Study on Dynamic Characteristics of Long-Span Highway-Rail Double-Tower Cable-Stayed Bridge
Abstract
1. Introduction
2. Bridge Background
- It is the longest dual-purpose bridge in the world, with a total length of 1622 m and a main span of 660 m.
- The main girder of the bridge is a steel truss structure with a width of 38 m.
- The pylon is an aesthetical and unique structure of a “water drop”.
3. Method Introduction
4. Computational Theory
5. Finite Element Method (FEM) Modeling of the Bridge
6. Parameter Analysis
6.1. Analysis of Dynamic Characteristics
- The mode shapes are transverse vibration, vertical vibration, torsional, and bending–torsion coupling. The torsion occurs in the fourth-order mode, and the fundamental reason for the torsion is that the bridge width is too large, and the cable surface is subjected to too large of a torsional force, so the torsional stiffness and frequency are reduced. When the bridge is subjected to a transverse load such as wind load and earthquake load, the resistance ability of the bridge structure should be considered. Because the stiffness of bridge structures, such as steel truss beams, pylons, cable stay, and pier, is different, the vibration patterns of bridge beams are mainly affected by the stiffness of components, and the first ten steps of this bridge are all the vibration patterns of steel truss beams.
- The long-span dual-purpose highway-rail cable-stayed bridge, with its extensive span and numerous degrees of freedom, exhibits a longer natural vibration period compared to traditional cable-stayed bridges. The transverse vibration of the steel truss beam, characterized as the bridge’s fundamental mode, arises due to the relatively lower stiffness of its transverse components compared to the longitudinal ones. Across all tenth-order mode shapes of the bridge, the maximum frequency remains below 1 Hz. This is attributed to the high stiffness of each bridge component, effectively limiting the vibration of the entire bridge structure.
- Table 2 shows that the mode distribution of the long-span dual-purpose highway-rail cable-stayed bridge is highly proximate. Specifically, within the frequency range of 0.22 Hz to 0.97 Hz, 10 order modes are densely clustered. Consequently, to ensure precision in analysis, when evaluating the dynamic performance of large-span dual-purpose highway-rail cable-stayed bridges, it is recommended to use multi-mode analysis.
6.2. Sensitivity Analysis of the FEM Parameters
6.2.1. Stiffness of Steel Truss Beam
6.2.2. Stiffness of Cables
6.2.3. Stiffness of Bridge Pylon
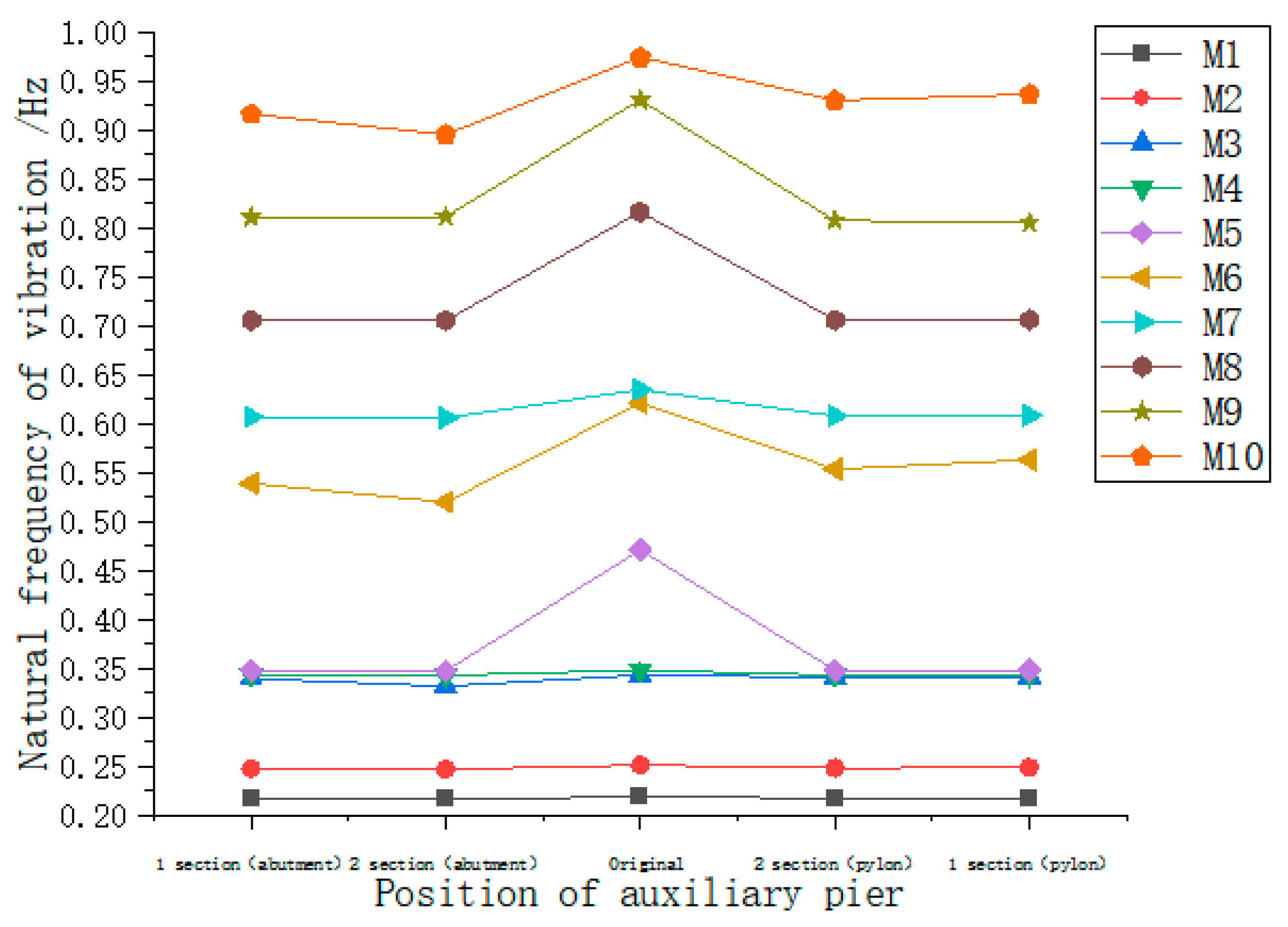
6.2.4. Position of Auxiliary Piers
7. Conclusions
- (1)
- As the steel truss beam stiffness increases, the dynamic characteristics of the bridge are also enhanced. For large-span dual-purpose cable-stayed bridges, increasing the steel truss beam stiffness can significantly improve the wind and seismic resistance of the bridge due to the large span. However, since cables are force-transmitting structures, increasing the stiffness of cables has a limited effect on improving the dynamic characteristics of bridges. In engineering, the selection of lower-stiffness materials for cables can reduce wind and seismic resistance and save costs.
- (2)
- Increasing the stiffness of pylons has a greater impact on enhancing the dynamic characteristics of bridges. Increasing the stiffness of the pylons can significantly enhance the vertical bending and bending coupling resistance of the bridge and effectively enhance the load-carrying capacity of the bridge.
- (3)
- Regardless of whether the auxiliary pier moves toward the abutment or the tower, the inherent vibration frequency of the entire bridge will be reduced. The location and number of auxiliary piers should be carefully considered regarding the specific circumstances.
Author Contributions
Funding
Data Availability Statement
Conflicts of Interest
References
- Briseghella, B.; Fa, G.; Aloisio, A.; Pasca, D.; He, L.; Fenu, L.; Gentile, C. Dynamic characteristics of a curved steel-concrete composite cable-stayed bridge and effects of different design choices. Structures 2021, 34, 4669–4681. [Google Scholar] [CrossRef]
- Xie, X.L.; Huang, Y.; Qin, X. A New Composite Truss Bridge and a Study on Its Dynamic Characteristics with FE and Experimental Methods. KSCE J. Civ. Eng. 2021, 25, 931–947. [Google Scholar] [CrossRef]
- Xie, X.L.; Huang, Y.; Qin, X. Conceptual design of a new type of single-tower cable-stayed arch bridge and study of its mechanical properties. Adv. Struct. Eng. 2021, 24, 2500–2511. [Google Scholar] [CrossRef]
- Cui, C.; Xu, Y.L.; Zhang, Q.-H.; Wang, F.-Y. Vehicle-induced dynamic stress analysis of orthotropic steel decks of cable-stayed bridges. Struct. Infrasturcture Eng. 2019, 16, 1067–1081. [Google Scholar] [CrossRef]
- Chen, E.L.; Zhang, X.; Wang, G.L. Rigid-Flexible Coupled Dynamic Response of Steel-Concrete Bridges on Expressways Considering Vehicle-Road-Bridge Interaction. Adv. Struct. Eng. 2020, 23, 160–173. [Google Scholar] [CrossRef]
- Zou, Y.; Yue, P.; Shi, K.; Xue, F.; He, X.; Liu, Q. Effects of High-Speed Trains on Trucks Running on a Road–Rail Dual-Use Bridge under Crosswind. Int. J. Struct. Stab. Dyn. 2022, 22, 2250122. [Google Scholar] [CrossRef]
- Jia, H.; Liu, Z.; Xu, L.; Bai, H.; Bi, K.; Zhang, C.; Zheng, S. Dynamic response analyses of long-span cable-stayed bridges subjected to pulse-type ground motions. Soil Dyn. Earthq. Eng. 2023, 164, 107591. [Google Scholar] [CrossRef]
- Vospernig, M.; Reiterer, M. Evaluation of the Dynamic System Characteristics for Single Span Concrete Railway Bridges—Determination of Dynamic Parameters Due to Measurements on Two Test Bridges in Cracked and Uncracked State with Variations of the Dead Load. Beton-Stahlbetonbau 2020, 115, 424–437. [Google Scholar] [CrossRef]
- Park, J.-H.; Huynh, T.-C.; Lee, K.-S.; Kim, J.-T. Wind and Traffic-Induced Variation of Dynamic Characteristics of a Cable-Stayed Bridge—Benchmark Study. Smart Struct. Syst. 2016, 17, 491–522. [Google Scholar] [CrossRef]
- Li, Y.; Tian, X.; Xiang, H.; Zhu, J. Dynamic Analysis of a Coupled System of High-Speed Maglev Train and a Flexible Long-Span Continuous Rigid Frame Bridge. Int. J. Struct. Stab. Dyn. 2023, 23, 2350174. [Google Scholar] [CrossRef]
- Vanova, P.; Sun, Z.; Odinson, O.-E.; Jiang, Z. Dynamic response analysis of a model truss bridge considering damage scenarios. Eng. Fail. Anal. 2023, 151, 107389. [Google Scholar] [CrossRef]
- Li, Y.; Dong, S.; Bao, Y.; Chen, K.; Qiang, S. Impact Coefficient Analysis of long-span highway-rail-public Railway Cable-Stayed Bridge Based on Coupled Vehicle-Bridge Vibration. Shock Vib. 2016, 2016, 641731. [Google Scholar] [CrossRef]
- Chen, M.; Huang, B.; Cui, C.; Xue, Z.; Yang, Z.; Xiao, Y.; Zhu, B. Coastal bridges with a box-girder superstructure under the action of solitary waves: Study on the optimization of bearings, dynamic characteristics and failure mechanism. Ocean. Eng. 2024, 8, 118316. [Google Scholar] [CrossRef]
- Górski, P.; Napieraj, M.; Konopka, E. Variability evaluation of dynamic characteristics of highway steel bridge based on daily traffic-induced vibrations. Measurement 2020, 164, 108074. [Google Scholar] [CrossRef]
- Torres, B.; Poveda, P.; Ivorra, S.; Estevan, L. Long-term static and dynamic monitoring to failure scenarios assessment in steel truss railway bridges: A case study. Eng. Fail. Anal. 2023, 152, 107435. [Google Scholar] [CrossRef]
- Martucci, D.; Civera, M.; Surace, C. Bridge monitoring: Application of the extreme function theory for damage detection on the I-40 case study. Eng. Struct. 2023, 279, 115573. [Google Scholar] [CrossRef]
- Civera, M.; Sibille, L.; Fragonara, L.Z.; Ceravolo, R. A DBSCAN-based automated operational modal analysis algorithm for bridge monitoring. Measurement 2023, 208, 112451. [Google Scholar] [CrossRef]
- Mutashar, R.; Sargand, S.; Al Rikabi, F.T.; Khoury, I. Response of a Composite-Adjacent Box Beam Bridge with Skewed Beams under Static and Quasi-Static Loads. J. Perform. Constr. Facil. 2019, 33, 1185–1193. [Google Scholar] [CrossRef]
- Siwowski, T.; Rajchel, M.; Wlasak, L. Experimental study on static and dynamic performance of a novel GFRP bridge girder. Compos. Struct. 2021, 259, 1153–1161. [Google Scholar] [CrossRef]
- Ademovic, N. Static and Dynamic Indicators for Composite Bridges. Lect. Notes Netw. Syst. 2018, 28, 681–690. [Google Scholar] [CrossRef]
- Gara, F.; Nicoletti, V.; Roia, D. Experimental Modal Properties of a Steel Arch Bridge During the Static Load Test. Lect. Notes Civ. Eng. 2018, 11, 725–735. [Google Scholar] [CrossRef] [PubMed]
- Zeng, Y.; Li, X.; Zeng, Y. Investigation on Seismic Response of Long-Span Special Steel Truss Cable-Stayed Bridge. Adv. Civ. Eng. 2022, 2022, 2262289. [Google Scholar] [CrossRef]
- Zeng, Y.; Zeng, Y.; Yu, H.; Tan, Y.; Tan, H.; Zheng, H. Dynamic Characteristics of a Double-Pylon Cable-Stayed Bridge with Steel Truss Girder and Single-Cable Plane. Adv. Civ. Eng. 2021, 2021, 9565730. [Google Scholar] [CrossRef]
- Bayraktar, A.; Altunisik, A.C.; Sevim, B.; Ozsahin, T.S. Environmental effects on the dynamic characteristics of the Gulburnu Highway Bridge. Civ. Eng. Environ. Syst. 2014, 31, 347–366. [Google Scholar] [CrossRef]
- Huang, B.; Seresh, R.F.; Zhu, L.P. Statistical analysis of basic dynamic characteristics of large span cable-stayed bridge based on high order perturbation stochastic fem. Adv. Struct. Eng. 2013, 19, 1499–1512. [Google Scholar] [CrossRef]
- Londono, N.A.; Lau, D.T.; Rahman, M. Characteristics of dynamic monitoring data and observed behavior of the Confederation Bridge due to operational load variations. Can. J. Civ. Eng. 2013, 40, 393–409. [Google Scholar] [CrossRef]
- Cai, H.; Lu, H. Dynamic response of long-span highway-rail-public continuous curved box girder bridge under seismic excitation. J. Vibroeng. 2019, 21, 696–709. [Google Scholar] [CrossRef]
- Siringoringo, D.M.; Fujino, Y. Dynamic characteristics of a curved cable-stayed bridge identified from strong motion record. Eng. Struct. 2007, 29, 2001–2017. [Google Scholar] [CrossRef]
- Li, Y.; Zhu, S.; Cai, C.S.; Yang, C.; Qiang, S. Dynamic response of railway vehicles running on long-span highway-rail-public cable-stayed bridge under uniform seismic excitations. Int. J. Struct. Stab. Dyn. 2016, 16, 1550005. [Google Scholar] [CrossRef]
- Zeng, Y.; Yu, T.; Xiao, Y.; Li, W. Investigation of the Mechanical Features of Steel–Concrete Composite Girder Rigid Frame Bridges with V-Shaped Piers during Construction Stages. Appl. Sci. 2024, 14, 3343. [Google Scholar] [CrossRef]
- Zeng, Y.; Kang, H.; Li, X.; Li, Z.; Xiao, Y.; Zhou, J. Study on Fatigue Cracking of Diaphragm’s Arc Opening of OSD in Steel Bridges by Using Biaxial Stress Method. Materials 2023, 16, 5217. [Google Scholar] [CrossRef] [PubMed]
- Wang, D.; Deng, Y.; Liu, Y. Influence of central buckle on suspension bridge dynamic characteristics and driving comfort. J. Cent. South Univ. 2015, 22, 3108–3115. [Google Scholar] [CrossRef]
- Wang, H.; Zou, K.G.; Li, A.Q.; Jiao, C.K. Parameter effects on the dynamic characteristics of a super-long-span highway-rail-public triple-pylon suspension bridge. J. Zhejiang Univ.-SCIENCE A 2010, 11, 305–316. [Google Scholar] [CrossRef]
- Zhang, H.; Ma, X.; Jiang, H.; Tong, K.; Zheng, Y.; Zhou, J. Grading Evaluation of Overall Corrosion Degree of Corroded RC Beams via SMFL Technique. Struct. Control Health Monit. 2023, 2023, 6672823. [Google Scholar] [CrossRef]
- Plotnikova, A.; Wotherspoon, L.; Beskhyroun, S.; Yang, Z.H. Influence of seasonal freezing on dynamic bridge characteristics using in-situ monitoring data. Cold Reg. Sci. Technol. 2019, 160, 184–193. [Google Scholar] [CrossRef]
- Zhu, Z.-H.; Gong, W.; Wang, K.; Liu, Y.; Davidson, M.T.; Jiang, L.-Z. Dynamic effect of heavy-haul train on seismic response of railway cable-stayed bridge. J. Cent. South Univ. 2020, 27, 1939–1955. [Google Scholar] [CrossRef]
- Geng, F.; Ding, Y.; Xie, H.; Song, J.; Li, W. Influence of structural system measures on the dynamic characteristics of a multi-span cable-stayed bridge. Struct. Eng. Mech. 2014, 52, 51–73. [Google Scholar] [CrossRef]
- Zeng, Y.; He, X.; Li, Y.; Zhou, J. Assessment of Modal Characteristics of Steel–Concrete Composite Girder Bridge with V-Shaped Piers. Appl. Sci. 2023, 13, 3421. [Google Scholar] [CrossRef]







| Component Names | Poisson Ratio | Elastic Modulus (GPa) | Mass Density (kg/m3) | Linear Expansion Coefficient (10−5 °C) |
|---|---|---|---|---|
| Pylon (C55 concrete) | 0.2 | 35.5 | 2.71 | 1.0 |
| Stayed cables | 0.3 | 195 | 8.01 | 1.2 |
| Q370 Steel | 0.3 | 206 | 7.85 | 1.2 |
| Longitudinal connection of beams | 0.3 | 54 | 7.85 | 1.2 |
| Orders | Natural Frequency (Hz) | Period (s) | Modal Characteristics |
|---|---|---|---|
| 1 | 0.22 | 4.57 | The transverse bending of the first order occurs in the main span of the steel truss. |
| 2 | 0.25 | 3.98 | Steel truss undergoes first-order symmetric vertical bending. |
| 3 | 0.34 | 2.91 | Bending–torsion coupling between steel truss and girder on left side |
| 4 | 0.35 | 2.87 | Symmetrical torsion of steel truss girder |
| 5 | 0.47 | 2.12 | Steel truss undergoes second-order symmetric vertical bending. |
| 6 | 0.62 | 1.61 | Bending–torsion coupling of steel truss girders of the first order |
| 7 | 0.63 | 1.58 | Steel truss undergoes third-order symmetric vertical bending. |
| 8 | 0.82 | 1.23 | Fourth-order symmetrical vertical bending of steel truss girder |
| 9 | 0.93 | 1.08 | Second-order bending–torsion coupling of steel truss girder |
| 10 | 0.97 | 1.03 | Third-order bending–torsion coupling of steel truss girder |
| Variation of Parameters | Variations in Vibration Frequency by Order | |||||||||
|---|---|---|---|---|---|---|---|---|---|---|
| 1 | 2 | 3 | 4 | 5 | 6 | 7 | 8 | 9 | 10 | |
| Stiffness of steel truss beam (rise) | Slight increase | Tiny increase | Tiny increase | Tiny increase | Slight increase | Slight increase | Slight increase | Slight increase | Slight increase | Increase significantly |
| Stiffness of cables (rise) | Tiny increase | Tiny increase | Tiny increase | Tiny increase | Slight increase | Tiny increase | Slight increase | Slight increase | Slight increase | Increase significantly |
| Stiffness of bridge pylon (rise) | Tiny increase | Slight increase | Slight increase | Slight increase | Tiny increase | Tiny increase | Slight increase | Increase significantly | Increase significantly | Increase significantly |
| Position of auxiliary piers (prime location) | Tiny increase | Tiny increase | Tiny increase | Tiny increase | Increase significantly | Increase significantly | Slight increase | Increase significantly | Increase significantly | Increase significantly |
Disclaimer/Publisher’s Note: The statements, opinions and data contained in all publications are solely those of the individual author(s) and contributor(s) and not of MDPI and/or the editor(s). MDPI and/or the editor(s) disclaim responsibility for any injury to people or property resulting from any ideas, methods, instructions or products referred to in the content. |
© 2024 by the authors. Licensee MDPI, Basel, Switzerland. This article is an open access article distributed under the terms and conditions of the Creative Commons Attribution (CC BY) license (https://creativecommons.org/licenses/by/4.0/).
Share and Cite
Guo, S.; Jiang, Y.; Zhang, W.; Zeng, Y. Study on Dynamic Characteristics of Long-Span Highway-Rail Double-Tower Cable-Stayed Bridge. Buildings 2024, 14, 1733. https://doi.org/10.3390/buildings14061733
Guo S, Jiang Y, Zhang W, Zeng Y. Study on Dynamic Characteristics of Long-Span Highway-Rail Double-Tower Cable-Stayed Bridge. Buildings. 2024; 14(6):1733. https://doi.org/10.3390/buildings14061733
Chicago/Turabian StyleGuo, Shijie, Yuhang Jiang, Wenli Zhang, and Yong Zeng. 2024. "Study on Dynamic Characteristics of Long-Span Highway-Rail Double-Tower Cable-Stayed Bridge" Buildings 14, no. 6: 1733. https://doi.org/10.3390/buildings14061733
APA StyleGuo, S., Jiang, Y., Zhang, W., & Zeng, Y. (2024). Study on Dynamic Characteristics of Long-Span Highway-Rail Double-Tower Cable-Stayed Bridge. Buildings, 14(6), 1733. https://doi.org/10.3390/buildings14061733

