Study on Deformation of New Tunnels Overcrossing Existing Tunnels Underneath Operating Railways
Abstract
1. Introduction
2. Project Overview
3. Numerical Simulation
3.1. Model Establishment
3.2. Calculation Parameters and Operating Conditions
4. Analysis of Calculation Results
4.1. Impact of New Tunnels on Operating Railways
4.2. Deformation of Existing Tunnels
5. Conclusions
- (1)
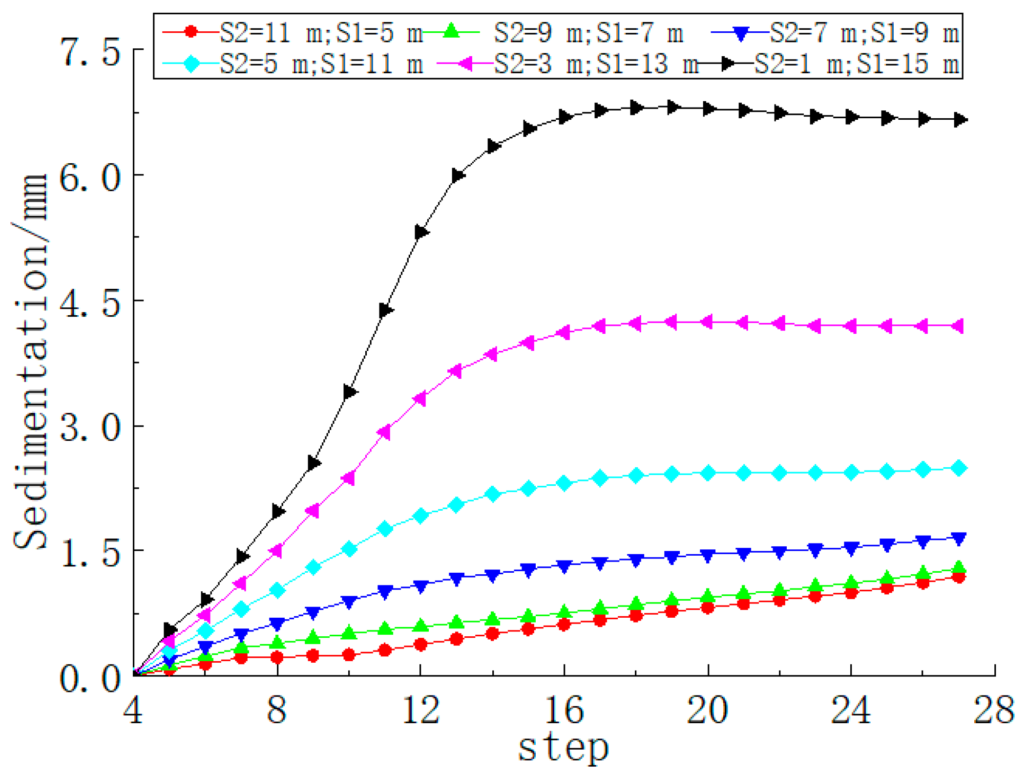
- The excavation of new shield tunnels can cause uneven deformation of adjacent existing tunnels and operating railways. In the burial depth range of 1 to 3D, the impact of the construction of a new shield tunnel on the deformation of existing tunnels and operating railways increases with the burial depth of the new tunnel.
- (2)
- After completion of new shield tunneling construction, both the operating railway and the existing tunnel exhibit maximum deformation at the intersection with the new tunnel, gradually decreasing from the center point toward both sides and following a normal distribution.
- (3)
- As construction of the new tunnel progresses, the settlement changes of the operating railways can be divided into three stages: the advanced-deformation stage, intensified-deformation stage, and slow-deformation stage. During excavation and construction of a new tunnel, the rate of change in the total displacement of the existing tunnel arch increases with the decrease in the value of S2.
- (4)
- For the existing tunnel, when the buried depth is shallow, the deformation of the second stage (strengthening deformation stage) constitutes 42.8% of the principal deformation. However, with the progressive increase in buried depth, the proportion of the first stage gradually rises and eventually reaches 70%. The principal deformation is concentrated in the first (advanced-deformation) and the second (strengthening deformation) stages, each accounting for approximately 40%, and the third stage merely accounts for approximately 13%.
Author Contributions
Funding
Data Availability Statement
Conflicts of Interest
References
- Jin, D.L.; Shen, X.; Yuan, D.J. Theoretical Analysis of Three-dimensional Ground is Placements Induced by Shield Tunneling. Appl. Math. Model. 2020, 79, 85–105. [Google Scholar] [CrossRef]
- Liang, R.Z. Simplified Analytical Method for Evaluating the Effects of Overcrossing Tunnelling on Existing Shield Tunnels Using the Nonlinear Pasternak foundation model. Soils Found. 2019, 59, 1711–1727. [Google Scholar] [CrossRef]
- Jin, D.L.; Yuan, D.J.; Li, X.G.; Zheng, H.T. Analysis of the Settlement of an Existing Tunnel Induced by Shield Tunneling Underneath. Tunn. Undergr. Space Technol. 2018, 81, 209–220. [Google Scholar] [CrossRef]
- Feng, G.H.; Xu, C.J.; Zheng, M.W. Study of Tunnel-soil Interaction Induced by Tunneling Underlying. Eng. Mech. 2023, 40, 59–68. [Google Scholar]
- Feng, G.H. Deformation Response Analysis on Existing Tunnel Caused by Shield Tunneling Underlying Considering Axial Internal Force. J. Southeast Univ. (Nat. Sci. Ed.) 2022, 53, 523–529. (In Chinese) [Google Scholar]
- He, J.; Yang, Z.; Zhang, X. Effect of Undercrossing Shield Tunnels Excavation on Existing Rectangular Pipe-Jacking Tunnels. Appl. Sci. 2023, 13, 12235. [Google Scholar] [CrossRef]
- Li, Y.; Bian, X.; Peng, H.; Zhu, B.; Zhou, Y. Additional Stress of Soil and Surface Settlement during Tunnel Shield Construction. Buildings 2023, 13, 1437. [Google Scholar] [CrossRef]
- Zhang, D.M.; Huang, Z.K.; Li, Z.L.; Zong, X.; Zhang, D.M. Analytical Solution for the Response of an Existing Tunnel to a New Tunnel Excavation Underneath. Comput. Geotech. 2018, 108, 197–211. [Google Scholar] [CrossRef]
- Ma, S.J.; Li, M.Y.; Jin, J.W.; Bai, K. The Influence of Shallow Buried Double-line Parallel Rectangular Pipe Jacking Construction on Ground Settlement Deformation. Alex. Eng. J. 2021, 60, 1911–1916. [Google Scholar] [CrossRef]
- Liang, R.Z.; Xia, T.D.; Hong, Y.; Yu, F. Effects of above-crossing Tunnelling on the Existing Shield Tunnels. Tunn. Undergr. Space Technol. 2016, 58, 159–176. [Google Scholar] [CrossRef]
- Fei, R.; Peng, L.; Zhang, C.; Zhang, J.; Zhang, P. Experimental and Numerical Studies of a Shield Twin Tunnel Undercrossing the Existing High-Speed Railway Tunnel. Geotech. Geol. Eng. 2024, 42, 1871–1886. [Google Scholar] [CrossRef]
- Liu, H.Y.; Small, J.C.; Carter, J.P.; Williams, D.J. Effects of Tunnelling on Existing Support Systems of Perpendicularly crossing Tunnels. Comput. Geotech. 2009, 36, 880–894. [Google Scholar] [CrossRef]
- Chen, H.D.; Shen, W.M.; Zhang, W.J. Viscoelastic Analysis of Deformation of the Existing Tunnel Due to the Above-Crossing Tunneling. Chin. Q. Mech. 2022, 43, 958–969. (In Chinese) [Google Scholar]
- Liu, H.Y.; Small, J.C.; Carter, J.P. Full 3D Modelling for Effects of Tunnelling on Existing Support Systems in the Sydney Region. Tunn. Undergr. Space Technol. 2008, 23, 399–420. [Google Scholar] [CrossRef]
- Luo, C.S.; Cheng, Y.H.; Bai, Z.; Shen, T.; Wu, X.Y.; Wang, Q.G. Study on Deformation Law of Subway Construction under Passing Existing Line in Short Distance. Adv. Civ. Eng. 2021, 2021, 6626927. [Google Scholar] [CrossRef]
- Zhang, R.; Xiong, H.; Su, D.; Han, W.; Li, Q.; Chen, X. Micromechanical Investigation into the Mechanism of Slurry Fracturing and the Effect of Covering Depth Concerningshield Tunneling in a Sandy Stratum. Tunn. Undergr. Space Technol. 2024, 144, 105538. [Google Scholar] [CrossRef]
- Pan, P.; Chen, W.; Zheng, J.C. Construction Technology of Pipe-jacking Tunnel in Water-rich Intensely Weathered Sandstone Formation crossing underneath Existing Railway. Sci. Technol. Eng. 2023, 23, 12714–12720. (In Chinese) [Google Scholar]
- Fang, M.; Zhou, C.Y.; Liu, Z. Influence of Construction Parameters and Cross Angle on Existing Tunnel Settlement During undercrossing Shield Tunneling Construction. Eng. Mech. 2011, 28, 133–138. (In Chinese) [Google Scholar]
- Li, S. Monitoring and Early Warning of Subgrade Settlement for High Speed Railway Undercrossed by Shield Tunnel. Railw. Eng. 2023, 63, 127–130. (In Chinese) [Google Scholar]
- Liu, X.; Fang, H.C.; Jiang, A.N.; Zhang, D.L.; Fang, Q.; Lu, T.; Bai, J.R. Mechanical Behaviours of Existing Tunnels Due to Multiple-tunnel Excavations Consideringconstruction Sequence. Tunn. Undergr. Space Technol. 2024, 152, 105870. [Google Scholar] [CrossRef]
- Mroueh, H.; Shahrour, I. A full 3-D Finite Element Analysis of Tunneling-adjacent Structures Interaction. Comput. Geotech. 2003, 30, 245–253. [Google Scholar] [CrossRef]
- Hu, H.; Xue, T.; Li, J.; Liu, P.; Wang, B.; Liu, Y. Mechanical Performance of Concrete Segment Lining Structure of Shield Tunneling in Different Strata. Buildings 2023, 13, 3118. [Google Scholar] [CrossRef]
- Xiang, P.; Wei, G.; Jiang, H.; Ding, Y.; Guo, H.; Zhang, R. Experimental Study and Theoretical Analysis of the Effect of Surcharge/Unloading at Both Sides of the Ground Surface on an Existing Shield Tunnel at Different Burial Depths. Buildings 2023, 13, 1911. [Google Scholar] [CrossRef]
- Wang, C.W.; Liu, X.L.; Song, D.Q.; Wang, E.Z.; He, Z.H.; Tan, R.S. Structural response of former Tunnel in the Construction of Closely-Spaced cross-river Twin Tunnels. Tunn. Undergr. Space Technol. 2024, 147, 105652. [Google Scholar] [CrossRef]
- Ding, Z.; Zhang, X.; He, S.H.; Qi, J.Y.; Lin, G.C. Experimental and Theoretical Study on Longitudinal Deformation and Internal Force of Shield Tunnel under Surcharge. Tunn. Undergr. Space Technol. 2024, 144, 105506. [Google Scholar] [CrossRef]
- Zhang, Y.; Tao, L.; Liu, J.; Zhao, X.; Guo, F.; Tan, L.; Wang, Z. Construction Techniques and Mechanical Behavior of Newly-built Large-Span Tunnel Ultra-short Distance up-crossing the Existing Shield Tunnel with Oblique Angle. Tunn. Undergr. Space Technol. 2023, 138, 105162. [Google Scholar] [CrossRef]
- Yao, J.; Wang, Z.; Li, Z.; Xiao, X.; Wu, H.; Ma, W.; Huo, Z.; Pu, Y. Research on Structural Deformation Law and Allowable Deformation of Shield Tunnel Underneath Passing High-Speed Railway Tunnel. Proc. SPIE-Int. Soc. Opt. Eng. 2021, 12058, 758–764. [Google Scholar] [CrossRef]
- Shi, Y.; Lin, L.; Xu, J.; Qing, J. Analysis of Construction Mechanics of Expansive Soil Tunnel Passing Through Existing subway station in short distance Under humidification Condition. J. Railw. Sci. Eng. 2020, 18, 200–210. [Google Scholar] [CrossRef]
- Zhu, Q.L.; Ding, Y.P. Impact of New undercrossing Tunnel Excavation on the Stability of the Existing Tunnel. Front. Earth Sci. 2022, 10, 915882. [Google Scholar] [CrossRef]
- Wu, K.; Zheng, Y.; Li, S.; Sun, J.; Han, Y.; Hao, D. Vibration Response Law of Existing Buildings Affected by Subway Tunnel Boring Machine Excavation. Tunn. Undergr. Space Technol. 2021, 120, 104318. [Google Scholar] [CrossRef]
- Cheng, Y.; Liu, X. Research on the Pressure Distribution Law of Synchronous Grouting in ShieldTunnels and the Force on Segments. Buildings 2024, 14, 1099. [Google Scholar] [CrossRef]
- TB 10002-2017; Code for Design on Railway Bridge and Culvert. National Railway Administration: Beijing, China, 2017.
- Yan, P.F. Three-dimensional Finite element Analysis of Influence by Excavation of different buried Tunnels on Ground Subsidence. J. Guangxi Univ. 2021, 46, 60–66. [Google Scholar]









| Model | S1 | S2 |
|---|---|---|
| 1 | 5 m | 11 m |
| 2 | 7 m | 9 m |
| 3 | 9 m | 7 m |
| 4 | 11 m | 5 m |
| 5 | 13 m | 3 m |
| 6 | 15 m | 1 m |
| Stratum | Modulus of Elasticity KN/m2 | Poisson’s Ratio | Unit Weight KN/m3 | Cohesion KN/m2 | Internal Friction Angles ° |
|---|---|---|---|---|---|
| Miscellaneous fill | 15,000 | 0.42 | 18 | 5 | 15 |
| silt | 20,000 | 0.4 | 18 | 20 | 25 |
| clay | 40,000 | 0.35 | 20 | 25 | 36 |
| Type | Modulus of Elasticity KN/m2 | Poisson’s Ratio | Unit Weight KN/m3 |
|---|---|---|---|
| railway | 31.5 | 0.2 | 20 |
| lining segment | 31.5 | 0.25 | 25 |
| shield shell | 34.5 | 0.25 | 25 |
| slip casting | 28.0 | 0.25 | 25 |
| Step | Step Content |
|---|---|
| 1 | Initial stress balance |
| 2 | Displacement clearing |
| 3 | Subway operation |
| 4 | Displacement clearing |
| 5–23 | Inner and outer diameter excavation, shield application |
| 7–26 | Segment construction and grouting simulation |
Disclaimer/Publisher’s Note: The statements, opinions and data contained in all publications are solely those of the individual author(s) and contributor(s) and not of MDPI and/or the editor(s). MDPI and/or the editor(s) disclaim responsibility for any injury to people or property resulting from any ideas, methods, instructions or products referred to in the content. |
© 2024 by the authors. Licensee MDPI, Basel, Switzerland. This article is an open access article distributed under the terms and conditions of the Creative Commons Attribution (CC BY) license (https://creativecommons.org/licenses/by/4.0/).
Share and Cite
Xie, C.; Qu, Y.; Lu, H.; Song, S. Study on Deformation of New Tunnels Overcrossing Existing Tunnels Underneath Operating Railways. Buildings 2024, 14, 2420. https://doi.org/10.3390/buildings14082420
Xie C, Qu Y, Lu H, Song S. Study on Deformation of New Tunnels Overcrossing Existing Tunnels Underneath Operating Railways. Buildings. 2024; 14(8):2420. https://doi.org/10.3390/buildings14082420
Chicago/Turabian StyleXie, Can, Yuhang Qu, Haiyan Lu, and Shuguang Song. 2024. "Study on Deformation of New Tunnels Overcrossing Existing Tunnels Underneath Operating Railways" Buildings 14, no. 8: 2420. https://doi.org/10.3390/buildings14082420
APA StyleXie, C., Qu, Y., Lu, H., & Song, S. (2024). Study on Deformation of New Tunnels Overcrossing Existing Tunnels Underneath Operating Railways. Buildings, 14(8), 2420. https://doi.org/10.3390/buildings14082420

