Analytical Solution for the Steady Seepage Field of a Foundation Pit in an Anisotropic Layer
Abstract
1. Introduction
2. Problem Definition
2.1. Analytical Model
2.2. Analytical Solutions
3. Verification of Proposed Solutions
4. Hydraulic Head Analysis
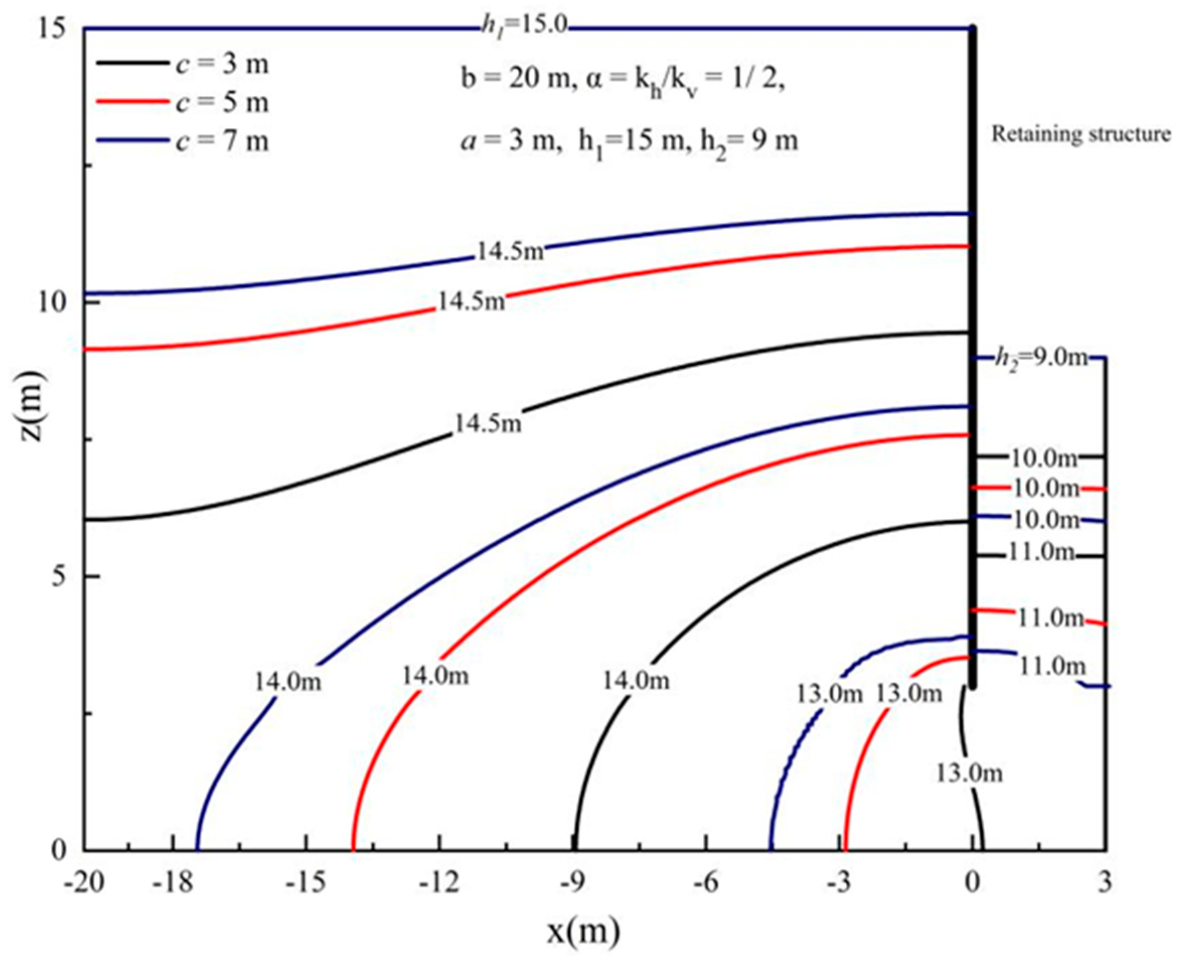
4.1. Effect of the Anisotropic Coefficient
4.2. Effect of the Foundation Pit Width
4.3. Effect of the Distance between the Retaining Wall and the Impervious Layer
5. Exit Gradient Analysis
5.1. Effect of the Anisotropic Coefficient
5.2. Effect of the Foundation Pit Width
5.3. Effects of the Distance between the Retaining Wall and the Impervious Layer
6. Discussion
7. Conclusions
- The hydraulic heads on both sides of the retaining wall for two-dimensional seepage show a curve distribution. With the increase in the anisotropic coefficient and the decrease in the foundation pit width, the hydraulic heads on both sides of the retaining wall increase continuously. With the increase in the distance between the retaining wall and the impervious layer,, the hydraulic heads outside the retaining wall decrease and those inside the retaining wall increase.
- For two-dimensional seepage, the variation trend of the exit gradient, , is greatly affected by the size of the excavation (, c, and a), and with the gradual increase in the number of series terms, the influence rule and the value become more accurate. By comparing the calculation results of the first 5, 15, and 20 terms of the sum of the series, it can be concluded that the requirements for engineering precision can be met when the calculation accuracy is 20 terms.
- The series solution presented in this paper is simple in form and high in precision, and the obtained results can be used to better observe the influence of two-dimensional geometric parameters. This method makes a certain contribution to improving seepage calculations for coastal foundation pits and can be applied to the seepage problem of layered soil.
Author Contributions
Funding
Data Availability Statement
Conflicts of Interest
Appendix A
References
- Tang, Y.Q. Prevention and treatment of deep foundation pit engineering accidents. Constr. Technol. 1997, 26, 4–5. [Google Scholar]
- Barros, P.L.A. A Coulomb-type solution for active earth thrust with seepage. Geotechnique 2006, 56, 159–164. [Google Scholar] [CrossRef]
- Barros, P.L.A.; Santos, P.J. Coefficients of active earth pressure with seepage effect. Can. Geotech. J. 2012, 49, 651–658. [Google Scholar] [CrossRef]
- Lee, K.K.; Leap, D.I. Application of boundary-fitted coordinate transformations to groundwater flow modeling. Transp. Porous Media 1994, 196, 297–309. [Google Scholar] [CrossRef]
- Lee, K.K.; Leap, D.I. Simulation of a free-surface and seepage face using boundary-fitted coordinate system method. J. Hydrol. 1997, 196, 297–309. [Google Scholar] [CrossRef]
- Jiang, X.L.; Zong, J.J. Three-dimensional finite element analysis of seepage fields in foundation pit. Chin. J. Geotech. Eng. 2006, 28, 564–568. [Google Scholar]
- Jie, Y.X.; Jie, G.Z.; Li, G.X. Seepage analysis by boundary-fitted coordinate transformation method. Chin. J. Geotech. Eng. 2004, 26, 53–56. [Google Scholar] [CrossRef]
- Benmebarek, N.; Benmebarek, S.; Kastner, R. Numerical studies of seepage failure of sand within a cofferdam. Comput. Geotech. 2005, 32, 264–273. [Google Scholar] [CrossRef]
- Luo, Z.J.; Zhang, Y.Y.; Wu, Y.X. Finite element numerical simulation of three-dimensional seepage control for deep foundation pit dewatering. J. Hydrodyn. 2008, 20, 596–602. [Google Scholar] [CrossRef]
- Li, H.; Jiao, J. Analytical studies of groundwater-head fluctuation in a coastal confined aquifer overlain by a semi-permeable layer with storage. Adv. Water Resour. 2001, 24, 565–573. [Google Scholar] [CrossRef]
- Liu, Z.Y.; Li, G.X. Computation of water and earth pressures in consideration of seepage. Ind. Constr. 2002, 32, 34–36. [Google Scholar]
- Wang, Z.; Zou, W.L. Earth pressure and water pressure on retaining structure. Rock Soil Mech. 2003, 24, 146–150. [Google Scholar]
- Banerjee, S.; Muleshkov, A. Analytical solution of steady seepage into double-walled cofferdams. J. Eng. Mech. 1992, 118, 525–539. [Google Scholar] [CrossRef]
- Bereslavskii, E.N. The flow of ground waters around a Zhukovskii sheet pile. J. Appl. Math. Mech. 2011, 75, 210–217. [Google Scholar] [CrossRef]
- Ming, H.F.; Wang, M.S.; Tan, Z.S.; Wang, X.Y. Analytical solutions for steady seepage into an underwater circular tunnel. Tunn. Undergr. Space Technol. 2010, 25, 391–396. [Google Scholar]
- Li, P.F.; Wang, F.; Long, Y.Y.; Zhao, X. Investigation of steady water inflow into a subsea grouted tunnel. Tunn. Undergr. Space Technol. 2018, 80, 92–102. [Google Scholar] [CrossRef]
- Hu, Z.; Yang, Z.X.; Wilkinson, S.P. Active Earth Pressure Acting on Retaining Wall considering Anisotropic Seepage Effect. J. Mt. Sci. 2017, 14, 1202–1211. [Google Scholar] [CrossRef]
- Huang, D.; Xie, K.H.; Ying, H.W. Semi-analytical solution for two-dimensional steady seepage around foundation pit in soil layer with anisotropic permeability. J. Zhejiang Univ. 2014, 48, 1802–1808. [Google Scholar]
- Lyu, H.M.; Shen, S.L.; Wu, Y.X.; Zhou, A.N. Calculation of groundwater head distribution with a close barrier during excavation dewatering in confined aquifer. Geosci. Front. 2020, 12, 791–803. [Google Scholar] [CrossRef]
- Zhang, Z.H.; Qin, W.L.; Zhang, Q.X.; Guo, Y.C. Water Control Optimization Method of Foundation Pit with Suspended Waterproof Curtain. J. Northeast. Univ. 2021, 42, 242–251. [Google Scholar]
- Wu, J.; Li, P.F.; Jia, J.L.; Kong, H.; Guo, C.; Guo, F. Analysis of water inflow in circular foundation pit with suspended waterproof curtain in confined aquifer. J. Beijing Jiaotong Univ. 2022, 46, 113–120. [Google Scholar]
- Yu, J.; Zhang, Z.Z.; He, Z.; Li, D.K. Analytical solution of two-dimensional steady-state seepage field in foundation pits in layered soils. J. Railw. Sci. Eng. 2024, 21, 194–203. [Google Scholar]
- Harr, M.E. Groundwater and Seepage; Dover: New York, NY, USA, 2012. [Google Scholar]
- Rafiezadeh, K.; Ataie-Ashtiani, B. Transient free-surface seepage in three-dimensional general anisotropic media by BEM. Eng. Anal. Bound. Elem. 2014, 46, 51–66. [Google Scholar] [CrossRef]
- Yu, J.; Li, D.K.; Hu, Z.W.; Zhen, J.F. Analytical solution of steady seepage field of foundation pit considering thickness of retaining wall. Chin. J. Geotech. Eng. 2023, 45, 1402–1411. [Google Scholar]
- Huang, J.; He, Z.; Yu, J.; Yang, X.-X. Analytical solution for steady seepage around circular cofferdam in soil layer with anisotropic permeability. Rock Soil Mech. 2023, 44, 1035–1043+1088. [Google Scholar]
- Guan, L.X.; Xu, C.J.; Wang, X.P.; Xia, X.Q.; Ke, W.H. Analytical solution of deformation of underlying shield tunnel caused by foundation pit excavation and dewatering. Rock Soil Mech. 2023, 44, 3241–3251. [Google Scholar]









Disclaimer/Publisher’s Note: The statements, opinions and data contained in all publications are solely those of the individual author(s) and contributor(s) and not of MDPI and/or the editor(s). MDPI and/or the editor(s) disclaim responsibility for any injury to people or property resulting from any ideas, methods, instructions or products referred to in the content. |
© 2024 by the authors. Licensee MDPI, Basel, Switzerland. This article is an open access article distributed under the terms and conditions of the Creative Commons Attribution (CC BY) license (https://creativecommons.org/licenses/by/4.0/).
Share and Cite
Zeng, Y.; Yang, X.; Zhang, C.; Yu, J. Analytical Solution for the Steady Seepage Field of a Foundation Pit in an Anisotropic Layer. Buildings 2024, 14, 1055. https://doi.org/10.3390/buildings14041055
Zeng Y, Yang X, Zhang C, Yu J. Analytical Solution for the Steady Seepage Field of a Foundation Pit in an Anisotropic Layer. Buildings. 2024; 14(4):1055. https://doi.org/10.3390/buildings14041055
Chicago/Turabian StyleZeng, Yulin, Xinxin Yang, Chi Zhang, and Jun Yu. 2024. "Analytical Solution for the Steady Seepage Field of a Foundation Pit in an Anisotropic Layer" Buildings 14, no. 4: 1055. https://doi.org/10.3390/buildings14041055
APA StyleZeng, Y., Yang, X., Zhang, C., & Yu, J. (2024). Analytical Solution for the Steady Seepage Field of a Foundation Pit in an Anisotropic Layer. Buildings, 14(4), 1055. https://doi.org/10.3390/buildings14041055
