Abstract
In this study, we developed a wind load calculation program (WCP) capable of predicting wind loads with relative precision during the preliminary design phase. First, wind tunnel tests were conducted to identify the essential factors necessary for calculating wind loads and the variables influencing these factors. Square building shapes were considered, and the wind force coefficients and power spectral density were measured by combining four ground roughness values, eleven side ratios (), four aspect ratios (), and wind directions ranging from 0° to 90°. The wind power coefficient and the spectral coefficient were formulated so that the wind load could be calculated according to various conditions. The WCP computations were based on the calculation of the load combination coefficient using the resonant wind load. Finally, the wind loads obtained from the wind tunnel tests were compared with those predicted by the WCP using an actual project model (inner-core (A) and outer-core (B) types). Building A yielded similar WCP and wind tunnel experimental responses when subjected to wind and laminar wind loads. Additionally, Building B yielded a larger error than that of Building A, but similar results were obtained when buildings were subjected to combination and laminar wind loads.
1. Introduction
Owing to its geographical characteristics, Korea is predominantly mountainous, and the demand for high-rise buildings is increasing owing to urbanization. Given that high-rise buildings ascend in the height direction on a confined plane, most exhibit a substantial aspect ratio (, H: height, B: width, and D: depth). Increases in the aspect ratio cause decreases in the building’s stiffness, rendering high-rise structures susceptible to wind loads, especially at increasing heights owing to the increased wind strength. Therefore, wind-resistant designs are imperative for ensuring the safety of high-rise buildings.
As shown in Figure 1, wind-resistant design methods can be broadly categorized into two types: those based on building structure standards and those based on wind tunnel tests. Wind tunnel testing involves the replication of the surrounding topography, elevation, and building plane, evaluating the wind load on the building from all directions (360°). Consequently, the wind load on the target building can be accurately predicted. However, not only in Korea but also in other countries, various construction consent forms are required to initiate a construction project. During the early stages, the shape and layout of the building often undergo frequent changes based on construction consent outcomes. Several methods are available for evaluating wind loads during this preliminary design stage. Wind tunnel tests have inherent limitations as they demand considerable time for model creation and testing. Therefore, architectural structural design companies typically rely on architectural structural standards that can be calculated and applied relatively simply during the initial phases of a project.
Figure 1.
Wind-load evaluation method: (a) building structure standard and (b) wind tunnel test.
Although structural standards vary from country to country, a wind load calculation method is commonly employed to determine the wind load. The along-wind load can be computed to ascertain the wind response applied to the building by utilizing dynamic factors, such as the gust impact and dynamic response factors. As the wind load in the across-wind and torsional loads lacks an average component, the wind response can be calculated using an equation inferred from experimental results and the spectral modal analysis method []. However, the standard primarily applies to buildings with a rectangular plan and constant elevation, excluding considerations of the influences of wind from surrounding structures. Consequently, it can only be applied to buildings positioned independently. Furthermore, as the wind response is only calculable for the wind direction (0°), perpendicular to the direction from which the wind blows and on one side of the building, designing for wind responses in various wind directions is not feasible.
Given that the maximum wind load encompasses both the average and fluctuating components, a larger average coefficient does not indicate a larger wind load, but it can serve as an indicator. Holmes and Tse selected representative wind tunnel testing companies from seven countries, comparing and analyzing wind responses using the same model. Accordingly, the base overturning moment exhibits either the same or larger values when the wind direction deviates by approximately 10° to 20° compared with the case in which the wind blows directly from the front of the building surface (0°), as depicted in Figure 2 [].
Figure 2.
Plots of base overturning moment according to wind direction: (a) and (b) [].
The across-wind and torsional wind loads exhibit oscillation to the left and right, commencing from zero when the wind originates from the front with the mean component converging to zero. However, a slight deviation in the wind’s direction may introduce an average component owing to vortex asymmetry, leading to an increased value. Therefore, akin to structural standards, it is necessary to assess wind loads not only in a single wind direction (0°) but also in various other directions, applying them during the initial design phase.
To compute the wind load through wind tunnel experiments or standards, several factors such as the mean, variable wind force coefficient, and power spectral density, contingent on the size and shape of the building, must be considered. Numerous studies utilizing wind tunnel experiments have been undertaken to discern the trends and characteristics of these wind response factors based on the building’s size and shape. For instance, Bae et al. maintained constant ground roughness and investigated variations in responses in the along- and across-wind directions corresponding to changes in the side ratio []. Furthermore, based on a comparative analysis of the wind force coefficient, the characteristics of fluctuating wind force coefficient, and the responses in the along- and across-wind directions based on the aspect ratio, it was deduced that beginning with an aspect ratio of three or higher, the response in the across-wind direction surpasses that in the along-wind direction []. In another study, Choi et al. compared and analyzed the trends of the mean wind force coefficient and power spectral density concerning various ground roughness, side ratios, and aspect ratios at a fixed wind direction at 0°. They presented data that could serve as the foundation for the gust loading factor []. Additionally, Choi et al. varied ground roughness to compare and analyze the across-wind response and found that ground roughness had no significant influence on the across-wind response []. Ha et al. identified across-wind trends based on aspect ratio, side ratio, and ground roughness, leading to the presentation and adoption of a wind load calculation formula for across-wind loads in the 0° wind direction based on the KDS 2022 standard [,]. Gil et al. explored torsional response characteristics, deriving empirical equations for the fluctuating moment coefficient and power spectral density in the torsional direction [,]. Lin et al. conducted wind-pressure experiments, identifying wind force coefficients and fluctuating wind force coefficients in the along-, across-, and torsional directions applied to high-rise buildings. They also compared and analyzed axial direction characteristics by evaluating the power spectral density []. Liang et al. undertook a similar study to that conducted by Ha et al., comparing across-wind responses based on the side and aspect ratios, examining the cross-spectrum, fluctuating wind force coefficient of rectangular high-rise buildings, Strouhal number, and cross-wind force correlation []. Jung and Kang proposed spectral experiences applicable to the calculations of wind loads across medium-rise buildings []. Building upon these important foundational research findings, continuous efforts are being expended to compare or supplement Korean standards [,,]. In addition to the square mainly used for the standard, various studies on wind response are also being conducted. Kim et al. compared and analyzed wind responses according to the number of sides, helical angles, and square shapes based on wind tunnel experiments. Based on these efforts, it was confirmed that the coefficient and spectral intensity decreased as the number of sides increased []. Li and Li studied the dynamic response of L-shaped high-rise buildings in the across-wind load case. Accordingly, an empirical formula that can predict the wind load of L-shaped high-rise buildings was proposed []. Sanyal and Dalui determined wind responses according to changes in the side ratio and internal angle of high-rise buildings in a Y-plane based on simulations [,]. As such, many studies have been conducted on wind responses according to the planar shape. However, these research data can only be used efficiently by wind engineers. Structural engineers who design buildings cannot incorporate this information into structural designs. Instead, what they can do is determine the shape of the building.
In the aforementioned studies, programs were developed to establish a wind load database, providing wind coefficients and spectra in the format and specifications of basic buildings. As illustrated in Figure 3, Kwon and Kareem furnished wind responses according to building specifications by calculating wind force coefficients, spectra, displacements, and accelerations []. They predicted wind loads for low-rise buildings and wind-pressure data for high-rise buildings. Tamura conducted wind tunnel experiments using variables for various building forms (stand-alone or concentrated) and created a database, offering wind tunnel experimental data through web services []. Consequently, there is a growing trend in database studies that facilitate the prediction of wind responses solely based on building specifications and the surrounding environment [,].
Figure 3.
Database website (vortex winds): database-enabled design module for high-rise buildings [].
The previously mentioned studies offered a straightforward wind response based solely on the building specifications and surrounding environmental conditions. However, this wind response may pose some challenges in direct application to structural design, where the maximum wind load needs to be calculated using pertinent data and integrated with loads based on axis correlation. Consequently, this study introduces a program designed to easily calculate wind loads for each wind direction by considering load correlation solely in conjunction with the specifications and dynamic characteristics of the building during the preliminary design stage. Furthermore, to construct the program, factors influencing the wind load were identified and assessed based on wind tunnel experiments.
2. Methods
2.1. Wind Load Evaluation Using Wind Tunnel Test
To calculate the wind load acting on a building, a high-frequency force balance (HFFB) was employed. A rigid body model with high stiffness was affixed to a 6-component force balance to measure the wind force and moment acting on the model. Representative characteristic values obtained through the HFFB encompassed the mean wind force coefficient , mean overturning moment coefficient , fluctuating wind force coefficient , fluctuating overturning moment coefficient , mean torsional moment coefficient , fluctuating torsional moment coefficient , and power spectral density of the fluctuating moment . Utilizing these factors, the maximum wind load was calculated based on spectral modal analysis [].
The maximum wind load , derived from the results of HFFBs, can be categorized into the maximum value of the mean wind load and the fluctuating wind load , as illustrated in the following equation,
The mean wind load can be expressed as the following equation, and the wind coefficient can be expressed as a function of height.
where is an index representing the wind speed profile. As the wind power is proportional to the square of the wind speed, is used. In the equation listed above, the mean wind load is computed by applying a distribution according to height, utilizing the mean wind force coefficient derived from the HFFBs. The fluctuating wind load can be categorized into the background and resonant wind loads.
As the background wind load is attributed to the variable component of the wind, it can be expressed using the variable moment coefficient. According to research showing that the wind’s variable component is relatively constant depending on the height, the background wind load can also be calculated to be constant depending on the height []. Resonant wind load due to inertial force can be calculated by using the mass and acceleration of the building and can be expressed as a function of height because the vibration mode of the building according to height is used. Assuming that the peak factor of each variation component is the same, the maximum wind load can be expressed as follows,
where represents the wind force coefficient for design, and is the vertical profile index of the wind force coefficient for design. The wind force coefficient and height distribution for design typically align with the vertical profile of the wind’s speed but can be determined based on wind tunnel experiments using the following equations,
where is the mean wind force coefficient, and is the mean overturning moment coefficient.
The response acceleration of the top layer can be determined using the following equation,
In Equations (8)–(10), the building height , floor height , design velocity pressure , and width are factors related to the scale of the building, whereas the first natural frequency , generalized mass , and damping ratio are dynamic characteristics of the structure. These factors are inherent values unaffected by wind tunnel experiments. Conversely, the mean wind force coefficient , mean overturning moment coefficient , fluctuating overturning moment coefficient , and power spectral density of the overturning moment are wind responses that vary flexibly depending on the shape and size of the building. Therefore, , , , , , and were calculated for various variables (aspect ratio, side ratio, and ground roughness). Based on this process, a system was established to calculate wind response coefficients solely based on shape conditions.
2.2. Load Combination
Research is being actively conducted on the combination and correlation analysis of wind loads generated in structures [,]. The wind loads exerted on a building during strong winds can be broadly categorized into along-wind, across-wind, and torsional-wind. Figure 4 shows an example of the wind loads that occur in the X, Y, and Z axes over time when the wind blows on a building. Wind-resistant designs aim to predict the maximum wind loads that can occur in the X, Y, and Z axes probabilistically and design safely based on the wind load. The wind load highlighted in Figure 4 is the maximum wind load in each axial direction applied to the building. However, the maximum wind loads for each axis do not occur simultaneously. If the wind-resistant design is completed by considering only the maximum wind load, it may result in an excessive design. In addition, wind loads do not operate independently but rather concurrently for multiple axes. Therefore, in many countries, when the maximum wind load occurs on one axis, the wind loads occurring on other axes are appropriately combined and applied simultaneously based on the correlation of each axis. According to existing research findings, the correlation between along-wind and across-wind loads is not significant, but a substantial correlation exists between across- and torsional-wind loads [,]. It is important to note that this correlation finding is limited to a wind direction of 0°. In wind tunnel experiments, the distinctions between along-wind, across-wind, and torsional responses disappear if the wind direction deviates even slightly. Therefore, for a rational evaluation of the wind load acting on a building when the maximum wind load occurs in one direction, the wind load in other directions must be appropriately assessed by considering simultaneity.

Figure 4.
Examples of axial wind loads occurring at the same time: (a) X-, (b) Y-, and (c) Z-axis wind loads.
When the resonance component is substantial, the wind load on a high-rise building increases in proximity to the natural frequency. Consequently, the probability distribution of the response trajectory can be represented as a two-dimensional normal distribution. Figure 5 illustrates an iso-probability diagram corresponding to the maximum values of the responses in the X- and Y-axis directions []. A method can be contemplated to consider the loads at the vertices of the octagon circumscribing the ellipse as the combined load. In instances in which the maximum wind load occurs along the X-axis, the wind load generated along the Y-axis can be computed by multiplying the variable component by the load combination coefficient. This calculation can be expressed using the following equation for determining the combined load ,
where and are the maximum and mean values of the wind load in the Y-axis direction, respectively.
Figure 5.
Wind load combination diagram considering response correlation.
2.2.1. Wind Load Combination Considering Response Correlation
As mentioned earlier, it is imperative to combine the loads judiciously, taking into account the simultaneity of each axis. To achieve this, correlation coefficients (, , and ) for the axial directions and the load combination coefficient () that consider response correlation were computed. Table 1 presents combinations of various axial directions by considering the correlations among the maximum wind load and the responses in each axial direction.
Table 1.
Load combinations.
The correlation coefficients , , and of the overturning moment owing to the wind load between each axis can be expressed as the cross-spectral density and power spectral density of the overturning moment of the wind load, as follows,
where , , and are the cross-spectral densities of the overturning moments of the wind load; , , and are the overturning moment power spectral densities of the wind load; and is the real part of the complex numbers.
The overturning moment due to the wind load at the bottom of the building at time can be calculated using the following equations,
where and are the respective overturning moments due to wind load in the X- and Y-axes at time ; is the torsional moment due to wind load on the Z-axis at time ; and are the respective overturning moments owing to the wind force along the X- and Y-axes at time ; is the torsional moment due to wind force on the Z-axis at time ; , , are the generalized response and angular accelerations, respectively, at time ; and is the building’s height.
To obtain the load combination coefficient while considering the aforementioned correlation response, acquiring the overturning moment power spectral density and cross-spectral density of the wind load, as indicated in Equations (13)–(15), can be inconvenient. To calculate the correlation coefficient based on spectral mode analysis, the spectrum and cross-spectrum must be calculated, and mechanical admittance, coherence of external force, and phase must be considered []. Research on the correlation coefficient of these loads is in progress, but the process is somewhat complicated. Therefore, in this study, the correlation coefficient of the load (including the resonance component) was calculated by directly using the overturning moment time series measured during wind tunnel experiments. To accomplish this, time-series data, encompassing mean, background, and resonant wind loads, are essential. Moments obtained based on wind tunnel experiments (e.g., , , and ) typically include the mean and background (wind fluctuations) but exclude resonance (building vibration). Consequently, we proposed a method to generate time-series data by considering the resonant wind load and calculating the correlation coefficient.
2.2.2. Time History Resonant Wind Load
The design wind load necessitates the inclusion of a resonance component; this component can be computed by using the response acceleration of the building. To calculate the resonant wind load over time, the fluctuating wind speed was employed. Although various power spectral models exist for fluctuating wind speed, such as Davenport [], Mikio, and Kaimal [], the Karman spectrum—acknowledged for its accurate representation of natural wind—was utilized []. The Karman spectrum, as expressed in Equations (19), was reverse analyzed to determine the fluctuating wind speed and response acceleration over time.
This is a nondimensionalized spectrum. To derive the fluctuating wind speed over time at any given height, certain parameters are required, including the turbulence scale (), turbulence intensity (), and the standard deviation of the fluctuating wind speed () at the reference height,
where is the standard height of the building, is the gradient wind height, is the power law exponent, and is the design wind speed. Numerous studies have explored the generation of fluctuating wind speeds using the inverse Fourier transform of the Karman spectrum and have calculated time histories and fluctuating responses [,,,]. Accordingly, the Yules–Walker method was employed to determine the resonant wind load and response acceleration over time. The Yule–Walker method views the spectrum as a type of filter, generates white noise, and creates a time history through the filter.
The response acceleration of an actual building can be determined by converting the power spectral coefficient of the model corresponding to the reduced frequency to the actual coefficient followed by its multiplication by the mechanical admittance,
To compute the time-series resonant wind load, the reduced frequency was determined in this study using the time-series wind speed rather than the average wind speed. Consequently, the reduced frequency was calculated based on time. During the conversion to a real object, the response acceleration over time was computed based on the fluctuating wind speed, rather than relying on the standard deviation of the actual overturning moment.
The actual scale mean wind load and background wind load can be easily determined based on Equation (25) by utilizing wind power measured in wind tunnel experiments, model scale, and wind speed scale. As the wind load calculated from the model moment represents the overturning moment of the mean and background wind loads occurring at the bottom of the building, the resonant wind load for each layer was computed using the vibration mode and floor mass, guided by the response acceleration of the top layer, as presented in Equation (26). The vibration mode and floor mass used in Equation (26) are the dynamic characteristics of the target building and can be calculated by using various structural analysis programs and theoretical methods. As the dynamic characteristics of the actual building (vibration, mass, etc.) are considered, the resonant wind load due to the vibration of the building can be evaluated. As shown in Equation (7), the resonant wind load can be calculated by multiplying the layer response acceleration, the layer vibration mode, and the layer mass. Therefore, the moments are summed from the top to the bottom floor, and the resonance overturning moment on the ground is calculated and added.
where and , respectively, represent the overturning and torsional moments of the actual and model scales measured through wind tunnel testing, and are the wind speed and length scales, respectively, is the response acceleration of the top layer, is the floor mass, and is the floor vibration mode.
2.3. Wind Tunnel Tests
The HFFB test was conducted in a boundary-layer wind tunnel at the Kumoh National Institute of Technology. Figure 6 shows a conceptual diagram of the HFFB test setup. In the wind tunnel experiment, it is important to simulate the actual wind in the wind tunnel. The strength of the wind speed according to the height is expressed as a spire, and the turbulence caused by the ground surface is expressed as a roughness block. The experiment aimed to replicate the vertical profile of the mean wind speed and turbulence intensity for ground roughness A (0.33), B (0.22), C (0.15), and D (0.10) in a wind tunnel, as depicted in Figure 7 and Figure 8.
Figure 6.
High-frequency force balance (HFFB) test setup.
Figure 7.
Wind profiles and turbulence intensities. Ground roughness (a) A, (b) B, (c) C, and (d) D.
Figure 8.
Power spectral density plots at fluctuating wind speeds. Ground roughness (a) A, (b) B, (c) C, and (d) D.
2.3.1. Test Model
The model utilized in the HFFB was created at 1/400th of the turbulence scale of the wind tunnel. For aspect ratios () > 3, the response in the across-wind direction increases due to vortex effects. Consequently, the KDS-2022 standard stipulates special wind loads for buildings with aspect ratios > 3. The aspect ratio of the experimental model was chosen at four levels, namely 3, 4, 5, and 6, with a fixed floor area of 64 m2. The side ratio () was varied and took the following values: 0.2, 0.25, 0.33, 0.5, 0.66, 1, 1.5, 2, 3, 4, and 5. The model was constructed from lightweight, high-stiffness material to ensure that the model’s frequency did not influence the spectrum during the HFFB test, as outlined in Table 2.
Table 2.
Variables in wind tunnel test.
2.3.2. Experimental Conditions and Measurement Methods
To quantify the wind force exerted on the entire model, the experimental model was linked to a 6-component force balance (6-CFB), and data were recorded. The specific 6-CFB utilized was ATI product number SI-65-6 with a sensitivity of 1/80 N for force (F) and 1/1333 N·m for moment (M). As shown in Figure 9, the model was attached to a 6-component meter to measure the wind power and moment generated at the bottom. Actual buildings vibrate when strong winds blow and generate resonant wind loads. However, in the case of wind tunnel experiments, additional air force due to the vibration of the model should not be included. Therefore, the wind speed scale was determined so that the model did not vibrate in wind conditions. A baseline wind speed of 30 m/s was assumed, and the designed wind speed was computed considering ground roughness and height parameters suitable for the model and experimental conditions. Given the square model’s wind direction in the experiment, the study encompassed angles from 0° to 90° at 10° intervals. The data collection conditions are summarized in Table 3.
Figure 9.
View of the HFFB experiment.
Table 3.
Data measurement conditions.
2.3.3. Wind Direction and Axis Definition of Wind Tunnel Test
The axis definitions for the data are illustrated in Figure 10. The data comprise five forces, namely , , , , and . The coefficients for each axis are computed using the following equation,
Figure 10.
Wind direction and axis definition for wind tunnel test.
3. Results
Numerous factors are essential for computing wind loads in wind tunnel experiments. These factors can be influenced by various variables. To calculate the wind load on the building based on the wind direction utilizing pertinent experimental values, the wind coefficient was derived in consideration of these variables, and data were established to forecast the power spectral density. Shin conducted a detailed comparison of the trends in the wind coefficient and power spectral density concerning these variables and wind direction [].
3.1. Formulation of Wind Coefficient and Moment Coefficient
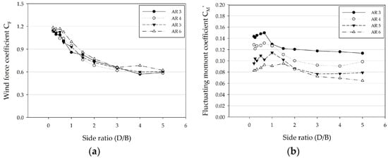
Figure 11 depicts a sample graph illustrating the mean wind force coefficient and fluctuating moment coefficient on the X-axis for ground roughness category A.
Figure 11.
Plots of mean and fluctuating coefficients as a function of the side ratio. (a) Mean force coefficient and (b) fluctuating moment coefficient.
As observed in Figure 11, in the case of the mean wind force coefficient, the wind speed is not greatly affected by the aspect ratio as it increases as the height increases. However, the fluctuating moment coefficient is greatly affected by turbulence as the height decreases; accordingly, its value increases as the aspect ratio decreases. Both the mean and fluctuating coefficients exhibit substantial variations as a function of the side ratio, displaying distinct trends beginning at the side ratio of one [].
As illustrated in Figure 12, the coefficients in Figure 11 were segmented based on a side ratio of one, and a trend line was subsequently drawn. The trend equations are expressed by Equations (24)–(27).
Figure 12.
Plots of the mean and fluctuating coefficients as a function of the side ratio: (a) mean force coefficient (SR ≤ 1), (b) mean force coefficient (SR ≥ 1), (c) fluctuating overturning moment coefficient (SR ≤ 1), and (d) fluctuating overturning moment coefficient (SR ≥ 1).
Equations (29)–(32) are simple examples of trend equations that can calculate wind force coefficients according to conditions. In all conditions, the formula was divided based on the side ratio 1 as indicated above. Subsequently, 2560 equations were formulated to calculate wind force coefficients (eight cases) for each wind direction (0–90°) by considering variations in ground roughness (A, B, C, D), aspect ratio (four cases), and side ratio. Given that the provided equations are limited to calculating wind force coefficients for aspect ratios of 3, 4, 5, and 6, intermediate values, such as aspect ratios of 3.2, 4.3, and 5.6, can be determined based on linear interpolation.
Table 4 presents results that compare the wind-force coefficients obtained during wind tunnel experiments under the conditions of ground roughness category C, utilizing a model with an aspect ratio of five and a side ratio of one. The wind force coefficients were calculated using the formulation proposed in this study. In the table, W.T. refers to the wind force coefficient calculated based on wind tunnel experiments, and T.V. refers to the wind force coefficient calculated using the relevant equation. All eight coefficients composing the wind load align well with the wind tunnel test wind coefficients.
Table 4.
Comparison of wind tunnel experimental results and theoretical values.
3.2. Construction of Basic Power Spectral Density Data
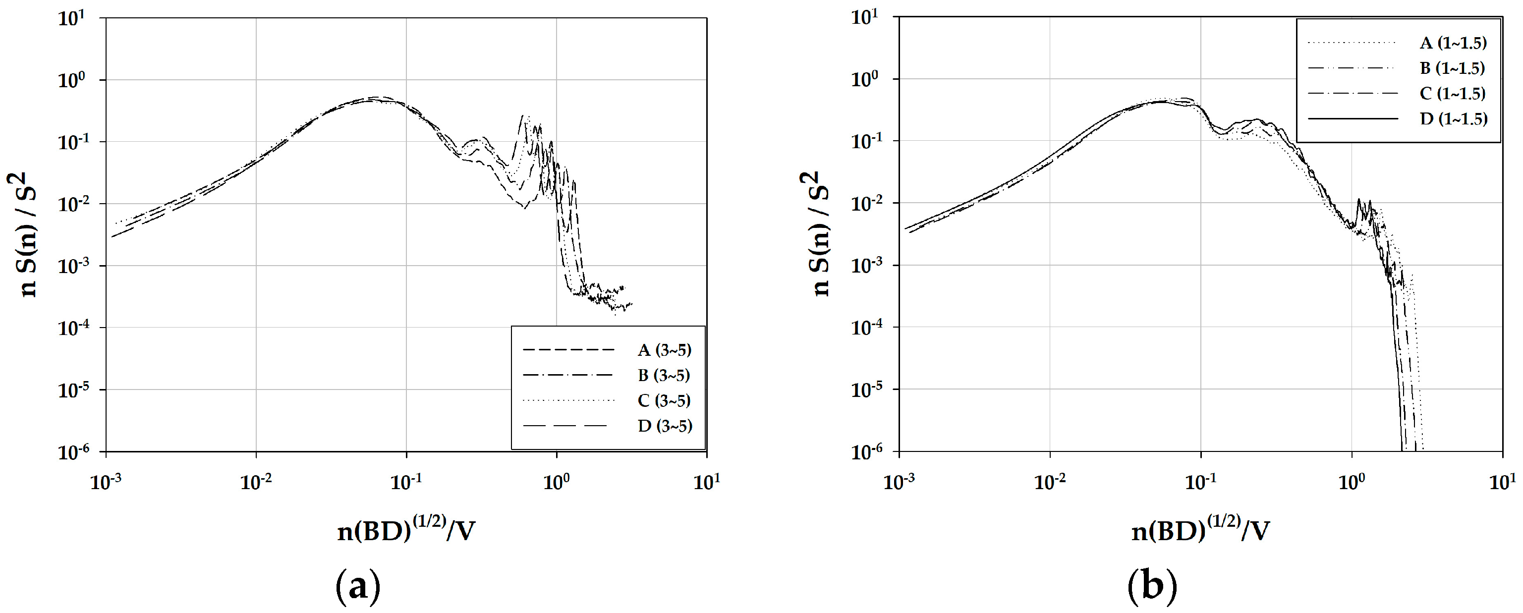
The power spectral density of variable wind speeds remained unaffected by the shape of the building, whereas the power spectral density of the fluctuating moment exhibited variations. The airflow patterns surrounding the building are contingent on the building’s shape, influencing the spectrum that mirrors airflow variability. As an illustrative example, the spectrum in the along-wind direction assumed a broadband shape, while the spectrum in the across-wind direction exhibited a distinct narrow band shape.
Numerous studies have shown that the power spectral density of variable wind forces is not significantly influenced by the aspect ratio, side ratio, or ground roughness. However, a recent investigation by Shin [], depicted in Figure 13, revealed that with an increase in the aspect ratio, the first peaks in the across-wind and torsional directions become more pronounced. Additionally, a flatter ground surface amplifies this effect.
Figure 13.
Comparison of across-wind power spectra according to the aspect ratio. Ground roughness (a) A, (b) B, (c) C, and (d) D.
Moreover, as depicted in Figure 14, the spectrum of the secondary peak, attributed to vortices and reattachment, progressively attained a flatter ground surface, indicating an influence of ground roughness on the secondary peak. The numbers within parentheses in Figure 14 represent the side ratios.
Figure 14.
Comparison of power spectral densities at various ground roughness types; (a) across-wind and (b) torsional.
Hence, foundational data were established to facilitate spectrum utilization based on linear interpolation, accounting for variations in aspect and side ratios. Ground roughness was categorized into four classes, namely A, B, C, and D.
Figure 15 illustrates the power spectral densities under various conditions, as computed from the foundational data. In the Figure 15, SR, GR, and AR denote the side ratio, ground roughness, and aspect ratio, respectively. It is observed that the power spectral density for the X-axis, Y-axis, and Z-axis can be determined across various aspect ratios, side ratios, and ground roughness values.
Figure 15.
Power spectral density plots according to different SR, AR, and GR settings. (a) X-axis, 90°, SR = 3, GR: D, and variable AR values. (b) Y-axis, 0°, AR = 4.5, GR: D, and variable SR values. (c) Z-axis, 0°, AR = 5, GR: A, and variable SR values.
The figure trends exhibit a distinct shape reminiscent of the resonance component in the high-frequency band. Notably, this phenomenon occurs in the low-frequency band as the difference between the width (side ratio of 5 or 0.2) and the depth increases. This signifies a resonance phenomenon in the model owing to vibration during the wind tunnel experiment. When computing the actual wind load, only the response corresponding to the shape should be integrated into the spectrum, excluding the vibration component of the model. In instances where this phenomenon is present in the spectrum, its inclusion in the reduced frequency peak of the building may lead to an exceptionally large (calculated) resonant wind load. Typically, this is not problematic, as the response of model vibration occurs in a broader frequency band than the reduced frequency band (0.1 to 1) of the building. The power spectral density presented in this study applies solely to buildings with a reduced frequency (calculated as the maximum value between the width and depth) between the values of 0.1 and 1. Otherwise, it must be judiciously corrected and employed based on the expertise of a wind engineering professional.
3.3. Wind Load Combination Considering Response Correlation
3.3.1. Generating Time Series Fluctuating Wind Speed
Since the data obtained by the HFFB include solely the mean and background components, incorporating the resonance component is imperative for calculating the design wind load over time. In this investigation, a resonant wind load was generated by utilizing a time-series fluctuating wind speed. This fluctuating wind speed was produced by using the Karman spectrum and the Yule–Walker method. The time interval of the generated fluctuating wind speed was 0.002857 s (actual: 0.142 s), with a total duration of 12 s (actual: 600 s). The dataset comprised 4200 samples and the frequency interval was 1/350 Hz.
Figure 16 illustrates the fluctuating wind speeds for ground roughness categories A, B, C, and D at the aspect ratio of four. A comparison between the Karman spectrum at the standard height of the model and the spectrum of the generated fluctuating wind speed is presented in Figure 17. Notably, the slope, a spectral characteristic of fluctuating wind speed in the high-frequency band, is consistently represented as a power of −5/3.
Figure 16.
Fluctuating wind speed according to ground roughness. Ground roughness (a) A, (b) B, (c) C, and (d) D.

Figure 17.
Response acceleration time series for 0°. Ground roughness (a) A, (b) B, (c) C, and (d) D.
3.3.2. Generating Time-Series Resonance Wind Load
The dynamic characteristics of the buildings are listed in Table 5. For all aspect and side ratios, the frequency was computed as a function of height. Following the KDS2022 guidelines, the damping ratio was determined to be equal to 1.2% for buildings exceeding 80 m in height, and the building density was found to be equal to 330 kg/m3 based on the volume for typical residential structures. It was assumed that the primary vibration mode of the building was dominant, and the primary vibration modes along the X-, Y-, and Z-axes were presumed to be linear (z/H).
Table 5.
Assumed dynamic characteristics of the buildings.
To compute the time-series resonant wind load, the time-series wind speed (as opposed to the mean wind speed) was employed in this study to calculate the reduced frequency . Consequently, the reduced frequency was computed differently depending on time. In the process of translating the spectral coefficient into reality, the standard deviation of the actual conduction moment was calculated based on the fluctuating wind speed, and the response acceleration over time was subsequently determined. Figure 18 illustrates the time-series response acceleration for ground roughness C, aspect ratio equal to four, side ratio equal to one, and a wind direction of 0°.
Figure 18.
Response acceleration time series with a wind direction of 0°: (a) X-, (b) Y-, and (c) Z-axes.
Figure 18 shows that the vibration in the across-wind direction (based on the shape ratio of three) is greater than that in the along-wind direction. Consequently, it is two to three times larger than the along-wind vibration in the across-wind direction. Utilizing this approach, the time-series response acceleration from 0° to 360° was employed to calculate the resonant wind load.
Table 6 and Figure 19 depict the disparities between the method of calculating the response acceleration by generating the time-series wind speed presented in this study and the conventional wind tunnel experimental method used to compute the maximum response acceleration using the standard deviation and peak factor. The method employed in this study yielded the maximum value among the time-series response accelerations for each wind direction. From the Figure 19 and Table 6, it is evident that the tendencies of the maximum accelerations in both methods were similar depending on the wind direction, and the error was not substantial.
Table 6.
Comparison of maximum and time-series response accelerations.
Figure 19.
Comparison of maximum response and time-series response accelerations: (a) X-, (b) Y-, and (c) Z-axes.
Figure 20 shows that the wind load in the X-axis direction is biased in the positive direction owing to the presence of an average component. In the Y-axis and Z-axis directions, where there is no average component, the wind load oscillates from left to right and is centered around the origin. Therefore, it can be observed that the load is distributed based on the zero value. Utilizing the conditions and dynamic characteristics of the building computed in this manner, a time-series wind load was generated, and a program was developed to calculate the load combination coefficient considering the response correlation, as shown in Equation (7).
Figure 20.
Wind load time series for a wind direction of 0°: (a) X-, (b) Y-, and (c) Z-axes.
3.4. Application of Wind Load Calculation Program
To ascertain the disparities between this study’s wind load calculation program (WCP) and existing wind tunnel experiments, wind loads were calculated and juxtaposed for each building. Furthermore, the floor wind loads for the two methods were computed and compared by considering the load combination coefficient.
3.4.1. Target Buildings and Conditions
Square buildings can be categorized into inner- and outer-core types. While these structures may be perceived as square buildings, their responses to wind conditions can vary considerably owing to the exposure of the core to the external environment. Hence, the primary focus of the comparison was on buildings featuring an internal core, exemplified by officetels (Building A), and buildings with an external core commonly employed in residential areas, characterized by a forward orientation (Building B). The configurations of the designated buildings are depicted in Figure 21. Building specifications are summarized in Table 7, and experimental conditions are outlined in Table 8.
Figure 21.
Target buildings. (a) Elevation of Building A, (b) floor plan of Building A, (c) elevation of Building B, and (d) floor plan of Building B.
Table 7.
Building specifications.
Table 8.
Wind tunnel test data measurement conditions.
The ground roughness was set at C, representing a relatively flat area. The experimental wind direction spanned from 0° to 350°, assuming an unobstructed environment where the area was isolated without any obstacles. In the WCP, data from 0° to 90° were symmetrically extended to generate data from 0° to 350°.
3.4.2. Comparison of Wind Coefficients and Power Spectral Density
Figure 22 illustrates the inner-core type (A), while Figure 23 presents a graph comparing the wind force coefficients for the external-core type (B). In the case of Building A, both the mean and fluctuating coefficients exhibited a relatively good match, despite the existence of some errors, owing to the absence of irregularities outside the building and its regular shape. Regarding Building B, the mean coefficients tended to align well, but the coefficient of variation exhibited a larger difference than that of the mean coefficient owing to the core protruding outside. This tendency was more pronounced in the Z-axis direction.
Figure 22.
Wind coefficients for Building A. (a) , (b) , (c) , (d) , (e) , and (f) .
Figure 23.
Wind coefficients for Building B. (a) , (b) , (c) , (d) , (e) , and (f) .
Figure 24 and Figure 25 depict graphs comparing the spectra from the wind tunnel tests for Buildings A and B with the spectra from the WCP. The comparison focused on the 270° wind direction among 0°, 90°, and 270°, anticipating significant wind effects owing to the protruding core.
Figure 24.
Power spectral densities of Building A. (a) X-axis–0°, (b) Y-axis–0°, (c) Z-axis–0°, (d) X-axis–270°, (e) Y-axis–270°, and (f) Z-axis–270°.
Figure 25.
Power spectral densities of Building B. (a) X-axis–0°, (b) Y-axis–0°, (c) Z-axis–0°, (d) X-axis–270°, (e) Y-axis–270°, and (f) Z-axis–270°.
Aligned with the wind coefficient trend, Building A (a building with an internal-core type) exhibits a striking similarity between the spectrum obtained during wind tunnel tests and that from the WCP. Conversely, Building B, which is an external-core type, does not match as accurately as Building A. Nevertheless, there is a substantial resemblance in both the frequency band where the primary peak occurs and the magnitude of the primary peak. The slope of the high-frequency band is also consistent. However, during the occurrence of the secondary peak in the responses of the across-wind and torsional directions, it yields a relatively lower value compared with the spectrum in the wind tunnel experiment. Consequently, errors in wind load calculations are anticipated.
3.4.3. Maximum Wind Load Comparison
The wind load was computed for each wind direction utilizing data from the wind tunnel experiment, wind coefficient, and power spectral density obtained from the WCP for comparative analysis. In this context, the X- and Y-axes signify the overturning moment at the building’s base, while the Z-axis denotes the torsional moment at the base of the building.
Figure 26 and Figure 27 depict comparison graphs of the maximum overturning moments of the wind loads calculated from the wind tunnel tests and the WCP. In these Figures, the symbol ● represents the wind tunnel experiment, while the symbol ○ represents the WCP. The horizontal axis denotes the wind direction, and the vertical axis denotes the base overturning moment (kN·m). Regarding Building A, where the average component is zero in the section illustrating the across-wind and torsional responses, it is evident that the two methods are highly similar, except for the opposite phases. Building B exhibited similar average coefficients and spectra but displayed errors in the spectrum and fluctuating coefficients, thus resulting in variations in the coefficient of variation, across-wind, and torsional responses based on the wind direction. Nevertheless, when comparing the maximum values, both methods demonstrated similar wind loads. According to this result, additional research is needed to apply WCP to the external core (Building B) type.
Figure 26.
Comparison of the maximum overturning moments of Building A. (a) X-, (b) Y-, and (c) Z-axes.
Figure 27.
Comparison of the maximum overturning moments of Building B. (a) X-, (b) Y-, and (c) Z-axes.
Table 9 lists the maximum values among the X-, Y-, and Z-axis wind loads corresponding to different wind directions in the wind tunnel experiments and the WCP. The wind direction associated with the maximum wind load is indicated in parentheses. Looking at the errors according to the two methods and axes, Building A yielded errors equal to 14%, 4%, and 4% on the X, Y, and Z axes, respectively, and Building B yielded the respective errors of 14%, 6%, and 8%. As only the maximum loads of the two buildings were compared (rather than using multiple cases), it was not possible to determine which method or which building matched better. As the maximum wind load in each axial direction does not occur simultaneously, the values in Table 9 are not used as listed but were incorporated by considering the appropriate load combination coefficient. Therefore, it is inappropriate to conclude that the maximum wind load alone poses a disadvantage for design. Even if the maximum wind load is low, it does not necessarily imply safety.
Table 9.
Comparison of the maximum value of wind load calculation method.
Given that both target buildings have rectangular shapes, the wind loads from the wind tunnel test and the WCP exhibited similar results. Notably, the maximum wind direction predominantly occurs when the wind strikes the surface vertically (e.g., at the directions of 0° and 90°). As mentioned earlier, higher loads were observed when the wind direction deviated slightly from the perfectly vertical orientation (e.g., 10°, 80°, and 100°). Consequently, it is imperative to calculate wind loads according to the specific wind direction and incorporate this information into structural design considerations, rather than solely focusing on wind loads at 0° and 90°, akin to the standard wind load approach.
3.4.4. Load Combination Comparison
To combine these loads, the response correlation load coefficient was calculated by using the correlation coefficient . The combined load was determined using the load combination coefficient calculation method by taking into account the response correlation discussed in Section 3.3. Specifically, the floor shear force was compared in load Case 1, where the X-axis wind load of the combined load of Building A was at its maximum, and load Case 2, where the Y-axis wind load of the combined load of Building B was also at its maximum.
Figure 28 illustrates a load case in which the X-axis of Building A is at its maximum. It is evident that when the X-axis wind load is at its maximum, the distribution of the X-axis wind load with respect to height remains consistent in the cases of wind tunnel experiments and the WCP. In contrast, the standard wind load, calculated by multiplying the dynamic factor with the mean wind load, follows the mean wind speed distribution. The wind tunnel experiments and WCP show that the wind directions corresponding to the maximum X-axis are 270° and 90°, respectively, indicating a response in the across-wind direction. Consequently, the mean component is diminished, resulting in a distribution distinct from the standard wind load. During structural design, whereby the wind load was applied to each floor, utilizing the standard method may yield larger wind loads than those obtained from wind tunnel tests in some scenarios. Moreover, the height distribution may significantly differ from that of the wind tunnel test. Taking this into consideration, the WCP proposed in this study allows for the consideration of the wind direction in which the wind acts dangerously. It enables the application of wind load by reproducing the load distribution (as a function of height) corresponding to the wind direction, like the wind tunnel experiment case. In addition, for the combined load, comparable values were observed across all axes, with the maximum occurring in a wind direction akin to that in the wind tunnel experiments, resulting in a consistent height distribution. Given this, the WCP proposed in this study, which efficiently computes wind-tunnel loads without requiring wind tunnel experiments, can significantly aid in the design and schedule management.
Figure 28.
Load combinations for Building A (maximum X-axis). (a) X-, (b) Y-, and (c) Z-axes.
Figure 29 illustrates the load case when the Y-axis of Building B was at its maximum. Similar to Building A in Figure 28, upon comparison of the wind load from the wind tunnel test and the wind load from the WCP, it is evident that the absolute values of the wind load and the distribution in the height direction align relatively well. Therefore, employing the WCP presented in this study allows the straightforward calculation of wind loads resembling those from wind tunnel experiments using only the specifications and dynamic characteristics of square buildings. Additionally, a vertical distribution akin to that observed in the wind tunnel experiment can be considered for load combination. This facilitates cost-effective and secure structural design during both the preliminary and detailed design stages.
Figure 29.
Load combinations for Building B (maximum Y-axis). (a) X-, (b) Y-, and (c) Z-axes.
4. Conclusions
In this study, a WCP was developed to facilitate the computation of wind loads generated during wind tunnel tests. The HFFB served as the basis for constructing the WCP, and fundamental data were compiled by discerning patterns in the elements constituting wind loads across various variables. The study encompassed eleven side ratios (ranging from 0.2 to 5), four ground roughness categories (A, B, C, and D), and four aspect ratios (3, 4, 5, and 6) at 10° intervals (from 0° to 90°) with wind rotation during experimentation. Additionally, a load combination system, accounting for response correlation, was established to calculate the probabilistic occurrence of combination loads on other axes when the maximum wind load was realized.
- (1)
- Formulation of wind coefficient and construction of basic power spectral density data for the fluctuating moment
To derive the eight coefficients essential for spectral modal analysis, 2560 equations were developed encompassing 44 configurations, 4 ground roughness categories (A, B, C, and D), and 10 wind directions (ranging from 0° to 90°). The power spectral density of the fluctuating moment was established as a data form, allowing the determination of the power spectral density form based on variations in the side ratio, aspect ratio, and ground roughness.
- (2)
- Response correlation load combination method using fluctuating wind speeds
By employing the Karman spectrum and the Yule–Walker method, a time-series fluctuating wind speed was generated and the time-series response acceleration was computed. Consistent findings were observed when these results were compared with the maximum response acceleration derived from conventional wind tunnel experiments. Consequently, a program was devised to calculate the correlation coefficients, encompassing the resonance components.
- (3)
- Comparison of wind loads from existing wind tunnel experiments and WCP
Buildings A (inner core type) and B (outer core type) exhibited identical or similar results depending on the wind direction, including parameters such as the wind coefficient and power spectral density. However, Building B (outer-core type) yielded a larger error due to the core. Regarding the power spectral density of Building B, when responses in the across-wind and torsional directions were observed, the value appeared small in the dimensionless frequency range of 0.1 to 1. The calculated base overturning moment demonstrated comparable values for both methods. Moreover, in the context of load combination, both approaches yielded similar values and height distributions for Buildings A and B.
By taking the results presented above into consideration, employing the WCP proposed in this study allows easy acquisition of results akin to those derived from wind tunnel experiments by relying solely on the specifications and dynamic characteristics of a rectangular building during preliminary and implementation design stages. Nevertheless, certain restrictions, such as maintaining a regular shape (inner-core type), a secluded location, and the absence of external structures that could disrupt the wind flow, are crucial. In circumstances wherein these conditions are not met, there is a possibility that the wind load values may deviate to some extent.
The limitations of this study are as follows:
- The shape of the building should be formal and constant in the height direction
- The building must not be affected by the wake of surrounding buildings
- Reduced frequency (larger value between B and D) shall be in the range of 0.1–1
- The side ratio of the building shall be in the range of 0.2–5
- The aspect ratio of the building shall be in the range of 3–6
In the case of 1, the wind response is very different depending on the shape of the plane and elevation as shown in Figure 30 []. Many variables and conditions are required to accumulate data in WCP. Even considering only the square shape, it takes a lot of time because a wind tunnel experiment must be performed to calculate the coefficients according to various conditions. Therefore, in this study, the study was conducted by limiting it to a rectangular form.
Figure 30.
Comparison of maximum mean overturning moment [].
In the case of 2, the increase in wind load on the target building due to the surrounding building is called the interference effect as shown in Figure 31 []. Several country standards also emphasize the importance of the interference effect. Figure 32 is an example of the interference effect. Wind load is mainly evaluated through spectral mode analysis, and it can be seen that the shape of the spectrum changes depending on the presence or absence of surrounding buildings. This interference effect is not easy to predict because it changes depending on the location of the surrounding buildings and the arrangement of the buildings. In this study, even if the interference effect is excluded, since the wind response is evaluated through quite a few variables, a study was conducted on a single building.
Figure 31.
Distribution of interference factors on maximum along-wind base moment coefficients []. (a) mean, (b) RMS.
Figure 32.
Examples of spectral coefficients for interference effects. (a) when there are no surrounding buildings, (b) when there are surrounding buildings.
In the case of 3, the oscillations of the model are included in the spectrum as shown in Figure 15. This phenomenon occurs in a model of high aspect ratio and side ratio. However, in the spectrum, only the wind response depending on the shape should be measured, and the response to the vibration of the model should be removed. During this study, the effect of the vibration of the model mainly occurred when the reduced frequency was greater than 1.
In the case of 4 and 5, since the WCP of this study was composed by calculating the trend equation according to various aspect and side ratios, it is believed that it can be used under conditions other than aspect ratio 3–6 and side ratio 0.2–5. However, since it has not been verified, it is recommended to use it under the same conditions as in this study.
Consequently, these considerations (outer-core type, various conditions) warrant further investigation in future studies.
To reduce the limitations of the WCP mentioned above, it is believed that future research on various plan shapes, core locations, and interference effects that were not covered in this study will be necessary. Additionally, in this study, case comparisons were conducted on only two buildings. Since the sample was so small, the assessment of WCP may have been biased. Therefore, there is a need to compare and analyze additional and more diverse cases in future research.
Author Contributions
Conceptualization, D.-H.S.; Software, D.-H.S.; Validation, Y.-C.H.; Investigation, D.-H.S.; Resources, D.-H.S.; Data curation, D.-H.S.; Writing—original draft, D.-H.S.; Writing—review and editing, Y.-C.H.; Supervision, Y.-C.H.; Project administration, Y.-C.H. All authors have read and agreed to the published version of the manuscript.
Funding
This research received no external funding.
Data Availability Statement
The datasets in the current study are available from the corresponding author upon reasonable request.
Conflicts of Interest
Author Dong-Hyeon Shinwas employed by the company Kumoh Architectural Wind Engineering Lab Co., Ltd. The remaining author declare that the research was conducted in the absence of any commercial or financial relationships that could be construed as a potential conflict of interest.
References
- KDS 41 12 00; Building Design Load. Ministry of Land, Infrastructure and Transport: Sejong-si, Republic of Korea, 2022.
- Holmes, J.D.; Tse, T.K.T. International high-frequency base balance benchmark study. Wind Struct. 2014, 18, 457–471. [Google Scholar] [CrossRef]
- Bae, J.S.; Hwang, S.K.; Ha, Y.C. Characteristics on the Dynamic Responses of the Structural dir Directions to Tall Buildings under Wind Actions with Various Side Ratios. J. Wind Eng. Inst. Korea 2009, 12, 24–31. [Google Scholar]
- Bae, J.S.; Hwang, S.K.; Kim, D.W.; Ha, Y.C. Comparison of the Dynamic Responses between Alng Wind and Across Wind Square Buildings with Various Aspect Ratios under Wind Actions. J. Archit. Inst. Korea Struct. Constr. 2008, 24, 29–36. [Google Scholar]
- Cloi, U.H.; Hwang, S.K.; Kil, Y.S.; Ha, Y.C. Consideration Specific about Horizon Direction Wind Loading. J. Autumn Annu. Conf. AIK 2007, 27, 405–408. [Google Scholar]
- Choi, S.G.; Kil, Y.S.; Kim, D.W.; Ha, Y.C. Characteristics of the Across-Wind Force of Rectangular Tall Buildings with Various Roughness. J. Wind Eng. Inst. Korea 2005, 9, 79–85. [Google Scholar]
- Ha, Y.C.; Kil, Y.S.; Hwang, S.K.; Kim, D.W. Simplified Formulas for Estimating the Across-wind Induced Response of Rectangular Tall Buildings. J. Archit. Inst. Korea Struct. Constr. 2007, 23, 39–48. [Google Scholar]
- Ha, Y.C.; Kil, Y.S.; Kim, D.W. Across-wind Fluctuating Moment Coefficient and Power Spectral Density Coefficient for Estimating Across-wind Load of Tall buildings. J. Archit. Inst. Korea Struct. Constr. 2005, 21, 37–45. [Google Scholar]
- Kil, Y.S.; Kim, D.W.; Jeong, Y.B.; Ha, Y.C. Characteristics of Torsional Wind Force of Rectangular Tall Building by Wind Tunnel Test. J. Wind Eng. Inst. Korea 2006, 10, 233–240. [Google Scholar]
- Kil, Y.S.; Kim, D.W.; Kim, H.R.; Ha, Y.C. Torsional-wind Fluctuating Moment Coefficient and Power Spectral Density Coefficient for Estimating Torsional-wind Load of Tall buildings. J. Wind Eng. Inst. Korea. 2007, 11, 187–194. [Google Scholar]
- Lin, N.; Letchford, C.; Tamura, Y.; Liang, B.; Nakamura, O. Characteristics of wind forces acting on tall buildings. J. Wind Eng. Ind. Aerodyn. 2005, 93, 217–242. [Google Scholar] [CrossRef]
- Liang, S.; Liu, S.; Li, Q.S.; Zhang, L.; Gu, M. Mathematical model of acrosswind dynamic loads on rectangular tall buildings. J. Wind Eng. Ind. Aerodyn. 2002, 90, 1757–1770. [Google Scholar] [CrossRef]
- Jeong, S.Y.; Kang, H.G. Determination of Across-Wind Loads on Mid-Rise Buildings. J. Wind Eng. Inst. Korea 2019, 23, 197–202. [Google Scholar] [CrossRef]
- Kang, H.G.; Jeong, S.Y.; Alinejad, H. Comparative Study on Standards of Across- and Torsional-Wind Loads. J. Wind Eng. Inst. Korea 2019, 23, 151–159. [Google Scholar]
- Kang, H.G.; Jeong, S.Y.; Alinejad, H. Understanding of Wind Load Determination according to KBC 2016 and Its Application to High-Rise Buildings. J. Wind Eng. Inst. Korea 2019, 23, 83–89. [Google Scholar]
- Kang, H.G.; Jeong, S.Y.; Alinejad, H. Comparative Study on Standards of Along-Wind Loads for the Design of High-Rise Buildings. J. Wind Eng. Inst. Korea 2019, 23, 135–142. [Google Scholar]
- Kim, T.C.; Bandi, E.K.; Yoshida, A.; Tamura, Y. Response characteristics of super-tall buildings — Effects of number of sides and helical angle. J. Wind Eng. Ind. Aerodyn. 2015, 145, 252–262. [Google Scholar] [CrossRef]
- Li, Y.; Li, Q. Across-wind dynamic loads on L-shaped tall buildings. Wind Struct. 2016, 23, 385–403. [Google Scholar] [CrossRef]
- Sanyal, P.; Dalui, S. Effects of side ratio for ‘Y’ plan shaped tall building under wind load. Build. Simul. 2021, 14, 1221–1236. [Google Scholar] [CrossRef]
- Sanyal, P.; Dalui, S. Effects of internal angle between limbs of “Y” plan shaped tall building under wind load. J. Build. Eng. 2021, 33, 101843. [Google Scholar] [CrossRef]
- Kwon, D.K.; Kareem, A. A Multiple Database-Enabled Design Module with Embedded Features of International Codes and Standards. Int. J. High-Rise Build. 2013, 2, 257–269. [Google Scholar]
- Tamura, Y. TPU Global CoE Program “New Frontier of Education and Research Wind Engineering”, Tokyo Polytechnic University 2022. Available online: http://wind.arch.t-kougei.ac.jp (accessed on 20 January 2024).
- Huang, Y.; Ou, G.; Fu, J.; Wu, H. Prediction of skewness and kurtosis of pressure coefficients on a low-rise building by deep learning. Wind Struct. 2023, 36, 393–404. [Google Scholar] [CrossRef]
- Merhi, A.; Letchford, C.W. Computational method in database-assisted design for wind engineering with varying performance objectives. Wind Struct. 2021, 32, 439–452. [Google Scholar] [CrossRef]
- Ha, Y.C. Wind Resistant Design on Buildings; Gumiseogwan: Seoul, Republic of Korea, 2021. [Google Scholar]
- Ryu, H.J.; Shin, D.H.; Ha, Y.C. The Wind Load Evaluation on Building Considering Vertical Profile of Fluctuating Wind Force. J. Archit. Inst. Korea Struct. Constr. 2019, 35, 157–164. [Google Scholar] [CrossRef]
- Wang, X.; Quan, Y.; Zhang, Z.; Gu, M. Study on the size reduction factor of extreme wind pressure of facade cladding of high-rise buildings with square section. Wind Struct. 2023, 36, 41–60. [Google Scholar] [CrossRef]
- Wang, Q.; Yu, S.; Ku, C.; Garg, A. Combination coefficient of ESWLs of a high-rise building with an elliptical cross-section. Wind Struct. 2020, 31, 523–532. [Google Scholar] [CrossRef]
- Kim, W.S.; Kim, Y.C. Wind Loading Combination considering Response Correlations between Acrosswind and Torsional Directions. J. Archit. Inst. Korea Struct. Constr. 2015, 31, 55–62. [Google Scholar] [CrossRef]
- Kim, W.S.; Yoshida, A.; Tamura, Y. Correlation Analysis of Aerodynamic Forces acting onTall Buildings with Various Side Ratios. J. Comput. Struct. Eng. Inst. Korea 2015, 28, 153–160. [Google Scholar] [CrossRef][Green Version]
- KBC. Korean Building Code and Commentary; Architectural Institute of Korea: Seoul, Republic of Korea, 2016. [Google Scholar]
- Asami, Y. Combination method for wind loads on high-rise building. In Proceedings of the 16th National Symposium on Wind Engineering, Tokyo, Japan, November 2000. [Google Scholar]
- Davenport, A.G. The Dependence of Wind Load on Meteorological Parameters. Wind Eff. Build. Struct. 1967, 1, 69–82. [Google Scholar]
- Kaimal, J.C.; Wyngaard, J.C.; Izumi, Y.; Cote, O.R. Spectral Characteristics of Surface Layer Turbulence. Q. J. R. Meteorol. Soc. 1972, 98, 563–569. [Google Scholar] [CrossRef]
- Kato, N.; Ohkuma, T.; Kim, J.R.; Murakawa, H. Full scale measurements of wind velocity in two urban areas using an ultrasonic anemometer. J. Wind Eng. Ind. Aerodyn. 1992, 41–44, 67–78. [Google Scholar] [CrossRef]
- Hwang, J.S.; Kwon, D.K.; Noh, J.; Kareem, A. Identification of acrosswind load effects on tall slender structures. Wind Struct. 2023, 36, 221–236. [Google Scholar] [CrossRef]
- Hwang, J.S. A Estimation Method of Wind Load Using the Acceleration of Building. J. Wind Eng. Inst. Korea 2005, 9, 197–207. [Google Scholar]
- Hwang, J.S. Vibration Analysis of Structures using Wind Load Generation. J. Wind Eng. Inst. Korea 2012, 16, 40–45. [Google Scholar]
- Hwang, J.S.; Lee, S.H.; Ha, Y.C. Time History Analysis of Building Structure Using Load Generation of Design Wind Load Spectrum. J. Wind Eng. Inst. Korea 2015, 19, 43–49. [Google Scholar]
- Shin, D.H. A Study on the Simplified Calculation Method of Wind Loads on Rectangular Tall Buildings Based on Wind Tunnel Tests Data. Ph.D. Thesis, Kumoh National Institute of Technology, Gumi, Republic of Korea, 2023. [Google Scholar]
- Asami, Y.; Kondo, K.; Hibi, K. Experimental Research of Aerodynamic Force on Rectangular Prism. J. Wind Eng. (Jpn.) 2002, 91, 83–88. [Google Scholar] [CrossRef] [PubMed]
- Tanaka, H.; Tamura, Y.; Ohtake, K.; Nakai, M.; Kim, Y.C.; Bandi, E.K. Aerodynamic and Flow Characteristics of Tall Buildings with Various Unconventional Configurations. Int. J. High-Rise Build. 2013, 2, 213–228. [Google Scholar]
- Kim, W.; Tamura, Y.; Yoshida, A. Interference effects on aerodynamic wind forces between two buildings. J. Wind Eng. Ind. Aerodyn. 2015, 147, 186–201. [Google Scholar] [CrossRef]
Disclaimer/Publisher’s Note: The statements, opinions and data contained in all publications are solely those of the individual author(s) and contributor(s) and not of MDPI and/or the editor(s). MDPI and/or the editor(s) disclaim responsibility for any injury to people or property resulting from any ideas, methods, instructions or products referred to in the content. |
© 2024 by the authors. Licensee MDPI, Basel, Switzerland. This article is an open access article distributed under the terms and conditions of the Creative Commons Attribution (CC BY) license (https://creativecommons.org/licenses/by/4.0/).





