Numerical Simulation Study on the Impact of Excavation on Existing Subway Stations Based on BIM-FEM Framework
Abstract
1. Introduction
2. Project Overview
3. Model Establishment
3.1. Establishment of BIM Model
3.2. Establishment of ABAQUS Numerical Model
3.2.1. Subsection
3.2.2. Simulation of Actual Excavation Process
3.2.3. Contact Setup and Meshing
4. Finite Element Analysis Based on the Entire Process of Foundation Pit Excavation
4.1. Deformation Analysis of the Foundation Pit and Support Structure
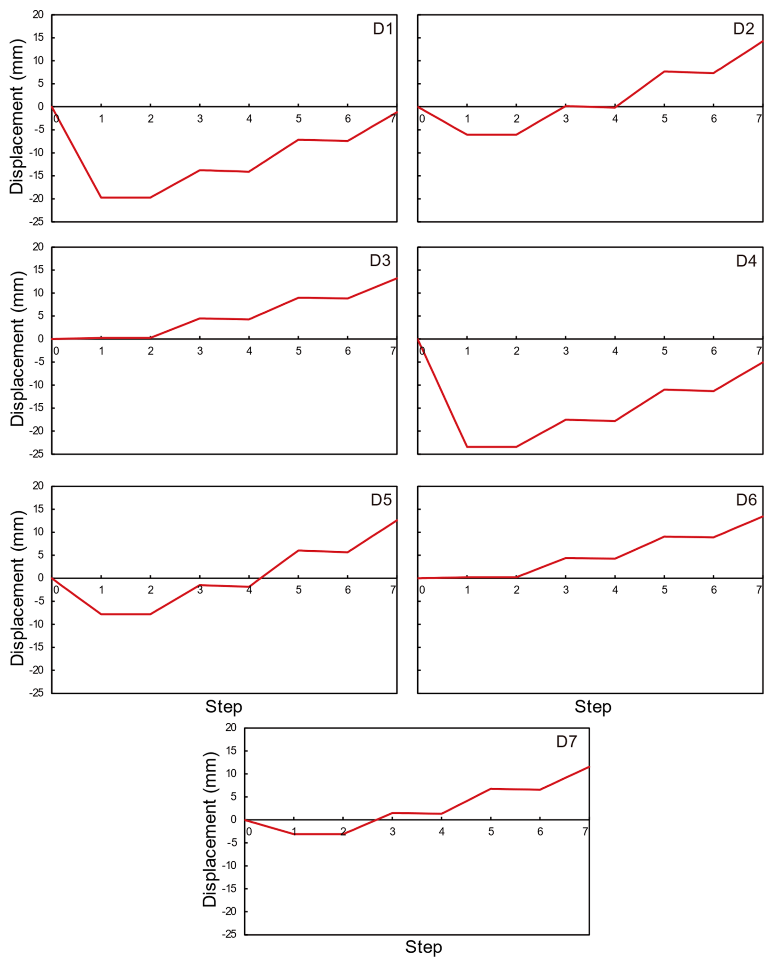
4.2. Deformation Analysis of Subway Station Structures
5. Conclusions
Author Contributions
Funding
Data Availability Statement
Conflicts of Interest
References
- Meng, F.Y.; Chen, R.P.; Xu, Y.; Wu, K.; Wu, H.N.; Liu, Y. Contributions to responses of existing tunnel subjected to nearby excavation: A review. Tunn. Undergr. Space Technol. 2022, 119, 104195. [Google Scholar] [CrossRef]
- Vinoth, M.; MS, A. Behaviour of existing tunnel due to adjacent deep excavation—A review. Int. J. Geotech. Eng. 2022, 16, 1132–1151. [Google Scholar] [CrossRef]
- Liyanapathirana, D.S.; Nishanthan, R. Influence of deep excavation induced ground movements on adjacent piles. Tunn. Undergr. Space Technol. 2016, 52, 168–181. [Google Scholar] [CrossRef]
- Luo, Z.; Das, B.M. System probabilistic serviceability assessment of braced excavations in clays. Int. J. Geotech. Eng. 2016, 10, 135–144. [Google Scholar] [CrossRef]
- Huang, F.; Zhang, M.; Wang, F.; Ling, T.; Yang, X. The failure mechanism of surrounding rock around an existing shield tunnel induced by an adjacent excavation. Comput. Geotech. 2020, 117, 103236. [Google Scholar] [CrossRef]
- Meng, F.Y.; Chen, R.P.; Xie, S.W.; Wu, H.N.; Liu, Y.; Lin, X.T. Excavation-induced arching effect below base level and responses of long-collinear underlying existing tunnel. Tunn. Undergr. Space Technol. 2022, 123, 104417. [Google Scholar] [CrossRef]
- Soomro, M.A.; Mangnejo, D.A.; Saand, A.; Mangi, N.; Auchar Zardari, M. Influence of stress relief due to deep excavation on a brick masonry wall: 3D numerical predictions. Eur. J. Environ. Civ. Eng. 2022, 26, 7621–7644. [Google Scholar] [CrossRef]
- Zhao, Y.; Chen, X.; Hu, B.; Huang, L.; Lu, G.; Yao, H. Automatic monitoring and control of excavation disturbance of an ultra-deep foundation pit extremely adjacent to metro tunnels. Tunn. Undergr. Space Technol. 2023, 142, 105445. [Google Scholar] [CrossRef]
- Chen, R.; Meng, F.; Li, Z.; Ye, Y.; Ye, J. Investigation of response of metro tunnels due to adjacent large excavation and protective measures in soft soils. Tunn. Undergr. Space Technol. 2016, 58, 224–235. [Google Scholar] [CrossRef]
- Li, T.X.; Xi, W.Y. Cause analysis on damage of adjacent metro shield tunnel due to deep pit excavation with pile-anchor retaining. J. Railw. Eng. Soc. 2016, 33, 109–115. [Google Scholar]
- Zhou, F.; Zhou, P.; Li, J.; Lin, J.; Ge, T.; Deng, S.; Ren, R.; Wang, Z. Deformation characteristics and failure evolution process of the existing metro station under unilateral deep excavation. Eng. Fail. Anal. 2022, 131, 105870. [Google Scholar] [CrossRef]
- Meng, F.Y.; Chen, R.P.; Wu, H.N.; Xie, S.W.; Liu, Y. Observed behaviors of a long and deep excavation and collinear underlying tunnels in Shenzhen granite residual soil. Tunn. Undergr. Space Technol. 2020, 103, 103504. [Google Scholar] [CrossRef]
- Cheng, X.; Hong, T.; Lu, Z.; Cheng, X. Characterization of underlying twin shield tunnels due to foundation-excavation unloading in soft soils: An experimental and numerical study. Appl. Sci. 2021, 11, 10938. [Google Scholar] [CrossRef]
- Huang, M.; Li, H.; Yu, J.; Zhang, C.; Ni, Y. On the simplified method for evaluating tunnel response due to overlying foundation pit excavation. Transp. Geotech. 2023, 42, 101048. [Google Scholar] [CrossRef]
- Li, M.G.; Chen, J.J.; Wang, J.H.; Zhu, Y.F. Comparative study of construction methods for deep excavations above shield tunnels. Tunn. Undergr. Space Technol. 2018, 71, 329–339. [Google Scholar] [CrossRef]
- Shi, J.; Fu, Z.; Guo, W. Investigation of geometric effects on three-dimensional tunnel deformation mechanisms due to basement excavation. Comput. Geotech. 2019, 106, 108–116. [Google Scholar] [CrossRef]
- Zhang, D.M.; Xie, X.C.; Li, Z.L.; Zhang, J. Simplified analysis method for predicting the influence of deep excavation on existing tunnels. Comput. Geotech. 2020, 121, 103477. [Google Scholar] [CrossRef]
- Zucca, M.; Valente, M. On the limitations of decoupled approach for the seismic behaviour evaluation of shallow multi-propped underground structures embedded in granular soils. Eng. Struct. 2020, 211, 110497. [Google Scholar] [CrossRef]
- Zhang, W.; Zhang, R.; Wang, W.; Zhang, F.; Goh, A.T. A multivariate adaptive regression splines model for determining horizontal wall deflection envelope for braced excavations in clays. Tunn. Undergr. Space Technol. 2019, 84, 461–471. [Google Scholar] [CrossRef]
- Zhuang, Y.; Cui, X.; Hu, S. Numerical simulation and simplified analytical method to evaluate the displacement of adjacent tunnels caused by excavation. Tunn. Undergr. Space Technol. 2023, 132, 104879. [Google Scholar] [CrossRef]
- Zheng, G.; Du, Y.; Cheng, X.; Diao, Y.; Deng, X.; Wang, F. Characteristics and prediction methods for tunnel deformations induced by excavations. Geomech. Eng. 2017, 12, 361–397. [Google Scholar] [CrossRef]
- Liu, B.; Shao, C.; Wang, N.; Zhang, D. Influenced zone of deep excavation and a simplified prediction method for adjacent tunnel displacement in thick soft soil. Appl. Sci. 2023, 13, 4647. [Google Scholar] [CrossRef]
- Wei, G.; Feng, F.; Hu, C.; Zhu, J.; Wang, X. Mechanical performances of shield tunnel segments under asymmetric unloading induced by pit excavation. J. Rock. Mech. Geotech. 2023, 15, 1547–1564. [Google Scholar] [CrossRef]
- Zhou, N.; Vermeer, P.A.; Lou, R.; Tang, Y.; Jiang, S. Numerical simulation of deep foundation pit dewatering and optimization of controlling land subsidence. Eng. Geol. 2010, 114, 251–260. [Google Scholar] [CrossRef]
- Li, M.G.; Xiao, X.; Wang, J.H.; Chen, J.J. Numerical study on responses of an existing metro line to staged deep excavations. Tunn. Undergr. Space Technol. 2019, 85, 268–281. [Google Scholar] [CrossRef]
- Shi, J.; Zhang, X.; Chen, Y.; Chen, L. Numerical parametric study of countermeasures to alleviate basement excavation effects on an existing tunnel. Tunn. Undergr. Space Technol. 2018, 72, 145–153. [Google Scholar] [CrossRef]
- Zheng, G.; Pan, J.; Li, Y.; Cheng, X.; Tan, F.; Du, Y.; Li, X. Deformation and protection of existing tunnels at an oblique intersection angle to an excavation. Int. J. Geomech. 2020, 20, 05020004. [Google Scholar] [CrossRef]
- Yang, T.; Tong, L.; Pan, H.; Wang, Z.; Chen, X.; Li, H. Effect of excavation sequence on uplift deformation of underlying existing metro tunnel. J. Perform. Constr. Facil. 2021, 35, 04021003. [Google Scholar] [CrossRef]
- Tanoli, A.Y.; Yan, B.; Xiong, Y.L.; Ye, G.L.; Khalid, U.; Xu, Z.H. Numerical analysis on zone-divided deep excavation in soft clays using a new small strain elasto–plastic constitutive model. Undergr. Space 2022, 7, 19–36. [Google Scholar] [CrossRef]
- Guo, P.; Gong, X.; Wang, Y.; Lin, H.; Zhao, Y. Analysis of observed performance of a deep excavation straddled by shallowly buried pressurized pipelines and underneath traversed by planned tunnels. Tunn. Undergr. Space Technol. 2023, 132, 104946. [Google Scholar] [CrossRef]
- Chen, Z.; Shi, Q.; Ji, D.; Luo, H.; Lin, J. Review of Research and Application of BIM-GIS Integration in the Civil Engineering Industry. In Proceedings of the International Conference on Construction and Real Estate Management 2023, Xi’an, China, 23–24 September 2023; Volume 2023, pp. 658–669. [Google Scholar]
- Chen, D.W.; Zhou, J.L.; Duan, P.S.; Zhang, J.Q. Integrating knowledge management and BIM for safety risk identification of deep foundation pit construction. Eng. Constr. Arch. Manag. 2023, 30, 3242–3258. [Google Scholar] [CrossRef]
- Zhang, Y.; Zhang, J.; Wang, C.; Ren, X. An integrated framework for improving the efficiency and safety of hydraulic tunnel construction. Tunn. Undergr. Space Technol. 2023, 131, 104836. [Google Scholar] [CrossRef]
- Ursini, A.; Grazzini, A.; Matrone, F.; Zerbinatti, M. From scan-to-BIM to a structural finite elements model of built heritage for dynamic simulation. Autom. Constr. 2022, 142, 104518. [Google Scholar] [CrossRef]
- Lai, H.; Deng, X. Interoperability analysis of IFC-based data exchange between heterogeneous BIM software. J. Civ. Eng. Manag. 2018, 24, 537–555. [Google Scholar] [CrossRef]
- Cursi1, S.; Martinelli, L.; Paraciani, N.; Calcerano, F.; Gigliarelli, E. Linking external knowledge to heritage BIM. Autom. Constr. 2022, 141, 104444. [Google Scholar] [CrossRef]
- Tang, F.L.; Ma, T.; Guan, Y.S.; Zhang, Z.X. Parametric modeling and structure verification of asphalt pavement based on BIM-ABAQUS. Autom. Constr. 2020, 111, 103066. [Google Scholar] [CrossRef]
- Fabozzi, S.; Biancardo, S.A.; Veropalumbo, R.; Bilotta, E. I-BIM based approach for geotechnical and numerical modelling of a conventional tunnel excavation. Tunn. Undergr. Space Technol. 2021, 108, 103723. [Google Scholar] [CrossRef]
- Lin, C.J.; Wang, K.J.; Dagne, T.B.; Woldegiorgis, B.H. Balancing thermal comfort and energy conservation—A multi-objective optimization model for controlling aircondition and mechanical ventilation systems. Build. Environ. 2022, 219, 109237. [Google Scholar] [CrossRef]
- Xie, P.; Zhang, R.J.; Zheng, J.J.; Li, Z.Q. Automatic safety evaluation and visualization of subway station excavation based on BIM-FEM/FDM integrated technology. J. Civ. Eng. Manag. 2022, 28, 320–336. [Google Scholar] [CrossRef]
- Huang, H.; Ruan, B.; Wu, X.G.; Qin, Y.W. Parameterized modeling and safety simulation of shield tunnel based on BIM-FEM automation framework. Autom. Constr. 2024, 162, 105362. [Google Scholar] [CrossRef]



















| Name | Layer Thickness D (m) | Elastic Modulus E (MPa) | Poisson’s Ratio | Density (kg/m3) | Cohesion c (kPa) | Internal Friction Angle φ′ (°) | Dilatancy Angle ψ (°) |
|---|---|---|---|---|---|---|---|
| Backfill | 7 | 5 | 0.3 | 1900 | 20 | 10 | 0 |
| Silted powdered clay | 14 | 3 | 0.32 | 1830 | 50 | 15 | 0 |
| Silty clay | 11 | 4.6 | 0.28 | 1900 | 60 | 25 | 0 |
| Strongly weathered pebbly sandstone | 8 | 43 | 0.24 | 2200 | 1000 | 30 | 5 |
| Subway station structures | - | 3.15 × 104 | 0.2 | 2500 | - | - | - |
| Steel supports | - | 2 × 105 | 0.3 | 7850 | - | - | - |
| Underground continuous wall | - | 3.15 × 104 | 0.2 | 2500 | - | - | - |
| Row of piles | - | 3.15 × 104 | 0.2 | 2500 | - | - | - |
| Strengthening piles | - | 3.45 × 104 | 0.2 | 2500 | - | - | - |
| Ground consolidation | - | 3.15 × 104 | 0.2 | 2500 | - | - | - |
| Step | Simulation Content |
|---|---|
| Step 1 | Repeat the import of ODB to achieve geostatic stress equilibrium |
| Step 2 | Arrange two layers of steel supports at the corresponding locations, but do not activate them temporarily |
| Step 3 | Excavate the first layer of soil with a depth of 3 m |
| Step 4 | Activate the first layer of steel supports |
| Step 5 | Excavate the second layer of soil with a depth of 3 m |
| Step 6 | Activate the second layer of steel supports |
| Step 7 | Excavate the third layer of soil with a depth of 4 m and perform ground consolidation |
Disclaimer/Publisher’s Note: The statements, opinions and data contained in all publications are solely those of the individual author(s) and contributor(s) and not of MDPI and/or the editor(s). MDPI and/or the editor(s) disclaim responsibility for any injury to people or property resulting from any ideas, methods, instructions or products referred to in the content. |
© 2024 by the authors. Licensee MDPI, Basel, Switzerland. This article is an open access article distributed under the terms and conditions of the Creative Commons Attribution (CC BY) license (https://creativecommons.org/licenses/by/4.0/).
Share and Cite
Qiu, Y.; Wang, J.; Zhang, C.; Hua, L.; Zhou, Z. Numerical Simulation Study on the Impact of Excavation on Existing Subway Stations Based on BIM-FEM Framework. Buildings 2024, 14, 1444. https://doi.org/10.3390/buildings14051444
Qiu Y, Wang J, Zhang C, Hua L, Zhou Z. Numerical Simulation Study on the Impact of Excavation on Existing Subway Stations Based on BIM-FEM Framework. Buildings. 2024; 14(5):1444. https://doi.org/10.3390/buildings14051444
Chicago/Turabian StyleQiu, Yi, Junwei Wang, Chao Zhang, Lingxiao Hua, and Zhenglong Zhou. 2024. "Numerical Simulation Study on the Impact of Excavation on Existing Subway Stations Based on BIM-FEM Framework" Buildings 14, no. 5: 1444. https://doi.org/10.3390/buildings14051444
APA StyleQiu, Y., Wang, J., Zhang, C., Hua, L., & Zhou, Z. (2024). Numerical Simulation Study on the Impact of Excavation on Existing Subway Stations Based on BIM-FEM Framework. Buildings, 14(5), 1444. https://doi.org/10.3390/buildings14051444
