Next Article in Journal
Deformation Analysis of Existing Buildings Affected by Shield Tunnels Based on Intelligent Inversion and Measured Data
Previous Article in Journal
Seismic Performance of Drop-In Anchors in Concrete under Shear and Tension
 
 
Font Type:
Arial Georgia Verdana
Font Size:
Aa Aa Aa
Line Spacing:
Column Width:
Background:
Article

Calculation of Shear Stress in New-Type Composite Box Girder with Corrugated Steel Webs under Restrained Torsion

School of Civil Engineering, Lanzhou Jiao Tong University, Lanzhou 730070, China
*
Author to whom correspondence should be addressed.
Buildings 2024, 14(7), 2023; https://doi.org/10.3390/buildings14072023
Submission received: 3 June 2024 / Revised: 27 June 2024 / Accepted: 29 June 2024 / Published: 2 July 2024
(This article belongs to the Section Building Structures)

Abstract

The objective of this paper is to outline a method for the systematic analysis and calculation of the constrained torsional shear stress in corrugated steel web composite box girders. Initially, leveraging Umansky’s secondary theory, the calculation formula for the constrained torsional shear stress within the composite girder is derived from the conditions of cross-sectional torque equilibrium and continuity in warping displacement. Subsequently, a torsion test is conducted using a scaled model of an actual girder. Finally, the constrained torsional shear stress of the corrugated steel web composite girder is examined based on theoretical analyses and the results of torsion testing. The influence of wing plate length and web thickness on the torsional shear stress of the composite girder is also investigated. The findings reveal a strong agreement between the experimental results obtained from model testing and the theoretical calculations. Notably, under torsional constraint, it is observed that the shear stress in the web is maximal and evenly distributed, followed by the bottom plate and then the top plate, with no discernible shear stress observed at the free end of the cantilever plate. Numerical analysis indicates that an increase in the relative width of the cantilever plate initially leads to an increase in shear stress for both the cantilever plate and roof plate, followed by a decrease until reaching a relative width value around 0.6, where the changes tend to stabilize. Moreover, an increase in web thickness results in a monotonic decrease in web shear stress. Additionally, the shear stress of the roof and bottom plate decreases initially before subsequently increasing.

1. Introduction

The new corrugated steel web composite box girder represents an advancement over traditional designs, replacing the concrete floor plate with a steel floor. This modification offers numerous advantages over conventional corrugated steel web composite box girders [1], including a reduction in the structure’s self-weight and resolution of construction difficulties and cracking issues at the junction between the concrete floor and the corrugated steel web [2,3]. The reduction in the structure’s self-weight will result in a subsequent decrease in its torsional stiffness, underscoring the necessity of investigating its torsional performance from a practical standpoint. NIE et al. [4,5] conducted an extensive series of experimental studies on corrugated steel web composite girders, revealing objective positive strains in localized regions adjacent to the top and bottom plates. Deng Wenqin et al. [6] devised and fabricated a variable cross-section double cantilever composite beam model to investigate the impact of lined concrete on the shear, torsion, and deflection characteristics of the composite girder. Jiang Kebin et al. [7] fabricated a model consisting of four corrugated steel web PC composite girders and investigated the influence of waveform, thickness, and other parameters on the torsional load-bearing capacity under pure torsional loading conditions. In their experimental study on the UHPC-corrugated steel web PC composite girder, Guo Shaochang et al. [8] observed a significant increase in stress on the side of the eccentric load. Wang et al. [9] decomposed the torsional angle of a thin-walled box girder into a constrained shear torsion angle and a free warping torsion angle, providing a formula for calculating the total shear stress based on numerical illustrations. Ding et al. [10] investigated the torsional effect of corrugated steel web steel–concrete structures, considering material nonlinearity and employing finite element software. Kato et al. [11] employed the matrix principle to investigate the torsional efficiency of box girders with corrugated steel webs. Ma Lei et al. [12] derived the constrained torsional and distortion warping differential equations for single-box and double-chamber corrugated steel web composite box girders and conducted experimental investigations. Qin Aoao et al. [13] derived calculation formulas for torsional normal stress and shear stress of corrugated steel web, investigating the influence of the height–width ratio, cantilever plate width ratio, and steel base plate thickness on torsional stress. Zhang Yuanhai et al. [14,15] derived two formulas to calculate the constrained torsional shear stress of closed thin-walled members based on the principles of total torque equilibrium and warpage displacement continuity, demonstrating the mathematical equivalence between these two formulas.
While significant advancements have been made by the aforementioned scholars in experimental research and theoretical demonstration, inconsistencies persist in the calculation of warping shear stress for thin-walled box girders [16,17,18,19]. In reference [16], the distribution curve of normal stress at the cantilever plate does not align with the distribution curve of shear stress. References [17,18] suggest a shear stress occurrence at the end of the cantilever where it should be zero. Furthermore, reference [19] demonstrates that the shear stress value at the cantilever end exceeds that at the root, contradicting reality. In conclusion, further theoretical and experimental research on the corrugated steel web is necessary.
To address the aforementioned issues, a calculation formula for the constrained torsional shear stress of the new corrugated steel web composite beam was derived based on Umansky’s second theory and the warpage continuity condition. Subsequently, a model test of a scaled solid bridge was conducted to validate its accuracy.

2. Mechanical Properties of Corrugated Steel Web

2.1. Longitudinal Apparent Modulus of Elasticity

The geometric shape of the corrugated steel web is shown in Figure 1.
The corrugated steel web adopts a folded configuration in the axial direction, resulting in considerable axial deformation when subjected to loading. Consequently, its apparent elastic modulus appears relatively low and can be expressed mathematically as follows [20]:
E 0 = E s η ( t / h ) 2
η = ( d 1 + d 2 ) / ( 4 d 2 )
where Es represents the elastic modulus of steel; d1, d2, and d3 denote the lengths of the straight plate segment, the length of the oblique plate segment projected on the horizontal plane, and the length of the oblique plate segment, respectively. Furthermore, t stands for the thickness of the corrugated steel web plate, while h represents the height of the corrugated steel web.

2.2. Enhancing the Efficacy of Shear Modulus and Achieving Equivalent Conversion

The presence of corrugation in the steel web decreases its effective shear modulus (Ge) compared to that of a plain steel plate (G). In this study, we utilize the calculation formula proposed in reference [21]:
G e = G ( d 1 + d 2 ) / ( d 1 sec α + d 2 )
G = E s / 2 ( 1 + υ )
where υ represents the Poisson ratio of steel.
The corrugated steel web and steel bottom plate are transformed into concrete materials using the principle of equal shear strain, ensuring that the section thickness remains unchanged, as shown in Figure 2:
t c o = ( G / G c ) t c t w o = ( G e / G c ) t w
where tc° and tc represent the respective equivalent thicknesses of the front and rear steel plates, while tw° and tw denote the equivalent thicknesses of the front and rear web, with Gc signifying the shear modulus of concrete.

3. Analysis of Constrained Torsional Shear Stress

3.1. Analysis of Shear Stress

The total shear flow q of a closed-section thin-walled box girder comprises two components: the free torsional Bret shear flow qo and the secondary shear flow qω with balanced warping normal stress:
q = q o + q ω
The composite girder with corrugated steel webs is illustrated in Figure 3. Here, s represents the coordinate of the midline across the wall thickness, z denotes the coordinate along the longitudinal direction of the girder, qω indicates the torsion-warped shear flow of the section, σω represents the torsion-warped normal stress of the section, and t corresponds to the wall thickness.
The observation that the resultant force in the z-direction of the microelement body is zero implies the following:
q ω s + σ ω z t = 0
Umansky’s second theory provides the mathematical formulation for warping normal stress:
σ ω = E ω ¯ β ( z )
The coordinate ω ¯ denotes the generalized principal sector of the cross-section, while β represents the generalized warping of the cross-section.
By substituting Equation (8) into Equation (7) and setting s = 0 at a selected point, the secondary shear flow can be determined through integration with respect to s:
q ω = q ω 0 + E β S ω ¯
S ω ¯ = 0 s ω ¯ t d s
where qω0 is the secondary shear flow; S ω ¯ is the sectional sector static moment.
Based on the geometric equation, the shear strain γ within the thin-walled micro-body can be formulated as a function of warping displacement:
γ = u s + v z = q G t
According to Umansky’s second theory, with the s-coordinate origin positioned at the principal zero point, the longitudinal warping displacement u and tangential displacement v at any point P along the centerline of the wall thickness are expressed as follows:
u = β ω ¯
v = θ ρ
where θ represents the generalized torsion angle of the cross-section and ρ denotes the vertical distance between the torsion center of the section and the tangent line at any point along the centerline of the wall thickness.
By substituting Equations (12) and (13) into Equation (11), we obtain the following:
u s = q G t θ ρ
After multiplying both sides of Equation (14) by ds, the integration with respect to s yields the following:
u = u 0 + 1 G 0 s q t d s θ 0 s ρ d s
where u represents the constrained torsional warpage displacement function, q denotes the total torsional shear flow, and u0 is the constrained torsional warpage displacement at the starting point of s.
The continuity condition of warpage displacement implies that the warpage displacement at the imaginary incision must remain continuous, resulting in u = u0. Consequently, Equation (15) can be expressed as follows:
q t d s = G Ω θ
where Ω = 0 s ρ d s , Ω is the sectorial coordinate.
By substituting Equation (6) into Equation (16) and applying Brett’s first and second formulas, we arrive at the desired result:
q ω t d s = 0
By substituting Equation (9) into Equation (17), the quadratic normal shear flow qω0 can be derived. Subsequently, the calculation formula for the quadratic shear flow qω can be obtained by substituting Equation (9):
q ω = M ω I ω ¯ S ¯ ω ¯ S ¯ ω ¯ = S ω ¯ S ω ¯ t d s 1 t d s
where S ω ¯ is the generalized principal sector static moment.
In conclusion, the formula for calculating the total shear flow is as follows:
q = q 0 + q ω = M s Ω M ω I ω ¯ S ¯ ω ¯
where Ms is the free torsion torque, and the sum of Ms and Mω is the total torque.
The longitudinal apparent elastic modulus E0 of the corrugated steel web is exceedingly small, leading to significant warping deformation and negligible warping shear stress. Consequently, it can be inferred that the corrugated steel web primarily undergoes free torsion to generate shear stress. Therefore, the shear stress τs of the section of the corrugated steel web can be expressed as follows:
τ s = M s Ω t
In this scenario, the cantilever plate component should manifest Saint-Venant shear stress along the wall thickness line. However, our calculation of the shear stress along the midline of the wall thickness has led to the neglect of the Saint-Venant shear stress. Therefore, we can express the shear stress at the cantilever plate as follows:
τ c p = M ω I ω ¯ t S ¯ ω ¯
The mathematical formulation of the shear stress at the top and bottom plates of the composite girder is as follows:
τ c = M s Ω t M ω I ω ¯ t S ¯ ω ¯
Equations (20)–(22) are currently the established theoretical formulas used for calculating the torsional shear stress of the newly designed composite box girder with corrugated steel webs.

3.2. Calculation Example

3.2.1. Introduction to Examples

The scaled model of the innovative composite girder, featuring corrugated steel webs as depicted in Figure 4, has been selected for analysis. The span length measures 8 m, the beam is subjected to a concentrated load of P = 3 kN with a force arm of 0.3 m, and the roof structure is reinforced concrete with an elastic modulus of 35.5 GPa. Both the bottom plate and web are constructed using Q345 steel, with a thickness of 5 mm for the former and 3 mm for the latter. The elastic modulus of Q345 steel is determined to be 206 GPa. Figure 1 illustrates the waveform of the web, where d1 = 50 mm, d2 = 70 mm, d3 = 64 mm, h = 40 mm, and t = 3 mm.

3.2.2. Constrained Torsional Shear Stress Calculation

The calculation section for the composite beam span was selected as the midsection, with point A1 representing the midpoint of the left cantilever plate, point A2 representing the upper endpoint of the left web, and point A3 representing the lower endpoint of the right web (see Figure 4b). Utilizing Equations (1)–(4), we determined that the longitudinal apparent elastic modulus of the corrugated steel web is Eω = 0.4966 GPa and that its effective shear modulus is Gω = 70.9364 GPa. By applying Formula (5), we converted the corrugated steel web into a concrete section with a thickness of tw° = 0.014 m. Employing a section calculation method [22] for determining the torsion center, we found that it lies 0.06612 m below the midpoint of the top plate’s middle line; Figure 5 illustrates these generalized principal sector coordinates centered around this torsion center.
The sectional fan static moment and the generalized principal fan static moment of the composite beam are determined based on Figure 5, Equation (10), and Equation (18), as illustrated in Figure 6 and Figure 7.
The torsion characteristics of the section were computed following the prescribed method, and the resulting values are presented in Table 1.
By utilizing Equations (20) and (21), the section’s torsional shear stress can be determined, as illustrated in Figure 8, considering a total torque Mz = 0.45 kN·m, free torsion torque Ms = 0.3802 kN·m, and Mω = 0.0698 kN·m.
As depicted in Figure 8, the maximum shear stress within the section is observed at the web, exhibiting a uniform distribution across all parts of the web. At the free end of the cantilever plate, initially, no shear stress is present, gradually increasing toward the interior. The torsional shear stress on the top plate displays an uneven distribution, with minimum values at its midpoint and a maximum value that is only 5.3% of the shear stress on the web. Similarly, the bottom plate also demonstrates a non-uniform distribution of shear stress, reaching a peak value at its midpoint that corresponds to 71.8% of the shear stress on the web.

4. Experimental Study

4.1. Processing and Production of Model Beams

According to the calculation examples in Section 2.2, the scaled model of the test beam is made. The cross-section size is shown in Figure 4.
The production process of the model beam is described as follows:
First, the corrugated steel web, steel bottom plate, transverse partition, stiffening ribs, and shear connectors were processed by the factory. Each part was then assembled and welded according to the design drawings. Subsequently, the prestressed pipe was reserved. Following this, the upper wing plate form was erected, and the ordinary steel bar of the upper wing plate was lashed. Concrete for the upper wing slab was then placed and vibrated. The structure was maintained for 28 days. Finally, the mold was removed, and the beam was transported to the laboratory for preparation before testing.
The on-site production photos of the model beam are shown in Figure 9 below.

4.2. Experimental Device and Experimental Process

4.2.1. Arrangement of Measuring Points for Test Beam

The primary test area for the model beam is the mid-span section. Within this area, there are nine horizontally arranged measuring points in the concrete roof of the test section, labeled I1–I9, and five horizontally arranged measuring points in the steel base plate, labeled II1-II5. Additionally, three measuring points, labeled III1–III6, are placed along the vertical axis of both the left and right webs, with one strain gauge at each measuring point. Data collection for shear strain is conducted using the DH3816 static strain tester at each measuring point. The stress at each point can then be determined based on the stress–strain relationship of the respective materials. For visual reference, the arrangement of measuring points is depicted in Figure 10.

4.2.2. Load Scenario

In consideration of the actual dimensions of the test beam and the conditions at the testing site, torque loading was applied longitudinally during the test. Initially, two rigid steel beams were used to secure both ends of the model beam. Subsequently, the mid-span cross-section was clamped by two loading beams, allowing unrestricted rotation around a pivot hinge situated at the lower end, influenced by the loading beams. Each loading beam was subjected to vertical loading from a jack to induce torque, with a force arm length of 0.625 m per loading beam. The magnitude of the load applied by the jack was controlled by a pressure sensor, and a force of 10 kN was applied. The loading device is depicted in Figure 11.

4.3. Finite Element Modeling

To compare and analyze the test results, a finite element model of the model beam was constructed using ANSYS software (Version 18.2, Canonsburg, PA, USA).
In the process of constructing the model, the solid unit SOLID65 was employed to simulate the concrete roof, while the shell unit SHELL181 was utilized to represent the steel box section. Additionally, the spring unit COMBIN39 was employed to model the shear connectors. The unit size and connection mode are detailed in Table 2.
Torque loading was applied to the mass unit to simulate pure torsional loading along the span of the box girder. The finite element model is illustrated in Figure 12.

4.4. Experimental Results

According to the loading scheme, the stress (τe) at each measuring point is obtained through data collection under the test load, as depicted in Table 3 (here, the shear strain γ at the test point is obtained. The shear stress at the measuring point is calculated using the formula τe = Gγ). The table also includes the corresponding finite element value (τf) and theoretical calculation value (τt) for ease of comparison and analysis.
Table 3 illustrates that the measured values at each measuring point on the test cross-section closely match both the theoretical and finite element values. The error for each measuring point is within 10%, validating the accuracy of the calculation method proposed in this paper.

5. Analysis of Influencing Factors

According to the torsion theory derived for the new type of composite box girder with corrugated steel webs, the torsional shear stress of the composite beam section is determined by its geometry. In this study, we utilize the derived formula to calculate two key parameters: the width of the cantilever plate and the thickness of the web in the composite beam. Calculation points are selected at the fixed end of the cantilever plate, midpoint of the web, left end of the top plate, and left end of the bottom plate. We then analyze the influence of these parameters on the shear stress distribution across the composite beam section.

5.1. Influence Analysis of Cantilever Plate Width

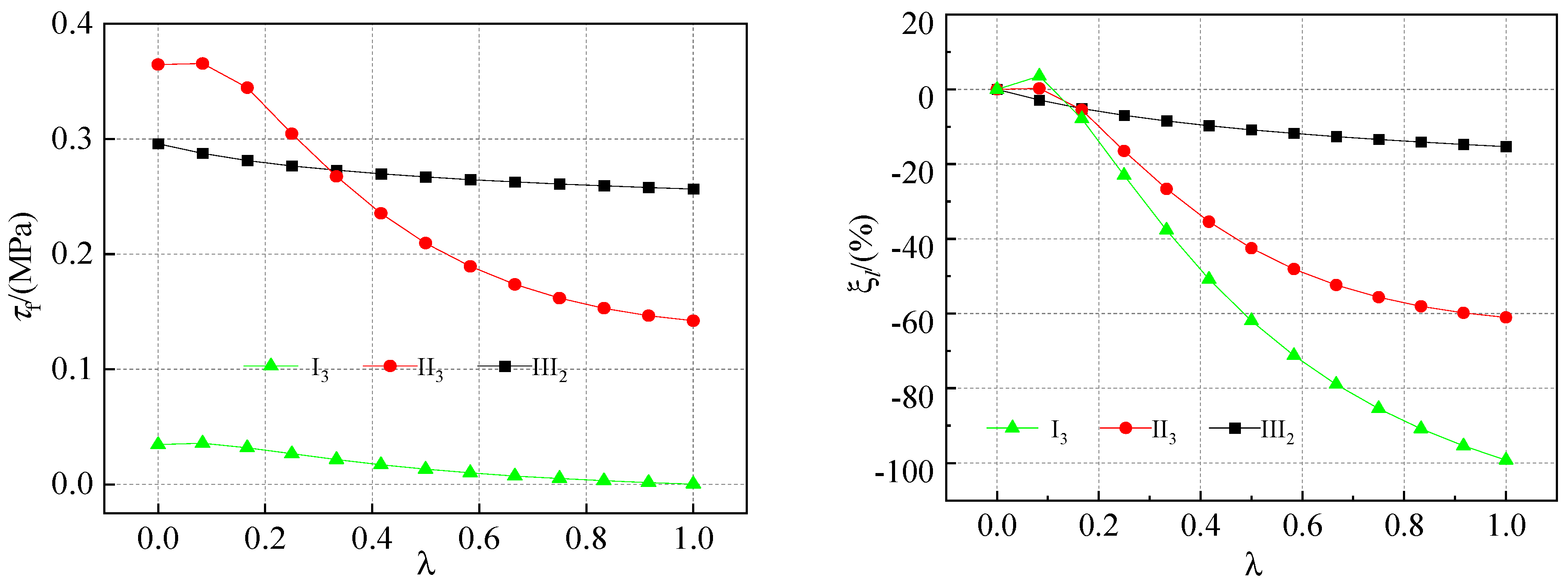
Using the model beam and subjected to an external torque of M = 0.9 kN·m, the width of the roof remains constant while the width of the cantilever plate is incrementally increased from 0 to 0.6 m in steps of 0.05 m. The impact of the relative width λ of the cantilever plate on shear stress is examined by introducing the relative width coefficient λ, defined as the cantilever plate width divided by the roof width. To more effectively illustrate the magnitude of shear stress variation, the shear stress change rate ξl ( ξ l = τ f / τ f % , where τf’ is the shear stress of the cantilever plate after change and τf is the shear stress that keeps the cantilever plate unchanged) is introduced, representing the rate of change of shear stress at a selected reference point relative to the original shear stress with respect to λ. The calculation results are presented in Figure 13.
As illustrated in Figure 13, the shear stress of the web decreases consistently with increasing width of the cantilever plate, exhibiting minimal impact. As the width of the cantilever plate increases, both the top and bottom plates initially experience an increase followed by a decrease, with a relatively small area of increase, particularly affecting the top plate. In practical engineering applications, the relative width λ of the cantilever plate is typically around 0.5. The shear stress in the middle of the bottom plate is 74% of that in the web; however, since it is also made of steel, this design effectively mitigates issues such as inclined cracks in the bottom plate. This highlights a significant advantage of using corrugated steel web in composite beams.

5.2. Analysis of the Influence of Web Thickness

Using the same analysis method as described in Section 5.1, the thickness of the top and bottom plates of the composite beam remains constant, while the thickness of the web is varied from 3 mm to 9 mm with an increment of 0.5 mm. The curve and rate of change of shear stress corresponding to the web thickness (tw) are illustrated in Figure 14.
It is evident from Figure 14 that the shear stress of the web, top plate, and bottom plate decreases as the web thickness increases. Specifically, the shear stress of the web decreases monotonically with increasing web thickness and was most significantly affected. Conversely, the shear stress of the top and bottom plates initially decreases and then increases.

6. Conclusions

This study focuses on the constrained torsional shear stress of a corrugated steel web composite box girder, taking into consideration the web accordion effect. The study is conducted through theoretical analysis and experimental research. The finite element software ANSYS (Version 18.2) was utilized to investigate the impact of wing plate length and web thickness on the torsional shear stress of composite beams. The following are the main conclusions:
(1)
The shear stress remains uniform along the corrugated steel web, whereas it exhibits an uneven distribution at other sections. At the free end of the flange plate in the composite beam, the shear stress is initially zero, gradually increasing toward the interior.
As the web thickness increases, the shear stress of the web, top plate, and bottom plate decreases. Notably, the web shear stress is most affected, decreasing monotonically with increasing web thickness. In contrast, the shear stress of the top and bottom plates initially decreases before increasing.
(2)
When the relative width of the flange plate is 0.5, significant shear stress occurs at the bottom plate. However, the steel bottom plate is able to prevent cracks, demonstrating a major advantage of the new corrugated steel web composite beam.
(3)
In the process of deriving the equation for calculating constrained torsional shear stress, Umansky’s secondary theory and the rigid perimeter assumption are employed. These assumptions imply that the cross-section of the composite beam does not undergo distortion. However, it should be noted that the actual situation is more complex and has not been addressed in this paper. Further research is needed to fully understand this aspect.

Author Contributions

Conceptualization, Y.M. and S.L.; methodology, Y.M.; software, Y.M.; validation, Y.M.; formal analysis, S.L.; investigation, Y.M.; resources, S.L.; data curation, Y.M.; writing—original draft preparation, Y.M.; writing—review and editing, Y.M. and S.L.; visualization, S.L.; supervision, Y.M.; project administration, S.L.; funding acquisition, S.L. All authors have read and agreed to the published version of the manuscript.

Funding

This research was funded by the National Natural Science Foundation of China (Grant Number, 51568036, 51868040, and 52268027).

Institutional Review Board Statement

Not applicable.

Informed Consent Statement

Not applicable.

Data Availability Statement

The data presented in this study are available on request from the corresponding author.

Conflicts of Interest

The authors declare no conflicts of interest.

Abbreviations

UHPCUltra-High-Performance Concrete
PCPrestressed Concrete
CSWCorrugated Steel Webs

References

  1. Zhao, P.; Rong, X.L.; Shao, X.D.; Han, H.T.; Jiang, Z.W.; Wang, Y. Flexural performance of precast segmental continuous box girders with corrugated steel webs. J. Constr. Steel Res. 2024, 216, 108621. [Google Scholar] [CrossRef]
  2. Luo, K.; Chen, X.; Ji, W.; Zhang, J.W.; Zuo, H. Frequency study on improved composite box girder bridges with corrugated steel webs. J. Constr. Steel Res. 2024, 215, 108555. [Google Scholar] [CrossRef]
  3. Wang, L.; Liu, S.Z.; Li, Z.Q.; Huang, J.J.; Ding, W.P. Temperature Effect of Simply Supported Composite Box Girder with Corrugated Steel Webs and Composite Deck. Adv. Eng. Sci. 2022, 54, 133–140. [Google Scholar] [CrossRef]
  4. Niej, G.; Zhuy, J.; Taom, X.; Guo, C.R.; Li, Y.X. Optimized prestressed continuous composite girder bridges with corrugated steel webs. J. Bridge Eng. 2017, 22, 04016121. [Google Scholar] [CrossRef]
  5. He, J.; Liu, Y.Q.; Wang, S.H.; Xin, H.H.; Chen, H.W.; Ma, C.B. Experimental study on structural performance of prefabricated composite box girder with corrugated webs and steel tube slab. J. Bridge Eng. 2019, 24, 04019047. [Google Scholar] [CrossRef]
  6. Deng, W.Q.; Liu, D.; Wang, C.; Zhang, J.D. Test study on shearing and torsional behavior of concrete-encased non-prismatic composite girder with corrugated steel webs. J. Southeast Univ. (Nat. Sci. Ed.) 2019, 49, 618623. (In Chinese) [Google Scholar] [CrossRef]
  7. Jiang, K.B.; Ding, Y.; Yang, J.K.; Zhou, Y.Z. Experimental study on ultimate torsional strength of PC composite box-girder with corrugated steel webs under pure torsion. Eng. Mech. 2013, 30, 175–182. (In Chinese) [Google Scholar] [CrossRef]
  8. Guo, S.C.; Li, L.F.; Feng, W.; Yang, S. Experimental study on torsional behavior of variable section UHPC-composite box girder with corrugated steel web. Railw. Eng. 2022, 62, 68–73. (In Chinese) [Google Scholar]
  9. Wang, Z.Q.; Zhao, J.C. Restrained torsion of thin-walled beam. J. Struct. Eng. 2014, 140, 04014089. [Google Scholar] [CrossRef]
  10. Ding, Y.; Jiang, K.B.; Liu, Y.W. Nonlinear analysis for PC box-girder with corrugated steel webs under pure torsion. Thin-Walled Struct. 2012, 51, 167–173. [Google Scholar] [CrossRef]
  11. Kato, H.; Nishimura, N. Practical analysis methods for continuous girder and cable stayed bridges composed of beams with corrugated steel webs. Struct. Eng. Earthq. Eng. 2004, 21, 207–222. [Google Scholar] [CrossRef]
  12. Ma, L.; Wan, S.; Jiang, Z.W. Research on Torsion and Distortion Performance of Single Box Double-cell Girder with Corrugated Steel Webs. China J. Highw. Transp. 2016, 29, 77–85. [Google Scholar] [CrossRef]
  13. Qin, A.A.; Liu, S.Z.; Gong, B.J.; Cai, M.H.; Wang, F.X. Torsional Stress Analysis of Improved Composite Box Girder with Corrugated Steel Webs. Appl. Sci. 2022, 12, 11571. [Google Scholar] [CrossRef]
  14. Zhang, Y.H.; Zhou, P.J.; Lin, L.X. Research on Resolution Calculation Method for Secondary Shear Flow of Thin-walled Box Girders under Restrained Torsion. J. China Railw. Soc. 2008, 43, 183–190. (In Chinese) [Google Scholar] [CrossRef]
  15. Zhang, Y.H.; Huang, H.M.; Liang, Y.Y. Calculation of shear stress of thin-walled box girders under restratined torsion. J. Southeast Univ. (Nat. Sci. Ed.) 2021, 51, 942–948. (In Chinese) [Google Scholar] [CrossRef]
  16. Li, X.Y.; Wan, S.; Shen, K.J.; Zhou, P. Finite beam element with exact shape functions for torsional analysis in thin-walled single-ormulti-cell box girders. J. Constr. Steel Res. 2020, 172, 106189. [Google Scholar] [CrossRef]
  17. Di, J.; Zhou, X.H.; You, J.L.; Kong, X.F. Torsional property of prestressed concrete composite beam with corrugated steel webs. J. Chang. Univ. (Nat. Sci. Ed.) 2009, 29, 58–63+76. (In Chinese) [Google Scholar] [CrossRef]
  18. Hu, J.H.; Liu, H.B.; Di, J. Torsional property analysis of prestressed concrete composite beam with corrugated steel webs. J. China Foreign Highw. 2017, 37, 118123. [Google Scholar] [CrossRef]
  19. Yang, B.W.; Li, Y.L.; Wan, S.; Zhang, J.D. Stress Analysis of Box Girder with Corrugate Steel Webs under Torsion. J. South China Univ. Technol. (Nat. Sci. Ed.) 2012, 40, 19–22, 34. [Google Scholar] [CrossRef]
  20. Deng, W.Q.; Mao, Z.L.; Liu, D.; Zhang, J.D. Analysis and experimental study on torsion and distortion of single box three-cell cantilever girder with corrugated steel webs. J. Build. Struct. 2020, 41, 173–181. [Google Scholar] [CrossRef]
  21. Johnson, R.P.; Cafolla, J. Corrugated webs in plate girders for bridge. Proc. Inst. Civ. Eng. Build. 1997, 122, 157–164. [Google Scholar] [CrossRef]
  22. Chai, J.; Zhou, M.; Zhang, Y. Radial force analysis of long span bridge with trapezoidally corrugated steel webs. Thin-Walled Struct. 2024, 198, 111720. [Google Scholar] [CrossRef]
Figure 1. Dimensions of CSW.
Figure 1. Dimensions of CSW.
Buildings 14 02023 g001
Figure 2. Equivalent process of the CSW.
Figure 2. Equivalent process of the CSW.
Buildings 14 02023 g002
Figure 3. The stress state of an equivalent microelement.
Figure 3. The stress state of an equivalent microelement.
Buildings 14 02023 g003
Figure 4. Geometry of composite beams (unit: mm). (a) Vertical schematic diagram. (b) Schematic diagram of composite box beam. (c) Diagram of connection modes. (d) Corrugated diagram.
Figure 4. Geometry of composite beams (unit: mm). (a) Vertical schematic diagram. (b) Schematic diagram of composite box beam. (c) Diagram of connection modes. (d) Corrugated diagram.
Buildings 14 02023 g004aBuildings 14 02023 g004b
Figure 5. Generalized principal sector coordinates (unit: m2).
Figure 5. Generalized principal sector coordinates (unit: m2).
Buildings 14 02023 g005
Figure 6. Static sector moments (unit: m4).
Figure 6. Static sector moments (unit: m4).
Buildings 14 02023 g006
Figure 7. Generalized static sector moments (unit: m4).
Figure 7. Generalized static sector moments (unit: m4).
Buildings 14 02023 g007
Figure 8. Torsional shear stress of section (unit: kPa).
Figure 8. Torsional shear stress of section (unit: kPa).
Buildings 14 02023 g008
Figure 9. Beam model constructed on site. (a) Fabrication of steel box beam. (b) Securing the top bar. (c) Maintenance of box beam structures. (d) Coating of steel box beam.
Figure 9. Beam model constructed on site. (a) Fabrication of steel box beam. (b) Securing the top bar. (c) Maintenance of box beam structures. (d) Coating of steel box beam.
Buildings 14 02023 g009aBuildings 14 02023 g009b
Figure 10. Layout of measuring points.
Figure 10. Layout of measuring points.
Buildings 14 02023 g010
Figure 11. Scene photograph. (a) Test beam. (b) Jack and the loading device. (c) Testing data collection. (d) Revolute joint.
Figure 11. Scene photograph. (a) Test beam. (b) Jack and the loading device. (c) Testing data collection. (d) Revolute joint.
Buildings 14 02023 g011
Figure 12. Schematic diagram of finite element model.
Figure 12. Schematic diagram of finite element model.
Buildings 14 02023 g012
Figure 13. Shear stress curve as a function of cantilever plate width.
Figure 13. Shear stress curve as a function of cantilever plate width.
Buildings 14 02023 g013
Figure 14. Curve of shear stress with web thickness.
Figure 14. Curve of shear stress with web thickness.
Buildings 14 02023 g014
Table 1. Parameters of torsional geometry.
Table 1. Parameters of torsional geometry.
Section ParametersNumeric Value
The polar moment of inertia (Id/m4)2.941 × 10−3
The torsion moment of inertia (Iρ/m4)2.484 × 10−3
The generalized main sectorial moment of inertia (Iω/m6)1.579 × 10−5
Constraint factor (μ)0.155
Constrain the torsion property parameters (k)3.517
Table 2. Element types and mesh size.
Table 2. Element types and mesh size.
Element TypesElastic ModulusPoisson’s RatioConnection MethodMesh Sizes
Top flangeSOLID653.45 × 104 MPa0.2Combin390.1 mm
WebSHELL1812.06 × 105 MPa0.30.1 mm
Common nodes
Bottom flangeSHELL1812.06 × 105 MPa0.30.1 mm
Table 3. Shear stress of section.
Table 3. Shear stress of section.
Station PositionMeasuring Pointτe/(MPa)τf/(MPa)τt/(MPa)(τfτe)/τe
(%)
(τtτe)/τe
(%)
Composite beam wing plateI1000--
I20.05430.05660.05724.24 5.34
I30.15430.16110.16244.41 5.25
I40.08120.08530.08615.05 6.03
I50.07640.07970.08024.32 4.97
Composite beam base plateII11.17671.21231.21353.03 3.13
II21.29821.33541.33762.87 3.03
II31.34121.37651.37742.63 2.70
Composite beam webIII11.79521.91741.83256.81 2.08
III21.86451.91741.91872.84 2.91
III31.91381.91741.90464.03 3.33
Disclaimer/Publisher’s Note: The statements, opinions and data contained in all publications are solely those of the individual author(s) and contributor(s) and not of MDPI and/or the editor(s). MDPI and/or the editor(s) disclaim responsibility for any injury to people or property resulting from any ideas, methods, instructions or products referred to in the content.

Share and Cite

MDPI and ACS Style

Mao, Y.; Liu, S. Calculation of Shear Stress in New-Type Composite Box Girder with Corrugated Steel Webs under Restrained Torsion. Buildings 2024, 14, 2023. https://doi.org/10.3390/buildings14072023

AMA Style

Mao Y, Liu S. Calculation of Shear Stress in New-Type Composite Box Girder with Corrugated Steel Webs under Restrained Torsion. Buildings. 2024; 14(7):2023. https://doi.org/10.3390/buildings14072023

Chicago/Turabian Style

Mao, Yana, and Shizhong Liu. 2024. "Calculation of Shear Stress in New-Type Composite Box Girder with Corrugated Steel Webs under Restrained Torsion" Buildings 14, no. 7: 2023. https://doi.org/10.3390/buildings14072023

APA Style

Mao, Y., & Liu, S. (2024). Calculation of Shear Stress in New-Type Composite Box Girder with Corrugated Steel Webs under Restrained Torsion. Buildings, 14(7), 2023. https://doi.org/10.3390/buildings14072023

Note that from the first issue of 2016, this journal uses article numbers instead of page numbers. See further details here.

Article Metrics

Back to TopTop