Influence of the Uplifting Mechanism of Embedded Footings on the Nonlinear Static Response of Steel Concentrically Braced Frames
Abstract
1. Introduction
2. Description of the Nonlinear Response Mechanisms of Footings Considered in Flexible Base Models
2.1. BNWF (Beam on Nonlinear Winkler Foundation) Approach to Model the Compression and Tension Response Mechanisms of Footings
2.2. Modelling of the Total Vertical Response (Backbone Curve)
2.3. Vertical Response in Compression
2.4. Vertical Response in Tension
3. Organised Procedure for Implementing the BNWF Model in Embedded Footings
3.1. Calculation of the Total Vertical and Rotational Stiffnesses of the Footing
3.2. Calculation and Distribution of Springs along the Footing
3.3. Matching between the Vertical Spring Distribution and the Total Rotational Stiffness of the Embedded Footing Kyy_emb
3.4. Modelling of the Uplift Mechanism of Each Spring
3.5. Guidelines for Modelling the Lateral Response
4. Characteristics of the Models Covered by the Simulations
4.1. Calibration of the Structural Archetype Used as a Fixed Base Model
4.2. Characteristics of the Flexible Base Condition Models
4.3. Validation of the Compression Response Mechanism of Footings
4.4. Distribution of Vertical Springs as a Function of Rotational Stiffness
4.5. Backbone Curves Used in the Simulations
5. Results and Discussion
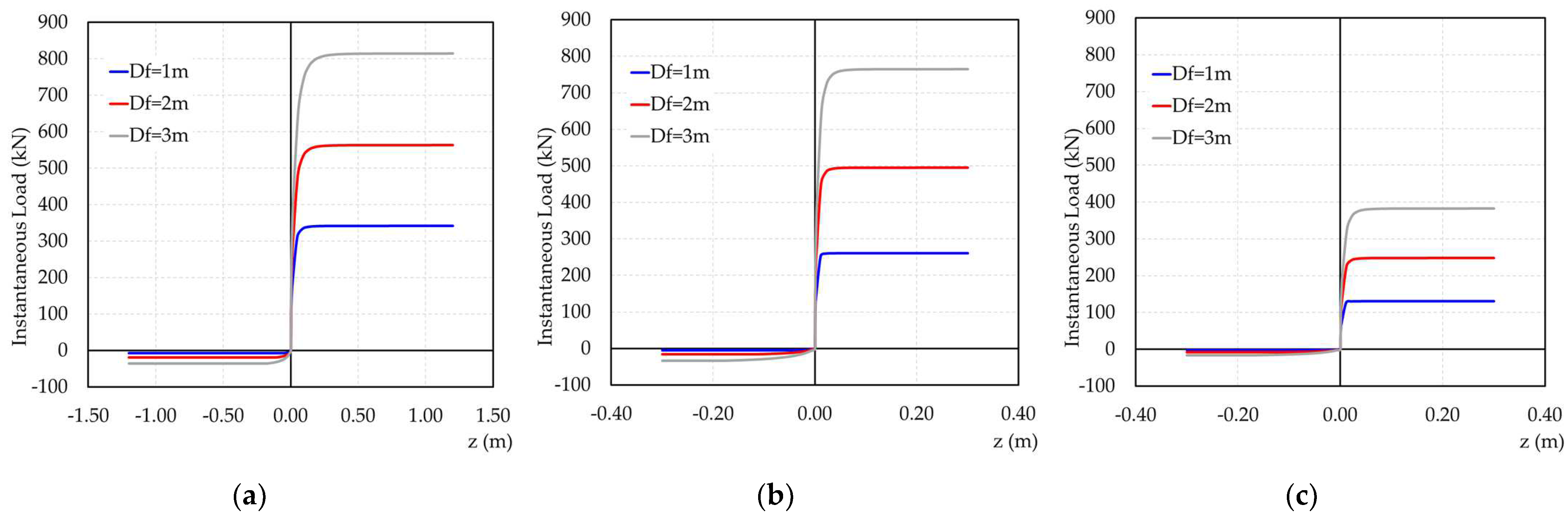
5.1. Relationship between the Ultimate Tension Capacity quT and the Ultimate Bearing Capacity qu of Footings as a Function of Soil Type and Embedment Depth
5.2. Relationship between the Footing Embedment Depth and the Nonlinear Static Response of the Structural Archetype
5.3. Development of the Brace Yielding Mechanism as a Function of the Embedment Depth of the Footing
5.4. Effect of the Shape of the Footing Tension Stress-Displacement Curve on the Nonlinear Response of the Structural Archetype
5.5. Variation in the Ductility of the Structural Archetype According to the Uplift Mechanism of the Footing
6. Conclusions
Author Contributions
Funding
Data Availability Statement
Conflicts of Interest
References
- EN1998-1; Eurocode 8: Design of Structures for Earthquake Resistance—Part 1: General Rules, Seismic Actions and Rules for Buildings. European Committee for Standardization (CEN): Brussels, Belgium, 2005.
- ASCE/SEI 41-17; Seismic Evaluation and Retrofit of Existing Buildings. American Society of Civil Engineers (ASCE): Reston, WV, USA, 2017.
- AASHTO. Guide Specifications for LRFD Seismic Bridge Design, 2nd ed.; American Association of State Highway and Transportation Officials: Washington, DC, USA, 2011. [Google Scholar]
- FEMA. Short-Period Building Collapse Performance and Recommendations for Improving Seismic Design, Volume 4—Study of One-to-Four Story Steel Special Concentrically Braced Frame Buildings, FEMA P-2139-4; Federal Emergency Management Agency (FEMA): Washington, DC, USA, 2020. [Google Scholar]
- ASCE/SEI 7-16; Minimum Design Loads and Associated Criteria for Buildings and Other Structures. American Society of Civil Engineers (ASCE): Reston, VI, USA, 2017.
- FEMA. A Practical Guide to Soil-Structure Interaction, FEMA P-2091; Federal Emergency Management Agency (FEMA): Washington, DC, USA, 2020. [Google Scholar]
- Sabelli, R.; Roeder, C.W.; Hajjar, J.F. Seismic Design of Steel Special Concentrically Braced Frame Systems: A Guide for Practicing Engineers, NEHRP Seismic Design Technical Brief No. 8; National Institute of Standards and Technology: Gaithersburg, MD, USA, 2013; NIST GCR 13-917-24. [Google Scholar]
- ANSI/AISC 341-16; Seismic Provisions for Structural Steel Buildings. American Institute of Steel Construction: Chicago, IL, USA, 2016; pp. 278–279.
- Housner, G.W. The Behavior of Inverted Pendulum Structures During Earthquakes. Bull. Seismol. Soc. Am. 1963, 53, 403–417. [Google Scholar] [CrossRef]
- Priestley, M.J.N. Myths and Fallacies in Earthquake Engineering: Conflicts between Design and Reality. Bull. N. Z. Natl. Soc. Earthq. Eng. 1993, 26, 329–341. [Google Scholar] [CrossRef]
- Gazetas, G. Seismic Design of Foundations and Soil–Structure Interaction. In Proceedings of the First European Conference on Earthquake Engineering and Seismology, Geneva, Swizterland, 3–8 September 2006. [Google Scholar]
- Kawashima, K.; Hosoiri, K. Rocking Isolation of Bridge Columns on Direct Foundations. J. Earthq. Eng. 2015, 6, 395–414. [Google Scholar]
- Uriz, P.; Mahin, S.A. Toward Earthquake-Resistant Design of Concentrically Braced Steel-Frame Structures, PEER Report 2008-08; Pacific Earthquake Engineering Research Center, University of California: Berkeley, CA, USA, 2008. [Google Scholar]
- Sabelli, R. Research on Improving the Design and Analysis of Earthquake Resistant Steel Braced Frames. PF2000-9; FEMA/EERI: Oakland, CA, USA, 2001. [Google Scholar]
- Raychowdhury, P. Nonlinear Winkler-Based Shallow Foundation Model for Performance Assessment of Seismically Loaded Structures. Ph.D. Thesis, University of California, San Diego, CA, USA, 2008. [Google Scholar]
- Gajan, S.; Hutchinson, T.C.; Kutter, B.L.; Raychowdhury, P.; Ugalde, J.A.; Stewart, J.P. Numerical Models for Analysis and Performance-Based Design of Shallow Foundations Subjected to Seismic Loading. PEER Report 2007/04; Pacific Earthquake Engineering Research Center (PEER), University of California: Berkeley, CA, USA, 2008. [Google Scholar]
- Gajan, S.; Raychowdhury, P.; Hutchinson, T.C.; Kutter, B.L.; Stewart, J.P. Application and Validation of Practical Tools for Nonlinear Soil-Foundation Interaction Analysis. Earthq. Spectra 2010, 26, 111–129. [Google Scholar] [CrossRef]
- Harden, C.; Hutchinson, T.; Martin, G.R.; Kutter, B.L. Numerical Modeling of the Nonlinear Cyclic Response of Shallow Foundations. PEER Report 2005-04; Pacific Earthquake Engineering Research Center (PEER), University of California: Berkeley, CA, USA, 2005. [Google Scholar]
- Mckenna, F.; Scott, M.H.; Fenves, G.L. Nonlinear Finite-Element Analysis Software Architecture Using Object Composition. J. Comput. Civ. Eng. 2010, 24, 95–107. [Google Scholar] [CrossRef]
- Boulanger, R.W.; Curras, C.J.; Kutter, B.L.; Wilson, D.W.; Abghari, A. Seismic Soil-Pile-Structure Interaction Experiments and Analyses. J. Geotech. Geoenviron. Eng. 1999, 125, 750–759. [Google Scholar] [CrossRef]
- Boulanger, R.W. The QzSimple1 Material. Document for the OpenSees Platform. Available online: http://opensees.berkeley.edu (accessed on 14 April 2024).
- Briaud, J.-L.; Gibbens, R.M. Predicted and Measured Behavior of Five Spread Footings on Sand. In Proceedings of the Settlement ’94, New York, NY, USA, 1 January 1994. [Google Scholar]
- FEMA. Example Application Guide for ASCE/SEI 41-13 Seismic Evaluation and Retrofit of Existing Buildings with Additional Commentary for ASCE/SEI 41-17, FEMA P-2006; Federal Emergency Management Agency (FEMA): Washington, DC, USA, 2018. [Google Scholar]
- Meyerhof, G.G.; Adams, J.I. The Ultimate Uplift Capacity of Foundations. Can. Geotech. J. 1968, 5, 225–244. [Google Scholar] [CrossRef]
- Mors, H. Methods of Dimensioning for Uplift Foundations of Transmission Line Towers. In Proceedings of the Conference Internationale Des Grands Réseaux Electriques à Haute Tension. Session 1964, No. 210, Paris, France, 1–10 June 1964; Conseil International Des Grands Réseaux Èlectriques (CIGRE): Paris, France, 1964. [Google Scholar]
- Das, B.M.; Seeley, G.R. Breakout Resistance of Horizontal Anchors. J. Geotech. Eng. Div. ASCE 1975, 101, 999–1003. [Google Scholar] [CrossRef]
- IEEE Std 691-2001; IEEE Guide for Transmission Structure Foundation Design and Testing. Institute of Electrical and Electronics Engineers (IEEE): New York, NY, USA, 2001.
- Kulhawy, F.H.; Nicolaides, C.N.; Trautmann, C.H. Experimental Investigation of Uplift Behavior of Spread Foundations in Cohesionless Soils. Report TR-100220; Electric Power Research Institute (EPRI): Palo Alto, CA, USA, 1991. [Google Scholar]
- Briaud, J.-L.; Gibbens, R. Large-Scale Load Tests and Data Base of Spread Footings on Sand. Report FHWA-RD-97-068; Feded Hlghway Admtnistration: Washington, DC, USA, 1997. [Google Scholar]
- Gazetas, G. Foundations Vibrations. In Foundation Engineering Handbook; Fang, H.-Y., Ed.; Springer: Boston, MA, USA, 1991; pp. 553–592. ISBN 0442224877. [Google Scholar]
- Pais, A.; Kausel, E. Approximate Formulas for Dynamic Stiffnesses of Rigid Foundations. Soil Dyn. Earthq. Eng. 1988, 7, 213–227. [Google Scholar] [CrossRef]
- Ministerio de Fomento. Guía Para El Proyecto de Cimentaciones En Obras de Carretera Con Eurocódigo 7: Cimentaciones Superficiales, 1st ed.; Ministerio de Fomento, Secretaria General Tócnica, Centro de Publicaciones, Ed.; Serie Guías Eurocódigos; Ministerio de Fomento: Madrid, Spain, 2019; Volume NIPO 161182523. [Google Scholar]
- Kramer, S.L. Geotechnical Earthquake Engineering, 1st ed.; Stenquist, B., Zucker, I., Conte, J., Meehan, J., Weist, M., Eds.; Prentice-Hall. Inc.: Upper Saddle River, NJ, USA, 1996; ISBN 0133749436. [Google Scholar]
- Trautmann, C.H.; Kulhawy, F.H. CUFAD—A Computer Program for Compression and Uplift Foundation Analysis and Design. Report EL-4540-CCM. Electr. Power Res. Inst. (EPRI) 1987, 16, 148. [Google Scholar]
- IEC. IEC 61400-6 International Standard. Wind Energy Generation Systems-Part 6: Tower and Foundation Design Requirements, 1st ed.; The International Electrotechnical Commission (IEC): Geneva, Switzerland, 2020. [Google Scholar]
- Seed, H.B.; Idriss, I.M. Soil Moduli and Damping Factors for Dynamic Analysis. Report No. EERC70-10; University of California: Berkley, CA, USA, 1970. [Google Scholar]
- Darendeli, M.B. Development of a New Family of Normalized Modulus Reduction and Material Damping Curves. Ph.D. Thesis, University of Texas, Austin, TX, USA, 2001. [Google Scholar]
- Menq, F.-Y. Dynamic Properties of Sandy and Gravelly Soils. Ph.D. Thesis, University of Texas, Austin, TX, USA, 2003. [Google Scholar]
- Zhang, J.; Andrus, R.D.; Juang, C.H. Normalized Shear Modulus and Material Damping Ratio Relationships. J. Geotech. Geoenviron. Eng. ASCE 2005, 131, 453–464. [Google Scholar] [CrossRef]
- Vijayvergiya, V.N. Load-Movement Characteristics of Piles. In Proceedings of the Ports 77 Conference, Long Beach, CA, USA, 9–11 March 1977. [Google Scholar]
- Kulhawy, F.H.; Trautmann, C.H.; Beech, J.F.; O’ Rourke, T.D.; McGuire, W.; Wood, W.A.; Capano, C. Transmission Line Structure Foundations for Uplift-Compression Loadings. Report EL-2870; Electric Power Research Institute (EPRI): Palo Alto, CA, USA, 1983. [Google Scholar]
- Marchetti, S. In-Situ Tests by Flat Dilatometer. J. Geotech. Eng. Div. ASCE 1980, 106, 299–321. [Google Scholar] [CrossRef]
- Mayne, P.W.; Kulhawy, F.H. Independence of Geostatic Stress from Overconsolidation in Some Beaufort Sea Clays: Discussion. Can. Geotech. J. 1988, 25, 617–621. [Google Scholar] [CrossRef]
- Mayne, P.W.; Kulhawy, F.H. Direct and Indirect Determination of In-Situ Ko in Clays. Transp. Res. Rec. 1990, 1278, 141–149. [Google Scholar]
- Mayne, P.W.; Kulhawy, F.H. Ko-OCR Relationships in Soil. J. Geotech. Eng. Div. ASCE 1982, 108, 851–872. [Google Scholar] [CrossRef]
- Harden, C.W.; Hutchinson, T.C. Beam-on-Nonlinear-Winkler-Foundation Modeling of Shallow, Rocking-Dominated Footings. Earthq. Spectra 2009, 25, 277–300. [Google Scholar] [CrossRef]
- ACI 318-19; Building Code Requirements for Structural Concrete and Commentary. American Concrete Institute: Farmington Hills, MI, USA, 2019.
- EN1998-5; Eurocode 8: Design of Structures for Earthquake Resistance—Part 5: Foundations, Retaining Structures and Geotechnical Aspects. European Committee for Standardization (CEN): Brussels, Belgium, 2005.
- Simpson, B.G.; Mahin, S.A.; Lai, J.-W. Experimental Investigation of the Behavior of Vintage and Retrofit Concentrically Braced Steel Frames under Cyclic Loading. PEER Report No. 2017/12; Pacific Earthquake Engineering Research Center (PEER), University of California: Berkeley, CA, USA, 2017. [Google Scholar]
- UBC 85. Uniform Building Code; 1985 Edition; International Conference of Building Officials: Whittier, CA, USA, 1985. [Google Scholar]
- AISC. Specification for the Design, Fabrication and Erection of Structural Steel for Buildings; 1978 Edition; American Institute of Steel Construction: Chicago, IL, USA, 1978. [Google Scholar]
- INGECIBER, S.A. CivilFEM, Version 2020; Software for Civil, Structural and Geotechnical Engineering, 2020.
- EN1992-1-1; Eurocode 2: Design of Concrete Structures—Part 1-1: General Rules and Rules for Buildings. European Committee for Standardization (CEN): Brussels, Belgium, 2011.
- Kulhawy, F.H.; Mayne, P.W. Manual on Estimating Soil Properties for Foundation Design. Report EPRI EL-6800; Electric Power Research Institute (EPRI): Palo Alto, CA, USA, 1990. [Google Scholar]
- Meyerhof, G.G. Some Recent Research on the Bearing Capacity of Foundations. Can. Geotech. J. 1963, 1, 16–26. [Google Scholar] [CrossRef]
- FEMA. Quantification of Building Seismic Performance Factors, FEMA P-695; Federal Emergency Management Agency (FEMA): Washington, DC, USA, 2009. [Google Scholar]





















| Footing No. | Embedment Depth (m) | Thickness (m) | Length (m) by Width (m) | Nomenclature Used in This Research |
|---|---|---|---|---|
| 1 | 0.762 | 1.219 | 1.0 × 1.0 | 1.0 m × 1.0 m footing |
| 2 | 0.762 | 1.219 | 1.5 × 1.5 | 1.5 m × 1.5 m footing |
| 3 | 0.889 | 1.346 | 2.5 × 2.5 | 2.5 m × 2.5 m footing |
| 4 | 0.762 | 1.219 | 3.0 × 3.0 | 3.0 m × 3.0 m North footing |
| 5 | 0.711 | 1.168 | 3.0 × 3.0 | 3.0 m × 3.0 m South footing |
| Footing Dimensions (m) | Bearing Capacity Measured qu (kN/m2) | Cr.qu (kN/m2) | Settlement for Cr.qu (m) | Elastic Vertical Stiffness Cr.qu/s (kN/m) | Coefficient G/Gmax | Elastic Vertical Stiffness According to [30] Kz (kN/m) | Elastic Vertical Stiffness According to [31] Kz (kN/m) |
|---|---|---|---|---|---|---|---|
| 1.0 × 1.0 | 1740.0 | 522.0 | 0.006 | 87,000.0 | 0.250 | 86,960.28 | 90,024.96 |
| 1.5 × 1.5 | 1511.0 | 453.3 | 0.008 | 127,490.6 | 0.245 | 127,831.61 | 132,336.69 |
| 2.5 × 2.5 | 1136.0 | 340.8 | 0.005 | 426,000.0 | 0.490 | 426,105.38 | 441,122.31 |
| 3.0 × 3.0 | 1139.0 | 341.7 | 0.007 | 439,328.5 | 0.420 | 438,279.82 | 453,725.81 |
| Response Mechanism | Constitutive Parameters | ||
|---|---|---|---|
| Vertical (Compression) | 0.30 | 12.30 | 5.5 |
| Member | Section | Yield Stress, (MPa) | Ultimate Stress, (MPa) |
|---|---|---|---|
| Column | W10 × 54 | 344.73 | 448.16 |
| Beams | W14 × 53 | 344.73 | 448.16 |
| First story brace | HSS7 × 7 × 1/4 | 356.46 | 466.78 |
| Second story brace | HSS6 × 6 × 3/16 | 337.84 | 450.92 |
| Plan Dimensions of Footings (m) | Embedment Depth, (m) |
|---|---|
| 1.0 × 1.0 | 1.0 |
| 2.0 | |
| 3.0 | |
| 2.0 × 2.0 | 1.0 |
| 2.0 | |
| 3.0 | |
| 3.0 × 3.0 | 1.0 |
| 2.0 | |
| 3.0 |
| Soil Type | Vs (m/s) | ϕ | γ (kN/m3) | Gmax (Mpa) | G (Mpa) | Density of the Backfill and the Native Soil | ||
|---|---|---|---|---|---|---|---|---|
| 1 | 180 | 30.0 | 18.0 | 59.47 | 14.87 | 0.336 | 0.50 | Loose |
| 2 | 360 | 32.0 | 19.0 | 251.09 | 125.55 | 0.325 | 1.00 | Medium |
| 3 | 540 | 34.0 | 20.0 | 594.70 | 446.02 | 0.315 | 2.00 | Dense |
| 4 | 540 | 36.0 | 21.0 | 594.70 | 446.02 | 0.304 | 3.00 | Very dense |
| 5 | 600 | 38.0 | 22.0 | 807.62 | 726.85 | 0.294 | 3.50 | Very dense |
| Plan Dimensions of Footings (m) | Df (m) | Number of Springs | Re (%) | Rk | le/Lf (%) | Var. δyy (%) | Var. δz (%) |
|---|---|---|---|---|---|---|---|
| 1.0 × 1.0 | 1.0 | 51 | 16 | 8.02 | 2 | 2.15 | 4.8 |
| 2.0 | 51 | 18 | 5.74 | 2 | 0.94 | 4.3 | |
| 3.0 | 51 | 19 | 4.60 | 2 | 1.61 | 3.8 | |
| 2.0 × 2.0 | 1.0 | 51 | 16 | 7.62 | 2 | 0.12 | 4.7 |
| 2.0 | 51 | 18 | 6.00 | 2 | 2.69 | 4.4 | |
| 3.0 | 51 | 19 | 5.17 | 2 | 2.39 | 4.2 | |
| 3.0 × 3.0 | 1.0 | 51 | 16 | 7.24 | 2 | 2.25 | 4.5 |
| 2.0 | 51 | 18 | 5.93 | 2 | 2.21 | 4.4 | |
| 3.0 | 51 | 19 | 5.27 | 2 | 3.12 | 4.2 |
| Footing Dimensions (m) | Df (m) | qu (kN/m2) | Kz_emb (kN/m) | Kyy_emb (kN-m/rad) | quT (kN/m2) | quT/qu (%) |
|---|---|---|---|---|---|---|
| 1.0 × 1.0 | 1.0 | 1490.77 | 2,324,513.35 | 747,722.49 | 65.85 | 4.42 |
| 2.0 | 2790.54 | 2,742,199.34 | 714,829.05 | 219.81 | 7.88 | |
| 3.0 | 4172.64 | 3,159,885.33 | 708,361.87 | 463.08 | 11.10 | |
| 2.0 × 2.0 | 1.0 | 1607.93 | 3,893,682.37 | 4,805,919.55 | 43.52 | 2.71 |
| 2.0 | 2981.54 | 4,278,037.28 | 4,632,571.29 | 130.50 | 4.38 | |
| 3.0 | 4212.59 | 4,662,392.19 | 4,598,489.28 | 262.14 | 6.22 | |
| 3.0 × 3.0 | 1.0 | 1811.24 | 5,448,635.37 | 14,534,333.89 | 36.08 | 1.99 |
| 2.0 | 3055.63 | 5,819,400.50 | 1,407,6780.98 | 100.73 | 3.30 | |
| 3.0 | 4472.31 | 6,190,165.63 | 13,986,821.49 | 195.16 | 4.36 |
| Soil Type | Vs (m/s) | K | Plan Dimensions (m) | Df (m) | Roof Displacement for 0.8 quT (mm) | Drift_Flex for 0.8 quT (%) | Ratio Drift_Flex(0.8quT)/ Drift_Fixed(0.32%) |
|---|---|---|---|---|---|---|---|
| Soil 1 | 180 | 0.5 | 1.0 × 1.0 | 1.0 | 27.0 | 0.457 | 1.42 |
| 2.0 | 52.0 | 0.881 | 2.74 | ||||
| 3.0 | 78.0 | 1.322 | 4.11 | ||||
| 2.0 × 2.0 | 1.0 | 28.0 | 0.474 | 1.47 | |||
| 2.0 | 50.0 | 0.847 | 2.63 | ||||
| 3.0 | 80.0 | 1.355 | 4.21 | ||||
| 3.0 × 3.0 | 1.0 | 32.0 | 0.542 | 1.68 | |||
| 2.0 | 54.0 | 0.915 | 2.84 | ||||
| 3.0 | 75.0 | 1.271 | 3.95 | ||||
| Soil 2 | 360 | 1.0 | 1.0 × 1.0 | 1.0 | 27.0 | 0.457 | 1.42 |
| 2.0 | 50.4 | 0.854 | 2.65 | ||||
| 3.0 | 72.5 | 1.228 | 3.82 | ||||
| 2.0 × 2.0 | 1.0 | 33.6 | 0.569 | 1.77 | |||
| 2.0 | 51.2 | 0.867 | 2.69 | ||||
| 3.0 | 76.0 | 1.288 | 4.00 | ||||
| 3.0 × 3.0 | 1.0 | 2.56 | 0.043 | 0.13 | |||
| 2.0 | 4.95 | 0.083 | 0.26 | ||||
| 3.0 | 7.92 | 0.134 | 0.42 | ||||
| Soil 3 | 540 | 2.0 | 1.0 × 1.0 | 1.0 | 25.8 | 0.437 | 1.36 |
| 2.0 | 51.6 | 0.874 | 2.72 | ||||
| 3.0 | 76.0 | 1.288 | 4.00 | ||||
| 2.0 × 2.0 | 1.0 | 24.4 | 0.414 | 1.29 | |||
| 2.0 | 50.0 | 0.847 | 2.63 | ||||
| 3.0 | 85.5 | 1.449 | 4.50 | ||||
| 3.0 × 3.0 | 1.0 | 25.2 | 0.427 | 1.33 | |||
| 2.0 | 58.5 | 0.991 | 3.08 | ||||
| 3.0 | Brace failure occurs first | ||||||
| Soil 4 | 540 | 3.0 | 1.0 × 1.0 | 1.0 | 26.4 | 0.447 | 1.39 |
| 2.0 | 52.0 | 0.881 | 2.74 | ||||
| 3.0 | 80.0 | 1.355 | 4.21 | ||||
| 2.0 × 2.0 | 1.0 | 28.0 | 0.474 | 1.47 | |||
| 2.0 | 52.8 | 0.894 | 2.78 | ||||
| 3.0 | Brace failure occurs first | ||||||
| 3.0 × 3.0 | 1.0 | 28.0 | 0.474 | 1.47 | |||
| 2.0 | 54.0 | 0.915 | 2.84 | ||||
| 3.0 | Brace failure occurs first | ||||||
| Soil 5 | 600 | 3.5 | 1.0 × 1.0 | 1.0 | 25.6 | 0.436 | 1.36 |
| 2.0 | 53.9 | 0.914 | 2.84 | ||||
| 3.0 | 82.0 | 1.389 | 4.32 | ||||
| 2.0 × 2.0 | 1.0 | 32.0 | 0.542 | 1.68 | |||
| 2.0 | 60.0 | 1.016 | 3.16 | ||||
| 3.0 | Brace failure occurs first | ||||||
| 3.0 × 3.0 | 1.0 | 28.0 | 0.474 | 1.47 | |||
| 2.0 | 92.4 | 1.566 | 4.86 | ||||
| 3.0 | Brace failure occurs first | ||||||
| Soil Type | Footing Dimensions (m) | Df (m) | Drift for 0.95Pcr (%) | Ki_Flexible Base (kN/m) | Ki_Flexible Base/ Ki_Fixed Base |
|---|---|---|---|---|---|
| Soil 5 | 3.0 × 3.0 | 3.0 | 0.74 | 35,346.30 | 0.476 |
| Soil 4 | 3.0 | 0.88 | 32,246.67 | 0.434 | |
| Soil 3 | 3.0 | 1.10 | 28,998.75 | 0.390 | |
| Soil 5 | 2.0 × 2.0 | 3.0 | 1.45 | 26,094.00 | 0.351 |
| Soil 4 | 3.0 | 2.06 | 23,537.38 | 0.317 |
| Soil Type | Footing Dimensions (m) | Df (m) | %qu | quT as %qu (kN) | quT According to Equation (5) (kN) |
|---|---|---|---|---|---|
| Soil 3 | 2.0 × 2.0 | 1.0 | 0 | 0 | 174.10 |
| 2.5 | 160.79 | ||||
| 5.0 | 321.59 | ||||
| 10.0 | 643.17 | ||||
| 2.0 | 0 | 0 | 522.02 | ||
| 2.5 | 298.15 | ||||
| 5.0 | 596.31 | ||||
| 10.0 | 1192.62 | ||||
| 3.0 | 0 | 0 | 1048.56 | ||
| 2.5 | 421.25 | ||||
| 5.0 | 842.52 | ||||
| 10.0 | 1685.04 |
| Soil Type | Footing Dimensions (m) | Df (m) | %qu | K0.8quT (kN/m) | Ki (kN/m) | K0.8quT/Ki |
|---|---|---|---|---|---|---|
| Soil 3 | 2.0 × 2.0 | 1.0 | 2.5 | 28,464.44 | 28,467.50 | 1.000 |
| 5.0 | 47,999.48 | 48,007.81 | 1.000 | |||
| 10.0 | 50,255.73 | 50,266.67 | 1.000 | |||
| 2.0 | 2.5 | 27,769.88 | 27,790.50 | 0.999 | ||
| 5.0 | 38,891.50 | 38,905.00 | 1.000 | |||
| 10.0 | 50,342.86 | 50,305.00 | 1.000 | |||
| 3.0 | 2.5 | 26,561.60 | 26,585.50 | 0.999 | ||
| 5.0 | 38,233.21 | 38,255.50 | 0.999 | |||
| 10.0 | 43,374.39 | 49,581.00 | 0.875 |
| Soil Type | Footing Dimensions (m) | Df (m) | %qu | K0.8quT (kN/m) | Ki (kN/m) | K0.8quT/Ki |
|---|---|---|---|---|---|---|
| Soil 3 | 2.0 × 2.0 | 1.0 | N/A | 7330.19 | 11,973.53 | 0.61 |
| 2.0 | N/A | 9101.90 | 16,320.60 | 0.56 | ||
| 3.0 | N/A | 10,337.46 | 19,611.26 | 0.53 |
| Soil Type | Footing Dimensions (m) | Df (m) | δu (%) | δy_eff (%) | μT | Var. (%) |
|---|---|---|---|---|---|---|
| Soil 1 | 1.0 × 1.0 | 1.0 | 0.457 | 0.274 | 1.67 | 28.45 |
| 2.0 | 0.881 | 0.508 | 1.73 | 33.34 | ||
| 3.0 | 1.322 | 0.620 | 2.13 | 63.91 | ||
| 2.0 × 2.0 | 1.0 | 0.474 | 0.289 | 1.64 | 26.39 | |
| 2.0 | 0.847 | 0.506 | 1.67 | 28.80 | ||
| 3.0 | 1.355 | 0.708 | 1.92 | 47.42 | ||
| 3.0 × 3.0 | 1.0 | 0.542 | 0.330 | 1.65 | 26.60 | |
| 2.0 | 0.915 | 0.521 | 1.76 | 35.12 | ||
| 3.0 | 1.271 | 0.780 | 1.63 | 25.40 | ||
| Soil 2 | 1.0 × 1.0 | 1.0 | 0.457 | 0.322 | 1.42 | 9.26 |
| 2.0 | 0.854 | 0.493 | 1.73 | 33.23 | ||
| 3.0 | 1.228 | 0.613 | 2.00 | 54.20 | ||
| 2.0 × 2.0 | 1.0 | 0.569 | 0.346 | 1.65 | 26.57 | |
| 2.0 | 0.867 | 0.486 | 1.78 | 37.26 | ||
| 3.0 | 1.288 | 0.697 | 1.85 | 42.10 | ||
| 3.0 × 3.0 | 1.0 | 0.433 | 0.277 | 1.57 | 20.43 | |
| 2.0 | 0.839 | 0.516 | 1.63 | 25.03 | ||
| 3.0 | 1.342 | 0.790 | 1.70 | 30.66 | ||
| Soil 3 | 1.0 × 1.0 | 1.0 | 0.437 | 0.290 | 1.51 | 15.89 |
| 2.0 | 0.874 | 0.479 | 1.83 | 40.48 | ||
| 3.0 | 1.288 | 0.646 | 2.00 | 53.48 | ||
| 2.0 × 2.0 | 1.0 | 0.414 | 0.254 | 1.63 | 25.65 | |
| 2.0 | 0.847 | 0.473 | 1.79 | 37.93 | ||
| 3.0 | 1.449 | 0.764 | 1.90 | 45.93 | ||
| 3.0 × 3.0 | 1.0 | 0.427 | 0.289 | 1.48 | 13.70 | |
| 2.0 | 0.991 | 0.589 | 1.68 | 29.42 | ||
| 3.0 | 1.098 | 0.767 | 1.43 | 10.12 | ||
| Soil 4 | 1.0 × 1.0 | 1.0 | 0.447 | 0.289 | 1.55 | 19.16 |
| 2.0 | 0.881 | 0.476 | 1.85 | 42.48 | ||
| 3.0 | 1.355 | 0.663 | 2.04 | 57.23 | ||
| 2.0 × 2.0 | 1.0 | 0.474 | 0.273 | 1.74 | 33.96 | |
| 2.0 | 0.894 | 0.523 | 1.71 | 31.57 | ||
| 3.0 | 2.064 | 0.930 | 2.22 | 70.76 | ||
| 3.0 × 3.0 | 1.0 | 0.474 | 0.282 | 1.68 | 29.29 | |
| 2.0 | 0.915 | 0.565 | 1.62 | 24.52 | ||
| 3.0 | 0.884 | 0.690 | ≅1.3 | ≅0 | ||
| Soil 5 | 1.0 × 1.0 | 1.0 | 0.436 | 0.284 | 1.54 | 18.17 |
| 2.0 | 0.914 | 0.484 | 1.89 | 45.35 | ||
| 3.0 | 1.389 | 0.692 | 2.01 | 54.42 | ||
| 2.0 × 2.0 | 1.0 | 0.542 | 0.317 | 1.71 | 31.72 | |
| 2.0 | 1.016 | 0.571 | 1.78 | 36.97 | ||
| 3.0 | 1.449 | 0.840 | 1.73 | 32.70 | ||
| 3.0 × 3.0 | 1.0 | 0.474 | 0.284 | 1.67 | 28.49 | |
| 2.0 | 1.566 | 0.743 | 2.11 | 62.22 | ||
| 3.0 | 0.741 | 0.628 | ≅1.3 | ≅0 |
Disclaimer/Publisher’s Note: The statements, opinions and data contained in all publications are solely those of the individual author(s) and contributor(s) and not of MDPI and/or the editor(s). MDPI and/or the editor(s) disclaim responsibility for any injury to people or property resulting from any ideas, methods, instructions or products referred to in the content. |
© 2024 by the authors. Licensee MDPI, Basel, Switzerland. This article is an open access article distributed under the terms and conditions of the Creative Commons Attribution (CC BY) license (https://creativecommons.org/licenses/by/4.0/).
Share and Cite
Guanchez, E.; Weyler, R.; Sanchez, M. Influence of the Uplifting Mechanism of Embedded Footings on the Nonlinear Static Response of Steel Concentrically Braced Frames. Buildings 2024, 14, 1145. https://doi.org/10.3390/buildings14041145
Guanchez E, Weyler R, Sanchez M. Influence of the Uplifting Mechanism of Embedded Footings on the Nonlinear Static Response of Steel Concentrically Braced Frames. Buildings. 2024; 14(4):1145. https://doi.org/10.3390/buildings14041145
Chicago/Turabian StyleGuanchez, Edinson, Rafael Weyler, and Montserrat Sanchez. 2024. "Influence of the Uplifting Mechanism of Embedded Footings on the Nonlinear Static Response of Steel Concentrically Braced Frames" Buildings 14, no. 4: 1145. https://doi.org/10.3390/buildings14041145
APA StyleGuanchez, E., Weyler, R., & Sanchez, M. (2024). Influence of the Uplifting Mechanism of Embedded Footings on the Nonlinear Static Response of Steel Concentrically Braced Frames. Buildings, 14(4), 1145. https://doi.org/10.3390/buildings14041145

