Operational Strategy of a DC Inverter Heat Pump System Considering PV Power Fluctuation and Demand-Side Load Characteristics
Abstract
1. Introduction
2. Analysis of Power and Load Characteristics
3. System Design and Modeling
3.1. Heat Transfer Model of the Building
- The heat transfer is in a one-dimensional direction.
- The indoor air is incompressible and homogeneous, and the influence of the indoor temperature on the air density is neglected.
- The air infiltration in the building is neglected.
- The external heat absorbed by the building can be absorbed uniformly by the building envelope without a reflection effect.
- The thermal storage and release from furniture and walls are neglected.
3.2. DC Heat Pump Modeling
3.3. Control Strategy for Heat Pump
3.4. Setup of Supply and Demand Sides
4. Results and Discussion
5. Conclusions
- (1)
- The heat pump can operate normally at 596–636 V. When the DC bus voltage is low (596–616 V), the building’s electricity is supplied by the grid, and the HP can operate at lower operating power. When the DC bus voltage is high (626–636 V), the PV system is the main power source for the building, the HP should increase its operating power, and the excess heat can be stored in the building envelope to mitigate the fluctuations in DC bus voltage. When the DC bus voltage fluctuates normally (606–626 V), the HP regulates the indoor temperature normally.
- (2)
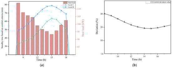
- According to the data analysis of the case study, significant fluctuations in power supply may occur in the PV integrated building, which may pose negative effects on the operation of the building equipment and systems. Therefore, the heat pumps employ a startup and standby control strategy. By expanding the setting range of the room temperature, it can significantly affect the allowable standby time of heat pumps. For instance, the duration of standby time of heat pumps can extend to about 20–30% by reducing the room temperature from Class I to Class II comfort criteria.
Author Contributions
Funding
Data Availability Statement
Conflicts of Interest
Nomenclature
| PVs | Photovoltaics |
| RESs | Renewable energy sources |
| BIPV | Building integrated photovoltaic |
| DC | Direct current |
| HVAC | Heating ventilation and air-conditioning |
| ASHP | Assisted air source heat pump |
| PV/T | Solar photovoltaic/thermal |
| HL | Heating load |
| HP | Heat pump |
| Greek symbols | |
| ρ | Density, kg/m3 |
| Φ | Opening degree, % |
| η | Efficiency, % |
| Subscripts | |
| Com | Compressor |
| Dis | Discharge |
| w | Water |
| Cw | Cooling water |
| Cond | Condenser |
| rc | Refrigerant side |
| c | Condensation |
| ex | Expansion valve |
| m | DC bus |
| ref | Reference |
References
- Lo, K.Y.; Yeoh, J.H.; Hsieh, I.Y.L. Towards Nearly Zero-Energy Buildings: Smart Energy Management of Vehicle-to-Building (V2B) Strategy and Renewable Energy Sources. Sustain. Cities Soc. 2023, 99, 104941. [Google Scholar] [CrossRef]
- Chen, W.H.; You, F. Sustainable building climate control with renewable energy sources using nonlinear model predictive control. Renew. Sustain. Energy Rev. 2022, 168, 112830. [Google Scholar] [CrossRef]
- Pramanik, A.S.; Sepasi, S.; Nguyen, T.L.; Roose, L. An ensemble-based approach for short-term load forecasting for buildings with high proportion of renewable energy sources. Energy Build. 2024, 308, 113996. [Google Scholar] [CrossRef]
- IRENA. Trading into a Bright Energy Future (The Case for Open, High-Quality Solar Photovoltaic Markets); World Trade Organization: Geneva, Switzerland, 2021. [Google Scholar]
- Du, H.; Han, Q.; de Vries, B.; Sun, J. Community solar PV adoption in residential apartment buildings: A case study on influencing factors and incentive measures in Wuhan. Appl. Energy 2024, 354, 122163. [Google Scholar] [CrossRef]
- Zhu, J.; Dong, H.; Zheng, W.; Li, S.; Huang, Y.; Xi, L. Review and prospect of data-driven techniques for load forecasting in integrated energy systems. Appl. Energy 2022, 321, 119269. [Google Scholar] [CrossRef]
- Diab, I.; Damianakis, N.; Chandra-Mouli, G.R.; Bauer, P. A shared PV system for transportation and residential loads to reduce curtailment and the need for storage systems. Appl. Energy 2024, 353, 122131. [Google Scholar] [CrossRef]
- Chen, Q.; Kuang, Z.; Liu, X.; Zhang, T. Optimal sizing and techno-economic analysis of the hybrid PV-battery-cooling storage system for commercial buildings in China. Appl. Energy 2024, 355, 122231. [Google Scholar] [CrossRef]
- Zhang, S.; He, W.; Fan, Y.; Wang, K.; Hu, Z.; Chu, W.; Yu, H. Field experimental investigation on electricity and thermal performances of a large scale photovoltaic solar-thermal direct expansion heat pump system. Energy Convers. Manag. 2022, 267, 115941. [Google Scholar] [CrossRef]
- Ma, J.; Fung, A.S.; Brands, M.; Moyeed, O.M.A.; Mhanna, A.; Juan, N. Effects of photovoltaic/thermal (PV/T) control strategies on the performance of liquid-based PV/T assisted heat pump for space heating. Renew. Energy 2021, 172, 753–764. [Google Scholar] [CrossRef]
- Ding, L.; Zhu, Y.; Zheng, L.; Dai, Q.; Zhang, Z. What is the path of photovoltaic building (BIPV or BAPV) promotion? The perspective of evolutionary games. Appl. Energy 2023, 340, 121033. [Google Scholar] [CrossRef]
- Aguacil, S.; Lufkin, S.; Rey, E. Active surfaces selection method for building-integrated photovoltaics (BIPV) in renovation projects based on self-consumption and self-sufficiency. Energy Build. 2019, 193, 15–28. [Google Scholar] [CrossRef]
- Sankar, M.M.; Chatterjee, K. A posteriori multiobjective approach for techno-economic allocation of PV and BES units in a distribution system hosting PHEVs. Appl. Energy 2023, 351, 121851. [Google Scholar] [CrossRef]
- Trong, T.N.; Son, H.V.X.; Do Dinh, H.; Takano, H.; Duc, T.N. Short-term PV power forecast using hybrid deep learning model and Variational Mode Decomposition. Energy Rep. 2023, 9, 712–717. [Google Scholar] [CrossRef]
- Notton, G.; Nivet, M.L.; Voyant, C.; Paoli, C.; Darras, C.; Motte, F.; Fouilloy, A. Intermittent and stochastic character of renewable energy sources: Consequences, cost of intermittence and benefit of forecasting. Renew. Sustain. Energy Rev. 2018, 87, 96–105. [Google Scholar] [CrossRef]
- Brinkel, N.B.G.; Gerritsma, M.K.; AlSkaif, T.A.; Lampropoulos, I.; van Voorden, A.M.; Fidder, H.A.; van Sark, W.G.J.H.M. Impact of rapid PV fluctuations on power quality in the low-voltage grid and mitigation strategies using electric vehicles. Int. J. Electr. Power Energy Syst. 2020, 118, 105741. [Google Scholar] [CrossRef]
- Hong, J.; Liang, F.; Yang, H. Research progress, trends and prospects of big data technology for new energy power and energy storage system. Energy Rev. 2023, 2, 100036. [Google Scholar] [CrossRef]
- Asea Brown Boveri, Z. Enviline™DCGear DC Switchgear for DC Traction Power Distribution Network. 2022. Available online: https://new.abb.com/medium-voltage/zh/switchgear/railway-switchgear/dc-traction-power-supply/dc-switchgear-and-vld/envilinetm-dcgear-GB (accessed on 1 March 2024).
- Han, S.; Li, X.; Zhao, W.; Wang, L.; Liang, A.; Zeng, S. Simulation Study of the Control Strategy of a DC Inverter Heat Pump Using a DC Distribution Network. Energy Eng. 2023, 120, 1421–1444. [Google Scholar] [CrossRef]
- Kockel, C.; Nolting, L.; Goldbeck, R.; Wulf, C.; De Doncker, R.W.; Praktiknjo, A. A scalable life cycle assessment of alternating and direct current microgrids in office buildings. Appl. Energy 2022, 305, 117878. [Google Scholar] [CrossRef]
- Candanedo, L.M.; Athienitis, A.K.; Kalogirou, S.A. Modeling and simulation of passive and active solar thermal systems. Compr. Renew. Energy 2012, 3, 357–417. [Google Scholar]
- Azaioud, H.; Farnam, A.; Knockaert, J.; Vandevelde, L.; Desmet, J. Efficiency optimisation and converterless PV integration by applying a dynamic voltage on an LVDC backbone. Appl. Energy 2024, 356, 122416. [Google Scholar] [CrossRef]
- Cavazzuti, M.; Bottarelli, M. Performance analysis of a multi-source renewable energy system for temperature control in buildings of varied thermal transmittance and climate zone. Renew. Sustain. Energy Rev. 2023, 187, 113725. [Google Scholar] [CrossRef]
- Tan, H.; Guo, Z.; Zhang, H.; Chen, Q.; Lin, Z.; Chen, Y.; Yan, J. Enhancing PV panel segmentation in remote sensing images with constraint refinement modules. Appl. Energy 2023, 350, 121757. [Google Scholar] [CrossRef]
- Sigounis, A.M.; Vallianos, C.; Athienitis, A. Model predictive control of air-based building integrated PV/T systems for optimal HVAC integration. Renew. Energy 2023, 212, 655–668. [Google Scholar] [CrossRef]
- Modu, B.; Abdullah, M.P.; Sanusi, M.A.; Hamza, M.F. DC-Based microgrid: Topologies, control schemes, and implementations. Alex. Eng. J. 2023, 70, 61–92. [Google Scholar] [CrossRef]
- Zhou, G.; Bai, M.; Zhao, X.; Li, J.; Li, Q.; Liu, J.; Yu, D. Study on the distribution characteristics and uncertainty of multiple energy load patterns for building group to enhance demand side management. Energy Build. 2022, 263, 112038. [Google Scholar] [CrossRef]
- Efkarpidis, N.A.; Vomva, S.A.; Christoforidis, G.C.; Papagiannis, G.K. Optimal day-to-day scheduling of multiple energy assets in residential buildings equipped with variable-speed heat pumps. Appl. Energy 2022, 312, 118702. [Google Scholar] [CrossRef]
- Walden, J.V.; Wellig, B.; Stathopoulos, P. Heat pump integration in non-continuous industrial processes by Dynamic Pinch Analysis Targeting. Appl. Energy 2023, 352, 121933. [Google Scholar] [CrossRef]
- Wang, Y.; Quan, Z.; Zhao, Y.; Wang, L.; Liu, Z. Performance and optimization of a novel solar-air source heat pump building energy supply system with energy storage. Appl. Energy 2022, 324, 119706. [Google Scholar] [CrossRef]
- Roccatello, E.; Prada, A.; Baggio, P.; Baratieri, M. Analysis of the Influence of Control Strategy and Heating Loads on the Performance of Hybrid Heat Pump Systems for Residential Buildings. Energies 2022, 15, 732. [Google Scholar] [CrossRef]
- Xia, L.; Ma, Z.; Kokogiannakis, G.; Wang, S.; Gong, X. A model-based optimal control strategy for ground source heat pump systems with integrated solar photovoltaic thermal collectors. Appl. Energy 2018, 228, 1399–1412. [Google Scholar] [CrossRef]
- Wei, D.; Cui, Q.; Qi, P.; Gao, E.; Zhang, X. Experimental study on operating characteristics and control strategy of CO2 heat pump in circulating heating mode. Appl. Therm. Eng. 2024, 236, 121719. [Google Scholar] [CrossRef]
- Lyu, W.; Wang, Z.; Li, X.; Deng, G.; Xu, Z.; Li, H.; Yang, Y.; Zhan, B.; Zhao, M. Influence of the water tank size and air source heat pump size on the energy saving potential of the energy storage heating system. J. Energy Storage 2022, 55, 105542. [Google Scholar] [CrossRef]
- Wang, J.; Qv, D.; Ni, L.; Yao, Y. Experimental study on an injection-assisted air source heat pump with a novel two-stage variable-speed scroll compressor. Appl. Therm. Eng. 2020, 176, 115415. [Google Scholar] [CrossRef]
- Zhang, D.; Xinyue, S.; Pengfei, L.; Bo, H.; Gang, H.; Chunyang, L.; Baorui, X.; Tao, Z.; Zhoujian, A. Experiment study on startup characteristics and operation performance of PV/T solar assisted heat pump waterheater system driven by direct current variable frequency compressor. Sol. Energy 2023, 263, 111771. [Google Scholar] [CrossRef]
- Ma, T.; Li, J.; Cao, X.; Ma, Y.; Cai, Y.; Lu, Z. Research on optimal dispatch strategy of electric heating load groups considering user behavior difference and distribution network power flow. J. Electr. Power Sci. Technol. 2023, 38, 77–87. [Google Scholar]
- Bin, Z.; Qing, M.; Daoke, T.; Ling, F. Parameter optimization and off-design operation strategy of multistage scroll heat pumps in heating station. Heat. Vent. Air Cond. 2017, 47, 125–129. [Google Scholar]
- Shang, Y.; Wu, A.; Fang, X.; You, Y. Dynamic Simulation of Electronic Expansion Valve Controlled Refrigeration System under Different Heat Transfer Conditions. Int. J. Refrig. 2016, 72, 41–52. [Google Scholar] [CrossRef]
- Yu, L.; Yi, D.; Yu, Z.; Yuan, L. Interpretation of the DC Power Distribution Design Standard for Civil Buildings. Build. Electr. 2022, 41, 25–32. [Google Scholar]

















| Building Component | Value |
|---|---|
| External wall | W/(m2·K) |
| Interior wall | 0.617 W/(m2·K) |
| Roof | 0.408 W/(m2·K) |
| Floor | 5.24 W/(m2·K) |
| Window WWR | 0.30 (South and north facades) 0.35 (East and west facades) |
| Occupancy gain | 0.1 person/m2 |
| Air circulation | 30 m3/person |
| Lighting intensity | 9 W/m2 |
| Equipment load | 15 W/m2 |
| Parameter | Value |
|---|---|
| Evaporating temperature | 10 °C |
| Condensing temperature | 46.1 °C |
| Superheat | 1.1 °C |
| Speed range | 20–120 rps |
| Rated speed | 90 rps |
| Refrigerant mass flow rate | 1021 kg/h |
| Compressor power | 10.3 kW |
| Compressor normal operating voltage | 586–636 V |
| Rated heat capacity | 196.0 kW (47.2 × 4) |
| Type of refrigerant | R410A |
| Condition | Simulation Time (h) | Room Control Temperature (°C) | Comfort Level | DC Bus Voltage Range (V) | Heat Pump Mode |
|---|---|---|---|---|---|
| 1 | 10 | 18 | II | 596 < Vm < 606 | Low |
| 2 | 21 | I | 606 ≤ Vm ≤ 626 | Normal | |
| 3 | 24 | I | 626 < Vm < 636 | High |
| Typical Changing Process | DC Bus Voltage Change Point t1 | Response Startup Point t2 | Response Completion Point t3 | DR1 Δ = t2 – t1 (min) | DR2 Δ = t3 – t2 (min) |
|---|---|---|---|---|---|
| A | A1: 09:25 A.M. | A2: 09:31 A.M. | A3: 09:46 | 6 | 15 |
| B | B1: 10:36 A.M. | B2: 10:42 A.M. | B3: 10:56 | 6 | 14 |
| C | C1: 14:02 P.M. | C2: 14:08 A.M. | C3: 14:13 | 6 | 5 |
Disclaimer/Publisher’s Note: The statements, opinions and data contained in all publications are solely those of the individual author(s) and contributor(s) and not of MDPI and/or the editor(s). MDPI and/or the editor(s) disclaim responsibility for any injury to people or property resulting from any ideas, methods, instructions or products referred to in the content. |
© 2024 by the authors. Licensee MDPI, Basel, Switzerland. This article is an open access article distributed under the terms and conditions of the Creative Commons Attribution (CC BY) license (https://creativecommons.org/licenses/by/4.0/).
Share and Cite
Li, Y.; Lu, Y.; Sun, J.; Wang, T.; Zong, S.; Zhou, T.; Wang, X. Operational Strategy of a DC Inverter Heat Pump System Considering PV Power Fluctuation and Demand-Side Load Characteristics. Buildings 2024, 14, 1139. https://doi.org/10.3390/buildings14041139
Li Y, Lu Y, Sun J, Wang T, Zong S, Zhou T, Wang X. Operational Strategy of a DC Inverter Heat Pump System Considering PV Power Fluctuation and Demand-Side Load Characteristics. Buildings. 2024; 14(4):1139. https://doi.org/10.3390/buildings14041139
Chicago/Turabian StyleLi, Yilin, Yang Lu, Jie Sun, Tianhang Wang, Shiji Zong, Tongyu Zhou, and Xin Wang. 2024. "Operational Strategy of a DC Inverter Heat Pump System Considering PV Power Fluctuation and Demand-Side Load Characteristics" Buildings 14, no. 4: 1139. https://doi.org/10.3390/buildings14041139
APA StyleLi, Y., Lu, Y., Sun, J., Wang, T., Zong, S., Zhou, T., & Wang, X. (2024). Operational Strategy of a DC Inverter Heat Pump System Considering PV Power Fluctuation and Demand-Side Load Characteristics. Buildings, 14(4), 1139. https://doi.org/10.3390/buildings14041139

