Assessment of Glass-Fiber-Reinforced Polymer (GFRP)–Concrete Interface Durability Subjected to Simulated Seawater Environment
Abstract
1. Introduction
2. Materials and Methods
2.1. Materials
2.2. Seawater Corrosion Conditions
2.3. Specimen Production and Maintenance
3. Test Setup and Results
3.1. Test Setup
3.2. Failure Modes
3.3. Strains of the Bonded Specimens
3.4. Shear Strength
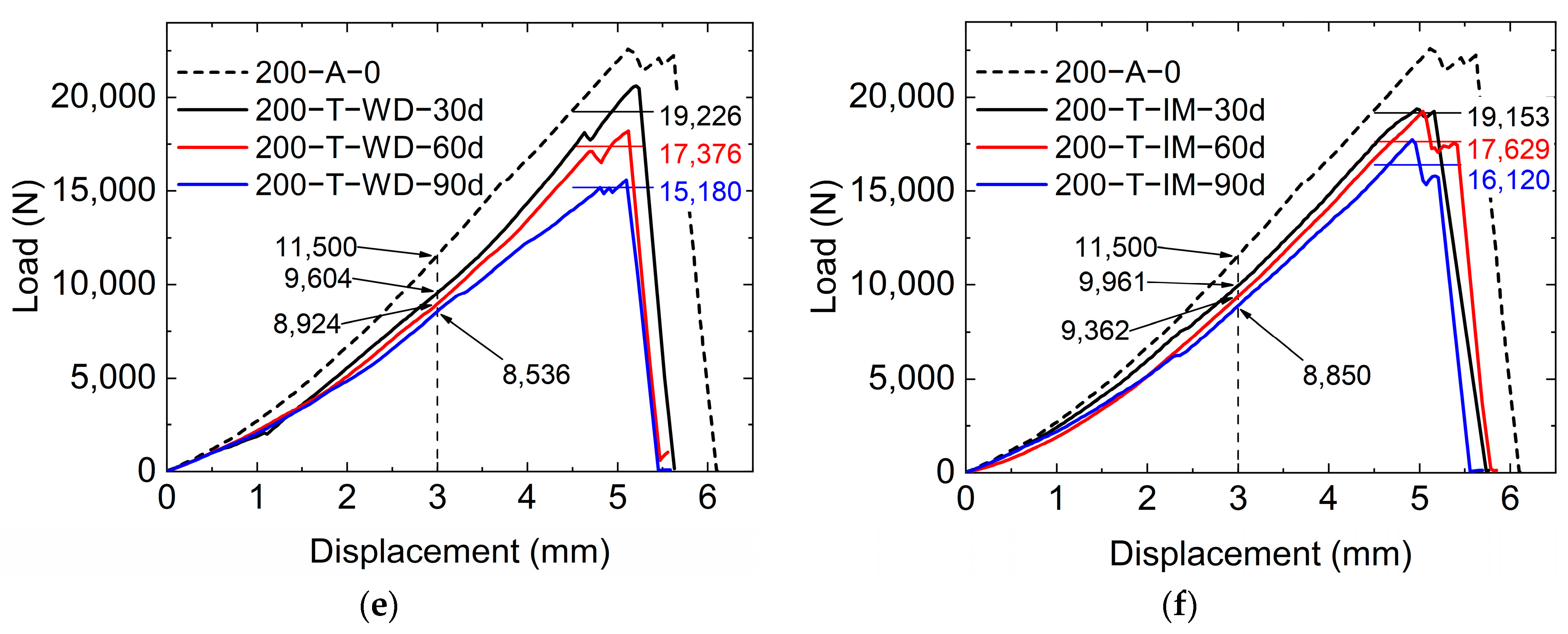
3.5. Load–Displacement Curves
4. Damage Mechanism and Durability Analysis
4.1. Bond–Slip Mechanism of Specimens
4.2. Interfacial Fracture Energy
4.3. Strength Calculation Model
5. Conclusions
- (1)
- Using loading tests, debonding and a peeling failure mode were observed for all the specimens. This phenomenon was attributed to the insufficient strength of the bond interface on the concrete surface, which led to separation between the adhesive layer and the concrete, thus triggering the interface peeling damage.
- (2)
- Based on the investigation on strains of the bonded specimens, an obvious stress concentration was observed in the bonding area close to the loading end. Using specimen 200-T-WD-60 as an example, when the tensile load was 17,376 N, the maximum strain was obtained by strain gauge 200-S-4, which was 2165 με. This phenomenon showed that the damage to the bonding layer in this area was the main reason for the early failure of the specimen. We anticipated that the additive reinforcement of this interface area would improve the shear strength of the bonded structure.
- (3)
- After the corrosion of seawater, the shear strengths, initial bond stiffness, interfacial stresses, and fracture energy of the bonding specimens decreased and extended seawater corrosion exacerbated the damage to the GFRP–concrete-bonded structures. The minimum shear strength (13,006 N) was tested using specimen B150-T-DW-90, which was cured in triple-salinity seawater with wet–dry cyclic exposure. For wet–dry cycle exposure, a higher seawater salinity accelerated the degradation of the interfacial zone.
- (4)
- By introducing a residual coefficient, α, the degradation mechanism of the bonded specimens exposed to seawater environments could be illustrated and the strength of the GFRP–concrete interface exposed to seawater conditions could be characterized by the proposed strength calculation model. It should be noted that the proposed residual coefficient, α, may only be applicable to the performance of specimens in artificially simulated seawater environments that are the same or similar to this experiment and further validation is needed for the effectiveness of residual coefficients in other seawater environments. In addition, considering the varied service conditions encountered by concrete structures in marine environments, the effects of the more aggressive factors, i.e., biomass erosion and seawater–load-coupling erosion, may significantly differ [36]. The exploration of these damage mechanisms requires further study.
Author Contributions
Funding
Data Availability Statement
Acknowledgments
Conflicts of Interest
References
- Lee, J.; Lopez, M.M. Frictional bond-slip model for the concrete-FRP interface under the FRP U-wrap region. Constr. Build. Mater. 2019, 194, 226–237. [Google Scholar] [CrossRef]
- Yuan, H.; Lu, X.S.; Hui, D.; Feo, L. Studies on FRP-concrete interface with hardening and softening bond-slip law. Compos. Struct. 2012, 94, 3781–3792. [Google Scholar] [CrossRef]
- Manjunath, M.; Seth, D.; Balaji, K.; Roy, S.; Tangadagi, R.B. Utilization of industrial-based PVC waste powder in self-compacting concrete: A sustainable building material. J. Cleaner Prod. 2023, 428, 139428. [Google Scholar] [CrossRef]
- Zhang, P.; Hu, Y.; Pang, Y.; Gao, D.; Xu, Q.; Zhang, S.; Sheikh, S.A. Experimental study on the interfacial bond behavior of FRP plate-high-strength concrete under seawater immersion. Constr Build Mater. 2020, 259, 119799. [Google Scholar] [CrossRef]
- Zeng, J.; Zhang, X.W.; Chen, G.M.; Wang, X.M.; Jiang, T. FRP-confined recycled glass aggregate concrete: Concept and axial compressive behavior. J. Build. Eng. 2020, 30, 19. [Google Scholar] [CrossRef]
- Liu, J.; Guo, T.; Feng, D.M.; Liu, Z.X. Fatigue Performance of Rib-to-Deck Joints Strengthened with FRP Angles. J. Bridge Eng. 2018, 23, 14. [Google Scholar] [CrossRef]
- Wang, Y.L.; Guo, X.Y.; Shu, S.Y.H.; Guo, Y.C.; Qin, X.M. Effect of salt solution wet-dry cycling on the bond behavior of FRP-concrete interface. Constr. Build. Mater. 2020, 254, 15. [Google Scholar] [CrossRef]
- Guo, T.; Liu, J.; Deng, Y.; Zhang, Z.L. Fatigue Performance of Orthotropic Steel Decks with FRP Angles: Field Measurement and Numerical Analysis. J. Perform. Constr. Facil. 2019, 33, 11. [Google Scholar] [CrossRef]
- Zakir, M.; Sofi, F.A.; Naqash, J.A. Compressive testing and finite element analysis-based confined concrete model for stiffened square FRP-concrete-steel double-skin tubular columns. J. Build. Eng. 2022, 44, 19. [Google Scholar] [CrossRef]
- Zhang, P.; Hu, Y.; Pang, Y.Y.; Zhang, S.Q.; Zia, A.; Gao, D.Y.; Zhu, H.; Sheikh, S.A. Experimental study on the bond behavior of GFRP plate-high-strength concrete composite interfaces under the coupled effects of sustained load and seawater immersion. Structures 2021, 30, 316–328. [Google Scholar] [CrossRef]
- Nordin, H.; Täljsten, B. Testing of hybrid FRP composite beams in bending. Compos. Pt. B-Eng. 2004, 35, 27–33. [Google Scholar] [CrossRef]
- Joo, H.J.; Lee, S.; Yoon, S.J.; Park, J.K.; Youn, S.G. Experimental investigation on the structural behavior of shear connectors used in the FRP and concrete bridge deck system. In Fracture and Strength of Solids Vi, Pts 1 and 2. Key Engineering Materials 306–308; Putra, I.S., Suharto, D., Eds.; Trans Tech Publications Ltd.: Durnten-Zurich, Switzerland, 2006; pp. 1355–1360. [Google Scholar]
- Zhu, H., Zhang, P., Wu, G., Wu, Z.S., Eds.; Experimental Study on Bending Performances of FRP-Concrete Composite T-Beams with Prefabricated BFRP Shell. In Proceedings of the 5th International Conference on Fiber-Reinforced Polymer (FRP) Composites in Civil Engineering (CICE), Beijing, China, 27–29 September 2010; Springer: Berlin/Heidelberg, Germany, 2010. [Google Scholar]
- Tuakta, C.; Büyüköztürk, O. Deterioration of FRP/concrete bond system under variable moisture conditions quantified by fracture mechanics. Compos. Pt. B-Eng. 2011, 42, 145–154. [Google Scholar] [CrossRef]
- Zheng, X.H.; Huang, P.Y.; Guo, X.Y.; Huang, J.L. Experimental Study on Bond Behavior of FRP-Concrete Interface in Hygrothermal Environment. Int. J. Polym. Sci. 2016, 2016, 12. [Google Scholar] [CrossRef]
- Liang, H.J.; Li, S.; Lu, Y.Y.; Yang, T. The combined effects of wet-dry cycles and sustained load on the bond behavior of FRP-concrete interface. Polym. Compos. 2019, 40, 1006–1017. [Google Scholar] [CrossRef]
- Choi, S.; Gartner, A.L.; Van Etten, N.; Hamilton, H.R.; Douglas, E.P. Durability of Concrete Beams Externally Reinforced with CFRP Composites Exposed to Various Environments. J. Compos. Constr. 2012, 16, 10–20. [Google Scholar] [CrossRef]
- Kabir, M.I.; Samali, B.; Shrestha, R. Fracture Properties of CFRP-Concrete Bond Subjected to Three Environmental Conditions. J. Compos. Constr. 2016, 20, 15. [Google Scholar] [CrossRef]
- Al-Rousan, R.; Haddad, R. NLFEA sulfate-damage reinforced concrete beams strengthened with FRP composites. Compos. Struct. 2013, 96, 433–445. [Google Scholar] [CrossRef]
- Fazli, N.; Yassin, A.Y.M.; Shafiq, N.; Teo, W. Effective bond length of CFRP sheets externally bonded to concrete beams under marine environment. Constr. Build. Mater. 2018, 167, 726–738. [Google Scholar] [CrossRef]
- Wang, D.H.; Gong, Q.N.; Yuan, Q.; Luo, S.R. Review of the Properties of Fiber-Reinforced Polymer-Reinforced Seawater-Sea Sand Concrete. J. Mater. Civ. Eng. 2021, 33, 18. [Google Scholar] [CrossRef]
- Hu, X.L.; Xiao, J.Z.; Zhang, K.J.; Zhang, Q.T. The state-of-the-art study on durability of FRP reinforced concrete with seawater and sea sand. J. Build. Eng. 2022, 51, 15. [Google Scholar] [CrossRef]
- Bazli, M.; Li, Y.L.; Zhao, X.L.; Raman, R.K.S.; Bai, Y.; Al-Saadi, S.; Haque, A. Durability of seawater and sea sand concrete filled filament wound FRP tubes under seawater environments. Compos. Pt. B-Eng. 2020, 202, 223. [Google Scholar] [CrossRef]
- Xie, J.H.; Li, Y.C.; Lu, Z.Y.; Fan, Z.H.; Li, J.L.; Li, S.X. Effects of Immersion in Water, Alkaline Solution, and Seawater on the Shear Performance of Basalt FRP Bars in Seawater-Sea Sand Concrete. J. Compos. Constr. 2022, 26, 14. [Google Scholar] [CrossRef]
- GB/T50081; Physical and Mechanical Properties of Concrete Test Method Standard. National Standards of the People’s Republic of China: Beijing, China, 2019.
- ASTM D-1141-98; Standard Practice for the Preparation of Substitute Ocean Water. ASTM International: West Conshohocken, PA, USA, 2021.
- Wang, X.Q.; Lau, D. Atomistic investigation of GFRP composites under chloride environment. Adv. Struct. Eng. 2021, 24, 1138–1149. [Google Scholar] [CrossRef]
- Ni, B.; Shen, S.; Liu, X.; Chen, S. Effects of temperature and salinity on fouling in hypersaline seawater. Desalin Water Treat. 2020, 173, 41–48. [Google Scholar] [CrossRef]
- Ragab, A.M.; Elgammal, M.A.; Hodhod, O.A.; Ahmed, T.E. Evaluation of field concrete deterioration under real conditions of seawater attack. Constr. Build. Mater. 2016, 119, 130–144. [Google Scholar] [CrossRef]
- Safhi, A.E.; Benzerzour, M.; Rivard, P.; Abriak, N.E.; Ennahal, I. Development of self-compacting mortars based on treated marine sediments. J. Build. Eng. 2019, 22, 252–261. [Google Scholar] [CrossRef]
- Lu, Z.; Xie, J.; Zhang, H.; Li, J. Long-term durability of basalt fiber-reinforced polymer (BFRP) sheets and the epoxy resin matrix under a wet–dry cyclic condition in a chloride-containing environment. Polymers 2017, 9, 652. [Google Scholar] [CrossRef]
- Liu, T.; Liu, X.; Feng, P. A comprehensive review on mechanical properties of pultruded FRP composites subjected to long-term environmental effects. Compos. Part. B 2020, 191, 107958. [Google Scholar] [CrossRef]
- Liu, J.; Guo, T.; Hebdon, M.H.; Yu, X.M.; Wang, L.B. Behaviors of GFRP-steel bonded joints under cyclic loading after hygrothermal aging. Constr. Build. Mater. 2020, 242, 118106. [Google Scholar] [CrossRef]
- Jiang, F.X.; Yang, Q.R.; Wang, Y.T.; Wang, P.; Hou, D.S.; Jin, Z.Q. Insights on the adhesive properties and debonding mechanism of CFRP/concrete interface under sulfate environment: From experiments to molecular dynamics. Constr. Build. Mater. 2021, 269, 13. [Google Scholar] [CrossRef]
- Pang, Y.Y.; Wu, G.; Wang, H.T.; Gao, D.Y.; Zhang, P. Bond-slip model of the CFRP-steel interface with the CFRP delamination failure. Compos. Struct. 2021, 256, 13. [Google Scholar] [CrossRef]
- Vergiev, S. Tall Wheatgrass (Thinopyrum ponticum): Flood resilience, growth response to sea water immersion, and its capacity for erosion and flooding control of coastal areas. Environments 2019, 6, 103. [Google Scholar] [CrossRef]















| Water/Binder Ratio | Cement | Sand | Coarse Aggregate | Water | Water Reducer (%) |
|---|---|---|---|---|---|
| 0.33 | 485 | 667 | 1137 | 160 | 1.39 |
| Mechanical Property | GFRP | Impregnating Adhesive | Bonding Adhesive |
|---|---|---|---|
| Young’s Modulus (GPa) | 20.22 (Longitudinal direction) | ||
| 12.39 (Transversal direction) | 2.9 | 4.50 | |
| 13.66 (Thickness direction) | |||
| Strength (MPa) | 537.86 (Longitudinal direction) | 60 (Tensile strength) | 60 (Tensile strength) |
| 303.24 (Transversal direction) 327.43 (Thickness direction) | |||
| Poisson’s Ratio | 0.37 | 0.33 | 0.35 |
| Component | NaCl | MgCl2 | Na2SO4 | CaCl2 | KCl | NaHCO3 | KBr | H3BO3 | SrCl2 | NaF |
|---|---|---|---|---|---|---|---|---|---|---|
| Concentration | 24.53 | 5.20 | 4.09 | 1.16 | 0.695 | 0.201 | 0.101 | 0.027 | 0.025 | 0.003 |
| Specimen No. | Shear Strength *, Fave (N) | Specimen | Shear Strength *, Fave (N) |
|---|---|---|---|
| B150-A-0 | 19,030 | B200-A-0 | 21,978 |
| B150-S-DW-30 | 16,144 | B200-S-DW-30 | 19,665 |
| B150-S-DW-60 | 15,089 | B200-S-DW-60 | 17,942 |
| B150-S-DW-90 | 13,719 | B200-S-DW-90 | 16,817 |
| B150-T-DW-30 | 15,936 | B200-T-DW-30 | 19,226 |
| B150-T-DW-60 | 14,288 | B200-T-DW-60 | 17,376 |
| B150-T-DW-90 | 13,006 | B200-T-DW-90 | 15,180 |
| B150-T-IM-30 | 16,484 | B200-T-IM-30 | 19,153 |
| B150-T-IM-60 | 14,708 | B200-T-IM-60 | 17,629 |
| B150-T-IM-90 | 13,365 | B200-T-IM-90 | 16,120 |
| Conditions | Corrosion Mode | Salinity | Duration (Days) |
|---|---|---|---|
| 1c | Wet–dry cycle | Single-salinity | 30, 60, and 90 |
| 3c | Wet–dry cycle | Triple-salinity | 30, 60, and 90 |
| m | Immersion | Triple-salinity | 30, 60, and 90 |
Disclaimer/Publisher’s Note: The statements, opinions and data contained in all publications are solely those of the individual author(s) and contributor(s) and not of MDPI and/or the editor(s). MDPI and/or the editor(s) disclaim responsibility for any injury to people or property resulting from any ideas, methods, instructions or products referred to in the content. |
© 2024 by the authors. Licensee MDPI, Basel, Switzerland. This article is an open access article distributed under the terms and conditions of the Creative Commons Attribution (CC BY) license (https://creativecommons.org/licenses/by/4.0/).
Share and Cite
Ma, D.; Liu, J.; Wang, L.; Wang, Q. Assessment of Glass-Fiber-Reinforced Polymer (GFRP)–Concrete Interface Durability Subjected to Simulated Seawater Environment. Buildings 2024, 14, 1732. https://doi.org/10.3390/buildings14061732
Ma D, Liu J, Wang L, Wang Q. Assessment of Glass-Fiber-Reinforced Polymer (GFRP)–Concrete Interface Durability Subjected to Simulated Seawater Environment. Buildings. 2024; 14(6):1732. https://doi.org/10.3390/buildings14061732
Chicago/Turabian StyleMa, Deliang, Jie Liu, Libin Wang, and Qiudong Wang. 2024. "Assessment of Glass-Fiber-Reinforced Polymer (GFRP)–Concrete Interface Durability Subjected to Simulated Seawater Environment" Buildings 14, no. 6: 1732. https://doi.org/10.3390/buildings14061732
APA StyleMa, D., Liu, J., Wang, L., & Wang, Q. (2024). Assessment of Glass-Fiber-Reinforced Polymer (GFRP)–Concrete Interface Durability Subjected to Simulated Seawater Environment. Buildings, 14(6), 1732. https://doi.org/10.3390/buildings14061732

