Next Article in Journal
Unique Aspects of Scaffolding Design for the Urgent Seismic Retrofitting of Zagreb Cathedral
Previous Article in Journal
Predicting Land Use Changes under Shared Socioeconomic Pathway–Representative Concentration Pathway Scenarios to Support Sustainable Planning in High-Density Urban Areas: A Case Study of Hangzhou, Southeastern China
 
 
Font Type:
Arial Georgia Verdana
Font Size:
Aa Aa Aa
Line Spacing:
Column Width:
Background:
Article

Finite Element Analysis and Optimization of the Rotational Stiffness of Semi-Rigid Base Connection under Simultaneous Moment and Tension

1
Engineering Management Department, College of Engineering, Prince Sultan University, Riyadh 11586, Saudi Arabia
2
Structural Engineering Department, Zagazig University, Zagazig 44519, Egypt
3
Department of Engineering and Technology, Texas A&M University-Commerce, Commerce, TX 75429, USA
4
Department of Civil Engineering, Zagazig Higher Institute of Engineering & Technology, Zagazig 44519, Egypt
*
Author to whom correspondence should be addressed.
Buildings 2024, 14(7), 2166; https://doi.org/10.3390/buildings14072166
Submission received: 17 June 2024 / Revised: 28 June 2024 / Accepted: 9 July 2024 / Published: 14 July 2024
(This article belongs to the Section Construction Management, and Computers & Digitization)

Abstract

The base connection is flexible, not fully pinned/fixed, implying a nonlinear moment–rotation relationship. This deviates from a linear response, where rotation is not directly proportional to the applied moment. Numerical investigations using the commercial software ABAQUS were conducted to analyze the steel base plate connections. The finite element (FE) models were verified against previous experimental results. Moreover, numerical findings of a comprehensive parametric investigation were conducted. The studied connections were examined with different configurations, including variations in the diameter, spacing, and number of the anchor bolts; the thickness of the base plate; and the applied axial force. The current study aims to use numerical results combined with the whale optimization algorithm (WOA) and classical genetic algorithm (GA) to derive a formulation for the moment–rotation (M-θr) relationship. The distinctive aspect of this formulation is that it aims to simulate the nonlinear rotational behavior exhibited by flexible base connections under combined moment and tension loads, while also considering various parameters such as bolt number/diameter and plate thickness. The findings indicate that the WOA is capable of obtaining an optimal equation for accurately simulating the M-Ɵr relationship. This underscores the ability of the WOA to effectively address the complexity of the problem and provide a reliable equation for predicting the rotational behavior of such connections. Consequently, the WOA method can be utilized to calculate the rotational stiffness at H/150, offering valuable support for engineering design processes.

1. Introduction

The majority of design methodologies simplify steel base connections by assuming either a completely hinged or entirely rigid connection. However, it should be noted that steel-hinged base plate connections exhibit a semi-rigid or flexible behavior in practice, as they possess rotational stiffness. Consequently, the actual behavior of these connections is intricate and nonlinear, influenced by various factors. In reality, their response lies somewhere between the two extreme assumptions. Therefore, relying on these oversimplified assumptions for base connections fails to provide an accurate depiction or a realistic understanding of the behavior of steel structures. In contrast to a fully rigid connection, a flexible base connection introduces a decrease in the overall stiffness of the structure. This decrease in stiffness results in an increase in drift and displacement within the structure under the same applied load. The amplified frame drift exacerbates the P-∆ effect, necessitating the consideration of this effect, as well as geometric nonlinearity (i.e., changes in joint coordination), through a stepped nonlinear analysis approach. Numerous research studies focus on establishing an equation for the rotational stiffness in this kind of connection, taking into account various types of parameters that have significant impacts [1,2,3,4,5,6,7,8,9]. Each study employed a specific formula to simulate the moment and rotation (M-θr) relationship and then the rotational stiffness was explored. However, these formulas typically focused solely on the moment as an externally applied strain, neglecting the effects of axial tensile stresses. Therefore, the objective of the present study is to derive a rotational stiffness equation for this kind of connection that encompasses both moment and tension loads. This will enable the establishment of a comprehensive relationship between the relative rotation of the connection and the applied moment and tension loads. The present study builds upon the findings of a parametric investigation conducted by Nawar et al. [10] that utilized ABAQUS to simulate the M-θr curve for semi-rigid connections subjected to simultaneous moment and tension loads.
An optimization algorithm technique is employed to deduce the optimal M-θr relationship for these semi-rigid connections under the combined influence of moment and tension loads. Two advanced algorithms are employed, with the first one being the whale optimization algorithm (WOA). The WOA has gained significant attention in recent years and has been successfully applied to various optimization problems across different engineering disciplines [11]. Inspired by the bubble-net scavenging behavior of humpback whales in oceans, this algorithm demonstrates promising capabilities in optimizing diverse engineering topics [12]. The second algorithm utilized in this study is the genetic algorithm (GA) [13], which is based on the principles of Darwinian theory [14]. The GA is widely regarded as a foundational optimization algorithm and has demonstrated significant efficiency in solving optimization problems across various fields. Its effectiveness, particularly in the field of structural engineering, has been well-established. The GA’s ability to explore a wide solution space, handle nonlinearity, and efficiently converge toward optimal solutions has made it a popular choice for addressing complex optimization challenges in structural engineering and related disciplines. Its versatility and demonstrated success have solidified its status as a fundamental and influential algorithm in the realm of optimization [15,16].
Although both algorithms possess their strengths and weaknesses, the WOA provides several distinct advantages compared to the GA. One of the primary advantages of the WOA over the GA is its requirement for fewer user-defined parameters. While the GA necessitates the specification of various parameters such as population size, mutation rate, and crossover probability, among others, the WOA simplifies this by only requiring the initial population and the maximum number of iterations. This reduced parameter dependency makes the WOA more user-friendly and accessible, particularly for beginners [12]. Another notable advantage of the WOA is its faster convergence rate. The WOA exhibits a more rapid convergence, requiring fewer iterations to reach the optimal solution compared to the GA. This expedited convergence is attributed to the WOA’s efficient and effective search strategy, which enables it to explore the search space more proficiently. As a result, the WOA offers a time-saving advantage by finding the optimal solution in a shorter timeframe. Moreover, the WOA has a reduced susceptibility to becoming trapped in local optima. Local optima represent points in the search space where the algorithm becomes stuck and cannot find superior solutions. The WOA mitigates this issue by incorporating a mechanism that promotes the exploration of the search space, making it less prone to being trapped in local optima. By encouraging a broader search, WOA enhances its ability to discover global optima, resulting in more robust and optimal solutions [12].
Previous research and experiments have focused on studying the behavior and rotational stiffness of fixed bases. However, the hinged base, particularly under axial tension loads, has received comparatively less attention. A gap in the literature regarding parametric studies that consider varying anchor bolt diameters, their configurations, and base plate thicknesses still exists. Despite the significance of previous studies in understanding this type of base connection, further exploration is necessary. Moreover, simulating the moment–rotation (M-θr) relationship of flexible steel baseplate connections under simultaneous tension and moment is a fascinating area of research. Therefore, numerical investigations using the commercial software ABAQUS were conducted to analyze the steel base plate connections. The finite element (FE) models were verified against previous experimental results. Moreover, numerical findings of a comprehensive parametric investigation were conducted. The studied connections were examined with different configurations, including variations in the number of anchor bolts, diameters of anchor bolts, thickness of the base plate, spacing between the anchor bolts, and applied tension force values. In addition, the results were utilized to employ the whale optimization algorithm (WOA) for deriving a formulation of the moment–rotation (M-Ɵr) relationship. This formulation aimed to simulate the nonlinear rotational behavior exhibited by flexible base connections under combined moment and tension loads. The formulation took into account all the variables considered in the parametric study, enabling a comprehensive representation of the connection’s rotational behavior. The WOA, being a relatively new and promising algorithm, has been applied to various optimization problems. To further validate its effectiveness, the classical genetic algorithm (GA) was utilized for comparison with the WOA results.

2. Finite Element Modeling

The FE models that were developed by Nawar et al. [17], using the commercial software ABAQUS [18], were used in these investigations.

2.1. Selection of Elements and Boundary Conditions

The base plate as well as the anchor bolts were modeled using the C3D8 element [16], while the S4R element was employed for modeling the flanges and web of the steel column [17]. Contact surfaces between the FE parts were utilized, all characterized by “Hard” normal behavior allowing separation and “penalty friction” for tangential behavior [16]. A coefficient of friction of 0.45 was assigned to the base plates [19], while 0.8 was used for the washers and base plates [20]. The steel–steel interaction was modeled using surface-to-surface discretization, which employed a finite sliding formulation and considered a friction coefficient of 0.4.

2.2. Modeling of Material

A bi-linear stress–strain relationship was adopted to represent the stress–strain curve for all structural steel materials [17]. Each steel component was characterized by its unique stress–strain curve based on these mechanical properties. The other steel components were modeled as elastic and rigid materials [17]. Rebar reinforcement was represented with elastic perfectly plastic behavior, with a defined yield stress [17]. In modeling the concrete pedestal, the concrete damage plasticity (CDP) model as outlined in [21] was employed. The failure stresses were defined according to [21] in terms of the compressive and tensile strengths. The stress–strain curves of concrete under compression and tension were defined according to [19].

2.3. FE Verifications

The applied moment (M) was calculated as a function of the applied lateral force multiplied by the column clear height and the corresponding rotation (θ) was calculated by dividing the lateral displacement of the column-free end by the column clear height. The experimental work conducted by Guisse et al. [22] was used to validate the developed FE model. The experimental work was carried out on 12 hinged base plate connections. Six specimens contain four anchor bolts outside column flanges as shown in Figure 1a, and the other six specimens contain two anchor bolts inside flanges as shown in Figure 1b. Table 1 lists the specimens’ names and variables for each specimen. Each specimen consisted of a steel column with a section HEB 160 and a length of 1050 mm from the lower level of the base plate to the center line of the lateral loading. The steel anchor bolts were 20 mm in diameter and threaded with a 70 mm length and were made from high-strength steel grade 10.9. The mechanical properties of the steel columns, base plates, and anchor bolts are listed in Table 2. The compressive strength of the concrete pedestal was 100 MPa.
Figure 2 shows the deformed shape of the analyzed connections, which contain only two anchor bolts inside the flanges. The failure mode was stress failure on the anchor bolt, which matched with the failure modes of the experimental specimens. Figure 3 provides validations of the FE results in terms of the moment–rotation curves of the column base. The shown results reveal an excellent agreement between the FE and experimental results. The initial stiffness of the moment–rotation curve as well as the progressive yielding of the column base and the ultimate load were accurately predicted by the model.
Nawar et al. conducted experiments on full-scale steel columns featuring hinged base plate connections subjected to axial tension force and bending moments [17]. The details of the tested specimens are depicted in Figure 4. Various configurations of each specimen are detailed in Table 3.
Table 4 presents the average mechanical properties derived from the tensile tests conducted on the steel components.
In Figure 5, the FE M-Ɵr curves are juxtaposed with those obtained from experimental data. Across the elastic range and leading up to failure, the profiles of the numerical and experimental curves closely resemble each other. Remarkably, there is substantial alignment between the moment–rotation characteristics and the deformed shapes observed in both experimental data and finite element analyses. Therefore, these verified FE models were used to conduct further numerical analysis.

3. Discussions of the FE Results

This section delves into a comprehensive discussion of the FE results. Figure 6 and Table 5 provide detailed listings of all parameters along with their respective ranges. To encompass the breadth of parameters under scrutiny, each specimen was assigned a distinctive label. For instance, the axial tension ranged from 13 kN to 38 kN, with labels such as Ten1 representing 13 kN, Ten2 representing 26 kN, and Ten3 representing 38 kN. Conversely, the label Comp meant 60 kN axial compression force.
Figure 7, Figure 8, Figure 9, Figure 10, Figure 11 and Figure 12 show the FE results in terms of the M-Ɵr curves as well as the deformations and von Misses stresses. The results of the moment–rotation curves show that the beginning of the curve was almost a horizontal segment, which means that there is no rotational resistance at the start of loading. This phenomenon happened because of the gap, which was formed between the steel base plate and the RC pedestal because of the initial tension force as shown in Figure 8. The gap between the base plate and the RC pedestal was formed because of two reasons. The first reason was because of the elongation in the anchor rods. The second one was because of the deformation of the base plate where the force in the column section represented a concentrated load on the base plate thickness.
Figure 9 shows that the gap between the steel and RC pedestal decreased because of the increase in the anchor bolt diameter. The increase in bolt diameter, bolt number, and base plate thickness led to a reduction in the initial gap between the steel base plate and the RC pedestal. Figure 10 shows that the beginning of the curve has more resistance than the one in Figure 8 because of the increase in the anchor diameter, which reduced the gap before rotation.
Not only base plate dimension and anchor bolt diameter control the value of the gap between the steel base and the RC pedestal but also the number of anchor bolts and the distance between them. Figure 11 shows that the increase in the number of bolts with the same diameter and the increase in the space between them led to a reduction in the gap and subsequently increased the initial stiffness. Therefore, the relationship was initiated with a horizontal line, but with some resistance. Figure 12 also confirms that the increase in the bolt number and spacing makes the connection exhibit more resistance which affects the rotational stiffness and moment capacity.
Table 6 presents the calculated elastic rotational stiffness, moment resistance, and energy absorption for each analyzed connection [23]. The elastic performances of the analyzed connections were examined by fitting two piecewise linear functions to the M-Ɵr curves [24], as illustrated in Figure 13. In the initial branch, the stiffness K0 represents the rotational stiffness of the initial curve, occurring just before the steel and RC pedestal fully re-contact during lateral drift. This phenomenon happened because the axial strain in the anchor bolt and the bending deformation of the base plate due to the initial axial force before the bending moment make a separation between the base plate and the RC pedestal. Therefore, the re-contact between them needs a lateral deformation with small resistance. This resistance depends on the thickness of the base plate, anchor number, and anchor bolt diameter. The stiffness K1 is determined by the elastic rotational stiffness after the contact. The stiffness K0 is always less than the value of K1 and in some samples may be just equal. Nonetheless, the optimal fit, which minimizes the discrepancy between the idealized curve and the FE one, is employed to ascertain the stiffness of K2.
At the tension side of the moment, the anchor bolts exhibited dissimilarities in the tensile stresses compared to the specimens under axial compression, despite sharing identical arrangements of bolts and base plate thicknesses but having varying anchor bolt diameters, as illustrated in Figure 14a. The initial tension force made different gap distances between the steel base and the RC pedestal due to the diameter and the number of anchor bolts. Conversely, at the compression side, the anchor bolts exhibited reduced tensile stresses with increasing diameters, as depicted in Figure 14b. The tensile behavior of the anchor bolts for both four- and six-bolt arrangements remained consistent (see Figure 15). However, there was a notable difference: the middle anchor in the connection with a six-bolt arrangement demonstrated higher stiffness, resulting in a 66% increase in elastic moment resistance.
The rotational stiffness experienced its highest surge, reaching 137%, with an anchor bolt diameter of 30 mm when the base plate thickness expanded from 12 mm to 30 mm, as demonstrated in Figure 16a. However, the rate of increase diminishes as the anchor bolt diameter decreases, a trend observed across various anchor diameters and base plate thicknesses. Figure 16b–d highlight that widening the spacing between anchors diminishes the impact of base plate thickness (in the case of four-bolt arrangements), while Figure 16e,f depict the same trend for six-anchor bolt configurations. This decline occurs because the column flange provides support to the base plate against bending as the anchors draw closer to the column flanges.
Figure 17 illustrates how the rotational stiffness is influenced by both the arrangement and diameter of anchor bolts at a drift level of H/150, considering various base plate thicknesses. These findings underscore the substantial impact of anchor bolt diameter and arrangement on rotational stiffness values. Enlarging the number of bolts and adjusting their spacing resulted in notable improvements in rotational stiffness.

4. Optimization Algorithms

The whale optimization algorithm (WOA) employed in this formulation is inspired by the unique bubble-net foraging behavior observed in humpback whales [12]. Humpback whales are known to employ a distinctive feeding technique where they encircle and hunt fish swarms in the ocean. This specialized technique involves the whales forming a spiral-shaped path around the target fish school, while simultaneously creating a net of bubbles to corral and capture the fish, as illustrated in Figure 18.
Notably, during this hunting process, the humpback whales exhibit an intriguing behavior where they lead the fish school in a spiraling trajectory towards the water surface. Throughout this spiral path, the whales gradually reduce the radius of the spiral, slowly enclosing the fish school. When the fish school reaches proximity to the water surface, the humpback whales then initiate their final attack and capture the prey.
The WOA algorithm employed in this formulation directly emulates this unique hunting mechanism of humpback whales through three primary stages or operators: encircling the prey, bubble-net attacking, and searching for the prey. These stages closely mimic the observed behavior of humpback whales during their bubble-net feeding process. By replicating this spiral optimization approach, the WOA is able to effectively capture the complex nonlinear rotational response of the flexible base connections being modeled.
In the WOA, whales navigate through an n-dimensional search space, where the value of n corresponds to the number of variables being considered. In essence, each whale represents a potential solution comprising n variables. The objective is to obtain the global solution within the search space, which involves updating the position of each solution using the following equations:
X ( t + 1 ) = X * ( t ) A · | C · X * ( t ) X ( t ) |
where t indicates the current iteration, X * represents the prey’s best solution position vector obtained so far, X is the prey’s probable position vector, · signifies an element-by-element multiplication, and ∣ ∣ represents the absolute value. Moreover, A and C are the coefficient vectors that are calculated and modified for each dimension and at every iteration, as demonstrated by the subsequent equations:
A = 2 a · r a
C = 2 · r
where a undergoes a linear decrease from a value of two to zero throughout the optimization process (yielding values for each dimension) and r represents a random vector, with values ranging from zero to one (generated independently for each dimension).
Equation (1) facilitates the movement of whales or solutions to nearby areas in the proximity of prey. The components of the equation possess random values, which result in a movement pattern resembling a hyper-rectangle path around a fish school, as illustrated in Figure 19.
Additionally, the spiral movement of the whales in the WOA can be mathematically represented by the following equation:
X ( t + 1 ) = D · e b t cos ( 2 a π l ) + X * ( t )
The variable D = | X * ( t ) X ( t ) | represents the distance between the t-th whale and the prey, which can be interpreted as the best solution obtained thus far. The constant “b” is used to define the shape of the logarithmic spiral. The operator “.” denotes element-by-element multiplication, and “l” represents a random number ranging between −1 and 1. Figure 20 depicts the impact of the spiral motion on the movement of whales. The spiral pattern influences the trajectory and direction of whale movement within the optimization process.
The process of simulating the spiral movement and encircling of the prey in the WOA algorithm is achieved through the utilization of the following equation:
X t + 1 = X * t + 1 A · D P < 0.5 D ¯ · e b t · cos 2 a π l + x * ¯ ( t ) p 0.5
The variable “p” represents a randomly generated number within the range of zero to one. By incorporating this equation, there is a 50% probability assigned to the position updating for each value in every dimension and iteration.
Figure 21 illustrates a summary of the classical GA. It provides an overview of the key components and steps involved in the GA methodology, showcasing its fundamental structure and operation. To enhance verification and assess the capabilities of the WOA and GA, a comparative analysis is conducted, examining the results obtained from both algorithms. This comparison aims to provide further validation and insights into the performance and effectiveness of the WOA and GA in solving the given problem or optimization task.

5. Deducting the Rotational Stiffness Equation

The current research endeavors to develop a comprehensive equation that describes the relationship between the moment M, relative rotation Ɵr, and other relevant parameters. The objective is to establish a unified equation that can effectively predict and analyze the M-Ɵr behavior in base connections.
In the present study, the optimal formula format is derived from the research conducted by Nawar et al. [16]. This optimal formula format was utilized and updated to obtain the M-Ɵr formulas for flexible base connections subjected to tension and moment loads as shown in Equation (6). The investigation involved the application of both the GA and WOA to derive these formulas. The objective was to explore the capabilities and performance of both algorithms in obtaining accurate M-Ɵr formulas for flexible base connections under the specified loading conditions.
θ r = θ r ( 1 + C 12 C 13 K F )
θ r = 100 [ C 1 10 C 4 10 3 ( K M ) 1 + C 2 10 C 5 10 3 ( K M ) 3 + C 3 10 C 6 10 3 ( K M ) 5
K = C 11 10 3 N C 7 10 3 D C 8 10 3 S C 9 10 3 T C 10 10 3
where θ r is the relative rotation considering moment and tension loads simultaneously; θ r is the relative rotation considering moment only; F is the tension force value in kN; M is the applied moment value in kN.m; C1 to C13 are constants; K is a standardization constant depending on the considered variables, i.e., bolt’s diameter and number of bolts, spacing between bolts, and the base plate thickness as shown in the following equation; N is the number of bolts; D is the bolt diameter in mm; S is the spaces between bolt rows in mm, where S = 1 for two bolts only in the “one-row” case; and T is the thickness of the base plate in mm. The algorithms utilize variables C1 to C13 to obtain optimal values for these constants and form the final optimal equation that governs the M-Ɵr relationship. This relationship represents the nonlinear rotational stiffness behavior of the flexible base connection exposed to simultaneous tension and moment loads.
Each of the optimization algorithms, the WOA and GA, work by iteratively suggesting different values for the variables within a predetermined range. These variable values are then substituted into the previously mentioned moment–rotation (M-θr) equation to generate a corresponding moment–rotation curve. The algorithms compare this generated M-θr curve against the M-θr curve obtained from the previous numerical study [16]. This comparison allows for the algorithms to evaluate the fitness or accuracy of the suggested variable values in terms of how well they are able to replicate the reference M-θr relationship. The algorithms then proceed through their respective iterative processes, using techniques such as updating position vectors (WOA) or performing crossover and mutation operations (GA), to generate new candidate variable values. This cycle of substituting values, generating M-θr curves, evaluating fitness, and updating variables continues until the algorithms converge on the optimal variable values that best fit the reference moment–rotation behavior.
The variables in the optimization algorithms are constrained within the range of 0 to 10,000. These algorithms aim to identify the optimal values for these variables within this specified limit. By searching and evaluating different combinations of variable values within this range, the algorithms strive to determine the most favorable configuration that maximizes the desired objective or minimizes the defined cost function. The adopted fitness function that requires minimization by the optimization algorithms is represented by the following equation:
F i t n e s s = n = 1 n = 282 i = 1 i = M θ r θ r
where n represents the connection number, i is the data number of the moment–rotation relation for each connection in the parametric study, and M signifies the total amount of data in each connection. Additionally, the relative rotations observed in the parametric study are denoted as θ r , while the proposed equation captures these rotations as θ r . The studied relationship between M and Ɵr is confined to the interval of 0 to 15 radians for Ɵr. This range is deemed suitable to encompass the relative rotation experienced during the loading procedure. In the case of the algorithms, the population size or the initial number of search agents is set to 5000, while the maximum number of iterations or generations is limited to 100. For the genetic algorithm (GA) specifically, the crossover rate is defined as 0.9, and the mutation rate is set at 0.05. As evident, the minimization of the fitness function plays a crucial role in identifying the optimal variables that result in the smallest disparity between the proposed formula and the parametric study.
Table 7 displays the values of the optimal variables obtained from both the GA and the WOA when considering various formulas. On the other hand, Table 8 presents the corresponding fitness values for each case. Based on the optimum variables specified in Table 7, the polynomial formula obtained through the WOA can be represented in the following equations:
θ r = θ r ( 1 + 1.387 K F )
θ r = 0.341 K M 1 + 14.69 K M 3 + 1.52 E 10 ( K M ) 5
K = 8.696 N 0.862 D 1.886 S 3.20 E 02 T 2.0 E 02
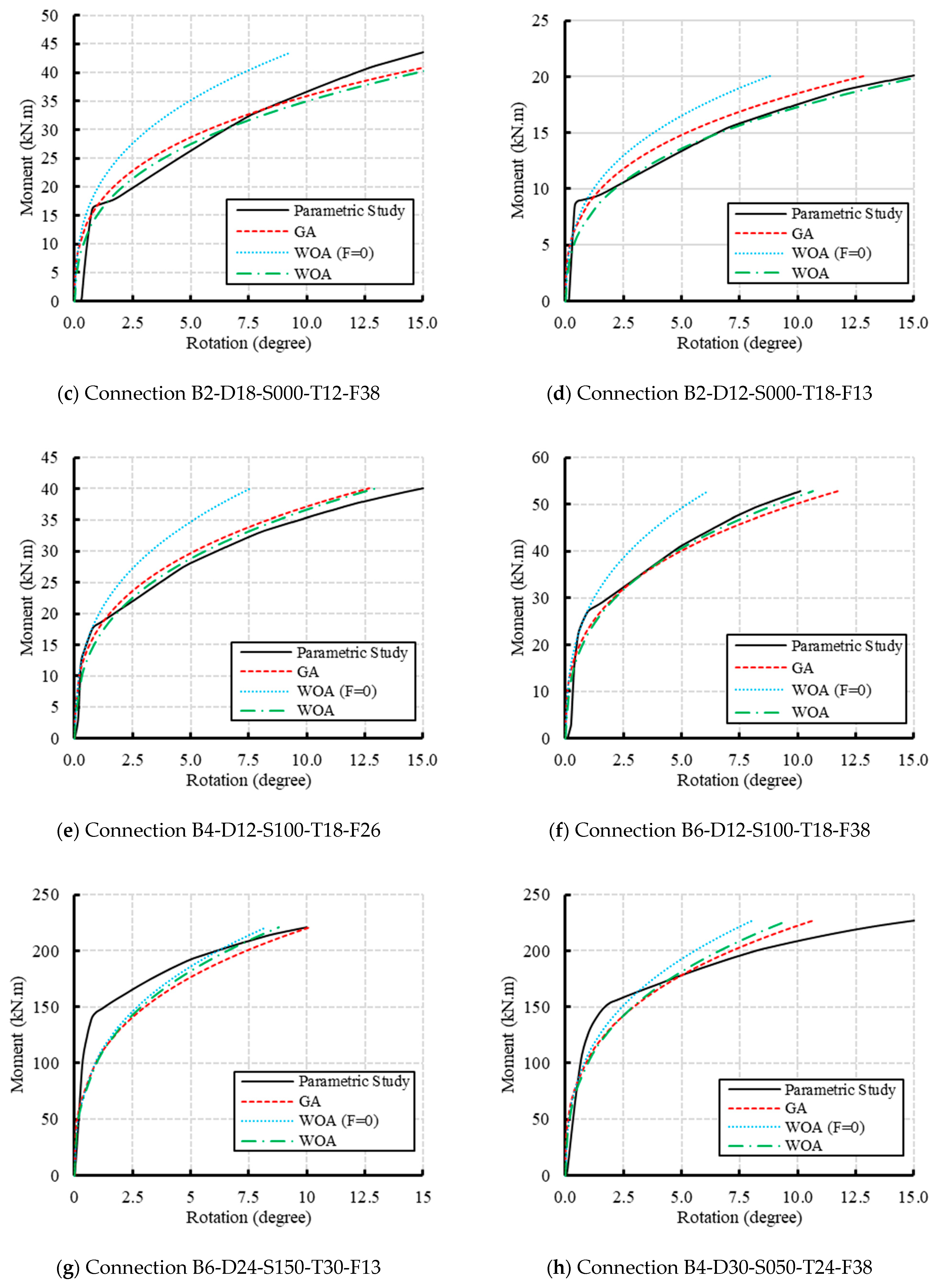
Figure 22 illustrates the correlation between M-Ɵr for a specific group of base connections, which were selected from a larger pool of 282 connections examined in the study. The figures incorporate connection labels that are assigned to each base connection represented. These labels fulfill the purpose of identifying and associating each base connection with its corresponding data, enabling a clear reference for analysis and comparison within the figures. By including these labels, the figures provide a convenient way to differentiate and track individual base connections, facilitating a comprehensive understanding of the rotational stiffness behavior across different connections. The beam label format is BA-DB-SC-TD-FE, where B indicates “base connection”, A represents the number of bolts, D refers to “diameter”, B represents the diameter value in mm, S signifies “space”, C is the space value in mm, T represents “thickness of base plate”, D is the base plate thickness in mm, F refers the tension force, and E is the tension value in kN.
These results display the rotational stiffness curves of flexible base connections under combined moment and tension loads. Each figure includes the M-Ɵr curve obtained from the parametric study (FE analysis), as well as the M-Ɵr curve derived from the WOA and GA. Furthermore, to assess the validity of the modified equation (Equation (10)) that incorporates the tension force in the M-Ɵr relationship, the M-Ɵr curve for the WOA with a tension force of F = 0 is also provided. This additional curve evaluates the impact of tension on the rotational stiffness of the connections. Moreover, these figures aim to visually compare the performance of the WOA and GA in representing the rotational stiffness behavior of flexible base connections under combined moment and tension forces. These comparisons provide insights into which algorithm better represents the rotational stiffness behavior and can guide the selection of the most suitable algorithm for accurately predicting the rotational stiffness in practical scenarios involving combined moment and tension loading conditions.
Figure 23 presents the fitness values for each of the 282 connections analyzed using both the GA and WOA. By examining these values, the performance and effectiveness of both the GA and WOA in optimizing the connections and determining the suitability of each connection in relation to the objectives set by the algorithms can be evaluated. Based on these findings, the formulas derived from the WOA and GA algorithms are effective in simulating the M-Ɵr relationship, as compared to the curves obtained from the parametric study (FE analysis). These results validate the accuracy and reliability of the suggested formula in capturing the rotational stiffness behavior of flexible base connections under combined moment and tension loads. The developed results visually demonstrate the effectiveness of the proposed formula, particularly when considering the value of the tension force. Furthermore, the WOA algorithm demonstrates superior performance when compared to the GA algorithm.
Upon comparing the WOA and WOA (F = 0) curves, it becomes evident that the presence of tension force leads to a reduction in the rotational stiffness of the base connection, rendering it more flexible. The inclusion of tension force in the analysis influences the behavior of the connection, resulting in a reduction in its resistance to rotation. This observation highlights the significant impact of tension force on the overall flexibility and rotational behavior of base connections.
The findings suggest that the optimal variables listed in Table 7 are not consistent across algorithms, as demonstrated by the varying slopes in Figure 22. This can be attributed to the extensive search space and the multitude of potential combinations of variable values needed to achieve a satisfactory solution. If anything, this highlights the complexity involved in developing a formula that accurately simulates connection stiffness. The results emphasize the challenges associated with capturing the intricate behavior of connection stiffness and the need for comprehensive analysis and consideration of multiple factors.

6. Conclusions

The present research focuses on analyzing the rotational stiffness characteristics of a flexible base connection subjected to simultaneous moment and tension forces. Building upon the findings of an extensive parametric study, the rotational stiffness behavior of the flexible base connection is deduced through the M-Ɵr relation. The study explores the application of the WOA and GA to obtain the M-Ɵr relation, taking into account various variables examined in the previous parametric study, including the number of bolts, bolt diameter, spacing between bolts, base plate thickness, and tension force magnitude.
  • The WOA and GA have demonstrated their effectiveness as optimization algorithms for deriving an acceptable M-Ɵr equation for flexible base connections, taking into account multiple parameters, including the applied tension force.
  • The WOA algorithm exhibits superior performance when compared to the results obtained from the GA.
  • The actual flexible behavior of the base plate connections is a complex and intriguing area of research in structural engineering, as it is complicated and affected by many different factors.
  • The presence of tension force plays a crucial role in the M-Ɵr equation of base connections. It leads to a reduction in the rotational stiffness of the connection, making it more flexible.
  • The rotational stiffness, as depicted in the M-Ɵr relation, exhibits high sensitivity to various parameters, including the number of bolts, bolt diameter, and other relevant factors.
  • The formula derived through the application of the WOA can be utilized as a design aid in engineering to calculate the rotational stiffness for a base connection subjected to a combined moment and tension force to facilitate the design process.

Author Contributions

Conceptualization, M.T.N.; Data curation, A.E.-Z. and A.G.A.; Formal analysis, A.G.A.; Investigation, M.T.N. and O.H.; Methodology, M.T.N. and O.H.; Resources, M.T.N.; Software, A.G.A. and O.H.; Supervision, M.T.N.; Validation, A.E.-Z. and A.G.A.; Visualization, A.E.-Z. and O.H.; Writing—original draft, M.T.N., A.G.A. and O.H.; Writing—review and editing, A.E.-Z. All authors have read and agreed to the published version of the manuscript.

Funding

This research received no external funding.

Data Availability Statement

The data presented in this study are available on request from the corresponding author.

Acknowledgments

The author would like to thank Prince Sultan University for their support.

Conflicts of Interest

The authors declare no conflicts of interest.

References

  1. Batho, S.D.; Lash, C. Further Investigations on Beam and Stanchion Connections Encased in Concrete, Final Report, Together with Lab. In Investigation on a Full Scale Steel Frame; Steel Structures Research Committee, Department of Scientific and Industrial Research: New Delhi, India, 1936; p. 92. [Google Scholar]
  2. Cox, M.G. The numerical evaluation of b-splines. IMA J. Appl. Math. 1972, 10, 134–149. [Google Scholar] [CrossRef]
  3. Frye, M.J.; Morris, G.A. Analysis of Flexibly Connected Steel Frames. Can. J. Civ. Eng. 1975, 2, 280–291. [Google Scholar] [CrossRef]
  4. Lui, E.M.; Chen, W.F. Analysis and behaviour of flexibly-jointed frames. Eng. Struct. 1986, 8, 107–118. [Google Scholar] [CrossRef]
  5. Xia, Y.; Xiao, N.; Qian, X. Research on the Semi-rigid Joint with T-stub in Beam-to-Column Connection: Suggestion for Initial Rotational Stiffness Formula. In Proceedings of the 14th Nordic Steel Construction Conference, Copenhagen, Denmark, 18–20 September 2019. [Google Scholar] [CrossRef]
  6. Huang, Z.; Chen, Z.; Huang, D.; Chui, Y.-H. Cyclic loading behavior of an innovative semi-rigid connection for engineered bamboo-steel hybrid frames. J. Build. Eng. 2019, 24, 100754. [Google Scholar] [CrossRef]
  7. Mokhtar, R.; Ibrahim, Z.; Jumaat, M.Z.; Hamid, Z.A.; Rahim, A.H.A. Behaviour of semi-rigid precast beam-to-column connection determined using static and reversible load tests. Measurement 2020, 164, 108007. [Google Scholar] [CrossRef]
  8. Tao, H.; Mao, M.; Yang, H.; Liu, W. Theoretical and experimental behaviour of a hybrid semi-rigid glulam beam-to-column connection with top and seat angles. Adv. Struct. Eng. 2020, 23, 2057–2069. [Google Scholar] [CrossRef]
  9. He, J.C.W.; Clifton, G.C.; Ramhormozian, S.; Hogan, L.S. Numerical and analytical study of pinned column base plate connections. J. Constr. Steel Res. 2023, 204, 107846. [Google Scholar] [CrossRef]
  10. Nawar, M.T.; Matar, E.; El-Zohairy, A.; Alaaser, A.; Maaly, H. Experimental and FE analysis of the behavior of steel column base connections under tension and bending moment. Structures 2024, 62, 106164. [Google Scholar] [CrossRef]
  11. Nadimi-Shahraki, M.H.; Zamani, H.; Varzaneh, Z.A.; Mirjalili, S. A Systematic Review of the Whale Optimization Algorithm: Theoretical Foundation, Improvements, and Hybridizations. Arch. Comput. Methods Eng. 2023, 30, 4113–4159. [Google Scholar] [CrossRef] [PubMed]
  12. Mirjalili, S.; Lewis, A. The Whale Optimization Algorithm. Adv. Eng. Softw. 2016, 95, 51–67. [Google Scholar] [CrossRef]
  13. Goldberg, D.E. Genetic algorithms in search, optimization, and machine learning. Choice Rev. Online 1989, 102, 36. [Google Scholar] [CrossRef]
  14. Katoch, S.; Chauhan, S.S.; Kumar, V. A review on genetic algorithm: Past, present, and future. Multimed. Tools Appl. 2021, 80, 8091–8126. [Google Scholar] [CrossRef] [PubMed]
  15. Shallan, O.; Maaly, H.M.; Hamdy, O. A developed design optimization model for semi-rigid steel frames using teaching-learning-based optimization and genetic algorithms. Struct. Eng. Mech. 2018, 66, 173–183. [Google Scholar] [CrossRef]
  16. Wang, L.; Zhou, Y.; Shi, W. Random crowd-induced vibration in footbridge and adaptive control using semi-active TMD including crowd-structure interaction. Eng. Struct. 2024, 306, 117839. [Google Scholar] [CrossRef]
  17. Nawar, M.T.; Matar, E.B.; Maaly, H.M.; Alaaser, A.G.; El-Zohairy, A. Assessment of Rotational Stiffness for Metallic Hinged Base Plates under Axial Loads and Moments. Buildings 2021, 11, 368. [Google Scholar] [CrossRef]
  18. Abaqus. Abaqus 6.2: Computer Software for Finite Element Analysis; Dassault Systems Simulia: Johnston, RI, USA, 2020. [Google Scholar]
  19. Gomez, I.; Deierlein, G. Exposed Column Base Connections Subjected to Axial Compression and Flexure; Final Report; The American Institute of Steel Construction: Chicago, IL, USA, 2010. [Google Scholar]
  20. Kanvinde, A.M.; Jordan, S.J.; Cooke, R.J. Exposed column base plate connections in moment frames—Simulations and behavioral insights. J. Constr. Steel Res. 2013, 84, 82–93. [Google Scholar] [CrossRef]
  21. Fib. Fib Bulletin 65: Model Code; Fib Fédération Internationale du Béton: Naples, Italy, 2010; Volume 1. [Google Scholar]
  22. Guisse, S.; Vandegans, D.; Jaspart, J. Application of the Component Method to Column Bases Experimentation and Development of a Mechanical Model for Characterization; Research Center of the Belgian Metalworking Industry: Brussels, Belgium, 1996. [Google Scholar]
  23. Kavoura, F.; Gencturk, B.; Dawood, M.; Gurbuz, M. Influence of base-plate connection stiffness on the design of low-rise metal buildings. J. Constr. Steel Res. 2015, 115, 169–178. [Google Scholar] [CrossRef]
  24. Kavoura, F.; Gencturk, B.; Dawood, M. Evaluation of existing provisions for design of ‘pinned’ column base-plate connections. J. Constr. Steel Res. 2018, 148, 233–250. [Google Scholar] [CrossRef]
Figure 1. Anchor bolt number and arrangement for specimens [22].
Figure 1. Anchor bolt number and arrangement for specimens [22].
Buildings 14 02166 g001
Figure 2. Shape of failure in FEM for validating experimental specimens.
Figure 2. Shape of failure in FEM for validating experimental specimens.
Buildings 14 02166 g002
Figure 3. Validation of the FE models and the experimental results.
Figure 3. Validation of the FE models and the experimental results.
Buildings 14 02166 g003aBuildings 14 02166 g003b
Figure 4. Details of the analyzed connections (a) Connection between the base plates and the steel base beam, (b) Hinge base plate with six bolts, and (c) Hinge base plate with four bolts [17].
Figure 4. Details of the analyzed connections (a) Connection between the base plates and the steel base beam, (b) Hinge base plate with six bolts, and (c) Hinge base plate with four bolts [17].
Buildings 14 02166 g004
Figure 5. Validations of the FE moment–rotation curves.
Figure 5. Validations of the FE moment–rotation curves.
Buildings 14 02166 g005aBuildings 14 02166 g005b
Figure 6. Various base plate connection configurations.
Figure 6. Various base plate connection configurations.
Buildings 14 02166 g006
Figure 7. Connection B2-D18-S000-T18-Ten3.
Figure 7. Connection B2-D18-S000-T18-Ten3.
Buildings 14 02166 g007
Figure 8. Deformation and von Misses stress of connection B2-D18-S000-T18-Ten3 after the first stage of loading (tension only).
Figure 8. Deformation and von Misses stress of connection B2-D18-S000-T18-Ten3 after the first stage of loading (tension only).
Buildings 14 02166 g008
Figure 9. Deformation and von Misses stress.
Figure 9. Deformation and von Misses stress.
Buildings 14 02166 g009
Figure 10. Connection B2-D30-S000-T18-Ten3.
Figure 10. Connection B2-D30-S000-T18-Ten3.
Buildings 14 02166 g010
Figure 11. Connection B4-D18-S050-T18-Ten3.
Figure 11. Connection B4-D18-S050-T18-Ten3.
Buildings 14 02166 g011
Figure 12. Connection B6-D18-S150-T18-Ten3.
Figure 12. Connection B6-D18-S150-T18-Ten3.
Buildings 14 02166 g012
Figure 13. Idealization of the M-Ɵr curve.
Figure 13. Idealization of the M-Ɵr curve.
Buildings 14 02166 g013
Figure 14. Tension force in the anchor bolts vs. rotation for the connections with axial tension = 3.8 ton.
Figure 14. Tension force in the anchor bolts vs. rotation for the connections with axial tension = 3.8 ton.
Buildings 14 02166 g014
Figure 15. The tensile behavior of the anchor bolts for both four- and six-bolt arrangements.
Figure 15. The tensile behavior of the anchor bolts for both four- and six-bolt arrangements.
Buildings 14 02166 g015
Figure 16. Effect of the base plate thickness and anchor bolt diameter.
Figure 16. Effect of the base plate thickness and anchor bolt diameter.
Buildings 14 02166 g016aBuildings 14 02166 g016b
Figure 17. Effect of the anchor bolt diameter and arrangement.
Figure 17. Effect of the anchor bolt diameter and arrangement.
Buildings 14 02166 g017aBuildings 14 02166 g017b
Figure 18. Bubble-net feeding behavior of humpback whales.
Figure 18. Bubble-net feeding behavior of humpback whales.
Buildings 14 02166 g018
Figure 19. The position updating process in n-dimensional spaces.
Figure 19. The position updating process in n-dimensional spaces.
Buildings 14 02166 g019
Figure 20. The spiral movement of whales in the WOA.
Figure 20. The spiral movement of whales in the WOA.
Buildings 14 02166 g020
Figure 21. Classical GA flowchart.
Figure 21. Classical GA flowchart.
Buildings 14 02166 g021
Figure 22. The M-Ɵr for the analyzed connections.
Figure 22. The M-Ɵr for the analyzed connections.
Buildings 14 02166 g022aBuildings 14 02166 g022b
Figure 23. The comparison of fitness values between GA and WOA for each connection among the 282 connections studied.
Figure 23. The comparison of fitness values between GA and WOA for each connection among the 282 connections studied.
Buildings 14 02166 g023
Table 1. Specimens’ parameters [22].
Table 1. Specimens’ parameters [22].
Specimen NameNo of Anchor BoltsBase Plate Thickness (mm)Axial Comp. Force (kN)
PC2.15.100215100
PC2.15.600215600
PC2.15.10002151000
PC2.30.100230100
PC2.30.600230600
PC2.30.10002301000
Table 2. Material properties of the steel components [22].
Table 2. Material properties of the steel components [22].
Steel GradeYield Stress (MPa)Ultimate Stress (MPa)Elasticity E (MPa)Poisson Ratio
Steel ColumnS355464580200,0000.3
Base PlateS235280412200,0000.3
Anchor Bolt10.98301000200,0000.3
Table 3. Parameters of each connection [17].
Table 3. Parameters of each connection [17].
SpecimenColumn ProfileND
(mm)
T
(mm)
Connection 1IPE40062020
Connection 262015
Connection 362520
Connection 442520
Connection 542020
Connection 642015
N: Number of the anchor bolt; D: Diameter of the anchor bolt; T: Thickness of the base plate.
Table 4. Mechanical characteristics of the steel parts [17].
Table 4. Mechanical characteristics of the steel parts [17].
E
(GPa)
Fu
(MPa)
Fy
(MPa)
Elongation
(%)
Base plateT = 15 mm201 44328035
T = 20 mm19840322637
Anchor boltD = 20 mm208 63336128
D = 25 mm2159934629
Table 5. Parameters of the analyzed connections.
Table 5. Parameters of the analyzed connections.
ParameterValue Range
Thickness of the base plates (T) [mm]12–30
Diameter of the anchor bolts (D) [mm]12–30
Number of the anchor bolts (N) [-]2–6
Spacing (S) [mm]0–150
Axial tension force (F) [kN]13, 26, and 38
Table 6. FE results for the analyzed specimens under axial tension = 3.8 ton.
Table 6. FE results for the analyzed specimens under axial tension = 3.8 ton.
ConnectionRotational Stiffness
(kN.m/rad)
* M

(KN.m)
* E
×10−3
(kN.m.rad)
Tension Force in the Anchor Bolt
(kN)
K0K1K2* KComp. SideMiddleTension Side
B2-d12-S000-t1273138163640.431-40.9-
B4-d12-S050-t1248241781553176111.743232.7-36.2
B4-d12-S100-t1215323298881152410.163130.5-37.1
B4-d12-S150-t1234723484476167711.185417.5-36.7
B2-d18-S000-t1211940402822211814.1229-84.9-
B4-d18-S050-t12202168023602499033.279872.3-94.9
B4-d18-S100-t12268190002485594639.6414345.2-85.4
B4-d18-S150-t12653313,3447041638642.5819124.0-84.4
B2-d24-S000-t1218646213005313720.9254-152.3-
B4-d24-S050-t12123488234581665344.3514296.4-158.8
B4-d24-S100-t12374011,7587173910860.7220647.6-164.2
B4-d24-S150-t1210,41417,149732912,57783.8532824.1-160.7
B2-d30-S000-t1231965873454416627.7779-223.2-
B4-d30-S050-t12166411,3045404835955.7318591.2-237.6
B4-d30-S100-t12622416,257972211,13474.2326153.2-255.9
B4-d30-S150-t1212,58323,92516,45716,183107.8942224.6-263.2
B2-d12-S000-t1875166163750.502-41.3-
B4-d12-S050-t1856642801985198813.254535.6-35.7
B4-d12-S100-t18195162731146182212.154732.3-35.5
B4-d12-S150-t181040341635164710.984516.8-36.2
B2-d18-S000-t1812046841263240616.0448-81.7-
B4-d18-S050-t18105699213153639142.6114274.7-82.6
B4-d18-S100-t18422212,7361872628941.9317153.4-82.3
B4-d18-S150-t18780216,2166738643742.9120429.6-82.5
B2-d24-S000-t189787009829548636.58101-149.9-
B4-d24-S050-t18250112,995916310,21168.0821785.0-152.2
B4-d24-S100-t18740416,646515611,63377.5529055.9-151.7
B4-d24-S150-t1813,89424,32015,75812,76985.1338130.1-149.2
B2-d30-S000-t1829795975898716347.76140-227.4-
B4-d30-S050-t18226215,512867512,53783.5827589.7-239.2
B4-d30-S100-t18667619,76811,59916,494109.9638351.4-246.0
B4-d30-S150-t1815,66427,923644320,224134.8354518.5-237.1
B2-d12-S000-t2475146161750.502-38.3-
B4-d12-S050-t2437450682088196013.073534.9-35.0
B4-d12-S100-t24116244311174172311.493829.0-35.1
B4-d12-S150-t241041041292166011.064517.0-35.1
B2-d18-S000-t2411559671918248316.5555-79.8-
B4-d18-S050-t24115111,0404351673444.8915967.6-79.6
B4-d18-S100-t24381913,4353432646143.0718156.3-79.1
B4-d18-S150-t24885518,7515118647443.1620830.8-80.8
B2-d24-S000-t241797843540612140.81127-144.9-
B4-d24-S050-t24487915,013847611,43076.2025789.2-140.2
B4-d24-S100-t24584319,327609112,05080.3332264.3-146.5
B4-d24-S150-t2412,96824,584441912,82185.4739731.8-143.0
B2-d30-S000-t2429210,4892618904260.28180-206.1-
B4-d30-S050-t24262118,15213,63215,303102.0233580.1-213.7
B4-d30-S100-t24794023,43914,07218,488123.2545454.8-234.3
B4-d30-S150-t2418,21033,78024,96320,511136.7458718.3-231.3
B2-d12-S000-t3075224163640.421-39.0-
B4-d12-S050-t3059468721985198213.224935.1-35.3
B4-d12-S100-t30118632731086172811.523828.7-35.0
B4-d12-S150-t3004062556166411.104518.3-35.0
B2-d18-S000-t3011165641265248416.5658-78.3-
B4-d18-S050-t30117911,3903744688345.8916875.6-78.7
B4-d18-S100-t30400814,3836637651943.4618356.5-78.4
B4-d18-S150-t30872418,9446614653443.5621331.7-79.0
B2-d24-S000-t3017091833305597639.84133-140.5-
B4-d24-S050-t30193516,106559011,93279.5527896.1-140.2
B4-d24-S100-t30630919,730400512,20081.3433867.0-141.0
B4-d24-S150-t3013,67526,838719312,84285.6139932.6-142.2
B2-d30-S000-t30153912,4609433986665.78203-210.2-
B4-d30-S050-t30283519,53614,26516,620110.8036986.8-212.6
B4-d30-S100-t30943425,440611718,664124.4348359.2-223.4
B4-d30-S150-t3020,39235,45023,15320,573137.1560417.8-223.9
B6-d12-S100-t12102770933095323021.535617.040.438.4
B6-d18-S100-t12270010,9006327808553.9018430.774.388.2
B6-d24-S100-t12532215,201778210,71071.4025036.5115.9163.8
B6-d30-S100-t12911418,001911313,04286.9431339.1127.4251.4
B6-d12-S100-t18122389363842359423.967221.935.335.6
B6-d18-S100-t18242814,0515812912260.8217726.965.483.6
B6-d24-S100-t1810,10617,561521314,91099.4035231.9100.2158.6
B6-d30-S100-t1814,48220,69110,95318,421122.8143332.5128.5245.4
B6-d12-S100-t24110578062990369024.607725.053.961.2
B6-d18-S100-t24261216,9666955959163.9419529.568.879.6
B6-d24-S100-t2413,17921,523803716,724111.4940431.1123.8141.7
B6-d30-S100-t2418,18424,18511,60921,556143.7050924.1118.2233.6
B6-d12-S100-t30112910,0173993372124.817941.350.650.9
B6-d18-S100-t30681917,692801810,55370.3527739.877.578.9
B6-d24-S100-t3014,96923,75115,09317,224114.8342733.0109.6140.5
B6-d30-S100-t3020,55226,036884023,137154.2555321.1124.0217.5
B6-d12-S150-t12381810,1663074365524.3610013.379.585.3
B6-d18-S150-t12691916,6265905975965.0625614.691.595.1
B6-d24-S150-t1213,39321,64013,09915,151101.0038514.4120.1165.8
B6-d30-S150-t1219,62126,48812,07519,297128.6549010.2136.7265.7
B6-d12-S150-t18256511,8733726369424.638720.755.455.6
B6-d18-S150-t1810,55919,933662310,67271.1529716.182.382.5
B6-d24-S150-t1818,53726,48912,44217,787118.584688.5116.9150.1
B6-d30-S150-t1825,41027,597592824,506163.386211.9120.0242.5
B6-d12-S150-t24241212,6374741371524.778915.263.563.6
B6-d18-S150-t24877821,81812,41010,73271.5530816.776.180.7
B6-d24-S150-t2413,59828,692775718,729124.865085.0125.5146.9
B6-d30-S150-t2428,95734,41810,60026,251175.016840.4124.4234.2
B6-d12-S150-t30267712,4493888372124.809114.358.158.3
B6-d18-S150-t30877622,284705210,89972.6631717.478.178.6
B6-d24-S150-t3013,83428,879809619,124127.495263.9123.0141.9
B6-d30-S150-t3031,04036,15321,76427,039180.267150.3128.8224.6
* K: Rotational stiffness at H/150 of drift; * M: Moment at H/150 of drift; * E: Energy at H/150 of drift.
Table 7. The optimum variable values that resulted from algorithms.
Table 7. The optimum variable values that resulted from algorithms.
ConstantGAWOA
C115,481706
C28641052
C315,1571046
C482935316
C539673855
C6617314,837
C7767862
C818311886
C93632
C106320
C1186658696
C12818212,453
C1364018976
Table 8. The fitness value of each algorithm.
Table 8. The fitness value of each algorithm.
AlgorithmFitness Value
WOA29,189
GA30,403
Disclaimer/Publisher’s Note: The statements, opinions and data contained in all publications are solely those of the individual author(s) and contributor(s) and not of MDPI and/or the editor(s). MDPI and/or the editor(s) disclaim responsibility for any injury to people or property resulting from any ideas, methods, instructions or products referred to in the content.

Share and Cite

MDPI and ACS Style

Nawar, M.T.; El-Zohairy, A.; Alaaser, A.G.; Hamdy, O. Finite Element Analysis and Optimization of the Rotational Stiffness of Semi-Rigid Base Connection under Simultaneous Moment and Tension. Buildings 2024, 14, 2166. https://doi.org/10.3390/buildings14072166

AMA Style

Nawar MT, El-Zohairy A, Alaaser AG, Hamdy O. Finite Element Analysis and Optimization of the Rotational Stiffness of Semi-Rigid Base Connection under Simultaneous Moment and Tension. Buildings. 2024; 14(7):2166. https://doi.org/10.3390/buildings14072166

Chicago/Turabian Style

Nawar, Mahmoud T., Ayman El-Zohairy, Ahmed G. Alaaser, and Osman Hamdy. 2024. "Finite Element Analysis and Optimization of the Rotational Stiffness of Semi-Rigid Base Connection under Simultaneous Moment and Tension" Buildings 14, no. 7: 2166. https://doi.org/10.3390/buildings14072166

APA Style

Nawar, M. T., El-Zohairy, A., Alaaser, A. G., & Hamdy, O. (2024). Finite Element Analysis and Optimization of the Rotational Stiffness of Semi-Rigid Base Connection under Simultaneous Moment and Tension. Buildings, 14(7), 2166. https://doi.org/10.3390/buildings14072166

Note that from the first issue of 2016, this journal uses article numbers instead of page numbers. See further details here.

Article Metrics

Back to TopTop