdoor PM2.5 Concentration in Fresh Air Systems Based on Population Density Distribution Regions. Buildings 2024, 14, 3010. https://doi.org/10.3390/buildings14093010
Tang D, Guo X, Zhao Q, Zhang X. Method of Calculating Outdoor PM2.5 Concentration in Fresh Air Systems Based on Population Density Distribution Regions. Buildings. 2024; 14(9):3010. https://doi.org/10.3390/buildings14093010
Chicago/Turabian StyleTang, Daqian, Xiaoke Guo, Qing Zhao, and Xin Zhang. 2024. "Method of Calculating Outdoor PM2.5 Concentration in Fresh Air Systems Based on Population Density Distribution Regions" Buildings 14, no. 9: 3010. https://doi.org/10.3390/buildings14093010
APA StyleTang, D., Guo, X., Zhao, Q., & Zhang, X. (2024). Method of Calculating Outdoor PM2.5 Concentration in Fresh Air Systems Based on Population Density Distribution Regions. Buildings, 14(9), 3010. https://doi.org/10.3390/buildings14093010
