Experimental and Theoretical Study on Tensile Mechanical Properties of GFRP–Steel Composite Bars
Abstract
1. Introduction
2. Experimental Program
2.1. Materials and Specimens
- (1)
- Fabricate a steel sleeve with a length of 250 mm and an inner diameter larger than the diameter of the composite bar by 6 mm.
- (2)
- Inject an adhesive (Sikadur-330CN gel) into the steel sleeve until it fills the steel sleeve.
- (3)
- Insert the composite bar vertically into the center of the steel sleeve and remove any excess adhesive overflowing from the steel sleeve.
- (4)
- Reinforce the other end in the same manner once the adhesive is cured completely.
2.2. Test Methods
3. Results and Discussions
3.1. Tensile Failure Mode
- (1)
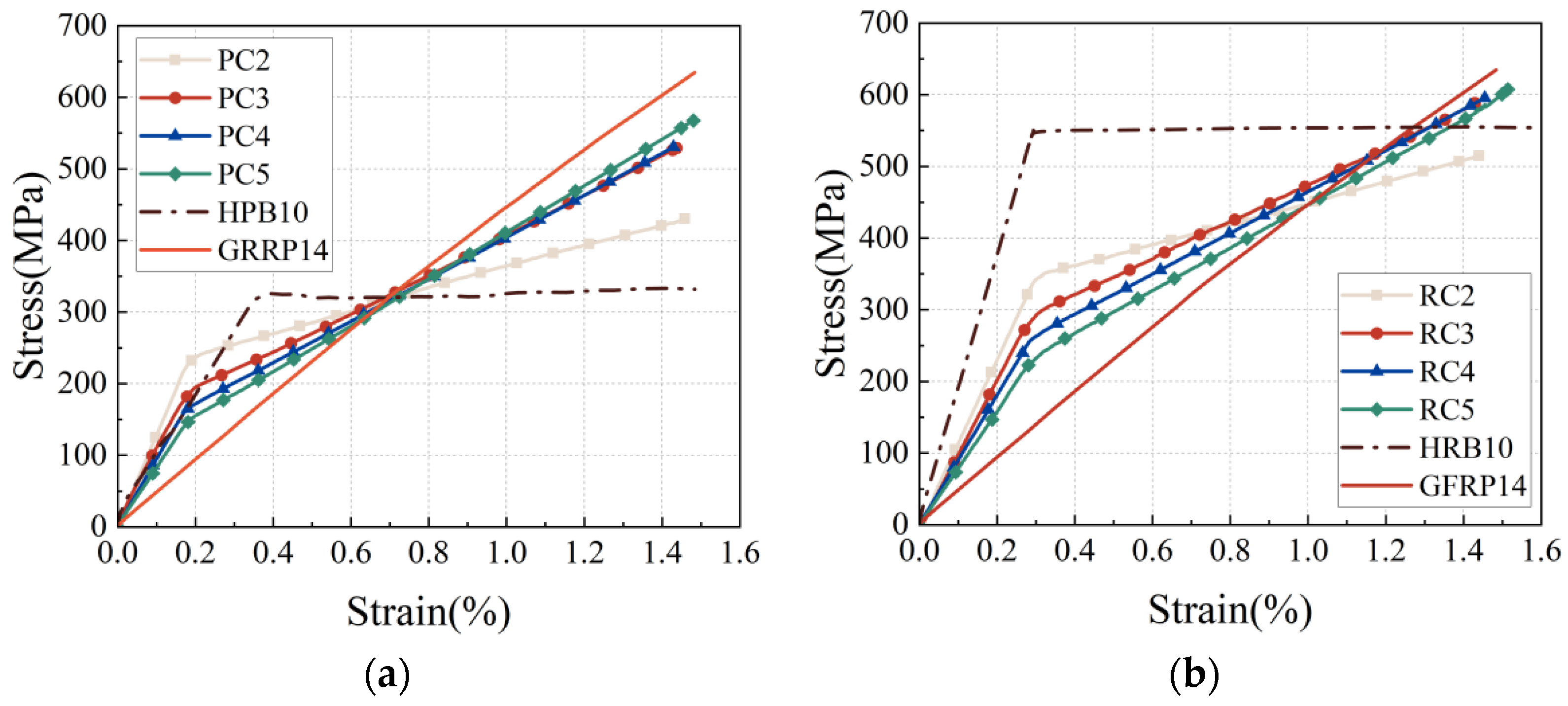
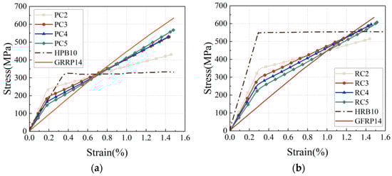
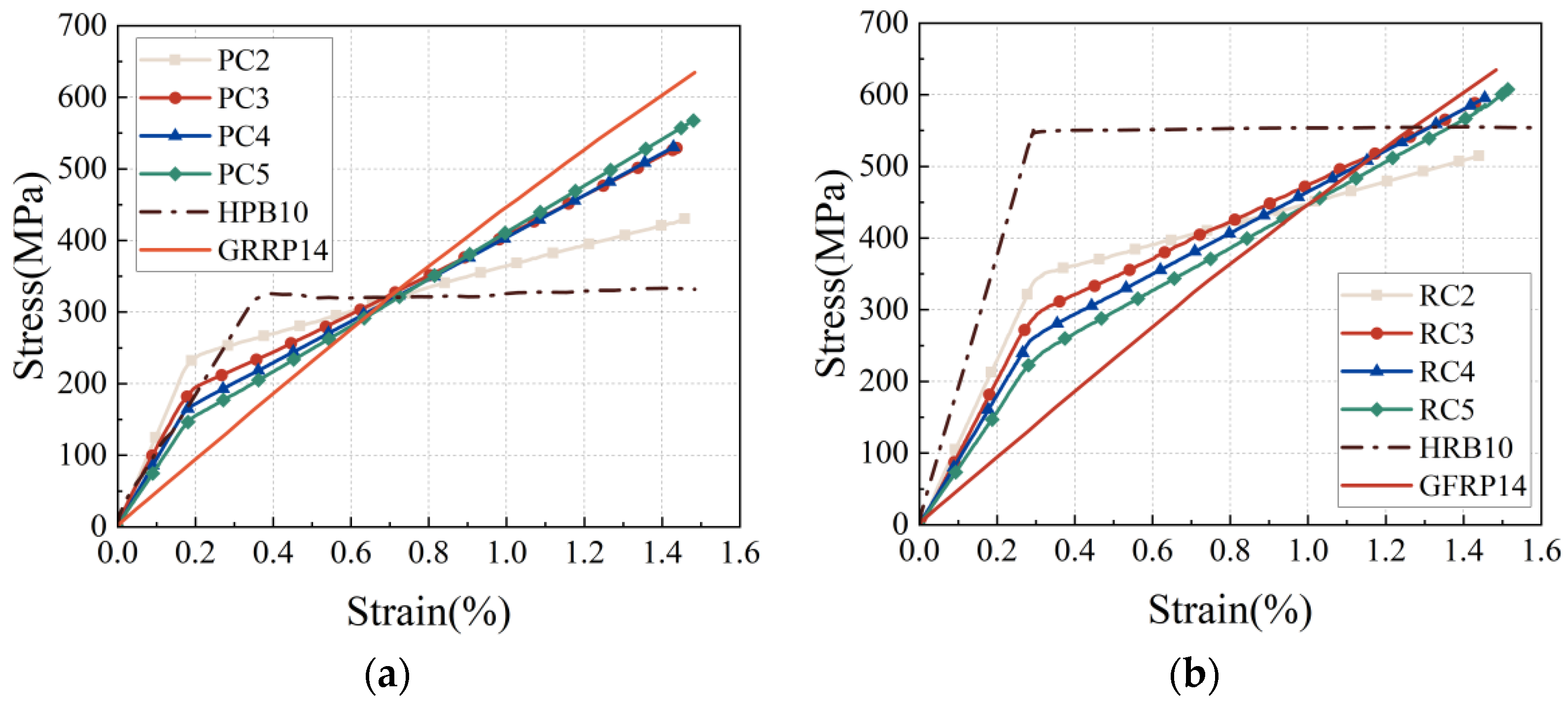
- Elastic stage: The inner steel bars and external GFRP layer deform cooperatively, sharing the tensile load. The deformation of the composite bars increases at a relatively uniform rate with a gradual increase in the applied tensile load.
- (2)
- Elastic–plastic hardening stage after the inner steel bars of the composite bars yield: As the tensile load continues to increase until it reaches the yield strength of the inner steel bars, the inner steel bars can no longer bear the increase in the tensile load [16], and the increase in the tensile load is borne by the external GFRP layer. In the elastic–plastic hardening stage, the composite bar deformation exhibits a faster growth rate than that in the elastic stage.
- (3)
- Evolution stage of the composite bar failure: A slight sound from the fiber bundle fracture is emitted at a weak cross-section of the specimen once the tensile load causes the composite bars to reach their maximum tensile strength. Subsequently, the external GFRP layer undergoes fracture at the weak cross-section of the working section, indicating the beginning of the evolution stage of the composite bar failure. At this point, the load decreases sharply until the composite bars reach the final failure state.
3.2. Stress–Strain Curve Analysis
3.3. Initial Tensile Elastic Modulus
3.4. Nominal Tensile Yield Strength
3.5. Tangent Modulus of the Hardening Stage
3.6. Ultimate Tensile Strength
4. Tensile Constitutive Model of GFRP–Steel Composite Bars
4.1. Stress–Strain Constitutive Model
4.2. Analysis of Theoretical Calculation Results
5. Conclusions
- (1)
- During the tensile process until failure, the composite bars underwent three stages: elasticity, hardening, and failure. The failure started with a sudden fracture of the external GFRP layer. The final failure modes are different for the PC and RC composite bars. The failure mode of the RC composite bars is fracturing, while the final failure mode of the PC composite bars is relative slippage for the weaker interfacial bonding force between the external GFRP layer and HPB300 steel bars.
- (2)
- When composite bars are used as longitudinal tensile bars, the thickness of the external GFRP layer should be as small as possible, while also ensuring that the composite bars have a good initial elastic modulus and durability. However, the designed thickness of the external GFRP layer for the composite bars should not be less than 2 mm because the misalignment of the inner steel bars caused by manufacturing process defects can have a highly detrimental effect on the tangent modulus of the hardening stage and ultimate tensile strength.
- (3)
- This study established a constitutive model for the stress–strain behavior of composite bars, which aligns well with the stress–strain obtained from the tests.
6. Future Research Prospects
- (1)
- This paper studied the basic mechanical properties of composite bars in normal environments. Corrosion resistance is a particularly prominent feature of composite bars. Future studies can investigate the changes in basic mechanical properties of composite bars under harsh environmental conditions.
- (2)
- This paper studied composite bars with GFRP as the external layer. Future research can investigate the basic mechanical properties of composite bars using other fiber materials as the external layer, such as BFRP, CFRP, and hybrid fiber.
- (3)
- In practical engineering, structures are often subjected to repeated loads, and this paper only studied the effects of axial tensile loads. Therefore, it is necessary to study the mechanical behavior of composite bars under repeated tensile loading.
Author Contributions
Funding
Data Availability Statement
Conflicts of Interest
References
- Poursaee, A. Corrosion of Steel in Concrete Structures; Woodhead Publishing: Sawston, UK, 2016. [Google Scholar] [CrossRef]
- Bhargava, K.; Ghosh, A.K.; Mori, Y.; Ramanujam, S. Model for cover cracking due to rebar corrosion in RC structures. Eng. Struct. 2006, 28, 1093–1109. [Google Scholar] [CrossRef]
- Triantafyllou, G.G.; Rousakis, T.C.; Karabinis, A.I. Effect of patch repair and strengthening with EBR and NSM CFRP laminates for RC beams with low, medium and heavy corrosion. Compos. Part B Eng. 2018, 133, 101–111. [Google Scholar] [CrossRef]
- Xiong, Z.; Mai, G.; Pan, Z.; Chen, Z.; Jian, J.; Wang, D.; Ling, Z.; Li, L. Synergistic effect of expansive agents and glass fibres on fatigue bending performance of seawater sea sand concrete. Constr. Build. Mater. 2024, 421, 135665. [Google Scholar] [CrossRef]
- Zhen, H.; Xiong, Z.; Song, Y.; Li, L.; Qiu, Y.; Zou, X.; Chen, B.; Chen, D.; Liu, F.; Ji, Y. Early mechanical performance of glass fibre-reinforced manufactured sand concrete. J. Build. Eng. 2024, 83, 108440. [Google Scholar] [CrossRef]
- Moodley, H.; Afshan, S.; Crump, D.; Kashani, M.M. Testing and numerical modelling of circular stainless steel reinforced concrete columns. Eng. Struct. 2024, 304, 117607. [Google Scholar] [CrossRef]
- Liu, Z.; Wang, H.; Yang, L.; Du, J. Research on mechanical properties and durability of flax/glass fiber bio-hybrid FRP composites laminates. J. Compos. Struct. 2022, 290, 115566. [Google Scholar] [CrossRef]
- Zhu, H.; Xiong, Z.; Song, Y.; Zhou, K.; Su, Y. Effect of Expansion Agent and Glass Fiber on the Dynamic Splitting Tensile Properties of Seawater–Sea-Sand Concrete. Buildings 2024, 14, 217. [Google Scholar] [CrossRef]
- Guo, R.; Xian, G.; Li, C.; Huang, X.; Xin, M. Effect of fiber hybridization types on the mechanical properties of carbon/glass fiber reinforced polymer composite rod. J. Mech. Adv. Mater. Struct. 2022, 29, 6288–6300. [Google Scholar] [CrossRef]
- Guo, R.; Xian, G.; Li, C.; Hong, B.; Huang, X.; Xin, M.; Huang, S. Water uptake and interfacial shear strength of carbon/glass fiber hybrid composite rods under hygrothermal environments: Effects of hybrid modes. J. Polym. Degrad. Stab. 2021, 193, 109723. [Google Scholar] [CrossRef]
- Zhang, M.; Guan, Z.; Ren, Y.; Wang, H. Multi-scale study on the mechanical properties of pultruded GFRP laminates. J. Fibers Polym. 2023, 24, 2133–2146. [Google Scholar] [CrossRef]
- Wu, G.; Ren, Y.; Du, J.; Wang, H.; Zhang, X. Mechanical properties and failure mechanism analysis of basalt-glass fibers hybrid FRP composite bars. Case Stud. Constr. Mater. 2023, 19, e02391. [Google Scholar] [CrossRef]
- Saxena, M.; Pappu, A.; Sharma, A.; Haque, R.; Wankhede, S. Composite Materials from Natural Resources: Recent Trends and Future Potentials; IntechOpen: London, UK, 2011. [Google Scholar] [CrossRef]
- Pleimann, L.G. Strength, Modulus of Elasticity, and Bond of Deformed FRP Rods. In Advanced Composites Materials in Civil Engineering Structures; ASCE: Reston, VA, USA, 1991; pp. 99–110. [Google Scholar]
- Guo, J.; Chan, T.-M.; Wang, Y. Test, modelling and design of a demountable stainless steel bar connection system for precast concrete pavements. Eng. Struct. 2023, 301, 117231. [Google Scholar] [CrossRef]
- Xu, J.; Wu, Z.; Cao, Q.; Yu, R.C. Eccentric compression behavior of seawater and sea sand concrete columns reinforced with GFRP and stainless steel bars. Eng. Struct. 2023, 291, 116486. [Google Scholar] [CrossRef]
- Aihua, L.; VandenBerg, G. A study and research of stainless steel in concrete structure. Archit. Technol. 2000, 2, 105–107. [Google Scholar] [CrossRef]
- Wu, G.; Sun, Z.Y.; Wu, Z.S.; Luo, Y.B. Mechanical Properties of Steel-FRP Composite Bars (SFCBs) and Performance of SFCB Reinforced Concrete Structures. Adv. Struct. Eng. 2012, 15, 625–636. [Google Scholar] [CrossRef]
- Sun, Z.-Y.; Wu, G.; Wu, Z.-S.; Zhang, J. Nonlinear Behavior and Simulation of Concrete Columns Reinforced by Steel-FRP Composite Bars. J. Bridge Eng. 2013, 19, 220–234. [Google Scholar] [CrossRef]
- Nanni, A.; Henneke, M.J.; Okamoto, T. Tensile properties of hybrid rods for concrete reinforcement. Constr. Build. Mater. 1994, 8, 27–34. [Google Scholar] [CrossRef]
- Saikia, B.; Thomas, J.; Ramaswamy, A.; Rao, K.S.N. Performance of hybrid rebars as longitudinal reinforcement in normal strength concrete. Mater. Struct. 2005, 38, 857–864. [Google Scholar] [CrossRef]
- Seo, D.W.; Park, K.T.; You, Y.J.; Lee, S.Y. Experimental investigation for tensile performance of GFRP-Steel hybridized rebar. Adv. Mater. Sci. Eng. 2016, 2016, 9401427. [Google Scholar] [CrossRef]
- Han, S.; Zhou, A.; Ou, J. Relationships between interfacial behavior and flexural performance of hybrid steel-FRP composite bars reinforced seawater sea-sand concrete beams. Compos. Struct. 2021, 277, 114672. [Google Scholar] [CrossRef]
- Tang, Y.; Sun, Z.; Wu, G. Compressive Behavior of Sustainable Steel-FRP Composite Bars with Different Slenderness Ratios. Sustainability 2019, 11, 1118. [Google Scholar] [CrossRef]
- Ge, W.; Chen, K.; Guan, Z.; Ashour, A.; Lu, W.; Cao, D. Eccentriccompression behaviour of concrete columns reinforced with steel-FRP composite bars. Eng. Struct. 2021, 238, 112240. [Google Scholar] [CrossRef]
- Zhou, Y.; Zheng, Y.; Pan, J.; Sui, L.; Xing, F.; Sun, H.; Li, P. Experimental investigations on corrosion resistance of innovative steel-FRP composite bars using X-ray microcomputed tomography. Compos. B Eng. 2019, 161, 272–284. [Google Scholar] [CrossRef]
- Li, H.; Liu, F.; Pan, Z.; Li, H.; Wu, Z.; Li, L.; Xiong, Z. Use of supplementary cementitious materials in seawater–sea sand concrete: State-of-the-art review. Constr. Build. Mater. 2024, 425, 136009. [Google Scholar] [CrossRef]
- Zhao, D.; Pan, J.; Zhou, Y.; Sui, L.; Ye, Z. New types of steel-FRP composite bar with round steel bar inner core: Mechanical properties and bonding performances in concrete. Constr. Build. Mater. 2020, 242, 118062. [Google Scholar] [CrossRef]
- Zhang, T.; Gao, D. Tensile behavior analysis and prediction of steel fiber-reinforced-carbon/glass hybrid composite bars. J. Build. Eng. 2022, 64, 105669. [Google Scholar] [CrossRef]
- Cui, Y.; Noruziaan, B.; Lee, S.; Chang, M.; Tao, J. Hybrid high modulus and high toughness composite reinforcement. J. Compos. Mater. 2006, 23, 93–98. [Google Scholar] [CrossRef]
- Dhakal, R.P.; Maekawa, K. Modeling for postyield buckling of reinforcement. J. Struct. Eng. 2002, 128, 1139–1147. [Google Scholar] [CrossRef]
- Bae, S.; Mieses, A.M.; Bayrak, O. Inelastic buckling of reinforcing bars. J. Struct. Eng. 2005, 131, 314–321. [Google Scholar] [CrossRef]
- GB/T 30022-2013; Test Method for Basic Mechanical Properties of Fiber Reinforced Polymer Bar. Standardization Administration of China: Beijing, China, 2013.
- GB/T 228.1-2021; Metallic Materials-Tensile Testing Part 1: Method of Test at Room Temperature. Standardization Administration of China: Beijing, China, 2021.
- Khani, M.; Materzok, T.; Eslami, H.; Gorb, S.; Müller-Plathe, F. Water uptake by gecko β-keratin and the influence of relative humidity on its mechanical and volumetric properties. J. R. Soc. Interface 2022, 19, 372. [Google Scholar] [CrossRef]
- Pan, Z.; Liu, F.; Li, H.; Li, X.; Wang, D.; Ling, Z.; Zhu, H.; Zhu, Y. Performance Evaluation of Thermal Insulation Rubberized Mortar Modified by Fly Ash and Glass Fiber. Buildings 2024, 14, 221. [Google Scholar] [CrossRef]












| Materials | Diameter (mm) | Tensile Yield Strength (MPa) | Tensile Elastic Modulus (Gpa) | Tensile Strength (Mpa) |
|---|---|---|---|---|
| HPB300 | 10 | 324.58 | 191.64 | 427.81 |
| HRB400 | 10 | 552.87 | 185.71 | 623.89 |
| GFRP | 14 | \ | 43.08 | 637.92 |
| Test Type | Group | Inner Steel Bar | t (mm) | Number |
|---|---|---|---|---|
| Tensile test | PC2 | HPB300 | 2 | 4 |
| PC3 | HPB300 | 3 | 4 | |
| PC4 | HPB300 | 4 | 4 | |
| PC5 | HPB300 | 5 | 4 | |
| RC2 | HRB400 | 2 | 4 | |
| RC3 | HRB400 | 3 | 4 | |
| RC4 | HRB400 | 4 | 4 | |
| RC5 | HRB400 | 5 | 4 |
| Specimen | EI (GPa) | EII (GPa) | fy (MPa) | fu (MPa) |
|---|---|---|---|---|
| PC14-1 | 119.13 | 16.89 | 230.01 | 430.12 |
| PC14-2 | 120.03 | 15.9 | 241.16 | 423.18 |
| PC14-3 | 123.76 | 15.33 | 243.49 | 434.23 |
| PC14-4 | 121.87 | 15.52 | 227.59 | 432.92 |
| Average | 121.19 | 15.91 | 235.56 | 430.11 |
| Standard deviation | 1.78 | 0.6 | 6.87 | 4.27 |
| PC16-1 | 97.84 | 26.05 | 201.43 | 524.34 |
| PC16-2 | 99.5 | 27.84 | 197.89 | 511.92 |
| PC16-3 | 102.41 | 27.72 | 198.36 | 560.78 |
| PC16-4 | 101.25 | 27.75 | 200.56 | 532.36 |
| Average | 100.25 | 27.34 | 199.56 | 532.35 |
| Standard deviation | 1.73 | 0.75 | 1.48 | 17.96 |
| PC18-1 | 91.18 | 29.62 | 170.04 | 556.1 |
| PC18-2 | 92.29 | 29.43 | 168.61 | 520.03 |
| PC18-3 | 90.02 | 28.81 | 172.65 | 514.32 |
| PC18-4 | 91.15 | 29.38 | 173.1 | 530.15 |
| Average | 91.16 | 29.31 | 171.1 | 530.15 |
| Standard deviation | 0.8 | 0.3 | 1.85 | 16.02 |
| PC20-1 | 82.4 | 33.96 | 152.61 | 569.06 |
| PC20-2 | 79.2 | 31.29 | 152.84 | 562.89 |
| PC20-3 | 82.39 | 31.68 | 154.31 | 569.03 |
| PC20-4 | 82.65 | 33.63 | 155.92 | 567.54 |
| Average | 81.66 | 32.64 | 153.92 | 567.13 |
| Standard deviation | 1.42 | 1.17 | 1.33 | 2.52 |
| RC14-1 | 116.72 | 13.96 | 355.8 | 521.44 |
| RC14-2 | 119.04 | 16.95 | 348.08 | 540.38 |
| RC14-3 | 114.79 | 14.31 | 349.72 | 480.85 |
| RC14-4 | 115.53 | 15.14 | 351.32 | 515.53 |
| Average | 116.52 | 15.09 | 351.23 | 514.55 |
| Standard deviation | 1.61 | 1.16 | 2.88 | 21.51 |
| RC16-1 | 104.17 | 25.81 | 283.59 | 609.29 |
| RC16-2 | 102.14 | 25.71 | 280.97 | 570.32 |
| RC16-3 | 101.8 | 25.23 | 285.22 | 573.33 |
| RC16-4 | 100.05 | 25.57 | 283.22 | 585.66 |
| Average | 102.04 | 25.58 | 283.25 | 584.65 |
| Standard deviation | 1.46 | 0.22 | 1.52 | 15.34 |
| RC18-1 | 88.57 | 27.62 | 259.67 | 581.39 |
| RC18-2 | 90.49 | 28.04 | 255.67 | 603.12 |
| RC18-3 | 91.5 | 28.89 | 265.21 | 602.26 |
| RC18-4 | 90.61 | 28.27 | 253.37 | 594.3 |
| Average | 90.29 | 28.21 | 258.48 | 595.27 |
| Standard deviation | 1.07 | 0.46 | 4.49 | 8.72 |
| RC20-1 | 77.76 | 30.39 | 226.87 | 611.42 |
| RC20-2 | 76.56 | 30.12 | 224.47 | 610.99 |
| RC20-3 | 79.65 | 29.78 | 229.25 | 593.19 |
| RC20-4 | 78.67 | 30.22 | 230.09 | 611.88 |
| Average | 78.16 | 30.12 | 227.67 | 606.87 |
| Standard deviation | 1.14 | 0.22 | 2.19 | 7.9 |
| Specimen | εy (%) | εu (%) |
|---|---|---|
| HPB10 | 0.21 | 9.96 |
| HRB10 | 0.29 | 9.24 |
| GFRP10 | \ | 1.49 |
| Specimen | EI (GPa) | fy (MPa) | ||||
|---|---|---|---|---|---|---|
| Test Value | Theoretical Value | Error (%) | Test Value | Theoretical Value | Error (%) | |
| PC3 | 100.25 | 101.11 | −0.86 | 199.56 | 202.22 | −1.33 |
| PC4 | 91.16 | 88.93 | 2.44 | 171.1 | 177.86 | −3.95 |
| PC5 | 81.66 | 80.22 | 1.76 | 153.92 | 160.44 | −4.24 |
| RC3 | 102.04 | 98.79 | 3.18 | 283.25 | 296.38 | −4.64 |
| RC4 | 90.29 | 87.10 | 3.53 | 258.48 | 261.30 | −1.09 |
| RC5 | 78.16 | 78.74 | −0.74 | 227.67 | 236.21 | −3.75 |
| Average error (%) | 1.56 | Average error (%) | 3.17 | |||
| Specimen | EII (GPa) | fu (MPa) | ||||
|---|---|---|---|---|---|---|
| Test Value | Theoretical Value | Error (%) | Test Value | Theoretical Value | Error (%) | |
| PC3 | 27.22 | 26.25 | 3.56 | 532.35 | 540.87 | −1.60 |
| PC4 | 29.31 | 29.78 | −1.62 | 530.15 | 562.07 | −6.02 |
| PC5 | 32.64 | 32.31 | 1.01 | 567.13 | 577.24 | −1.78 |
| RC3 | 25.58 | 26.25 | −2.63 | 584.65 | 608.78 | −4.13 |
| RC4 | 28.21 | 29.78 | −5.58 | 595.27 | 615.73 | −3.44 |
| RC5 | 30.1 | 32.31 | −7.34 | 606.87 | 620.70 | −2.28 |
| Average error (%) | −2.10 | Average error (%) | −3.21 | |||
Disclaimer/Publisher’s Note: The statements, opinions and data contained in all publications are solely those of the individual author(s) and contributor(s) and not of MDPI and/or the editor(s). MDPI and/or the editor(s) disclaim responsibility for any injury to people or property resulting from any ideas, methods, instructions or products referred to in the content. |
© 2024 by the authors. Licensee MDPI, Basel, Switzerland. This article is an open access article distributed under the terms and conditions of the Creative Commons Attribution (CC BY) license (https://creativecommons.org/licenses/by/4.0/).
Share and Cite
Chen, W.; Zhen, H.; Liu, F.; Wu, B.; Li, H.; Wu, Z.; Huang, J.; Zhu, H.; Li, L.; Xiong, Z. Experimental and Theoretical Study on Tensile Mechanical Properties of GFRP–Steel Composite Bars. Buildings 2024, 14, 2513. https://doi.org/10.3390/buildings14082513
Chen W, Zhen H, Liu F, Wu B, Li H, Wu Z, Huang J, Zhu H, Li L, Xiong Z. Experimental and Theoretical Study on Tensile Mechanical Properties of GFRP–Steel Composite Bars. Buildings. 2024; 14(8):2513. https://doi.org/10.3390/buildings14082513
Chicago/Turabian StyleChen, Wei, Hao Zhen, Feng Liu, Baolong Wu, Hongming Li, Zhichao Wu, Jian Huang, Huanyu Zhu, Lijuan Li, and Zhe Xiong. 2024. "Experimental and Theoretical Study on Tensile Mechanical Properties of GFRP–Steel Composite Bars" Buildings 14, no. 8: 2513. https://doi.org/10.3390/buildings14082513
APA StyleChen, W., Zhen, H., Liu, F., Wu, B., Li, H., Wu, Z., Huang, J., Zhu, H., Li, L., & Xiong, Z. (2024). Experimental and Theoretical Study on Tensile Mechanical Properties of GFRP–Steel Composite Bars. Buildings, 14(8), 2513. https://doi.org/10.3390/buildings14082513

