Research on the Effect of Spray Ventilation Cooling Systems on Human Physiological and Psychological Indexes
Abstract
1. Introduction
2. Methods
2.1. Ventilated Spray Platform
2.2. Location of Measurement Points and Experimental Arrangement
2.3. Experimental Sample
2.4. Experimental Design
2.5. Experimental Procedure
3. Effect of Cooling Systems on Indoor Environment
3.1. Original Environmental Parameters
3.2. Effect of Cooling Systems on Environmental Parameters
4. Effect of Cooling Systems on Physiological Indicators
4.1. Physiological Indicators
4.2. Effect of Cooling Systems on Skin Surface Temperature
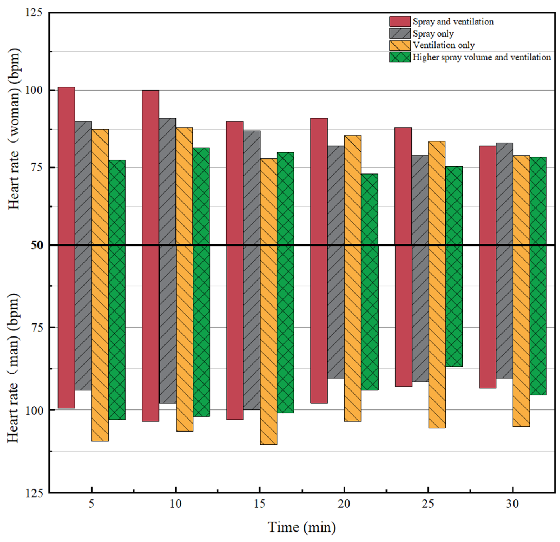
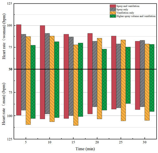
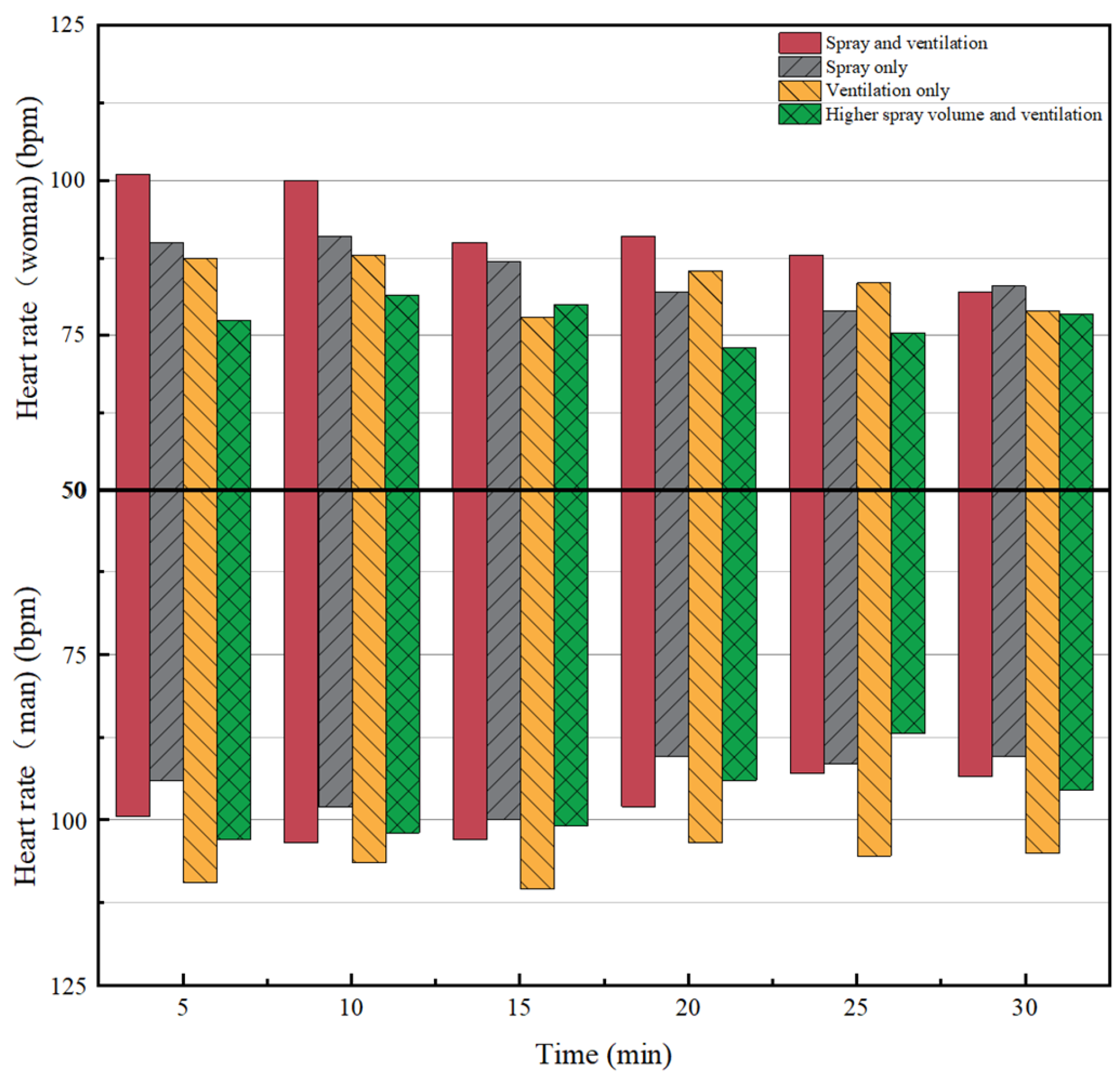
4.3. Effect of Cooling Systems on Heart Rate
4.4. Effect of Cooling Systems on Blood Pressure
5. Effect of Cooling Systems on Psychological Indicators
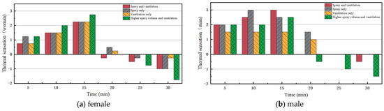
5.1. Effect of Cooling Systems on Individual Thermal Sensation
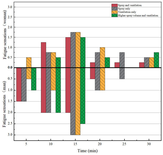
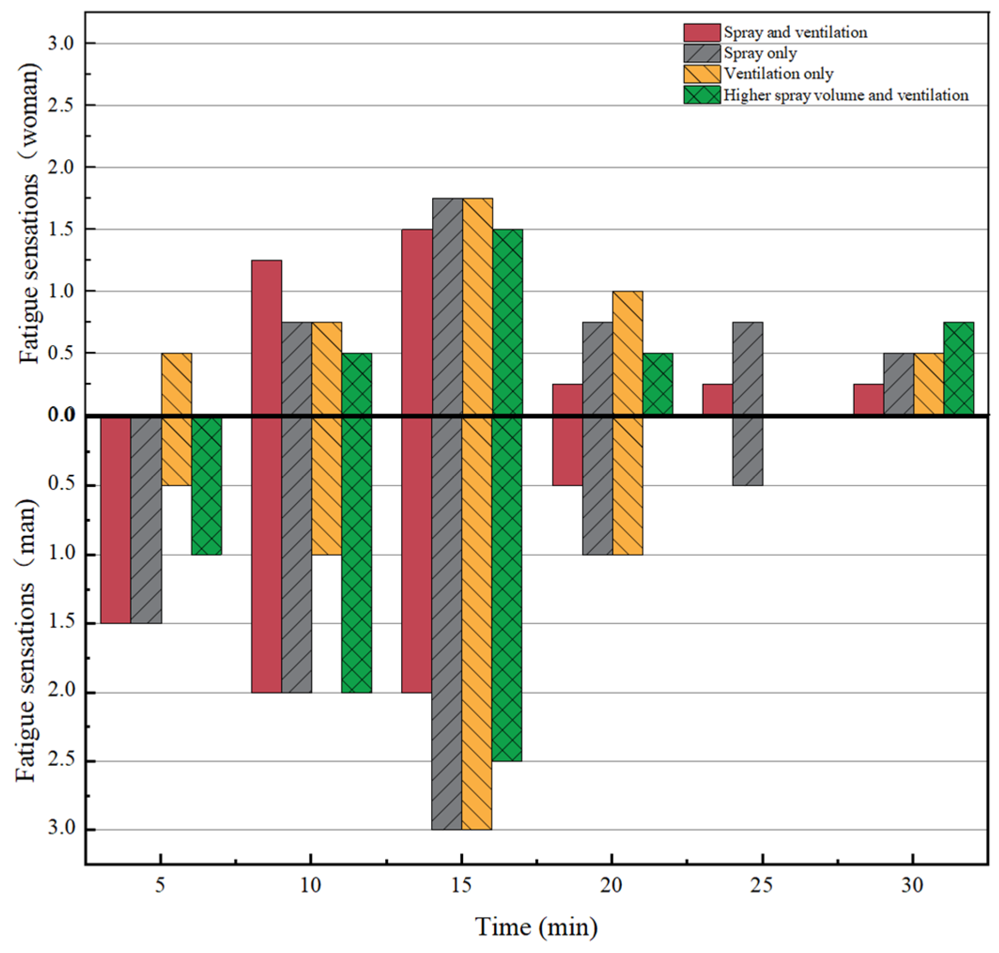
5.2. Effect of Cooling System on Individual Fatigue Sensation Perception
6. Conclusions and Prospects
6.1. Conclusions
- Among the various working conditions of the spray cooling system, the most effective cooling was achieved in the combined mode of spraying and ventilation (conditions I and IV), followed by the spray-only mode (condition II), with the least effective cooling observed in the ventilation-only mode (condition III). Under condition I (20 mL/min spray volume and 1.9 m/s wind speed), use spray ventilation cooling systems resulted in a 5.3 °C reduction in air temperature, a 24.1% increase in average relative humidity, and a 3.3 °C reduction in average Wet-bulb Globe Temperature (WBGT). The cooling effect was increased by 2.3 °C and the average relative humidity was increased by 10.8% compared to spray-only and ventilation-only modes. In addition, when the spray volume is increased by 15 mL/min, the air temperature is reduced by 8.2 °C, the average relative humidity is increased by 31.9%, and the average WBGT is reduced by 5.1 °C.
- In a high-temperature environment, individuals rely on skin evaporation of sweat to facilitate body cooling. The spraying and ventilation mode accelerates the removal of heat generated by sweat evaporation, leading to a more rapid reduction in skin surface temperature.
- Gender differences contribute to variations in body resistance, resulting in different impacts of the spray cooling system on physiological and psychological indicators based on gender in hot environments. The thermal and fatigue sensations of male subjects in the hot environment are slightly higher than those of female subjects, with female subjects showing greater sensitivity to spraying mode than males. Between 25 °C and 30 °C, the test subjects were in a relatively comfortable working state. At around 29 °C, the fatigue was moderate.
6.2. Limitations and Prospects
- The number of subjects selected in the experiment in this paper is small, and the follow-up study should increase the number of samples and expand the capacity of each data to improve the accuracy and reliability of the experimental data and better control the random error in the experimental process.
- The results of this paper show that there are gender differences in the effects of cooling systems on human physiological and psychological indicators. However, the reasons for the differences and the significance of such differences in the real operating environment still need to be further studied.
Author Contributions
Funding
Data Availability Statement
Conflicts of Interest
References
- GB/T 17244-1998; Hot Environments—Estimation of the Heat Stress on Working Man based on the WBGT-Index (Wet-Bulb Globe Temperature). China Standard Press: Beijing, China, 1998.
- Liu, G.; Chen, H.; Yuan, Y.; Song, C. Indoor thermal environment and human health: A systematic review. Renew. Sustain. Energy Rev. 2024, 191, 114164. [Google Scholar] [CrossRef]
- Moran, D.S.; Shitzer, A.; Pandolf, K.B. A physiological strain index to evaluate heat stress. Am. J. Physiol. 1998, 275, 129–134. [Google Scholar] [CrossRef]
- Xu, P.; Xu, Z.; Peng, D. The Influence of Photovoltaic Light and Heat Environment of Ceramic Studio on Making Technology and Human Health. J. Phys. Conf. Ser. 2023, 2562, 012087. [Google Scholar] [CrossRef]
- Zhu, H.; Zhang, C.; Tang, S.; Xing, J. Research on the effect of different physical labor intensity on cardiovascular load index in high temperature environment. China Saf. Prod. Sci. Technol. 2015, 11, 70–76. (In Chinese) [Google Scholar]
- Zheng, G.; Wang, Y.; Li, C.; Wang, X. Real-time quantification of human physiological state in high temperature environments based on variable weight theory. J. Therm. Biol. 2020, 89, 102531. [Google Scholar] [CrossRef]
- Wang, S.; Xu, Z.; Zhang, T. Human thermal comfort for mine environment. J. China Coal Soc. 2010, 35, 97–100. (In Chinese) [Google Scholar]
- Aziiz, A.D.; Koerniawan, M.D.; Kawakami, R.I.S.A.; Hasebe, H.; Rhamadana, V. Thermal Comfort of Workers in Hot-Humid Climate: An Early Consistency Study for Physiology and Psychology Measurements. Adv. Sci. Technol. 2020, 103, 71–81. [Google Scholar]
- Zhang, J.; Yang, S.; Suo, C. Research on effects of high temperature and high humidity environment on miners’ physiology and psychology. China Saf. Sci. J. 2015, 25, 23–28. (In Chinese) [Google Scholar]
- Farnham, C.; Emura, K.; Mizuno, T. Evaluation of cooling effects: Outdoor water mist fan. Build. Res. Inf. 2015, 43, 334–345. [Google Scholar] [CrossRef]
- Yang, X.; He, Z.; Chen, Z. The exploration and practice of summer hot weather spray to improve human comfor. Meteorol. Disaster Prev. 2017, 24, 20–25. [Google Scholar]
- He, Y.; Fu, X.; Xiao, Y.; Zhou, J.; Zhong, X. Discussion on cooling technology for underground railway air conditioning system. HVAC 2008, 3, 46–48. (In Chinese) [Google Scholar]
- Sakoi, T.; Mochida, T.; Kurazumi, Y.; Kuwabara, K.; Horiba, Y.; Sawada, S.I. Heat balance model for a human body in the form of wet bulb globe temperature indices. J. Therm. Biol. 2018, 71, 1–9. [Google Scholar] [CrossRef]
- Liu, C.; Wu, C.; Zhang, F. Modeling and analysis of the outdoor space influenced by spray cooling. J. Xi’an Univ. Archit. Technol. (Nat. Sci. Ed.) 2013, 45, 324–329. [Google Scholar]
- Zhang, S.; Zhu, N.; Lu, S. Responses of human perception and skin temperature to directed thermal radiation in hot environments. Build. Environ. 2021, 197, 107857. [Google Scholar] [CrossRef]
- ASHRAE.ANSI/ASHRAE Standard 55-2017; Thermal Environmental Conditions for Human Occupancy. American Society of Heating, Refrigerating and Air-Conditioning Engineers, Inc.: Atlanta, GA, USA, 2017.
- Périard, J.D.; Wilson, M.G.; Tebeck, S.T.; Gilmore, J.B.; Stanley, J.; Girard, O. Influence of the Thermal Environment on Work Rate and Physiological Strain during a UCI World Tour Multistage Cycling Race. Med. Sci. Sports Exerc. 2022, 55, 32–45. [Google Scholar] [CrossRef]
- Zhao, P.; Zhu, N.; Chong, D.; Hou, Y. Developing a new heat strain evaluation index to classify and predict human thermal risk in hot and humid environments. Sustain. Cities Soc. 2022, 76, 103440. [Google Scholar] [CrossRef]
- Zheng, G.; Li, K.; Bu, W.; Wang, Y. Fuzzy comprehensive evaluation of human physiological state in indoor high temperature environments. Build. Environ. 2019, 150, 108–118. [Google Scholar] [CrossRef]
- Oh, W.; Ooka, R.; Nakano, J.; Kikumoto, H.; Ogawa, O. Evaluation of mist-spraying environment on thermal sensations, thermal environment, and skin temperature under different operation modes. Build. Environ. 2019, 168, 106484. [Google Scholar] [CrossRef]
- Huda, L.N. The thermal environment effect on the comfort of electronic factory worker. In Proceedings of the IOP Conference Series: Earth and Environmental Science, Medan, Indonesia, 11–12 October 2017; Volume 126, p. 012143. [Google Scholar]
- Park, D.Y.; Chang, S. Numerical investigation of thermal comfort and transport of expiratory contaminants in a ventilated office with an air curtain system. Indoor Built Environ. 2018, 28, 1420326X1877023. [Google Scholar] [CrossRef]
- Li, J.; Liu, N. The perception, optimization strategies and prospects of outdoor thermal comfort in China: A review. Build. Environ. 2020, 170, 106614. [Google Scholar] [CrossRef]
- Russell, S.; Jenkins, D.; Smith, M.; Halson, S.; Kelly, V. The application of mental fatigue research to elite team sport performance: New perspectives. J. Sci. Med. Sport 2019, 22, 723–728. [Google Scholar] [CrossRef] [PubMed]
- Xiao, Y.; Gao, Y.; Wang, Y.; Meng, X. Effects of solar radiation on thermal sensation and physical fatigue the human body under heavy-load exercise. Indoor Built Environ. 2022, 31, 7–16. [Google Scholar] [CrossRef]
- Wrighting Group of Chinese Guide lines for the Management of Hypertension (Revision Committee of the Guidelines for the Prevention and Treatment of Hypertension in China). 2018 Chinese guidelines for the management of hyper tension. Prev. Treat. Cardio Cereb. Vasc. Dis. 2019, 19, 1–44. [Google Scholar]









| Instrument Name | Quantity | Model | Instrument Parameters | Test Parameters |
|---|---|---|---|---|
| High-temperature radiant electric heaters | 1 | XLQ-4000 | Power 4000 W Rated frequency 50 HZ Range and accuracy | Heat |
| Multi-function tester | 1 | JT2020 | −20~12/°C; ±0.5/°C 10~90%/RH; ±3/% 0~50/°C; ±0.2/°C | Air temperature relative humidity WBGT |
| Gimbal light wind velocity probe | 1 | Swema03 | Range: 0.05~5/(m·s−1) Accuracy: ±0.04/(m·s−1) | Fan speed |
| Non-contact infrared forehead thermometer | 2 | DT-8806H | Distance 1–15 cm Accuracy ±0.2 °C | Skin temperature |
| Omron electronic sphygmomanometer | 2 | U12 | Range: 0–39.9 kPa accuracy ± 0.4 kPa | Blood pressure heart rate |
| SIYU FAN | 2 | SY01-180 | Rated power: 20 W Rated frequency: 50 HZ | Wind source |
| Gender | Age | Height (H) | Weight (W) | Body Mass Index |
|---|---|---|---|---|
| Male | 21.5 ± 0.58 | 178.5 ± 4.65 | 71.5 ± 6.61 | 22.6 ± 0.31 |
| Female | 21.2 ± 0.5 | 165.0 ± 3.56 | 55.0 ± 5.29 | 20.2 ± 0.42 |
| Condition | Spray Volume/(mL·min−1) | Ventilated |
|---|---|---|
| I (Spray and ventilation) | 20 | yes |
| II (Spray only) | 20 | no |
| III (Ventilation only) | 0 | yes |
| IV (Higher spray volume and ventilation) | 35 | yes |
| Name | Gender | Age | |||||
|---|---|---|---|---|---|---|---|
| Height (cm) | Weight (kg) | ||||||
| Hot sensation | very cold | cold | slightly cold | moderate | slightly hot | hot | very hot |
| Feelings of fatigue sensation | / | / | / | normal state | somewhat fatigued | fatigued | very fatigued |
| Score | −3 | −2 | −1 | 0 | 1 | 2 | 3 |
| Rating Levels | Thermal Sensation |
|---|---|
| −3 | very cold |
| −2 | cold |
| −1 | slightly cold |
| 0 | moderate |
| 1 | slightly hot |
| 2 | hot |
| 3 | very hot |
| Rating Levels | Fatigue Sensation |
|---|---|
| 0 | normal state |
| 1 | somewhat fatigued |
| 2 | fatigued |
| 3 | very fatigued |
| Condition | AT/°C | RH/% | WBGT/°C |
|---|---|---|---|
| I (Spray and ventilation) | 32.8 ± 1.4 | 47.2 ± 5.9 | 28.5 ± 1.1 |
| II (Spray only) | 33.5 ± 1.5 | 47.7 ± 7.8 | 28.4 ± 2.5 |
| III (Ventilation only) | 33.5 ± 0.8 | 43.3 ± 6.9 | 28.8 ± 1.6 |
| IV (Higher spray volume and ventilation) | 34.2 ± 1.0 | 41.0 ± 6.1 | 28.7 ± 1.5 |
| Overall average | 33.5 ± 0.49 | 44.8 ± 2.77 | 28.6 ± 0.15 |
| Condition | Without Cooling | With Cooling | Difference | ||||||
|---|---|---|---|---|---|---|---|---|---|
| AT/°C | RH/% | WBGT/°C | AT/°C | RH/% | WBGT/°C | AT/°C | RH/% | WBGT/°C | |
| I (Spray and ventilation) | 32.8 ± 1.4 | 47.2 ± 5.9 | 28.5 ± 1.1 | 27.4 ± 1.9 | 71.4 ± 6.8 | 25.2 ± 1.0 | −5.3 ± 1.2 | 24.1 ± 6.2 | −3.3 ± 0.9 |
| II (Spray only) | 33.5 ± 1.5 | 47.7 ± 7.8 | 28.4 ± 2.5 | 29.7 ± 2.2 | 61.9 ± 8.4 | 25.9 ± 1.8 | −3.9 ± 2.3 | 14.3 ± 7.5 | −2.5 ± 1.7 |
| III (Ventilation only) | 33.5 ± 0.8 | 43.3 ± 6.9 | 28.8 ± 1.6 | 31.1 ± 0.6 | 43.0 ± 4.2 | 27.3 ± 1.1 | −2.5 ± 0.3 | −0.3 ± 4.3 | −1.4 ± 0.9 |
| IV (Higher spray volume and ventilation) | 34.2 ± 1.0 | 41.0 ± 6.1 | 28.7 ± 1.5 | 26.0 ± 0.6 | 75.8 ± 7.4 | 23.6 ± 2.6 | −8.2 ± 1.6 | 31.9 ± 1.3 | −5.1 ± 1.1 |
| Gender | AST/°C | HR/bpm | SBP/mmHg | DBP/mmHg |
|---|---|---|---|---|
| Male | 33.5 ± 0.7 | 102.0 ± 4.6 | 124.2 ± 4.1 | 87.0 ± 2.5 |
| Female | 32.6 ± 0.5 | 90.5 ± 3.5 | 118.0 ± 3.8 | 69 ± 3.1 |
| Overall average | 33.05 ± 0.45 | 96.25 ± 5.75 | 121.1 ± 3.1 | 78.0 ± 9.0 |
| Condition | AST/°C | HR/bpm | SBP/mmHg | DBP/mmHg | TS | FS |
|---|---|---|---|---|---|---|
| I (Spray and ventilation) | 34.7 ± 0.7 | 99.3 ± 3.8 | 114.3 ± 6.2 | 68.8 ± 4.2 | 2.1 ± 0.7 | 1.4 ± 1.1 |
| II (Spray only) | 34.9 ± 0.6 | 92.8 ± 6.7 | 109.0 ± 6.2 | 67.3 ± 7.7 | 1.9 ± 0.7 | 1.5 ± 0.9 |
| III (Ventilation only) | 34.7 ± 0.6 | 97.8 ± 4.5 | 110.0 ± 7.3 | 71.0 ± 5.8 | 1.25 ± 0.5 | 1.0 ± 0.2 |
| IV (Higher spray volume and ventilation) | 35.0 ± 0.6 | 89.8 ± 12.1 | 111.5 ± 8.7 | 64.5 ± 4.9 | 2.2 ± 0.4 | 1.4 ± 0.9 |
| Overall average | 34.8 ± 0.12 | 94.9 ± 3.81 | 111.2 ± 1.99 | 67.9 ± 2.36 | 1.86 ± 0.36 | 1.32 ± 0.19 |
| Gender | TS | FS |
|---|---|---|
| Male | 0.5 ± 0.58 | 0.0 ± 0 |
| Female | −0.25 ± 0.5 | 0.0 ± 0 |
| Total mean value | 0.125 ± 0.375 | 0.0 ± 0 |
| Condition | Without Cooling | With Cooling | Difference | |||||||||||||||
|---|---|---|---|---|---|---|---|---|---|---|---|---|---|---|---|---|---|---|
| AST/°C | HR/bpm | SBP/mmHg | DBP/mmHg | HS | FS | AST/°C | HR/bpm | SBP/mmHg | DBP/mmHg | HS | FS | AST/°C | HR/bpm | SBP/mmHg | DBP/mmHg | HS | FS | |
| I (Spray and ventilation) | 34.7 ± 0.7 | 99.3 ± 3.8 | 114.3 ± 6.2 | 68.8 ± 4.2 | 2.1 ± 0.7 | 1.4 ± 1.1 | 33.1 ± 0.4 | 91.5 ± 6.5 | 123.2 ± 7.7 | 80.2 ± 5.5 | −0.5 ± 0.4 | 0.8 ± 0.2 | −1.8 ± 0.4 | −7.8 ± 3.3 | 8.9 ± 3.2 | 11.4 ± 4.4 | −2.6 ± 0.7 | −1.3 ± 1.0 |
| II (Spray only) | 34.9 ± 0.6 | 92.8 ± 6.7 | 109.0 ± 6.2 | 67.3 ± 7.7 | 1.9 ± 0.7 | 1.5 ± 0.9 | 33.7 ± 0.7 | 87.5 ± 6.4 | 116.3 ± 9.5 | 71.5 ± 7.1 | 0.3 ± 0.3 | 0.3 ± 0.0 | −1.1 ± 0.6 | −5.3 ± 1.9 | 7.3 ± 3.9 | 4.3 ± 2.6 | −1.7 ± 0.5 | −1.2 ± 0.9 |
| III (Ventilation only) | 34.7 ± 0.6 | 97.8 ± 4.5 | 110.0 ± 7.3 | 71.0 ± 5.8 | 1.25 ± 0.5 | 1.0 ± 0.2 | 33.6 ± 0.4 | 94.3 ± 3.3 | 118.3 ± 8.9 | 79.8 ± 8.9 | 0.3 ± 0.3 | 0.5 ± 0.4 | −1.1 ± 0.7 | −3.5 ± 2.1 | 8.25 ± 5.3 | 8.8 ± 5.1 | −1.0 ± 0.2 | −0.5 ± 0.2 |
| IV (Higher spray volume and ventilation) | 35.0 ± 0.6 | 89.8 ± 12.1 | 111.5 ± 8.7 | 64.5 ± 4.9 | 2.2 ± 0.4 | 1.4 ± 0.9 | 32.6 ± 1.0 | 81.3 ± 9.6 | 114.8 ± 6.7 | 72.3 ± 5.3 | −0.5 ± 1.2 | 0.0 ± 0.0 | −2.4 ± 0.9 | −8.5 ± 3.1 | 3.3 ± 4.5 | 7.8 ± 0.5 | −2.7 ± 1.2 | −1.4 ± 0.9 |
Disclaimer/Publisher’s Note: The statements, opinions and data contained in all publications are solely those of the individual author(s) and contributor(s) and not of MDPI and/or the editor(s). MDPI and/or the editor(s) disclaim responsibility for any injury to people or property resulting from any ideas, methods, instructions or products referred to in the content. |
© 2024 by the authors. Licensee MDPI, Basel, Switzerland. This article is an open access article distributed under the terms and conditions of the Creative Commons Attribution (CC BY) license (https://creativecommons.org/licenses/by/4.0/).
Share and Cite
Cao, Y.; Li, H.; Yang, H.; Meng, X.; Liu, D.; Wang, J.; Zhang, X.; Li, A. Research on the Effect of Spray Ventilation Cooling Systems on Human Physiological and Psychological Indexes. Buildings 2024, 14, 691. https://doi.org/10.3390/buildings14030691
Cao Y, Li H, Yang H, Meng X, Liu D, Wang J, Zhang X, Li A. Research on the Effect of Spray Ventilation Cooling Systems on Human Physiological and Psychological Indexes. Buildings. 2024; 14(3):691. https://doi.org/10.3390/buildings14030691
Chicago/Turabian StyleCao, Yingxue, Haodong Li, Honggang Yang, Xiaojing Meng, Di Liu, Jinxiao Wang, Xin Zhang, and Ao Li. 2024. "Research on the Effect of Spray Ventilation Cooling Systems on Human Physiological and Psychological Indexes" Buildings 14, no. 3: 691. https://doi.org/10.3390/buildings14030691
APA StyleCao, Y., Li, H., Yang, H., Meng, X., Liu, D., Wang, J., Zhang, X., & Li, A. (2024). Research on the Effect of Spray Ventilation Cooling Systems on Human Physiological and Psychological Indexes. Buildings, 14(3), 691. https://doi.org/10.3390/buildings14030691
