Digital Twin Research on Masonry–Timber Architectural Heritage Pathology Cracks Using 3D Laser Scanning and Deep Learning Model
Abstract
1. Introduction
- The research method is novel as it combines 3D laser scanning with a deep learning model, providing millions of high-definition images for computer adaptive recognition and achieving an organic combination of architecture and artificial intelligence.
- A single identification and calculation model for regional detection and pathology cracks of architectural heritage diseases is developed, applicable to all masonry and timber structure architectural heritage sites, significantly enhancing monitoring and protection levels.
- Research strategies focusing on disease details, cracks data, regional detection, and single-crack identification calculation of architectural heritage are derived through 3D laser scanning and deep learning model techniques. Additionally, targeted restoration strategies are proposed based on identification and calculation outcomes, leading to the development of a detection and repair system for masonry and timber architectural heritage pathology cracks, offering valuable insights for architectural heritage repair practices.
2. Materials and Methods
2.1. Materials
Study Area
2.2. Methods
2.2.1. Research Methods
- Three-dimensional Laser Scanning
- 2.
- Pathology crack area detection model based on Mask R-CNN
- 3.
- Identification and calculation model of single pathology cracks based on FCN
2.2.2. Research Framework
3. Results and Discussion
3.1. Using 3D Laser Scanning to Obtain High-Precision Images of James Jackson Gymnasium
3.1.1. Setting of Measuring Points and Layout of Measuring Stations
3.1.2. Field Scanning to Obtain High-Precision Images of Millions of Orders of Magnitude
3.1.3. Build Point Cloud Model to Assist Post-Calibration
3.2. Construction of Pathology Crack Area Detection Model of Architectural Heritage Based on Mask R-CNN
3.2.1. Pathology Cracks Training Set for Labeling Architectural Heritage
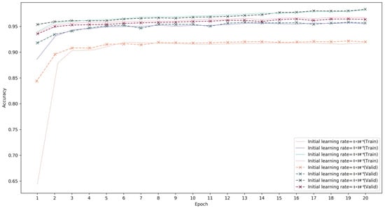
3.2.2. Training Pathology Crack Area Detection Model and Optimization of Results
3.2.3. James Jackson Gymnasium Fracture Area Detection Based on Mask R-CNN Deep Learning Model
3.3. Construction of Single Pathology Crack Identification and Calculation Model Based on FCN
3.3.1. Pathology Cracks Training Set for Labeling Architectural Heritage
3.3.2. Training Single Pathology Crack Recognition and Calculation Model and Result Optimization
3.3.3. Establishment of Single Pathology Crack Segmentation Model of Architectural Heritage Based on FCN
3.3.4. Identification and Calculation of Single Crack in James Jackson Gymnasium Based on FCN Deep Learning Model
3.4. Pathology Crack Restoration Strategy of Architectural Heritage
3.4.1. Analysis of the Causes of Pathology Crack
3.4.2. Pathology Cracks’ Graded Repair Strategy Table
3.4.3. Strategies for Direct Restoration of Architectural Heritage in Pathology Cracks
- For timber structure members, the pathology crack direct repair strategy involves maintaining the original appearance and function while ensuring that the structure and stability are not compromised. Cracks are fixed and bonded tightly using timber strips and water-resistant adhesives. In cases of large damage area and developing trends, rectangular grooves with corresponding sizes are cut along the crack shape and sprinkled with water. The cracks are then filled with 1:1–1:2 cement mortar material consistent with the architectural heritage style, applied 2–3 times, and calendared for a smooth finish.
- For masonry structural members, the pathology crack direct restoration strategy involves cleaning the crack base and filling it with stones of similar styles. In cases of large damage area and developing trends, a V-shaped groove, approximately 5 mm wide, is cut along the crack shape and filled with cement mortar, polyurethane, or synthetic rubber for sealing purposes.
3.4.4. Strategy of Strengthening and Then Restoring the Pathology Cracks of Architectural Heritage
- For timber structure members, steel anchor bolts and bolts are used to penetrate and clamp the strengthened section, improving the shear resistance. The pressure from tightening bolts helps to limit the expansion of the crack while reinforcing the section. Timber or steel plates are added to enhance the shear performance of timber members, ensuring structural stability and preventing further crack expansion. After reinforcement, appropriate repair strategies for the components are implemented.
- For masonry structural members, outer sides or the other three sides of the structure can be covered with reinforced concrete sheaths to enhance steel bars and sections, boosting the original members’ bearing capacity. Alternatively, steel plates can be attached to the concrete surface with a structural adhesive to create a unified stress-bearing system [7]. Following reinforcement, the surface is painted with anti-corrosion paint to match the architectural heritage’s color and style, and a targeted restoration strategy for the pathology crack is executed.
4. Conclusions
Author Contributions
Funding
Data Availability Statement
Conflicts of Interest
References
- Latifi, R.; Hadzima-Nyarko, M.; Radu, D.; Rouhi, R. A brief overview on crack patterns, repair and strengthening of historical masonry structures. Materials 2023, 16, 1882. [Google Scholar] [CrossRef] [PubMed]
- Croci, G. The Conservation and Structural Restoration of Architectural Heritage; WIT Press: Southampton, UK, 1998; Volume 1. [Google Scholar]
- Alessandri, C.; Garutti, M.; Mallardo, V.; Milani, G. Crack patterns induced by foundation settlements: Integrated analysis on a renaissance masonry palace in Italy. Int. J. Archit. Herit. 2015, 9, 111–129. [Google Scholar] [CrossRef]
- Ávila, F.; Puertas, E.; Torrús, C.; Gallego, R. Influence of crack propagation on the seismic behavior of historic rammed earth buildings: The Tower of Muhammad in the Alhambra (Spain). Eng. Struct. 2024, 301, 117365. [Google Scholar] [CrossRef]
- Chen, Y.; Zhu, Z.; Lin, Z.; Zhou, Y. Building Surface Crack Detection Using Deep Learning Technology. Buildings 2023, 13, 1814. [Google Scholar] [CrossRef]
- Wang, N.; Zhao, X.; Zhao, P.; Zhang, Y.; Zou, Z.; Ou, J. Automatic damage detection of historic masonry buildings based on mobile deep learning. Autom. Constr. 2019, 103, 53–66. [Google Scholar] [CrossRef]
- Wang, Z. Architectural Heritage Protection Token Recognition and Restoration Design Driven by Deep Learning. Master’s Thesis, Qingdao University of Science and Technology, Qingdao, China, June 2023. [Google Scholar]
- Yin, Y.; Antonio, J. Application of 3D laser scanning technology for image data processing in the protection of ancient building sites through deep learning. Image Vis. Comput. 2020, 102, 103969. [Google Scholar] [CrossRef]
- Germanese, D.; Pascali, M.A.; Berton, A.; Leone, G.R.; Moroni, D.; Jalil, B.; Tampucci, M.; Benassi, A. Architectural Heritage: 3D Documentation and Structural Monitoring Using UAV. In Proceedings of the VIPERC@ IRCDL, Pisa, Italy, 30 January 2019; pp. 1–12. [Google Scholar]
- Wang, H.; Wu, J.; Yuan, Q.; Li, M. Crack Detection and Feature Extraction of Heritage Architecture Via Point Clouds. Measurement 2024. preprint. [Google Scholar] [CrossRef]
- Remondino, F. From point cloud to surface: The modeling and visualization problem. International Archives of the Photogrammetry. Remote Sens. Spat. Inf. Sci. 2003, 34. [Google Scholar]
- Nie, X.; Duan, M.; Ding, H.; Hu, B.; Wong, E.K. Attention mask R-CNN for ship detection and segmentation from remote sensing images. IEEE Access 2020, 8, 9325–9334. [Google Scholar] [CrossRef]
- Bi, X.; Hu, J.; Xiao, B.; Li, W.; Gao, X. IEMask R-CNN: Information-Enhanced Mask R-CNN. IEEE Trans. Big Data 2022, 9, 688–700. [Google Scholar] [CrossRef]
- Sun, X.; Wu, P.; Hoi, S.C. Face detection using deep learning: An improved faster RCNN approach. Neurocomputing 2018, 299, 42–50. [Google Scholar] [CrossRef]
- Huang, Z.; Zhong, Z.; Sun, L.; Huo, Q. Mask R-CNN with pyramid attention network for scene text detection. In Proceedings of the 2019 IEEE Winter Conference on Applications of Computer Vision (WACV), Waikoloa Village, HI, USA, 7 January 2019; pp. 764–772. [Google Scholar]
- Fernberg, P.; Chamberlain, B. Artificial Intelligence in Landscape Architecture: A Literature Review. Landsc. J. 2023, 42, 13–35. [Google Scholar] [CrossRef]
- Yoon, J.; Shin, H.; Kim, K.; Lee, S. CNN-and UAV-Based Automatic 3D Modeling Methods for Building Exterior Inspection. Buildings 2023, 14, 5. [Google Scholar] [CrossRef]
- Wu, M.; Yue, H.; Wang, J.; Huang, Y.; Liu, M.; Jiang, Y.; Ke, C.; Zeng, C. Object detection based on RGC mask R-CNN. IET Image Process. 2020, 14, 1502–1508. [Google Scholar] [CrossRef]
- Sun, J.; Peng, Y.; Guo, Y.; Li, D. Segmentation of the multimodal brain tumor image used the multi-pathway architecture method based on 3D FCN. Neurocomputing 2021, 423, 34–45. [Google Scholar] [CrossRef]
- Shang, W.; He, C.; Lv, S. Sustainable Renewal of Spontaneous Spatial Characteristics of a Historic–Cultural District: A Case Study of Tanhualin, Wuhan, China. Sustainability 2023, 15, 2038. [Google Scholar] [CrossRef]
- Qitong, X. Protection and utilization of the former site of JAMES JACKSON Gymnasium Fitness Center. Jianghan Archaeol. 2015, 04, 122–125+2+129. [Google Scholar]
- Jing, D. Research on modern educational architecture in Wuhan. Ph.D. Thesis, Huazhong University of Science and Technology, Wuhan, China, 2006. [Google Scholar]
- Mitka, B.; Pluta, M. Comparative analysis of the process of creating a 3d model of architecture object with using laser scanning and structure from motion technologies 1. Int. Multidiscip. Sci. GeoConf. SGEM 2016, 2, 847–854. [Google Scholar]
- Cheng, X.J.; Jin, W. Study on reverse engineering of historical architecture based on 3D laser scanner. J. Phys. Conf. Ser. 2006, 48, 843. [Google Scholar] [CrossRef]
- Hu, Q.; Wang, S.; Fu, C.; Ai, M.; Yu, D.; Wang, W. Fine surveying and 3D modeling approach for wooden ancient architecture via multiple laser scanner integration. Remote Sens. 2016, 8, 270. [Google Scholar] [CrossRef]
- Lerma, J.L.; Navarro, S.; Cabrelles, M.; Seguí, A.E.; Haddad, N.; Akasheh, T. Integration of laser scanning and imagery for photorealistic 3D architectural documentation. In Laser Scanning, Theory and Applications; Books on Demand: Murfreesboro, TN, USA; pp. 414–430.
- Bharati, P.; Pramanik, A. Deep learning techniques—R-CNN to mask R-CNN: A survey. In Computational Intelligence in Pattern Recognition: Proceedings of CIPR 2019; Springer: Berlin/Heidelberg, Germany, 2020; pp. 657–668. [Google Scholar]
- Lin, K.; Zhao, H.; Lv, J.; Li, C.; Liu, X.; Chen, R.; Zhao, R. Face detection and segmentation based on improved mask R-CNN. Discret. Dyn. Nat. Soc. 2020, 2020, 9242917. [Google Scholar] [CrossRef]
- Xu, X.; Zhao, M.; Shi, P.; Ren, R.; He, X.; Wei, X.; Yang, H. Crack detection and comparison study based on faster R-CNN and mask R-CNN. Sensors 2022, 22, 1215. [Google Scholar] [CrossRef] [PubMed]
- Zhang, Y.; Chu, J.; Leng, L.; Miao, J. Mask-refined R-CNN: A network for refining object details in instance segmentation. Sensors 2020, 20, 1010. [Google Scholar] [CrossRef] [PubMed]
- Xing, Y.; Zhong, L.; Zhong, X. An encoder-decoder network based FCN architecture for semantic segmentation. Wirel. Commun. Mob. Comput. 2020, 2020, 8861886. [Google Scholar] [CrossRef]
- Bhatt, D.; Patel, C.; Talsania, H.; Patel, J.; Vaghela, R.; Pandya, S.; Modi, K.; Ghayvat, H. CNN variants for computer vision: History, architecture, application, challenges and future scope. Electronics 2021, 10, 2470. [Google Scholar] [CrossRef]
- Hazirbas, C.; Ma, L.; Domokos, C.; Cremers, D. Fusenet: Incorporating depth into semantic segmentation via fusion-based cnn architecture. In Proceedings of the Computer Vision–ACCV 2016: 13th Asian Conference on Computer Vision, Taipei, Taiwan, 20–24 November 2016; Revised Selected Papers, Part I 13. Springer International Publishing: New York, NY, USA, 2017; pp. 213–228. [Google Scholar]
- Sun, Y.; Xue, B.; Zhang, M.; Yen, G.G.; Lv, J. Automatically designing CNN architectures using the genetic algorithm for image classification. IEEE Trans. Cybern. 2020, 50, 3840–3854. [Google Scholar] [CrossRef] [PubMed]
- Barton, J. 3D laser scanning and the conservation of earthen architecture: A case study at the UNESCO World Heritage Site Merv, Turkmenistan. World Archaeol. 2009, 41, 489–504. [Google Scholar] [CrossRef]
- Dawson, P.C.; Levy, R.M.; Oetelaar, G.; Arnold, C.; Lacroix, D.; Mackay, G. Documenting Mackenzie Inuit architecture using 3D laser scanning. Alsk. J. Anthropol. 2009, 7, 29–44. [Google Scholar]
- Wu, C.; Yuan, Y.; Tang, Y.; Tian, B. Application of terrestrial laser scanning (TLS) in the architecture, engineering and construction (AEC) industry. Sensors 2021, 22, 265. [Google Scholar] [CrossRef]
- Huber, D.; Akinci, B.; Tang, P.; Adan, A.; Okorn, B.; Xiong, X. Using laser scanners for modeling and analysis in architecture, engineering, and construction. In Proceedings of the 2010 44th Annual Conference on Information Sciences and Systems (CISS), Princeton, NJ, USA, 17–19 March 2010; pp. 1–6. [Google Scholar]
- Monti, C.; Fregonese, L.; Achille, C. Laser scanner application on complex shapes of architecture. Profiles extraction processing and 3d modeling. Int. Arch. Photogramm. Remote Sens. Spat. Inf. Sci. 2003, 34, 5. [Google Scholar]
- Pires, M.; Borg, C. 3D Laser Scanning of Architectural Sites. In Handbook on the Use of Lasers in Conservation and Conservation Science; 2015; Available online: http://www.science4heritage.org/COSTG7/booklet/chapters/3D.htm (accessed on 20 February 2024).
- Pawłowicz, J.A. Importance of laser scanning resolution in the process of recreating the architectural details of historical buildings. IOP Conf. Ser. Mater. Sci. Eng. 2017, 245, 052038. [Google Scholar] [CrossRef]
- Smits, J. Application of 3D terrestrial laser scanning to map building surfaces. J. Archit. Conserv. 2011, 17, 81–94. [Google Scholar] [CrossRef]
- Dinis, F.M.; Sanhudo, L.; Martins, J.P.; Ramos, N.M. Improving project communication in the architecture, engineering and construction industry: Coupling virtual reality and laser scanning. J. Build. Eng. 2020, 30, 101287. [Google Scholar] [CrossRef]
- Frei, M.; Kruis, F.E. FibeR-CNN: Expanding Mask R-CNN to improve image-based fiber analysis. Powder Technol. 2021, 377, 974–991. [Google Scholar] [CrossRef]
- Sewak, M.; Sahay, S.K.; Rathore, H. An overview of deep learning architecture of deep neural networks and autoencoders. J. Comput. Theor. Nanosci. 2020, 17, 182–188. [Google Scholar] [CrossRef]
- Zhang, M.; Cui, Z.; Neumann, M.; Chen, Y. An end-to-end deep learning architecture for graph classification. In Proceedings of the AAAI Conference on Artificial Intelligence, New Orleans, LA, USA, 2–7 February 2018; Volume 32. [Google Scholar]
- Somu, N.; MR, G.R.; Ramamritham, K. A deep learning framework for building energy consumption forecast. Renewable and Sustain. Energy Rev. 2021, 137, 110591. [Google Scholar] [CrossRef]
- Yu, Y.; Wang, C.; Gu, X.; Li, J. A novel deep learning-based method for damage identification of smart building structures. Struct. Health Monit. 2019, 18, 143–163. [Google Scholar] [CrossRef]
- Zhong, B.; Xing, X.; Love, P.; Wang, X.; Luo, H. Convolutional neural network: Deep learning-based classification of building quality problems. Adv. Eng. Inform. 2019, 40, 46–57. [Google Scholar] [CrossRef]
- Olu-Ajayi, R.; Alaka, H.; Sulaimon, I.; Sunmola, F.; Ajayi, S. Building energy consumption prediction for residential buildings using deep learning and other machine learning techniques. J. Build. Eng. 2022, 45, 103406. [Google Scholar] [CrossRef]
- Perez, H.; Tah, J.H.; Mosavi, A. Deep learning for detecting building defects using convolutional neural networks. Sensors 2019, 19, 3556. [Google Scholar] [CrossRef]
- Hou, X.; Zeng, Y.; Xue, J. Detecting structural components of building engineering based on deep-learning method. J. Constr. Eng. Manag. 2020, 146, 04019097. [Google Scholar] [CrossRef]
- Torok, M.M.; Golparvar-Fard, M.; Kochersberger, K.B. Image-based automated 3D crack detection for post-disaster building assessment. J. Comput. Civ. Eng. 2014, 28, A4014004. [Google Scholar] [CrossRef]
- Sadat-Shojai, M.; Ershad-Langroudi, A. Polymeric coatings for protection of historic monuments: Opportunities and challenges. J. Appl. Polym. Sci. 2009, 112, 2535–2551. [Google Scholar] [CrossRef]
- Marcus, B.; Ziegert, C.; Paganoni, S.; Mahdy, H.; Muhammad, S. Conservation and structural stabilization of al Hayla tower in the Liwa Oasis, Abu Dhabi. J. Archit. Conserv. 2019, 25, 104–116. [Google Scholar] [CrossRef]
- Fodde, E.; Cooke, L. Structural consolidation of mud brick masonry. J. Archit. Conserv. 2013, 19, 265–281. [Google Scholar] [CrossRef]
- Wang, H.; Hu, Z.; Huang, Y.; Chen, M.; Hu, L.; Zhou, Q. Construction Technologies and Conservation Strategies for the Bell Tower of Former Nanking University (Nanjing, China)—A Case Study of a Typical Architectural Heritage of the American Church School in the Late 19th Century. Buildings 2022, 12, 2251. [Google Scholar] [CrossRef]
- GB50292-2015; National Standard of the People’s Republic of China-Reliability Appraisal Standard of Civil Buildings. Ministry of Housing and Urban-Rural Development: Beijing, China, 2015. Available online: https://www.mohurd.gov.cn/gongkai/zhengce/zhengcefilelib/201601/20160126_226450.html (accessed on 19 March 2024).
- DB11/T637-2009; Beijing Local Standard-Building Structure Safety Appraisal Standard. Beijing Municipial Commision of Housing and Urban and Rural Development: Beijing, China. Available online: https://zjw.beijing.gov.cn (accessed on 19 March 2024).
- Kumar, V.; Singh, R.; Ahuja IP, S.; Hashmi, M.J. On technological solutions for repair and rehabilitation of heritage sites: A review. Adv. Mater. Process. Technol. 2020, 6, 146–166. [Google Scholar] [CrossRef]
- Gangane, A.S.; Khandve, P.V.; Dhawade, S.M. Special Repair Techniques for Masonry and Heritage Structures. Int. J. Res. Eng. Sci. Technol. 2015, 1, 129–135. [Google Scholar]
- Vuoto, A.; Funari, M.F.; Lourenço, P.B. Shaping digital twin concept for built cultural heritage conservation: A systematic literature review. Int. J. Archit. Herit. 2023, 1–34. [Google Scholar] [CrossRef]


















| Door Type | Floor Level | Width (mm) | Height (mm) | Bottom Height (mm) | Total (Piece) |
|---|---|---|---|---|---|
| Main entrance double-sided veneer wooden door | First floor | 1800 | 2100 | 0 | 2 |
| Interior single-panel wooden door | First floor | 700 | 2900 | 0 | 2 |
| Interior double-leaf hinged wooden door | First floor | 1100 | 2900 | 0 | 9 |
| Interior door opening-1 | First floor | 900 | 2400 | 150 | 2 |
| Interior door opening-2 | First floor | 1060 | 2100 | 0 | 2 |
| Interior door opening-3 | First floor | 1300 | 2400 | 0 | 6 |
| Interior door opening-4 | First floor | 1500 | 2400 | 150 | 1 |
| Interior single-recessed panel wooden door | Second floor | 900 | 2400 | 0 | 1 |
| Interior single-recessed panel glass door | Second floor | 700 | 2100 | 0 | 2 |
| Corridor single-recessed panel glass door | Second floor | 900 | 2100 | 20 | 1 |
| Corridor double-sided recessed panel wooden door | Second floor | 1200 | 2100 | 20 | 2 |
| Window Type | Floor Level | Width (mm) | Height (mm) | Bottom Height (mm) | Total (Piece) |
|---|---|---|---|---|---|
| East elevation single-leaf casement window-1 | First floor | 700 | 1500 | 900 | 2 |
| East elevation single-leaf casement window-2 | First floor | 700 | 2000 | 600 | 2 |
| East elevation single-leaf casement window-3 | First floor | 700 | 2000 | 900 | 5 |
| East elevation double-leaf casement window-1 | First floor | 900 | 1500 | 900 | 1 |
| East elevation double-leaf casement window-2 | First floor | 1060 | 1500 | 900 | 1 |
| North elevation single-leaf casement window-1 | First floor | 1300 | 900 | 530 | 1 |
| North elevation single-leaf casement window-2 | First floor | 1500 | 1500 | 900 | 10 |
| North elevation single-leaf casement window-3 | First floor | 900 | 1500 | 1730 | 9 |
| South elevation single-leaf casement window-1 | First floor | 700 | 900 | 530 | 10 |
| South elevation single-leaf casement window-2 | First floor | 1200 | 1500 | 1000 | 2 |
| Window opening | Second floor | 1340 | 400 | 0 | 2 |
| Round fixed window | Second floor | 1200 | 1200 | 900 | 2 |
| South elevation single-leaf casement window-1 | Second floor | 900 | 1500 | 1730 | 6 |
| South elevation single-leaf casement window-2 | Second floor | 980 | 1500 | 1730 | 1 |
| South elevation double-leaf casement window-1 | Second floor | 1200 | 1500 | 1730 | 2 |
| South elevation double-leaf casement window-1 | Second floor | 1500 | 1800 | 1730 | 1 |
| Crack Properties | Causes of Cracks | Occurring Locations | Crack Forms |
|---|---|---|---|
| Shrinkage crack | Own defects | Door and window openings | Horizontal crack |
| Fungal corrosion | Roof trusses | Vertical crack | |
| Natural weathering | Sunny side is shallower | Oblique crack | |
| biological invasion | Shady side is deeper | Intersected crack | |
| Load crack | Local compression | Column under concentrated load | Vertical cracks on the side with higher pressure; Horizontal crack on the other side |
| Eccentric compression | Column subjected to eccentric load | Vertical crack | |
| Shear failure | Beam under horizontal load | Horizontal crack Stepped crack | |
| Metal parts corroded and loose take off | Door window opening Roof truss | Horizontal crack Vertical crack |
| Crack Properties | Causes of Cracks | Occurring Locations | Crack Forms |
|---|---|---|---|
| Shrinkage crack | Cooling and shrinking | Door and window opening Sunny surface is deeper than shallow shade | Oblique crack Horizontal crack Vertical crack Intersected crack |
| Solar thermal expansion | |||
| Material shrinkage | |||
| Load crack | Pressure damage | Middle part of the load-bearing wall and its window | Vertical crack |
| local compression | Walls or columns subject to concentrated loads | Vertical crack on the side with higher pressure; Horizontal crack on the other side | |
| Eccentric compression | Walls or columns subject to eccentric loads | Vertical crack | |
| Shear failure | Walls subject to horizontal loads | Horizontal crack Stepped crack | |
| Settlement crack | Uneven settlement due to damp weather or change of foundation soil | Wall between windows | Horizontal crack |
| Junction of vertical and horizontal walls, bottom windowsill | Vertical crack | ||
| Window corners with large vertical deformation of longitudinal and transverse walls | Orthogonal oblique crack | ||
| Window corners with large deflection of longitudinal and transverse walls | Inverted splayed oblique crack |
| Items for Inspection | Grade A | Grade B | Grade C | Grade D | |
|---|---|---|---|---|---|
| Maximum deflection | Truss or bracket | <250 | ≥250 <200 | ≥200 <120 | ≥120 |
| Main beam | <250 | ≥250 <200 | ≥200 <150 | ≥/3000 or ≥150 | |
| Joist or purline | <250 | ≥250 <150 | ≥150 <120 | ≥/2400 or ≥120 | |
| Rafter | <150 | ≥250 <120 | ≥120 <100 | ≥100 | |
| Vertical height of lateral bending | Columns or other compressive members | <250 | ≥250 <200 | ≥200 <150 | ≥150 |
| Rectangular section timber beam | <250 | ≥250 <200 | ≥200 <150 | ≥150 | |
| Texture or crack | Tension member | None | ρ < 3% | 3% ≤ ρ < 7% | ρ ≥ 7% |
| Bending member | None | ρ < 5% | 5% ≤ ρ < 10% | ρ ≥ 10% | |
| Eccentric compression member | None | ρ < 7% | 7% ≤ ρ < 15% | ρ ≥ 15% | |
| Axial compression member | None | ρ < 10% | 10% ≤ ρ < 20% | ρ ≥ 20% | |
| Surface corrosion | Load-bearing structural members at the top | None | Sc ≤ 3%S | 3%S < Sc ≤ 5%S | Sc > 5%S |
| Column | None | Sc ≤ 5%S | 5%S < Sc ≤ 10%S | Sc > 10%S | |
| Internal corrosion | All members | None | Sc ≤ 3%S | Sc ≤ 5%S | Sc > 10%S |
| Graded renovation strategy | All members | Direct repair | Direct repair | Reinforce before repair | Reinforce before repair |
| Items for Inspection | Member Category | Crack Type | Grade A | Grade B | Grade C | Grade D |
|---|---|---|---|---|---|---|
| Bearing crack | Wall | Insufficient local pressure | None | W < 1.0 | 1.0 ≤ W < 3.0 | W ≥ 3.0 |
| Insufficient bearing capacity | None | W < 1.0 | 1.0 ≤ W < 2.0 | W ≥ 2.0 | ||
| Column | Insufficient bearing capacity | None | W < 0.5 | 0.5 ≤ W < 1.0 | W ≥ 1.0 | |
| Non-bearing crack | Wall | Temperature difference, shrinkage, foundation settlement | None | W < 5.0 | 5.0 ≤ W < 10 | W ≥ 10 |
| Column | None | W < 1.0 | 1.0 ≤ W < 2.0 | W ≥ 2.0 | ||
| Graded renovation strategy | All members | Direct repair | Direct repair | Reinforce before repair | Reinforce before repair | |
Disclaimer/Publisher’s Note: The statements, opinions and data contained in all publications are solely those of the individual author(s) and contributor(s) and not of MDPI and/or the editor(s). MDPI and/or the editor(s) disclaim responsibility for any injury to people or property resulting from any ideas, methods, instructions or products referred to in the content. |
© 2024 by the authors. Licensee MDPI, Basel, Switzerland. This article is an open access article distributed under the terms and conditions of the Creative Commons Attribution (CC BY) license (https://creativecommons.org/licenses/by/4.0/).
Share and Cite
Luo, S.; Wang, H. Digital Twin Research on Masonry–Timber Architectural Heritage Pathology Cracks Using 3D Laser Scanning and Deep Learning Model. Buildings 2024, 14, 1129. https://doi.org/10.3390/buildings14041129
Luo S, Wang H. Digital Twin Research on Masonry–Timber Architectural Heritage Pathology Cracks Using 3D Laser Scanning and Deep Learning Model. Buildings. 2024; 14(4):1129. https://doi.org/10.3390/buildings14041129
Chicago/Turabian StyleLuo, Shengzhong, and Hechi Wang. 2024. "Digital Twin Research on Masonry–Timber Architectural Heritage Pathology Cracks Using 3D Laser Scanning and Deep Learning Model" Buildings 14, no. 4: 1129. https://doi.org/10.3390/buildings14041129
APA StyleLuo, S., & Wang, H. (2024). Digital Twin Research on Masonry–Timber Architectural Heritage Pathology Cracks Using 3D Laser Scanning and Deep Learning Model. Buildings, 14(4), 1129. https://doi.org/10.3390/buildings14041129

