Thermal Performance and Building Energy Simulation of Precast Insulation Walls in Two Climate Zones
Abstract
1. Introduction
2. Experimental Investigation
2.1. Specimen Design
2.2. Construction Process
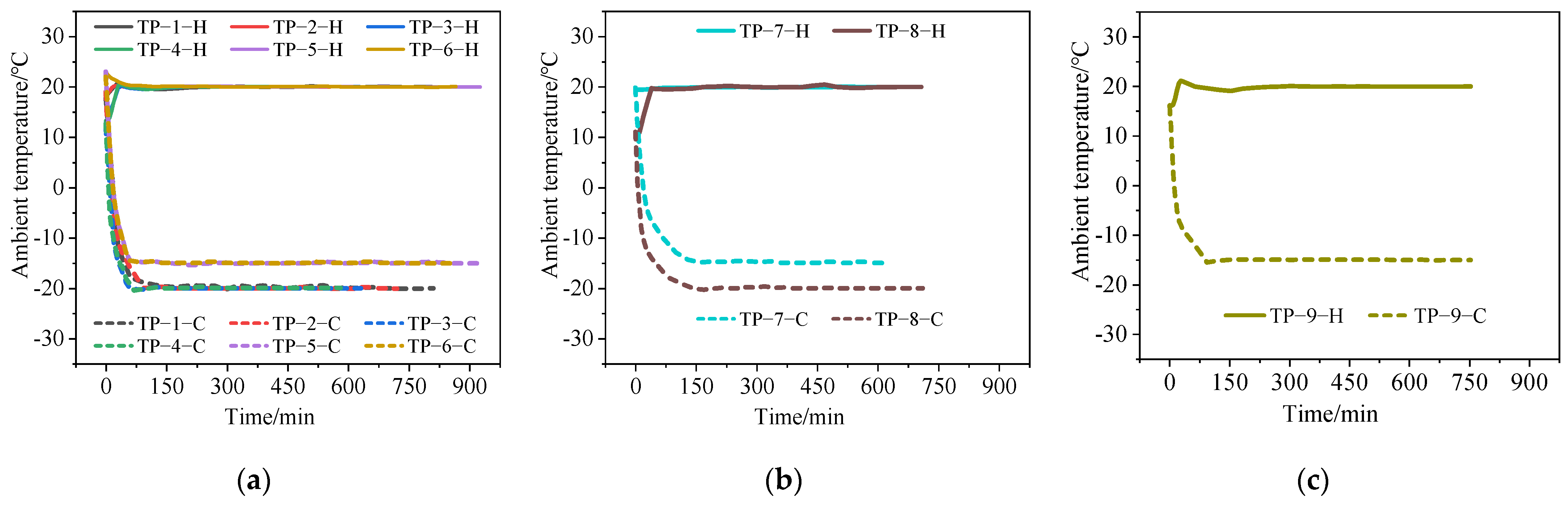
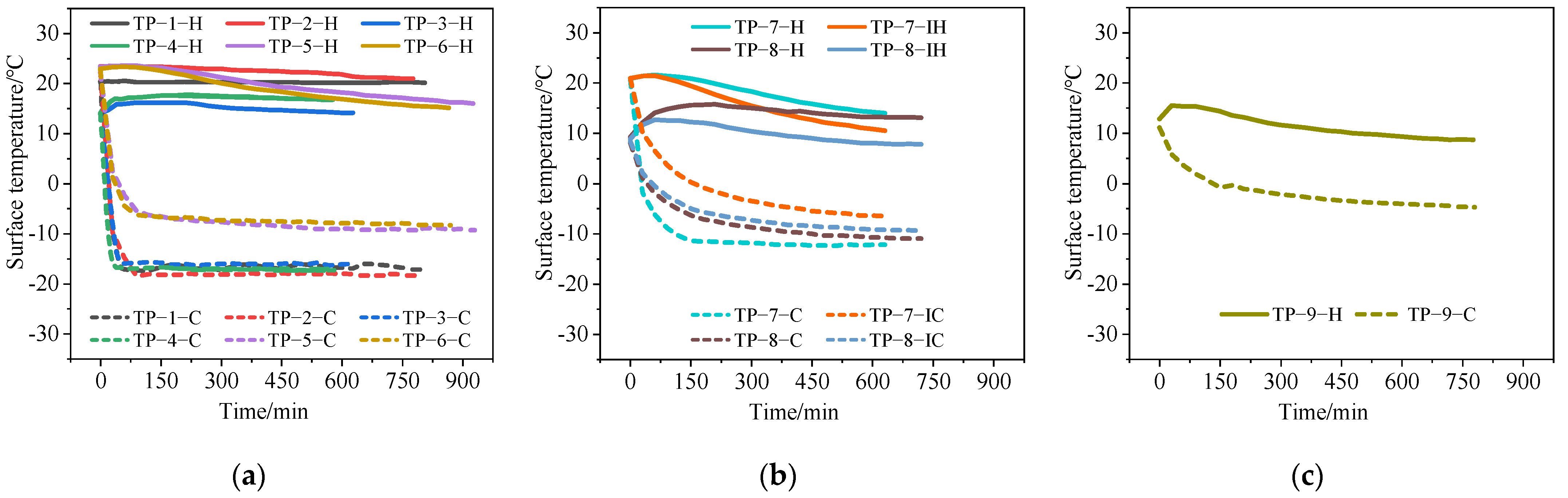
2.3. Experimental Setup
2.4. Experimental Results
3. Numerical Simulation
3.1. Tested Wall Model
3.1.1. Basic Principles of Heat Transfer in Building Envelope
3.1.2. Interactions and Boundary Conditions
3.1.3. Basic Assumptions
- (1)
- Neglecting the thermal contact resistance caused by interface gaps during construction in the simulation analysis. It is assumed that the temperature and heat flux on both sides of the contact surface are continuous.
- (2)
- Simplification to a steady-state heat transfer problem. In practical engineering applications, the indoor temperature of the insulated wall remains relatively constant, while the outdoor temperature fluctuates significantly due to environmental influences. In the simulation process, the temperature on both sides of the wall is maintained under the most unfavorable conditions, ensuring the maximum constant temperature difference. Under these conditions, heat always flows from indoors to outdoors.
- (3)
- All materials are considered isotropic, with unchanged thermal properties. Their values are given in Table 3.
3.2. Validation of the Tested Wall Model
3.3. Parametric Analysis
3.3.1. Insulation Layer Thickness and Material
3.3.2. Concrete Rib Width
4. Building Energy Analysis
4.1. Prototype Model Overview
4.2. Result Analysis
4.2.1. Energy Consumption
4.2.2. Base Temperature
5. Conclusions
- The specimen with external insulation form can prevent the thermal bridge effect caused by reinforced concrete, thereby achieving superior thermal performance, making them suitable for building exterior walls. On the other hand, the sandwich insulation wall filled with insulation materials inside the specimen can achieve the building goal of lightweight components, which can be used for the building interior walls to reduce weight.
- For the same thickness of the insulation layer, the thermal performance of the four insulation materials ranks as follows: XPS > EPS > foam concrete > perlite foam concrete. With the increase of the thickness of the insulation layer, the thermal performance of the precast insulation wall is gradually improved. However, the reduction in the thermal transfer coefficient of the wall gradually diminishes.
- From the perspective of building energy consumption, increasing the thickness of the insulation layer on the exterior walls significantly reduces the building energy consumption. In contrast, changing the insulation layer thickness and the concrete rib width of the interior walls has minimal impact on energy consumption. Considering the climatic characteristics of different cities, it is recommended to use 50 mm thick XPS external insulation walls in Changsha and 80 mm thick XPS external insulation walls in Harbin. For interior walls, a 100 mm thick XPS insulation layer with 150 mm wide concrete ribs is recommended.
- Compared with traditional concrete wall buildings, precast insulation wall buildings can significantly reduce building energy consumption by 49.25% in Changsha and 49.38% in Harbin. This indicates that insulation wall construction significantly improves the thermal performance of residential buildings.
- The conclusions of this study not only provide a foundational basis for the engineering applications of such buildings but also offer a methodological reference for research on other types of insulation walls. However, this study has limitations; it only examines two climate zones in energy consumption simulations and does not consider the impact of occupant behavior and other relevant parameters on optimal wall design. Future research should expand the scope to include more working conditions.
Author Contributions
Funding
Data Availability Statement
Conflicts of Interest
References
- Wang, S.; Luo, Y.; Liu, Z.; Lu, B. Analysis on Energy Conservation and Emission Reduction Efficiency and Influencing Factors for Ports around Bohai in China under the Low Carbon Target. Sustainability 2022, 14, 14765. [Google Scholar] [CrossRef]
- Rathore, P.K.S.; Gupta, N.K.; Yadav, D.; Shukla, S.K.; Kaul, S. Thermal performance of the building envelope integrated with phase change material for thermal energy storage: An updated review. Sustain. Cities Soc. 2022, 79, 103690. [Google Scholar] [CrossRef]
- Lee, C.T.; Hashim, H.; Ho, C.S.; Fan, Y.V.; Klemeš, J.J. Sustaining the low-carbon emission development in Asia and beyond: Sustainable energy, water, transportation and low-carbon emission technology. J. Clean. Prod. 2017, 146, 1–13. [Google Scholar] [CrossRef]
- Kotov, E.V.; Nemova, D.; Sergeev, V.; Dontsova, A.; Koriakovtseva, T.; Andreeva, D. Thermal Performance Assessment of Aerogel Application in Additive Construction of Energy-Efficient Buildings. Sustainability 2024, 16, 2398. [Google Scholar] [CrossRef]
- Han, S.; Yao, R.; Li, N. The development of energy conservation policy of buildings in China: A comprehensive review and analysis. J. Build. Eng. 2021, 38, 102229. [Google Scholar] [CrossRef]
- de Rubeis, T.; Ciccozzi, A.; Giusti, L.; Ambrosini, D. The 3D Printing Potential for Heat Flow Optimization: Influence of Block Geometries on Heat Transfer Processes. Sustainability 2022, 14, 15830. [Google Scholar] [CrossRef]
- Hou, Q.; Xu, W.; Zhang, Z.; Wang, Y.; Zhang, H.; Tao, J. Research on the Optimisation of Dual-Heat-Source Heating Systems in Nearly Zero-Energy Buildings. Sustainability 2024, 16, 4516. [Google Scholar] [CrossRef]
- Huang, H.; Wang, H.; Hu, Y.-J.; Li, C.; Wang, X. The development trends of existing building energy conservation and emission reduction—A comprehensive review. Energy Rep. 2022, 8, 13170–13188. [Google Scholar] [CrossRef]
- Kang, Y.; Xu, W.; Wu, J.; Li, H.; Liu, R.; Lu, S.; Rong, X.; Xu, X.; Pang, F. Study on comprehensive whole life carbon emission reduction potential and economic feasibility impact based on progressive energy-saving targets: A typical renovated ultra-low energy office. J. Build. Eng. 2022, 58, 105029. [Google Scholar] [CrossRef]
- Zhong, Z.; Zhang, X.; Yang, X. Benefit evaluation of energy-saving and emission reduction in construction industry based on rough set theory. Ecol. Chem. Eng. S 2021, 28, 61–73. [Google Scholar] [CrossRef]
- Efficiency, C.A.o.B.E. China Building Energy Consumption and Carbon Emissions Annual Report 2023. Constr. Archit. 2024, 2, 46–59. [Google Scholar]
- Cao, X.; Dai, X.; Liu, J. Building energy-consumption status worldwide and the state-of-the-art technologies for zero-energy buildings during the past decade. Energy Build. 2016, 128, 198–213. [Google Scholar] [CrossRef]
- Jelle, B.P. Traditional, state-of-the-art and future thermal building insulation materials and solutions—Properties, requirements and possibilities. Energy Build. 2011, 43, 2549–2563. [Google Scholar] [CrossRef]
- Sadineni, S.B.; Madala, S.; Boehm, R.F. Passive building energy savings: A review of building envelope components. Renew. Sustain. Energ. Rev. 2011, 15, 3617–3631. [Google Scholar] [CrossRef]
- Kumar, D.; Alam, M.; Memon, R.A.; Bhayo, B.A. A critical review for formulation and conceptualization of an ideal building envelope and novel sustainability framework for building applications. Clean. Eng. Technol. 2022, 11, 100555. [Google Scholar] [CrossRef]
- Nardi, I.; Lucchi, E.; de Rubeis, T.; Ambrosini, D. Quantification of heat energy losses through the building envelope: A state-of-the-art analysis with critical and comprehensive review on infrared thermography. Build. Environ. 2018, 146, 190–205. [Google Scholar] [CrossRef]
- Tawil, H.; Tan, C.G.; Sulong, N.H.R.; Nazri, F.M.; Sherif, M.M.; El-Shafie, A. Mechanical and Thermal Properties of Composite Precast Concrete Sandwich Panels: A Review. Buildings 2022, 12, 1429. [Google Scholar] [CrossRef]
- Mugahed Amran, Y.H.; El-Zeadani, M.; Huei Lee, Y.; Yong Lee, Y.; Murali, G.; Feduik, R. Design innovation, efficiency and applications of structural insulated panels: A review. Structures 2020, 27, 1358–1379. [Google Scholar] [CrossRef]
- Kermani, A. Performance of structural insulated panels. Proc. Inst. Civ. Eng. Struct. Build. 2006, 159, 13–19. [Google Scholar] [CrossRef]
- Xue, W.; Fu, K.; Li, X. Accelerated aging tests for evaluation of shear behavior of FRP connectors in precast sandwich insulation wall panels. Build. Struct. 2012, 42, 106–108+118. [Google Scholar]
- Xue, W.; Fu, K.; Qin, H. Accelerated aging tests of tensile strength of FRP connectors in precast concrete sandwich wall panels. J. Build. Mater. 2014, 17, 420–424. [Google Scholar]
- Xue, W.; Yang, J.; Wang, J. Pull-out tests for evaluations of anti-pulling behavior of FRP connectors in precast sandwich insulation wall panels. Fiber Reinf. Plast. Compos. 2012, 4, 55–59. [Google Scholar]
- Yang, J.; Xue, W.; Li, X. Mechanical properties test of FRP connectors in precast sandwich insulation wall panels. J. Jiangsu Univ. (Nat. Sci. Ed.) 2013, 34, 723–729. [Google Scholar]
- Lameiras, R.; Barros, J.A.O.; Valente, I.B.; Poletti, E.; Azevedo, M.; Azenha, M. Seismic behaviour of precast sandwich wall panels of steel fibre reinforced concrete layers and fibre reinforced polymer connectors. Eng. Struct. 2021, 237, 112149. [Google Scholar] [CrossRef]
- Lipczynska, J.; West, R.P.; Grimes, M.; Niall, D.; Kinnane, O.; O’Hegarty, R. Composite behaviour of wide sandwich panels with thin high performance recycled aggregate concrete wythes with fibre reinforced polymer shear connectors. J. Struct. Integr. Maint. 2021, 6, 187–196. [Google Scholar] [CrossRef]
- Mastali, M.; Valente, I.B.; Barros, J.A. Flexural performance of innovative hybrid sandwich panels with special focus on the shear connection behavior. Compos. Struct. 2017, 160, 100–117. [Google Scholar] [CrossRef]
- Aditya, L.; Mahlia, T.M.I.; Rismanchi, B.; Ng, H.M.; Hasan, M.H.; Metselaar, H.S.C.; Muraza, O.; Aditiya, H.B. A review on insulation materials for energy conservation in buildings. Renew. Sustain. Energ. Rev. 2017, 73, 1352–1365. [Google Scholar] [CrossRef]
- Dong, X.; Lu, Y.; Xiao, H.; Liao, J. Effects of various connectors on the whole-life-cycle energy consumption of sandwich wall panels in five thermal zones of China. Energy Build. 2023, 280, 112733. [Google Scholar] [CrossRef]
- Yu, S.; Liu, Y.; Wang, D.; Ma, C.; Liu, J. Theoretical, experimental and numerical study on the influence of connectors on the thermal performance of precast concrete sandwich walls. J. Build. Eng. 2022, 57, 104886. [Google Scholar] [CrossRef]
- Kim, Y.J.; Allard, A. Thermal response of precast concrete sandwich walls with various steel connectors for architectural buildings in cold regions. Energy Build. 2014, 80, 137–148. [Google Scholar] [CrossRef]
- Zhai, X.; Wang, Y.; Wang, X. Thermal performance of precast concrete sandwich walls with a novel hybrid connector. Energy Build. 2018, 166, 109–121. [Google Scholar] [CrossRef]
- Bida, S.M.; Abdul Aziz, F.N.A.; Jaafar, M.S.; Hejazi, F.; Abu Bakar, N. Thermal Resistance of Insulated Precast Concrete Sandwich Panels. Int. J. Concr. Struct. Mater. 2021, 15, 41. [Google Scholar] [CrossRef]
- O’Hegarty, R.; Reilly, A.; West, R.; Kinnane, O. Thermal investigation of thin precast concrete sandwich panels. J. Build. Eng. 2020, 27, 100937. [Google Scholar] [CrossRef]
- Sheng, Y.; Miao, Z.; Zhang, J.; Lin, X.; Ma, H. Energy consumption model and energy benchmarks of five-star hotels in China. Energy Build. 2018, 165, 286–292. [Google Scholar] [CrossRef]
- Zhou, S.; Zhao, J. Optimum combinations of building envelop energy-saving technologies for office buildings in different climatic regions of China. Energy Build. 2013, 57, 103–109. [Google Scholar] [CrossRef]
- Liu, Y.; Zou, S.; Chen, H.; Wu, X.; Chen, W. Simulation Analysis and Scheme Optimization of Energy Consumption in Public Buildings. Adv. Civ. Eng. 2019, 2019, 6326138. [Google Scholar] [CrossRef]
- Ma, H.; Du, N.; Yu, S.; Lu, W.; Zhang, Z.; Deng, N.; Li, C. Analysis of typical public building energy consumption in northern China. Energy Build. 2017, 136, 139–150. [Google Scholar] [CrossRef]
- Zhou, X.; Yan, D.; An, J.; Hong, T.; Shi, X.; Jin, X. Comparative study of air-conditioning energy use of four office buildings in China and USA. Energy Build. 2018, 169, 344–352. [Google Scholar] [CrossRef]
- Nyme Uddin, M.; Jahan Ruva, I.; Abu Syed, M.; Hossain, D.; Akter, R.; Tamanna, N.; Rahman, A.; Saka, A. Occupant centric energy renovation strategy for hospital and restaurant building envelop using distinct modellingtools: A case study from low-income cultural context. Energy Build. 2022, 272, 112338. [Google Scholar] [CrossRef]
- Akan, A.E. Determination and Modeling of Optimum Insulation Thickness for Thermal Insulation of Buildings in All City Centers of Turkey. Int. J. Thermophys. 2021, 42, 49. [Google Scholar] [CrossRef]
- Altun, A.F. Determination of Optimum Building Envelope Parameters of a Room concerning Window-to-Wall Ratio, Orientation, Insulation Thickness and Window Type. Buildings 2022, 12, 383. [Google Scholar] [CrossRef]
- Atmaca, A.B.; Zorer Gedik, G.; Wagner, A. Determination of Optimum Envelope of Religious Buildings in Terms of Thermal Comfort and Energy Consumption: Mosque Cases. Energies 2021, 14, 6597. [Google Scholar] [CrossRef]
- Luo, X.; Chen, Q.; Deng, C.; Luo, W.; He, Y. Low-Cyclic Reversed Loading Tests on Full-Scale Precast Concrete Composite Wall Connected by Tooth Groove and Grouted Sleeve. Materials 2024, 17, 476. [Google Scholar] [CrossRef] [PubMed]
- Evangelisti, L.; Scorza, A.; De Lieto Vollaro, R.; Sciuto, S.A. Comparison between Heat Flow Meter (HFM) and Thermometric (THM) Method for Building Wall Thermal Characterization: Latest Advances and Critical Review. Sustainability 2022, 14, 693. [Google Scholar]
- Evangelisti, L.; Barbaro, L.; De Cristo, E.; Guattari, C.; D’Orazio, T. Towards an improved thermometric method: Convective and radiative heat transfer for heat flux measurement through an indirect approach. Therm. Sci. Eng. Prog. 2024, 49, 102479. [Google Scholar]
- Bienvenido-Huertas, D. Assessing the Environmental Impact of Thermal Transmittance Tests Performed in Façades of Existing Buildings: The Case of Spain. Sustainability 2020, 12, 6247. [Google Scholar] [CrossRef]
- Asdrubali, F.; Baldinelli, G. Thermal transmittance measurements with the hot box method: Calibration, experimental procedures, and uncertainty analyses of three different approaches. Energy Build. 2011, 43, 1618–1626. [Google Scholar]
- Shen, Z.; Brooks, A.L.; He, Y.; Shrestha, S.S.; Zhou, H. Evaluating dynamic thermal performance of building envelope components using small-scale calibrated hot box tests. Energy Build. 2021, 251, 111342. [Google Scholar]
- Wang, Y.; Wu, X.; Yang, X.; Owens, G.; Xu, H. Reversing heat conduction loss: Extracting energy from bulk water to enhance solar steam generation. Nano Energy 2020, 78, 105269. [Google Scholar] [CrossRef]
- Fang, R.; He, Y.; Li, Z.; Lu, H.; Zhao, Y. Analysis on heat flux delay effect of track slab temperature model in high temperature season. J. East China Jiaotong Univ. 2022, 39, 31–36. [Google Scholar]
- Hao, H.; Li, J.; Zhang, T.; Ruan, W. Design of ka-band linear tapered slot antennas based on substrate integrated waveguide feed. J. Electron. Inf. Technol. 2020, 42, 582–588. [Google Scholar]
- Zhang, S.; Zhu, N.; Lv, S. Human response and productivity in hot environments with directed thermal radiation. Build. Environ. 2021, 187, 107408. [Google Scholar] [CrossRef]
- Ellzey, J.L.; Belmont, E.L.; Smith, C.H. Heat recirculating reactors: Fundamental research and applications. Prog. Energy Combust. Sci. 2019, 72, 32–58. [Google Scholar] [CrossRef]
- GB 50176-2016; Code for Thermal Design of Civil Building. China Architecture & Building Press: Beijing, China, 2016.
- Lee, B.-J.; Pessiki, S. Thermal behavior of precast prestressed concrete three-wythe sandwich wall panels. In Building Integration Solutions; ASCE Press: Reston, VA, USA, 2006; pp. 1–15. [Google Scholar]
- Ruiz, G.; Bandera, C. Validation of Calibrated Energy Models: Common Errors. Energies 2017, 10, 1587. [Google Scholar] [CrossRef]
- Sun, H.; Leng, M. Analysis on building energy performance of Tibetan traditional dwelling in cold rural area of Gannan. Energy Build. 2015, 96, 251–260. [Google Scholar] [CrossRef]
- Yan, D.; Xia, J.; Tang, W.; Song, F.; Zhang, X.; Jiang, Y. DeST—An integrated building simulation toolkit Part I: Fundamentals. Build. Simul. 2008, 1, 95–110. [Google Scholar] [CrossRef]
- JGJ 134-2010; Design Standard for Energy Efficiency of Residential Buildings in Hot Summer and Cold Winter Zone. Ministry of Housing and Urban-Rural Development of the People’s Republic of China: Beijing, China, 2010.
- DBJ43/T025-2022; Design Standard for Energy Efficiency of Residential Buildings in Hunan Province. Department of Housing and Urban-Rural Development of Hunan Province: Changsha, China, 2022.
- JGJ 26-2018; Design Standard for Energy Efficiency of Residential Buildings in Severe Cold and Cold Zones. Ministry of Housing and Urban-Rural Development of the People’s Republic of China: Beijing, China, 2018.
- DB23/1270-2019; Design Standard for Energy Efficiency of Residential Buildings in Heilongjiang Province. Department of Housing and Urban-Rural Development of Heilongjiang: Harbin, China, 2019.























| Specimen | Insulation Form | Insulation Material | Insulation Layer Thickness/mm |
|---|---|---|---|
| TP-1 | External insulation | XPS | 40 |
| TP-2 | XPS | 80 | |
| TP-3 | Perlite foam concrete | 40 | |
| TP-4 | Perlite foam concrete | 80 | |
| TP-5 | Foamed concrete | 40 | |
| TP-6 | Foamed concrete | 80 | |
| TP-7 | Sandwich insulation | XPS | 100 |
| TP-8 | Perlite foam concrete | 100 | |
| TP-9 | No insulation | - | - |
| Specimen | Insulation Form | Experimental Value/[W/(m2·K)] |
|---|---|---|
| TP-1 | External insulation | 0.67 |
| TP-2 | 0.35 | |
| TP-3 | 1.96 | |
| TP-4 | 1.34 | |
| TP-5 | 1.73 | |
| TP-6 | 1.31 | |
| TP-7 | Sandwich insulation | 2.45 |
| TP-8 | 3.01 | |
| TP-9 | No insulation | 3.81 |
| Material | Density/(kg/m3) | Thermal Conductivity/(W/(m⋅K)) | Specific Heat Capacity/(kJ/(kg⋅K)) |
|---|---|---|---|
| Concrete | 2500 | 1.74 | 0.92 |
| Rebar | 7850 | 58.2 | 0.48 |
| XPS | 35 | 0.030 | 1.38 |
| Perlite particle foam | 400 | 0.16 | 1.17 |
| Foamed concrete | 500 | 0.14 | 1.05 |
| EPS | 20 | 0.039 | 1.38 |
| Specimen | Insulation Form | Experimental Value/[W/(m2·K)] | Numerical Value/[W/(m2·K)] | Error |
|---|---|---|---|---|
| TP-1 | External insulation | 0.67 | 0.64 | 4.47% |
| TP-2 | 0.35 | 0.34 | 2.85% | |
| TP-3 | 1.96 | 2.07 | 5.61% | |
| TP-4 | 1.34 | 1.36 | 1.49% | |
| TP-5 | 1.73 | 1.95 | 12.7% | |
| TP-6 | 1.31 | 1.26 | 3.82% | |
| TP-7 | Sandwich insulation | 2.45 | 2.38 | 2.86% |
| TP-8 | 3.01 | 2.91 | 3.32% | |
| TP-9 | No insulation | 3.81 | 3.75 | 1.57% |
| Index | Formula | Parameter Value | Calculated Value |
|---|---|---|---|
| MBE (Mean Bias Error) | n = 9 | −0.003 | |
| NMBE (Normalized Mean Bias Error) | n = 9, p = 0 | −0.18% | |
| CV(RMSE) (Coefficient of Variation of the Root Mean Square Error) | n = 9, p = 1 | 5.6% | |
| (coefficient of determination) | n = 9 | 0.99 |
| Room Type | Metabolic Heat Generation per Person/W | Illumination Power/(W/m2) | Equipment Power/(W/m2) | Number of Personnel |
|---|---|---|---|---|
| Bedroom | 53 | 5 | 3.8 | 4 |
| Bathroom | 60 | 5 | 10 | 0 |
| Staircase | 53 | 5 | 3.8 | 1 |
| Utility room | 53 | 5 | 12 | 1 |
| Conditions | City | Thickness of Exterior Wall Insulation Layer (XPS)/mm | Thickness of Interior Wall Sandwich Insulation Layer (XPS)/mm | Width of Interior Wall Ribs/mm | The Rest of the Envelope |
|---|---|---|---|---|---|
| 1–11 | Changsha | 0–100 | 0 | - | Program default setting |
| 12–18 | Changsha | 50 | 0–200 | 150 | Program default setting |
| 19–21 | Changsha | 50 | 100 | 100–250 | Program default setting |
| 22–32 | Harbin | 0–100 | 0 | - | Program default setting |
| 33–39 | Harbin | 80 | 0–200 | 150 | Program default setting |
| 40–42 | Harbin | 80 | 100 | 100–250 | Program default setting |
Disclaimer/Publisher’s Note: The statements, opinions and data contained in all publications are solely those of the individual author(s) and contributor(s) and not of MDPI and/or the editor(s). MDPI and/or the editor(s) disclaim responsibility for any injury to people or property resulting from any ideas, methods, instructions or products referred to in the content. |
© 2024 by the authors. Licensee MDPI, Basel, Switzerland. This article is an open access article distributed under the terms and conditions of the Creative Commons Attribution (CC BY) license (https://creativecommons.org/licenses/by/4.0/).
Share and Cite
Luo, X.; Xu, D.; Bing, Y.; He, Y.; Chen, Q. Thermal Performance and Building Energy Simulation of Precast Insulation Walls in Two Climate Zones. Buildings 2024, 14, 2612. https://doi.org/10.3390/buildings14092612
Luo X, Xu D, Bing Y, He Y, Chen Q. Thermal Performance and Building Energy Simulation of Precast Insulation Walls in Two Climate Zones. Buildings. 2024; 14(9):2612. https://doi.org/10.3390/buildings14092612
Chicago/Turabian StyleLuo, Xiaoyong, Dudu Xu, Yiwen Bing, Yang He, and Qi Chen. 2024. "Thermal Performance and Building Energy Simulation of Precast Insulation Walls in Two Climate Zones" Buildings 14, no. 9: 2612. https://doi.org/10.3390/buildings14092612
APA StyleLuo, X., Xu, D., Bing, Y., He, Y., & Chen, Q. (2024). Thermal Performance and Building Energy Simulation of Precast Insulation Walls in Two Climate Zones. Buildings, 14(9), 2612. https://doi.org/10.3390/buildings14092612

