The Application of Calcium-Based Expansive Agents in High-Strength Concrete: A Review
Abstract
1. Introduction
2. Calcium-Based Expansive Agents
2.1. Classification
2.2. Expansion Mechanism
2.3. Expansion Conditions and Affecting Factors
3. Autogenous Shrinkage Compensating Mechanism of CEAs
4. Influence of CEAs on the Properties of HSC/UHSC
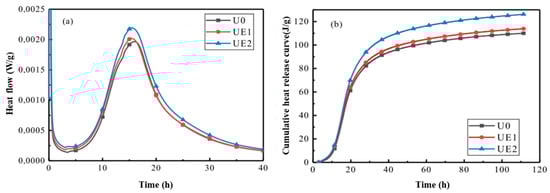
4.1. Hydration Characteristics of Binders
4.2. Autogenous Shrinkage
4.3. Compressive and Flexural Strength
4.4. Elastic Modulus
4.5. Pore Structures
5. Delayed Expansion of CEAs in HSC/UHSC
5.1. Delayed Expansion Mechanism of CEAs
5.2. Delayed Expansion Conditions of CEAs
- (1)
- The problem of delayed expansion occurred in UHSC with extremely low water–binder ratios.
- (2)
- (3)
- When the content in CEAs was high, delayed expansion-induced failure could occur regardless of the type of EAs.
- (4)
- Irrespective of the early curing conditions, namely whether room temperature or heat curing was applied, cases of delayed expansion occurred.
- (5)
- Even with a constant EA dosage, the incidences in delayed expansion did not directly correlate with the curing conditions (temperature and/or humidity).
6. Outlook
6.1. Mg–Ca Composite Type EAs
6.2. Expansive Hydraulic Cement
- -
- -
- metakaolin type (MK = thermally activated clay, Al2O3r−: 14.86% [123]),
- which, replacing Portland Cement (PC) up to 40% by mass, not only manage to form all of them rapid forming ettringite (ett-rf) [120,121,122,123,124], being in plaster-bearing solution [130,131,132,133,134,135,136,137,138,139,140,141,142,143,144,145,146], but, in addition, said Al2O3r− content of the MK used (its original kaolin doped with 50% quartz) stimulates it to hydrate to the C3A (%) content of the PC fraction with which it was mixed, at the same rapid speed as its Al2O3r−. That is, C3A (%) content of said PC fraction does not form slow forming ettringite (ett-lf) [133,134,135,136,137,138,139,140,141,142,143,144], as when it is without MK, but rather ett-rf [133,134,135,136,137,138,139,140,141,142,143,144] also like that of its Al2O3r−.
- (1)
- That counteracts its own autogenous shrinkage without said excess of plaster, thus giving rise to a “hydraulic cement without shrinkage”, and for that of an HSC/UHSC, K type, M type or S type expansive cements also only that its autogenous shrinkage will be different, of course, so your amount of excess plaster needed will be different as well, or
- (2)
- That it is greater even to the point of being also considered “expansive hydraulic cement” according to the ASTM C 845-90 standard [152], which, in any case, of the two, may also be considered CEA, different from the K, M and S types described above and, in addition, much more economical because the thermal activation temperature of the original kaolin or matrix kaolin is approximately half of the clinkerization temperature for any of the latter three. And if the clay used is a random mixture of illite, montmorillonite and kaolinite, which is the most common, whose kaolinite content is also <40% and even insignificant or testimonial [154], instead of using kaolin alone, its economic cost will be significantly even less. The only requirement will be that the Al2O3r− content of said random mixture must be >8% if all its Al has coordination 4, and >10% if the coordination of its Al is also a random mixture of 4 and 5. Or, for the contrary,
- (3)
- That it does not have any excess amount of gypsum but only that of the OPC with which it was mixed to be a pozzolanic cement type IV/A or IV/B of the EN 197-1:2011 standard [126]. But, in any case, the higher Al2O3r− (%) content of the thermally activated clay and C3A (%) content of the OPC are the more expansive the resulting expansive hydraulic cement will be and the more economical it will be as well because, in addition, a greater gypsum amount will be required like setting regulator as it is the most economical cement component of all in Spain and in many other Mediterranean countries.
7. Conclusions
- (1)
- The addition of CEAs is positively correlated with the compensation rate for autogenous shrinkage of HSC/UHSC within a certain range. Within the data range investigated in this study, incorporating more than 4% of a calcium-based EA can nearly achieve zero shrinkage or slight expansion in HSC/UHSC.
- (2)
- The addition of CEAs leads to a significant decrease in the compressive strength (over 15% in this research), flexural strength, and elastic modulus due to the adverse effect on the hydration process and pore structures of HSC/UHSC. In engineering applications, it is necessary to comprehensively consider the balance between the compensation effect of autogenous shrinkage and the negative influence on the mechanical properties of incorporating CEAs.
- (3)
- Increasing the amount of CEA can lead to the risk of delayed expansion cracking in concrete, regardless of curing conditions (temperature and humidity). Additionally, the mechanism, occurrence conditions, and preventive measures of delayed expansion remain unclear and require further study.
- (4)
- In addition to the CEA, K, M and S types, there is another one, based on the optimal mixture of OPC, thermally activated clay and gypsum that is much more economical and easier to dose and implement in HSC/UHSC.
Author Contributions
Funding
Data Availability Statement
Conflicts of Interest
References
- Li, W.; Huang, Z.; Cao, F.; Sun, Z.; Shah, S.P. Effects of nano-silica and nano-limestone on flowability and mechanical properties of ultra-high-performance concrete matrix. Constr. Build. Mater. 2015, 95, 366–374. [Google Scholar] [CrossRef]
- Zhutovsky, S.; Kovler, K. Effect of internal curing on durability-related properties of high performance concrete. Cem. Concr. Res. 2012, 42, 20–26. [Google Scholar] [CrossRef]
- Yoo, D.-Y.; Park, J.-J.; Kim, S.-W.; Yoon, Y.-S. Early age setting, shrinkage and tensile characteristics of ultra high performance fiber reinforced concrete. Constr. Build. Mater. 2013, 41, 427–438. [Google Scholar] [CrossRef]
- Li, W.; Huang, Z.; Hu, G.; Hui Duan, W.; Shah, S.P. Early-age shrinkage development of ultra-high-performance concrete under heat curing treatment. Constr. Build. Mater. 2017, 131, 767–774. [Google Scholar] [CrossRef]
- Lura, P.; Jensen, O.M.; Weiss, J. Cracking in cement paste induced by autogenous shrinkage. Mater. Struct. 2009, 42, 1089–1099. [Google Scholar] [CrossRef]
- Graybeal, B. Construction of Field-Cast Ultra-High Performance Concrete Connections; Technote; Federal Highway Administration: Washington, DC, USA, 2012. [Google Scholar]
- He, S.; Mosallam, A.S.; Fang, Z.; Sun, X.; Su, J. Experimental evaluation of shear connectors using reactive powder concrete under natural curing condition. Constr. Build. Mater. 2018, 191, 775–786. [Google Scholar] [CrossRef]
- Tanimura, M.; Hyodo, H.; Sato, R. Auto-Expansion/Shrinkage Characteristics of High-Strength Concrete Using Expansive Additives; CD-ROM; Japan Concrete Institute: Tokyo, Japan, 2002; Volume 24, pp. 951–956. (In Japanese) [Google Scholar]
- Kaku, D.; Tanimura, M.; Satake, S. Shrinkage Reducing Effect of Expansive Additive on Ultra-High Strength Concrete; CD-ROM; Japan Concrete Institute: Tokyo, Japan, 2008; Volume 30, pp. 471–476. (In Japanese) [Google Scholar]
- Suzuki, M.; Maruyama, I.; Nakase, H.; Sato, R. Reduction of self-induced stress and resultant cracks in reinforced ultra-high-strength concrete column by dosage of expansive additive and shrinkage reducing agent. J. Struct. Constr. Eng. 2009, 74, 1–10. (In Japanese) [Google Scholar] [CrossRef]
- Teramoto, A.; Hotta, K.; Ohkubo, T.; Maruyama, I. Study on Volume Change of Silica Fume Cement Paste with Low Binder Ratio Using EA and Shrinkage Reducer in Early Age; CD-ROM; Japan Concrete Institute: Tokyo, Japan, 2013; Volume 37, pp. 439–444. (In Japanese) [Google Scholar]
- Li, F.; Zhan, B.Y. Influence of super absorbent polymer, expansion agent and shrinkage reducing agent on early autogenous shrinkage of high-strength concrete. J. Hefei Univ. Technol. (Nat. Sci.) 2016, 39, 1254–1259. (In Chinese) [Google Scholar]
- Liu, J.P. Crack-Resistant Design and Construction Guidelines for Concrete in Urban Rail Transit Engineering; China Architecture & Building Press: Beijing, China, 2020; p. 108. (In Chinese) [Google Scholar]
- Yang, L.; Shi, C.; Wu, Z. Mitigation Techniques for Autogenous Shrinkage of Ultra-High-Performance Concrete—A Review. Compos. Part B Eng. 2019, 178, 107456. [Google Scholar] [CrossRef]
- Liu, L.M.; Fang, Z.; Huang, Z.; Wu, Y. Solving Shrinkage Problem of Ultra-High-Performance Concrete by a Combined Use of EA, Super Absorbent Polymer, and Shrinkage-Reducing Agent. Compos. Part B Eng. 2022, 230, 109503. [Google Scholar] [CrossRef]
- Park, J.-J.; Yoo, D.-Y.; Kim, S.-W.; Yoon, Y.-S. Benefits of Using Expansive and Shrinkage-Reducing Agents in UHPC for Volume Stability. Mag. Concr. Res. 2014, 66, 745–750. [Google Scholar] [CrossRef]
- Teramoto, A.; Zhang, Y.L.; Ohkubo, T. The Effect of Expansive Additive Ratio on Early Age Autogenous Shrinkage and Delayed Expansion in High Strength Mortar; CD-ROM; Japan Concrete Institute: Tokyo, Japan, 2017; Volume 39, pp. 385–390. (In Japanese) [Google Scholar]
- Morioka, M.; Hagiwara, H.; Sakai, E. Effect of EAs on hydration of C3A. Cem. Sci. Concr. Technol. 1999, 509, 23–30. (In Japanese) [Google Scholar]
- Zhang, S.Z.; Tian, Q.; Lu, A.Q. Influence of CaO-based EA on the deformation behavior of high-performance concrete. Appl. Mech. Mater. 2013, 438–439, 113–116. [Google Scholar] [CrossRef]
- Wyrzykowski, M.; Terrasi, G.; Lura, P. Expansive High-Performance Concrete for Chemical-Prestress Applications. Cem. Concr. Res. 2018, 107, 275–283. [Google Scholar] [CrossRef]
- Maruyama, I.; Sato, R. Effect of temperature history on self-stress of ultra-high-strength expansive concrete. Cem. Sci. Concr. Technol. 2005, 59, 375–382. (In Japanese) [Google Scholar]
- C845-04; Standard Specification for Expansive Hydraulic Cement. American Society for Testing and Materials: West Conshohocken, PA, USA, 2012.
- Nagataki, S.; Gomi, H. Expansive Admixtures (Mainly Ettringite). Cem. Concr. Compos. 1998, 20, 163–170. [Google Scholar] [CrossRef]
- Shen, P.; Lu, L.; He, Y.; Wang, F.; Lu, J.; Zheng, H.; Hu, S. Investigation on Expansion Effect of the EAs in Ultra-High-Performance Concrete. Cem. Concr. Compos. 2020, 105, 103425. [Google Scholar] [CrossRef]
- Architecture Institute of Japan. State-of-the-Art Report on Concrete with Expansive Additive/Shrinkage Reducing Admixture; Architecture Institute of Japan: Tokyo, Japan, 2013; p. 8. (In Japanese) [Google Scholar]
- Yoo, D.-Y.; Chun, B.; Kim, J.-J. Effect of calcium sulfoaluminate-based EA on rate dependent pullout behavior of straight steel fiber embedded in UHPC. Cem. Concr. Res. 2019, 122, 196–211. [Google Scholar] [CrossRef]
- Sagawa, T.; Nawa, T. Hydration Reaction of Blast Furnace Cement Mixed with Expansive Additives; CD-ROM; Japan Concrete Institute: Tokyo, Japan, 2009; Volume 31, pp. 181–186. (In Japanese) [Google Scholar]
- Jeon, B.; Maruyama, I. Early age hydration behavior of cement-paste with blast furnace slag and lime-based expansive admixture. J. Struct. Constr. Eng. 2015, 80, 841–850. (In Japanese) [Google Scholar] [CrossRef]
- Troli, R.; Collepardi, M. Shrinkage-compensating concretes for special structures. In Proceedings of the 4th International Conference on Non-Traditional Cement and Concrete, Brno, Czech Republic, 27–30 June 2011; pp. 27–30. [Google Scholar]
- Mehta, P.K. Mechanism of expansion associated with ettringite formation. Cem. Concr. Res. 1973, 3, 1–6. [Google Scholar] [CrossRef]
- Li, H.; Liu, J.; Wang, Y.; Tian, Q. Simplified Chemo-Mechanical Model of Hydration/Expansion of Calcium-Oxide-Type EA in Cement-Based Materials. Mag. Concr. Res. 2020, 72, 1006–1015. [Google Scholar] [CrossRef]
- Deng, M.; Hong, D.; Lan, X.; Tang, M. Mechanism of expansion in hardened cement pastes with hard-burnt free lime. Cem. Concr. Res. 1995, 25, 440–448. [Google Scholar] [CrossRef]
- Carballosa, P.; García Calvo, J.L.; Revuelta, D.; Sánchez, J.J.; Gutiérrez, J.P. Influence of Cement and Expansive Additive Types in the Performance of Self-Stressing and Self-Compacting Concretes for Structural Elements. Constr. Build. Mater. 2015, 93, 223–229. [Google Scholar] [CrossRef]
- Ramachandran, V.S.; Sereda, P.J.; Feldman, R.K. Mechanism of hydration of calcium oxide. Nature 1964, 201, 288–289. [Google Scholar] [CrossRef]
- Kurdowski, W. Cement and Concrete Chemistry; Springer: Dordrecht, The Netherlands, 2014; Volume XII, p. 699. ISBN 978-94-007-7944-0. [Google Scholar]
- Cohen, M.D. Theories of Expansion in Sulfoaluminate—Type Expansive Cements: Schools of Thought. Cem. Concr. Res. 1983, 13, 809–818. [Google Scholar] [CrossRef]
- Chatterji, S.; Jeffery, J.W. A new hypothesis of sulphate expansion. Mag. Concr. Res. 1963, 15, 83–86. [Google Scholar] [CrossRef]
- Ogawa, K.; Roy, D.M. C4A3Ŝ Hydration, Ettringite Formation, and Its Expansion Mechanism: II. Microstructural Observation of Expansion. Cem. Concr. Res. 1982, 12, 101–109. [Google Scholar] [CrossRef]
- Bentur, A.; Ish-Shalom, M. Properties of Type K Expensive Cement of Pure Components II. Proposed Mechanism of Ettringite Formation and Expansion in Unrestrained Paste of Pure Expansive Component. Cem. Concr. Res. 1974, 4, 709–721. [Google Scholar] [CrossRef]
- Okushima, M.; Kondo, R.; Muguruma, H.; Ono, Y. Development of expansive cement with calcium sulphoaluminous Clínker Portland, Supplementary Paper 4-86. In Proceedings of the Fifth International Symposium on the Chemistry of Cement, Tokyo, Japan, 7–11 October 1968; Volume 4, pp. 419–430. [Google Scholar]
- Scherer, G.W. Stress from Crystallization of Salt. Cem. Concr. Res. 2004, 34, 1613–1624. [Google Scholar] [CrossRef]
- Bizzozero, J.; Gosselin, C.; Scrivener, K.L. Expansion Mechanisms in Calcium Aluminate and Sulfoaluminate Systems with Calcium Sulfate. Cem. Concr. Res. 2014, 56, 190–202. [Google Scholar] [CrossRef]
- Lin, Y.D. Study on the expansion mechanism of sulfoaluminate expansion agents. Chem. Mater. Constr. 1987, 3, 17–23. (In Chinese) [Google Scholar]
- Mather, B. A Discussion of the Paper “Mechanism of Expansion Associated with Ettringite Formation” by P. K. Mehta. Cem. Concr. Res. 1973, 3, 651–652. [Google Scholar] [CrossRef]
- Hansen, W.C. A Discussion of the Paper “Mechanism of Expansion Associated with Ettringite Formation” by P. K. Mehta. Cem. Concr. Res. 1973, 3, 655–656. [Google Scholar] [CrossRef]
- Gonsalves, K.E.; Li, H.; Santiago, P. Synthesis of acicular iron oxide nanoparticles and their dispersion in a polymer matrix. J. Mater. Sci. 2001, 36, 2461–2471. [Google Scholar] [CrossRef]
- Eura, S.; Yamazaki, Y.; Monji, T. Influence of initial drying on the change of length of mortar with expansive admixture. In Proceedings of the CAJ Review of the 29th General Meeting, Osaka, Japan, 10–12 July 1975; Volume 29, pp. 428–431. (In Japanese). [Google Scholar]
- Tosun, K.; Baradan, B. Effect of ettringite morphology on DEF-related expansion. Cem. Concr. Compos. 2010, 32, 271–280. [Google Scholar] [CrossRef]
- Chaunsali, P.; Mondal, P. Influence of Calcium Sulfoaluminate (CSA) Cement Content on Expansion and Hydration Behavior of Various Ordinary Portland Cement-CSA Blends. J. Am. Ceram. Soc. 2015, 98, 2617–2624. [Google Scholar] [CrossRef]
- Chen, I.A.; Hargis, C.W.; Juenger, M.C.G. Understanding Expansion in Calcium Sulfoaluminate–Belite Cements. Cem. Concr. Res. 2012, 42, 51–60. [Google Scholar] [CrossRef]
- Kasselouri, V.; Tsakiridis, P.; Malami, C.; Georgali, B.; Alexandridou, C. A Study on the Hydration Products of a Non-Expansive Sulfoaluminate Cement. Cem. Concr. Res. 1995, 25, 1726–1736. [Google Scholar] [CrossRef]
- Collepardi, M.; Turriziani, R.; Marcialis, A. The Paste Hydration of 4CaO·3Al2O3·SO3 in Presence of Calcium Sulphate, Tricalcium Silicate and Dicalcium Silicate. Cem. Concr. Res. 1972, 2, 213–223. [Google Scholar] [CrossRef]
- Pera, J.; Ambroise, J. New applications of calcium sulfoaluminate cement. Cem. Concr. Res. 2004, 34, 671–676. [Google Scholar] [CrossRef]
- Mehta, P.K.; Hu, F. Further Evidence for Expansion of Ettringite by Water Adsorption. J. Am. Ceram. Soc. 1978, 61, 179–181. [Google Scholar] [CrossRef]
- Cohen, M.D.; Richards, C.W. Effects of the Particle Sizes of Expansive Clinker on Strength-Expansion Characteristics of Type K Expansive Cements. Cem. Concr. Res. 1982, 12, 717–725. [Google Scholar] [CrossRef]
- Wang, Y.; Tian, Q.; Li, H.; Wang, Y. Humidity Sensitivity of Hydration of EA and Its Expansive Efficiency in Ultra-High-Performance Concrete. Crystals 2022, 12, 195. [Google Scholar] [CrossRef]
- Hu, L.; Chen, Z.; Zhu, X.; Yang, H.; Zheng, X.; Liu, K. Effect of Curing Temperature on Hydration and Microstructure Evolution of Cement-Based Composites with Extremely Low w/b Ratio. Dev. Built Environ. 2023, 16, 100267. [Google Scholar] [CrossRef]
- Mehta, P.K. Stability of Ettringite on Heating. J. Am. Ceram. Soc. 1972, 55, 55–57. [Google Scholar] [CrossRef]
- Shimada, Y.; Young, J.F. Thermal Stability of Ettringite in Alkaline Solutions at 80 °C. Cem. Concr. Res. 2004, 34, 2261–2268. [Google Scholar] [CrossRef]
- Ono, Y.; Nakagawa, K. Expansion material of cement. Gypsum Lime 1970, 106, 90–95. (In Japanese) [Google Scholar] [CrossRef]
- Morioka, M.; Hagiwara, H.; Sakai, E.; Daimon, M. Microstructure of Hardened Cement Mixed with EA; CD-ROM; Japan Concrete Institute: Tokyo, Japan, 1988; Volume 20, pp. 169–174. (In Japanese) [Google Scholar]
- Yamamoto, K.; Morioka, M.; Sakai, E.; Daimon, M. Expansion mechanism of cement added with expansive additive. Concr. Res. Technol. 2003, 14, 23–31. (In Japanese) [Google Scholar] [CrossRef]
- Taylor, H.F.W. Cement Chemistry, 2nd ed.; Thomas Telford Ltd.: London, UK, 1997. [Google Scholar]
- Naber, C.; Kleiner, F.; Becker, F.; Nguyen-Tuan, L.; Rößler, C.; Etzold, M.A.; Neubauer, J. C-S-H Pore Size Characterization via a Combined Nuclear Magnetic Resonance (NMR)–Scanning Electron Microscopy (SEM) Surface Relaxivity Calibration. Materials 2020, 13, 1779. [Google Scholar] [CrossRef] [PubMed]
- Morioka, M.; Hagiwara, H.; Kang, J. Hydration reaction of calcium sulfoaluminate-type expansive additive-alite system. J. Ceram. Soc. Jpn. 2000, 108, 392–396. (In Japanese) [Google Scholar] [CrossRef]
- Triandafilou, L. Implementation of High-Performance Materials: When Will They Become Standard? Transportation Research Record. J. Transp. Res. Board 2005, 11s, 33–48. [Google Scholar] [CrossRef]
- Yang, G.; Xu, D.; Hu, Z.L.; Wang, H.; Jin, M.; Liu, J.P.; Han, F.Y.; Liu, J.Z. Tensile and compressive creep of UHSM with CaO-based EA. Constr. Build. Mater. 2022, 355, 129122. [Google Scholar] [CrossRef]
- Hua, T.; Tang, J.; Zhu, J.; Tang, H.; Liu, J. Evolution of the Early Compressive Strength of Cement-Slag Pastes with CaO-Based EA. Mater. Struct. 2022, 55, 63. [Google Scholar] [CrossRef]
- Zhou, M.; Yang, T.; Li, J.; Qiu, B.; Qiu, W.; Chen, D.; Li, B.; Shu, B.; Zhou, C.; Guo, L.; et al. Coupling Effect of Expansion Agent and Internal Curing Aggregate on Shrinkage of High-Modulus Ultra-High-Performance Concrete. Coatings 2023, 13, 1571. [Google Scholar] [CrossRef]
- Li, N.Z.; Xie, J.T.; Lei, Y.G. Complete compensation type concrete expanding admixture and its compensation for drying shrinkage of high-strength concrete. Concrete 2010, 250, 21–22. (In Chinese) [Google Scholar]
- Takada, K.; Yanai, S.; Watanabe, T. Study on Reduction of Autogenous Shrinkage of Ultra-High-Strength Concrete; CD-ROM; Japan Concrete Institute: Tokyo, Japan, 2003; Volume 25, pp. 1007–1012. (In Japanese) [Google Scholar]
- Uehara, N.; Suzuki, Y.; Kawakami, K.; Nishimoto, K. Reduction of Autogenous Shrinkage of Ultra-High-Strength Concrete; CD-ROM; Japan Concrete Institute: Tokyo, Japan, 2005; Volume 27, pp. 1099–1104. (In Japanese) [Google Scholar]
- Suzuki, M.; Ichinose, K.; Jinnai, T. Effect of Binder on Autogenous Shrinkage of Ultra-High-Strength Concrete; CD-ROM; Japan Concrete Institute: Tokyo, Japan, 2004; Volume 26, pp. 1299–1304. (In Japanese) [Google Scholar]
- Mitani, Y.; Bachi, N.; Tanimura, M.; Maruyama, I. Strength and Hydration Characteristics of Silica Fume Mixed Cement with Low Water Binder Ratio Subjected to High Temperature History; CD-ROM; Japan Concrete Institute: Tokyo, Japan, 2009; Volume 31, pp. 1495–1500. (In Japanese) [Google Scholar]
- Mitani, Y.; Nakazaki, G.; Tanimura, M.; Maruyama, I. Autogenous Shrinkage Control of Ultra-High-Strength Concrete Subjected to High-Temperature History by Expansive Material; CD-ROM; Japan Concrete Institute: Tokyo, Japan, 2010; Volume 32, pp. 1241–1246. (In Japanese) [Google Scholar]
- Jensen, O.M. The Pozzolanic Reaction of Silica Fume. MRS Proc. 2012, 1488, 43–54. [Google Scholar] [CrossRef]
- Zhou, Q.; Glasser, F.P. Thermal Stability and Decomposition Mechanisms of Ettringite at <120 °C. Cem. Concr. Res. 2001, 31, 1333–1339. [Google Scholar] [CrossRef]
- Guimarães, D.; De, A. Oliveira, V.; Leão, V.A. Kinetic and Thermal Decomposition of Ettringite Synthesized from Aqueous Solutions. J. Therm. Anal. Calorim. 2016, 124, 1679–1689. [Google Scholar] [CrossRef]
- Kaufmann, J.; Winnefeld, F.; Lothenbach, B. Stability of Ettringite in CSA Cement at Elevated Temperatures. Adv. Cem. Res. 2016, 28, 251–261. [Google Scholar] [CrossRef]
- Song, H.; Jeong, Y.; Bae, S.; Jun, Y.; Yoon, S.; Eun Oh, J. A Study of Thermal Decomposition of Phases in Cementitious Systems Using HT-XRD and TG. Constr. Build. Mater. 2018, 169, 648–661. [Google Scholar] [CrossRef]
- Yang, G.; Wang, H.; Wan-Wendner, R.; Hu, Z.; Liu, J. Cracking Behavior of Ultra-High Strength Mortar with CaO-Based EA and Superabsorbent Polymer. Constr. Build. Mater. 2022, 357, 129281. [Google Scholar] [CrossRef]
- Han, J.G.; Jia, D.; Yan, P.Y. Understanding the shrinkage compensating ability of type K EA in concrete. Constr. Build. Mater. 2016, 116, 36–44. [Google Scholar] [CrossRef]
- Liu, L.M.; Fang, Z.; Huang, Z.Y. Effects of EA and super-absorbent polymer on performance of ultra-high-performance concrete. J. Chin. Ceram. Soc. 2020, 48, 1706–1715. (In Chinese) [Google Scholar]
- Mehta, P.K.; Monteiro, P.J.M.; Ebrary, I. Concrete: Microstructure, Properties, and Materials; McGraw-Hill: New York, NY, USA, 2006. [Google Scholar]
- Li, Y.; Bao, J.; Guo, Y. The relationship between autogenous shrinkage and pore structure of cement paste with mineral admixtures. Constr. Build. Mater. 2010, 24, 1855–1860. [Google Scholar] [CrossRef]
- Fu, Z.D.; Lv, L.N.; Xiao, J. Effect of calcium sulphoaluminate expansive admixture on properties of ultra-high-performance concrete. J. Mater. Sci. Eng. 2019, 37, 559–564. (In Chinese) [Google Scholar] [CrossRef]
- Wang, J.; Hu, Z.; Chen, Y.; Huang, J.; Ma, Y.; Zhu, W.; Liu, J. Effect of Ca/Si and Al/Si on micromechanical properties of C(-A)-S-H. Cem. Concr. Res. 2022, 157, 106811. [Google Scholar] [CrossRef]
- Wu, Z.; Lian, H. High Performance Concrete; China Railway Publishing House: Beijing, China, 1999. [Google Scholar]
- Gong, J.Q.; Luo, H.K.; Zhang, Y. Effect of shrinkage reducing agent and HCSA expansion agent on mechanical properties and shrinkage properties of UHPC. Mater. Rep. 2021, 35, 8042–8048. (In Chinese) [Google Scholar] [CrossRef]
- Meddah, M.S.; Suzuki, M.; Sato, R. Influence of a Combination of Expansive and Shrinkage-Reducing Admixture on Autogenous Deformation and Self-Stress of Silica Fume High-Performance Concrete. Constr. Build. Mater. 2011, 25, 239–250. [Google Scholar] [CrossRef]
- Powers, T.C. The Thermodynamics of Volume Change and Creep. Matériaux Constr. 1968, 1, 487–507. [Google Scholar] [CrossRef]
- Feldman, R.F.; Sereda, P.J. A new model for hydrated Portland cement and its practical implications. Eng. J. Can. 1970, 53, 53–59. [Google Scholar]
- Hansen, W. Drying Shrinkage Mechanisms in Portland Cement Paste. J. Am. Ceram. Soc. 1987, 70, 323–328. [Google Scholar] [CrossRef]
- Lura, P.; Jensen, O.M.; Van Breugel, K. Autogenous Shrinkage in High-Performance Cement Paste: An Evaluation of Basic Mechanisms. Cem. Concr. Res. 2003, 33, 223–232. [Google Scholar] [CrossRef]
- Trauchessec, R.; Mechling, J.-M.; Lecomte, A.; Roux, A.; Le Rolland, B. Hydration of Ordinary Portland Cement and Calcium Sulfoaluminate Cement Blends. Cem. Concr. Compos. 2015, 56, 106–114. [Google Scholar] [CrossRef]
- Chen, Y.; Xian, R.; Wang, J.; Hu, Z.; Wang, W. Synergetic Effect of Superabsorbent Polymer and CaO-Based EA on Mitigating Autogenous Shrinkage of UHPC Matrix. Materials 2023, 16, 2814. [Google Scholar] [CrossRef]
- Liang, S.; Liu, Y.; Song, G.; Yan, H.; Song, B.; Liu, J. Effect of Sulfoaluminate Expansive Additive on Mechanical Properties, Internal Relative Humidity, and Shrinkage of Early-Age Mortar. Case Stud. Constr. Mater. 2023, 19, e02226. [Google Scholar] [CrossRef]
- Zhang, Y.L.; Teramoto, A.; Ohkubo, T. Effect of Addition Rate of Expansive Additive on Autogenous Shrinkage and Delayed Expansion of Ultra-High Strength Mortar. J. Adv. Concr. Technol. 2018, 16, 250–261. [Google Scholar] [CrossRef]
- Song, M.; Wang, C.; Cui, Y.; Li, Q.; Gao, Z. Mechanical Performance and Microstructure of Ultra-High-Performance Concrete Modified by Calcium Sulfoaluminate Cement. Adv. Civil. Eng. 2021, 2021, 002536. [Google Scholar] [CrossRef]
- Arai, Y. Chemistry of Cement; Dainippon Tosho Press: Tokyo, Japan, 1984; p. 170. (In Japanese) [Google Scholar]
- Bryant, M.; William, G.H. Amount of water required for complete hydration of Portland cement. Concr. Int. 2002, 24, 56–58. [Google Scholar]
- Morioka, M. Expansion behavior of low water-binder ratio mortar mixed with expansive additives. In Proceedings of the Symposium on Enhanced Functionality/Durability of Structures Using Expansive Concrete, Hiroshima, Japan, 20–22 December 2003; p. 103. (In Japanese). [Google Scholar]
- Hirao, H. Example of sulfate degradation-Study on Delayed Ettringite Formation (DEF). Concr. J. 2006, 44, 44–51. (In Japanese) [Google Scholar]
- Shoji, M.; Suhara, K.; Yoshihiko, H.; Yoshino, R. Compressive strength performance of expansive concrete with low cement content. In Proceedings of the 66th Annual Conference of the Japan Society of Civil Engineers, Ehime, Japan, 30 May–3 June 2011; pp. 1031–1032. (In Japanese). [Google Scholar]
- Nishimoto, Y.; Matsuda, T.; Kawakami, K. Study on Reduction of Autogenous Shrinkage of Ultra-High Strength Concrete-Influence of Expansive Additives on Concrete Properties; Report; Sumitomo Mitsui Construction Research Institute: Tokyo, Japan, 2005; Volume 3, pp. 173–178. (In Japanese) [Google Scholar]
- Japan Society of Civil Engineering. Design and Construction Guidelines of Expansive Concrete; Japan Society of Civil Engineering: Tokyo, Japan, 2003. (In Japanese) [Google Scholar]
- Architecture Institute of Japan. Recommendation for Mix Design, Production and Construction on Practice of Concrete with Expansive Additive and/or Shrinkage Reducing Admixture; Architecture Institute of Japan: Tokyo, Japan, 2017. (In Japanese) [Google Scholar]
- Guo, J.; Zhang, S.; Guo, T.; Zhang, P. Effects of UEA and MgO EAs on Fracture Properties of Concrete. Constr. Build. Mater. 2020, 263, 120245. [Google Scholar] [CrossRef]
- Li, S.; Mo, L.W.; Deng, M.; Cheng, S.K. Mitigation on the autogenous shrinkage of ultra-high-performance concrete via using MgO EA. Constr. Build. Mater. 2021, 312, 125422. [Google Scholar] [CrossRef]
- Mo, L.W.; Deng, Y.; Lu, A.Q.; Deng, M. Preparation of MgO- and CaO-bearing EA used for cement-based materials. Key Eng. Mater. 2013, 539, 211–214. [Google Scholar] [CrossRef]
- Zhao, H.; Xiang, Y.; Xie, D.; Xu, W.; Wang, Y.; Li, H.; Tian, Q.; Liu, J. Effects of CaO-based and MgO-based expansion agent, curing temperature and restraint degree on pore structure of early-age mortar. Constr. Build. Mater. 2020, 257, 119572. [Google Scholar] [CrossRef]
- Zhao, H.; Li, X.; Chen, X.; Qiao, C.; Xu, W.; Wang, P.; Song, H. Microstructure evolution of cement mortar containing MgO-CaO blended EA and temperature rising inhibitor under multiple curing temperatures. Constr. Build. Mater. 2021, 278, 122376. [Google Scholar] [CrossRef]
- Wang, L.; Li, G.; Li, X.; Guo, F.; Tang, S.; Lu, X.; Hanif, A. Influence of Reactivity and Dosage of MgO EA on Shrinkage and Crack Resistance of Face Slab Concrete. Cem. Concr. Compos. 2022, 126, 104333. [Google Scholar] [CrossRef]
- Zhang, S.Z.; Wang, J.W.; Liu, J.P.; Tian, Q. Autogenous shrinkage of cement paste containing light calcined magnesia EA. New Build. Mater. 2014, 4, 176. (In Chinese) [Google Scholar] [CrossRef]
- Ma, S.S.; Zhang, M. Effect of compound MgO expansive material. J. Nanjing Univ. Technol. (Nat. Sci. Ed.) 2009, 31, 89–94. (In Chinese) [Google Scholar] [CrossRef]
- Liu, J.P.; Zhang, S.Z.; Tian, Q. Deformation behavior of high-performance concrete containing MgO composite EA. J. Southeast Univ. (Nat. Sci. Ed.) 2010, 40 (Suppl. II), 150–154. (In Chinese) [Google Scholar]
- Zhao, H.; Xiang, Y.; Chen, X.; Huang, J.; Xu, W.; Li, H.; Wang, Y.; Wang, P. Mechanical Properties and Volumetric Deformation of Early-Age Concrete Containing CaO-MgO Blended EA and Temperature Rising Inhibitor. Constr. Build. Mater. 2021, 299, 123977. [Google Scholar] [CrossRef]
- Zhao, H.; Xiang, Y.; Liu, J.; Zhang, Z.; Jia, R.; Yao, T.; Li, H.; Xu, W.; Tian, Q. Effects of Reinforcement on Autogenous Deformation of Early-Age Concrete Containing CaO-Based Expansion Agent. Constr. Build. Mater. 2022, 320, 126197. [Google Scholar] [CrossRef]
- Trusilewicz, L.; Fernández-Martínez, F.; Rahhal, V.; Talero, R. TEM and SAED Characterization of Metakaolin. Pozzolanic Activity. J. Am. Ceram. Soc. 2012, 95, 2989–2996. [Google Scholar] [CrossRef]
- Rahhal, V.; Talero, R. Portland cement hydration. Mater. Constr. 2003, 53, 29–40. [Google Scholar] [CrossRef][Green Version]
- Rahhal, V.; Talero, R. Fast physics-chemical and calorimetric characterization of natural pozzolans and other aspects. J. Therm. Anal. Calorim. 2010, 99, 479–486. [Google Scholar] [CrossRef]
- Talero, R. Can the concept of clay change capacity be fully applicable to pozzolans? Mater. Constr. 2004, 54, 17–36. [Google Scholar] [CrossRef]
- Talero, R. New Wet Chemical Analysis Method to Determine the Reactive Alumina Content of Natural and Artificial Pozzolans. SACAH S.L. Know How. Available online: https://www.reactivealumina-pozzolans.com/publicaciones (accessed on 12 October 2023).
- EN 450-1:2013; Fly Ash for Concrete. Composition, Specifications, and Conformity Criteria. AENOR: Madrid, Spain, 2013.
- ASTM C618-94a; Standard Specification for Coal Fly Ash and Raw or Calcined Natural Pozzolan for Use as a Mineral Admixture in Portland Cement Concrete. International Association for Testing Materials: West Conshohocken, PA, USA, 2019.
- EN 197-1: 2011; Cement. Part 1. Composition, Specifications, and Conformity Criteria for Common Cements. AENOR: Madrid, Spain, 2011.
- Rahhal, V.; Talero, R. Influence of two different fly ashes on the hydration of portland cements. J. Therm. Anal. Calorim. 2004, 78, 191–205. [Google Scholar] [CrossRef]
- Rahhal, V.; Talero, R. Fast physics-chemical characterization of fly ash. J. Therm. Anal. Calorim. 2009, 96, 369–374. [Google Scholar] [CrossRef]
- Mejía, R.; Delvasto, S.; Gutiérrez, C.; Talero, R. Chloride diffusion measured by a modified permeability test in normal and blended cements. Adv. Cem. Res. 2003, 15, 113–118. [Google Scholar] [CrossRef]
- Talero, R. Comparative XRD analysis ettringite originating from pozzolan and from portland cement. Cem. Concr. Res. 1996, 26, 1277–1283. [Google Scholar] [CrossRef]
- Rahhal, V.; Talero, R. Very early age detection of ettringite from pozzolan origin. Constr. Build. Mater. 2014, 53, 674–679. [Google Scholar] [CrossRef]
- Talero, R. Kinetochemical and morphological differentiation of ettringites by the Le Chatelier–Anstett test. Cem. Concr. Res. 2002, 32, 707–717. [Google Scholar] [CrossRef]
- Talero, R. Performance of metakaolin and Portland cements in ettringite formation as determined by ASTM C 452-68: Kinetic and morphological differences. Cem. Concr. Res. 2005, 35, 1269–1284. [Google Scholar] [CrossRef]
- Talero, R. Performance of metakaolin and Portland cement in ettringite formation as determined by Le Chatelier-Ansttet test: Kinetic and morphological differences and new specification. Silic. Ind. 2007, 72, 191–204. [Google Scholar]
- Talero, R. Kinetic and morphological differentiation of ettringites by metakaolin, Portland cements and ASTM C 425-68 test, Part I: Kinetic differentiation. Mater. Constr. 2008, 58, 45–66. [Google Scholar] [CrossRef]
- Talero, R. Kinetic and morphological differentiation of ettringites by metakaolin, Portland cements and ASTM C 425-68 test, Part II: Morphological differentiation. Mater. Constr. 2009, 59, 35–51. [Google Scholar] [CrossRef][Green Version]
- Talero, R. Expansive Synergic Effect of ettringite from pozzolan (metakaolin) and from OPC, co-precipitating in a common plaster-bearing solution. Constr. Build. Mater. 2010, 24, 1779–1789. [Google Scholar] [CrossRef]
- Talero, R. Expansive synergic effect of ettringite from pozzolan (metakaolin) and from OPC, co-precipitating in a common plaster-bearing solution. Part II: Fundamentals, explanation and justification. Constr. Build. Mater. 2011, 25, 1139–1158. [Google Scholar] [CrossRef]
- Talero, R. Co-precipitation of fast and slow forming ettringite. Consequence: Expansive Synergic Effect. Its demonstration using mortars and concrete. Mater. Constr. 2011, 61, 327–352. [Google Scholar] [CrossRef][Green Version]
- Talero, R.; Rahhal, V. Calorimetric comparison of portland cements containing silica fume and metakaolin: Is silica fume, like metakaolin, characterized by pozzolanic activity that is more specific than generic? J. Therm. Anal. Calorim. 2009, 96, 383–393. [Google Scholar] [CrossRef]
- Talero, R.; Bollati, M.R.; Hernández, F. Manufacturing non-traditional mortars and concretes by OPC, metakaolin and gypsum (15.05%). Mater. Constr. 1999, 49, 29–41. [Google Scholar] [CrossRef][Green Version]
- Talero, R.; Arámburo, C.; González, M.; Sánchez De Rojas, M.I.; Blázquez, A.; Frías, M.; Pedrajas, C. Sulfate Resistance in OPC and SRPC Containing Calcined Paper Sludge Waste: Ettringite or Thaumasite Formation. J. Mater. Civ. Eng. 2017, 29, 04016222. [Google Scholar] [CrossRef]
- Aramburo, C.H.; Pedrajas, C.; Talero, R. Portland Cements with High Content of Calcined Clay: Mechanical Strength Behaviour and Sulfate Durability. Materials 2020, 13, 4206. [Google Scholar] [CrossRef]
- Pedrajas, C.; Aramburo, C.; Talero, R. Sulphate durability of low carbon cements with high contents of calcined clay. Reasons for the resistant phenomenon. Mater. Today Proc. 2023, in press. [CrossRef]
- Rahhal, V.; Talero, R. Early hydration of portland cement with crystalline mineral additions. Cem. Concr. Res. 2005, 35, 1285–1291. [Google Scholar] [CrossRef]
- Rahhal, V.; Bonavetti, V.; Delgado, A.; Pedrajas, C.; Talero, R. Scheme of the Portland cement hydration with crystalline mineral admixtures and other aspects. Silic. Ind. 2009, 74, 347–352. [Google Scholar]
- Rahhal, V.; Bonavetti, V.; Trusilewicz, L.; Pedrajas, C.; Talero, R. Role of the filler on Portland cement hydration at early ages. Constr. Build. Mater. 2012, 27, 82–90. [Google Scholar] [CrossRef]
- Lea, F.M.; Desch, C.H. Chemistry of Cement and Concrete, 3rd ed.; Edward Arnold Editors: London, UK, 1970. [Google Scholar]
- Grimshaw, R.W. The Chemistry and Physics of CLAYS, Revised, 4th ed.; Ernest Benn Limited: London, UK, 1971. [Google Scholar]
- Garrido, J. Forma y Estructura de los Cristales; Alhambra, S.A., Ed.; Printed in Spain; R.E. 182, calle Claudio Coello, 76; Alhambra: Madrid, Spain, 1973; p. 76. [Google Scholar]
- ASTM C452-68; Standard Test Method for Potential Expansion of Portland Cement Mortars Exposed to Sulphate. International Association for Testing Materials: West Conshohocken, PA, USA, 2021.
- ASTM C845-90; Standard Specification for Expansive Hydraulic Cement. International Association for Testing Materials: West Conshohocken, PA, USA, 2018.
- ASTM C1157M-95; Standard Performance Specification for Blended Hydraulic Cement. International Association for Testing Materials: West Conshohocken, PA, USA, 1995.
- Irassar, E.F.; Bonavetti, V.L.; Castellano, C. Blended cement with illitic calcined clay and calcareous material. Proceedinsg. Contribution ID: 379. In Proceedings of the 14th ICCC, Prague, Czech Republic, 16–20 September 2019. [Google Scholar]
- UNE 80225:2012; Methods of Testing Cement. Chemical Analysis. Determination of Reactive SiO2 Content in Cements, Pozzolans and Fly Ash. AENOR: Madrid, Spain, 2012.
- Talero, R. Gypsum attack: Performance of silicic pozzolans and Portland cements as determined by ASTM C 452-68. Adv. Cem. Res. 2013, 25, 121–135. [Google Scholar] [CrossRef]
- Talero, R. Performance of silicic pozzolans and Portland cements in their behaviour in front of gypsum attack as determined by ASTM C 452-68. Mater. Constr. 2013, 63, 159–193. [Google Scholar] [CrossRef][Green Version]
- Talero, R.; Pedrajas, C.; Delgado, A.; Rahhal, V. Re-use of incinerated agro-industrial waste as pozzolanic addition. Comparison with Spanish silica fume. Mater. Constr. 2009, 59, 53–89. [Google Scholar] [CrossRef]
- Flatt, R.J.; Scherer, G.W. Thermodynamics of Crystallization Stresses in DEF. Cem. Concr. Res. 2008, 38, 325–336. [Google Scholar] [CrossRef]
- Jensen, O.M.; Hansen, P.F. Water-Entrained Cement-Based Materials. Cem. Concr. Res. 2001, 31, 647–654. [Google Scholar] [CrossRef]
- Jensen, O.M.; Hansen, P.F. Water-Entrained Cement-Based Materials. Cem. Concr. Res. 2002, 32, 973–978. [Google Scholar] [CrossRef]
- Li, M.; Liu, J.; Tian, Q.; Wang, Y.; Xu, W. Efficacy of internal curing combined with EA in mitigating shrinkage deformation of concrete under variable temperature condition. Constr. Build. Mater. 2017, 145, 354–360. [Google Scholar] [CrossRef]
- Gwon, S.; Ahn, E.; Shin, M. Self-Healing of Modified Sulfur Composites with Calcium Sulfoaluminate Cement and Superabsorbent Polymer. Compos. Part B Eng. 2019, 162, 469–483. [Google Scholar] [CrossRef]
- Zhao, H.; Jiang, K.; Di, Y.; Xu, W.; Li, W.; Tian, Q.; Liu, J. Effects of Curing Temperature and Superabsorbent Polymers on Hydration of Early-Age Cement Paste Containing a CaO-Based Expansive Additive. Mater. Struct. 2019, 52, 108. [Google Scholar] [CrossRef]
- Yu, L.; Feng, J.J.; Wang, S.; Yang, G.S.; Yan, P.Y. Study on the Expansion and Mechanical Properties of Composite Cementitious Systems with Multi-expansion Sources Expansion Agent. Bull. Chin. Ceram. Soc. 2019, 38, 148–154. (In Chinese) [Google Scholar]











| Type | Main Components | Expansive Hydrates | Main Chemical Reactions |
|---|---|---|---|
| CSA | C4A3Ŝ, C3A, CŜ | AFt | C4A3Ŝ + 6C + 8CŜ + 96H→3(C3A∙3CŜ∙32H) C3A + 3CŜ + 32H→C3A∙3CŜ∙32H |
| CaO | C | CH | C + H→CH |
| CSA–CaO Composite | C4A3Ŝ, CaO, CŜ | AFt, CH | C4A3Ŝ + 6C + 8CŜ + 96H→3(C3A∙3CŜ∙32H) C + H→CH |
| Hypothesis | Main Content | Ref. |
|---|---|---|
| Crystallization pressure hypothesis | Anisotropic ettringite crystals continuously generate and cross-grow, causing crystallization pressure inside the paste matrix and resulting in expansion. | [37,38,39,40,41,42] |
| Water absorption swelling hypothesis | Colloidal ettringite is able to attract a large number of water molecules, which causes interparticle repulsion, resulting in an overall expansion of the system. | [30,43] |
| In situ hydration hypothesis | The ettringite generated by the reaction of sulfate and aluminate in the solid phase has expansion properties, while the reaction in the liquid phase does not. | [30,44,45] |
| Osmotic pressure hypothesis | By the disintegration of expansive substances during hydration or osmotic pressure, coexisting pores are generated, causing expansion. | [34,46,47] |
| W/B Ratio | Type | Amount | Curing Conditions | Ref. |
|---|---|---|---|---|
| 0.165 | CaO, CSA | 40 kg/m3 | (a) 20 °C constant temperature, sealed curing; (b) 20 °C constant temperature, sealed curing for 7 days →20 °C air curing; | [9] |
| 0.15 | CSA | 35 kg/m3 | (a) 20 °C constant temperature, sealed curing; (b) 40 °C constant temperature for 7 days →20 °C constant temperature, sealed curing; | [21] |
| 0.18 | CaO | 80 kg/m3 | 20 °C constant temperature, sealed curing; | [96] |
| 0.25 | CSA | 30 kg/m3 | 60 °C constant temperature curing for 8 h→ 20 °C constant temperature, sealed curing; | [61] |
| 0.15 | CSA | 40 kg/m3 | 80 °C constant temperature curing for 48 h →20 °C constant temperature, sealed curing for 7 days →20 °C 60% RH curing; | [72] |
| 0.165 | CSA | 70 kg/m3 | (a) 20 °C constant temperature, sealed curing for 7 days →20 °C 60% RH curing; (b) 20 °C constant temperature, sealed curing for 7 days →20 °C 100% RH curing; (c) 20 °C constant temperature, sealed curing for 7 days →20 °C water curing; | [98] |
| 0.16 | CSA | 30 kg/m3 | 60 °C constant temperature curing for 8 h →20 °C constant temperature, sealed curing; | [105] |
Disclaimer/Publisher’s Note: The statements, opinions and data contained in all publications are solely those of the individual author(s) and contributor(s) and not of MDPI and/or the editor(s). MDPI and/or the editor(s) disclaim responsibility for any injury to people or property resulting from any ideas, methods, instructions or products referred to in the content. |
© 2024 by the authors. Licensee MDPI, Basel, Switzerland. This article is an open access article distributed under the terms and conditions of the Creative Commons Attribution (CC BY) license (https://creativecommons.org/licenses/by/4.0/).
Share and Cite
Zhang, Y.; Pan, Y.; Ren, T.; Liang, H.; Zhang, J.; Zhang, D. The Application of Calcium-Based Expansive Agents in High-Strength Concrete: A Review. Buildings 2024, 14, 2369. https://doi.org/10.3390/buildings14082369
Zhang Y, Pan Y, Ren T, Liang H, Zhang J, Zhang D. The Application of Calcium-Based Expansive Agents in High-Strength Concrete: A Review. Buildings. 2024; 14(8):2369. https://doi.org/10.3390/buildings14082369
Chicago/Turabian StyleZhang, Yulu, Yifan Pan, Tiezhen Ren, Hongtao Liang, Jianfeng Zhang, and Dakang Zhang. 2024. "The Application of Calcium-Based Expansive Agents in High-Strength Concrete: A Review" Buildings 14, no. 8: 2369. https://doi.org/10.3390/buildings14082369
APA StyleZhang, Y., Pan, Y., Ren, T., Liang, H., Zhang, J., & Zhang, D. (2024). The Application of Calcium-Based Expansive Agents in High-Strength Concrete: A Review. Buildings, 14(8), 2369. https://doi.org/10.3390/buildings14082369

