Abstract
The persistence of pothole maintenance represents an enduring challenge. Past studies have largely concentrated on the materials and techniques used for remediation, with a lack of attention given to the pothole interface. This paper employed epoxy asphalt rubber (EAR-10) as the repair material, exploring the impact of coupled temperature-dynamic loading on the mechanical response of the interface. Finite element modelling (FEM), adopting the viscoelastic characteristics of EAR-10, was deployed to investigate the mechanical response of the interface under three temperature service conditions high, medium, and low when a dynamic load traversed the pothole. The stress variations in the interface at various inclinations and thicknesses of the repair blocks were also studied. In addition, the comparative analysis of high-temperature rut resistance for powdered rubber composite-modified asphalt and SBS modified asphalt was conducted via the multiple stress examination in terms of its high-temperature resilience, resistance to moisture-induced damage, and fatigue life by employing the asphalt mixture rutting test, low-temperature bending test on small beams, and the water immersion Marshall stability test, respectively. The repair efficacy of EAR-10 was appraised through post-repair water immersion rutting tests and bending tests on composite structural small beams. The results indicated that incorporating coupled temperature-dynamic loading led to a considerable increase in stress, particularly under low-temperature service conditions. An inclination angle of 30 degrees was found to be optimal for the interface. The research methodology presented here is pertinent to guiding the pothole repair in the steel bridge pavement, ensuring the strength and durability of the interface rivals that of newly constructed layers.
1. Introduction
Potholes, the distinctive bowl-shaped holes commonly found in asphalt pavement, generally originate from small cracks under changing environmental conditions and repeated traffic loads [1]. Under fluctuating temperature conditions [2], potholes tend to expand under vehicular loads, resulting in extensive deterioration of asphalt pavements, thereby reducing their serviceability and safety [3].
Epoxy asphalt steel bridge deck pavement (SBDP) is a crucial component of large-span steel bridge [4,5]. However, during the service life of the bridge, the condition of the deck pavement is far from promising, with many pavements exhibiting issues such as rutting, cracking, and potholes shortly after the bridge opens to traffic. These defects severely impact the pavement’s performance. Among these, potholes represent a primary form of damage that impedes the normal use of the asphalt pavement layer [6]. Typically, repairs involve excavation followed by the addition of repair materials. Yet, due to an increase in highway traffic, higher driving speeds, and heavier vehicle axle loads, coupled with rapid heat transfer from the deck slabs, epoxy asphalt pavements are more susceptible to temperature-induced stress [7,8]. Therefore, compared to regular asphalt concrete road surfaces, the forces exerted on potholes in steel bridge deck epoxy asphalt pavement layers are considerably more complex, with the potential risk of secondary damage post-repair due to various factors such as vehicular loads and temperature stress. Most secondary damage occurs at the interface between the pothole and the original pavement layer. If the repair interface isn’t adequately bonded, the combined effect of temperature-load coupling [9] can weaken the integrity between the pothole repair block and the original pavement, resulting in shear and tensile fatigue damage [10,11].
On-site repairs are posited as a potential solution for achieving permanent pothole rectification [12]. However, under the constant imposition of vehicular loads, the repaired areas frequently display cracks and potholes. Field investigations indicate that the repair process for potholes can generally be bifurcated into two scenarios. The first involves the failure of the repair materials, and the second pertains to the failure of the interface between the repair materials and the original pavement layer [13]. Utilizing high-quality repair block materials can circumvent the issue of material failure, however, interface failure is a more complex problem. Once damage is incurred at the repair interface, it can rapidly lead to further deterioration, such as cracking and the emergence of new, larger potholes, thereby escalating maintenance costs [14]. Therefore, failure at the repair interface, leading to subsequent damage, is a primary concern in maintaining pavement potholes. As for asphalt road pothole interfaces, they predominantly endure horizontal tensile stress and vertical shear stress. Conversely, asphalt pavement layers on steel bridge decks, in addition to the stresses produced under vehicular loads, also face stress due to varying temperature conditions [15].
Currently, scholars worldwide have been conducting extensive research to investigate the reasons for secondary damage to road surface pothole repair structures under vehicular load. This research has resulted in the standardization of repair and adhesive materials’ selection and construction techniques, thus increasing the durability of repaired potholes to some extent. Nonetheless, the prevalent use of static design methods for bridge surface paving introduces a discrepancy between the actual and theoretical stresses experienced by the repaired potholes [16]. Hence, accurate simulation of the dynamic response of bridgeway pothole repair structures under moving loads becomes critically important. Scholars have therefore initiated extensive research into the differential impacts of newer and older materials used during pothole repair. The thermal, volumetric, and mechanical properties (indirect tensile strength, tensile and shear strength, and resistance to permanent deformation) of the resulting material were evaluated and compared with conventional road repair materials [17]. In parallel, a three-dimensional finite element thermal model capable of modeling temperature loss during the patch repair process was developed [18]. Recycling CWO as a pothole repair material is an innovative, environmentally friendly, and resource conserving method of pavement maintenance. Cold patch asphalt (CPA), which is used to repair pavement potholes, is prepared from a simple mixture of CWO and diesel as a diluent, and the performance of this CPA was evaluated in the laboratory [19,20] to consider the scheduling of spatially distributed jobs with degradation. Li aimed to investigate the influence of the interface joint shape on the service life of pothole repairs through experimental testing [21]. An interface reinforcement method considering the mechanical response characteristics of SBDP pothole interface was designed and presented, which consisted of an adhesive layer, a non-woven fabric (NWF) layer, and an ultra-thin asphalt overlay (UTAO) [22]. Based on the structure form of the prefabricated rapid maintenance of asphalt pavement, Zhao aimed to determine the most unfavorable loading position in pothole repair [23], which was established by the ANSYS software with the finite element model. The goal of Park was to apply different YOLO models for pothole detection [24]. Other influential works include [25,26]. The majority of existing research primarily focused on the static response of pothole repair structures, with less emphasis on understanding the failure behavior of the interfaces of repaired potholes under moving loads.
In summation, this study examined the mechanical characteristics of the interface of pothole repairs under the effects of temperature-load coupling in the context of steel bridge deck surface repairs. Initially, the dimensions of the steel box girder bridge, the parameters of paving materials, as well as the details of the finite element model were introduced. Subsequently, a comprehensive analysis of the finite element calculation results was performed. Finally, the selection of the pothole repair material, EA-10, was discussed. This was followed by a performance evaluation experiment, which included the execution of an indoor water immersion rut test to determine the material’s water stability and an asphalt mixture bending test to measure its strength.
2. Finite Element Model
2.1. Computational Model
The epoxy asphalt pavement structure of a bridge in Zhoushan was selected for this research [27]. The model of the epoxy asphalt pavement after pothole repair was developed using the finite element software ABAQUS, as depicted in Figure 1. The dimensions of the finite element model (FEM) are provided in Table 1.
Figure 1.
Mesh of FEM pothole SBDP.
Table 1.
Geometry dimension of FEM.
The thermal parameters of pavement materials and the related parameters of thermodynamics were selected based on the calculation parameters discussed in Lu’s [28] research on the temperature field of steel bridge decks, as shown in Table 2. The epoxy asphalt pavement layer is a viscoelastic material, and its elastic modulus is influenced by factors such as temperature and vehicle speed. Considering the influence of unfavorable seasonal temperature on the steel bridge deck pavement, the Zhoushan area has extreme high temperatures in summer and humid low temperatures in winter with a pavement layer temperature generally between 0 °C and 40 °C [29]. Therefore, this study considered three service conditions: low temperature, high temperature, and medium temperature, in order to calculate the mechanical response at the interface of pothole repairs under different service temperatures. The temperature in the middle of the pavement layer was 3 °C, and the temperature on the steel plate surface was 1 °C, indicating that the bridge deck pavement was in a low-temperature service condition. For the high-temperature service condition, the aforementioned temperatures were 45 °C and 41 °C, respectively. For the medium-temperature service condition, the temperatures were 23 °C and 19 °C, respectively. Hence, 0 °C, 20 °C, and 40 °C were selected as representative temperatures, and the dynamic modulus of the pavement material under these temperature conditions was used as a parameter of the FEM. Dynamic loading was applied in this study, and the dynamic load was passed through the pothole repair structure at speeds of 10 km/h, 20 km/h, 40 km/h, and 72 km/h. The relationship between the loading frequency and the driving speed was given by [30] , resulting in loading frequencies of approximately 1 Hz, 2 Hz, 5 Hz, and 10 Hz for the four driving speeds, respectively. The dynamic modulus of elasticity of epoxy asphalt was determined by the dynamic modulus of elasticity test for asphalt mixtures, as shown in Table 3.
Table 2.
Material parameters of pavement and steel bridge deck.
Table 3.
Dynamic elastic parameters of pavement materials.
2.2. Modelling Process
The FEM of pothole SBDP with repair block was created in the software, as presented in Figure 2. A mesh of different components are displayed in Figure 2a. The sparsity of mesh division was related to the accuracy and speed of the model. When conducting the meshing, the model was reasonably meshed according to the vehicle loads received in the structure, and the location of the repaired potholes and the original pavement layer loads were locally meshed and encrypted. The steel deck plate, U-shaped ribs, and transversal rib adopted shell elements because of their small thicknesses. Apart from this, other components used 3D solid elements, and the hexahedral cell C3D8R was used. In the meshing model, the original pavement part size was set as 0.08 m, the steel deck plate, U-shaped ribs, and transversal rib size were set as 0.2 m. Because this paper focused on the interface stress state, the denser mesh was partitioned for this area and the pothole part, with an element size of 0.025 m; the mesh division is shown in Figure 2b.
Figure 2.
Mesh of FEM different components (a) mesh of steel deck plate, transversal rib, and U-shaped ribs (b) the denser mesh of pothole.
2.3. Load Condition
For the model loading, the standard axle load BZZ-100, commonly employed in current asphalt pavement structure designs, was employed. The tire contact pressure was set at 0.7 MPa. To facilitate calculations, the double circular wheel load was equivalently transformed into a square uniform load with the dimensions of 0.189 m × 0.189 m, while the distance between the centers of the vehicle tires was 0.319 m.
To ensure the simulation data closely approximated the real-world scenario, the traveling load was simplified to a vertical load combined with a 30% horizontal impact load. This was achieved using the DLOAD and UTRA-CLOAD subroutines, as demonstrated in Figure 3 for the uniform load moving horizontally, the lighter section in the figure indicated the specific location where the track belt functions. Furthermore, the horizontal load resulting from wheel friction was also taken into consideration.
Figure 3.
Load case in the FEM.
3. Numerical Analysis
The most disadvantageous load scenario for the pavement occurred when the load was applied laterally above the junction of the U-shaped rib and the bridge deck, and longitudinally at the central location between the two cross partitions [31]. Upon investigating the secondary failure mechanism of a specific bridge’s pothole in Zhoushan, it was determined that significant interface horizontal tensile and vertical shear stresses were the primary controlling factors limiting the lifespan of the pothole repair structure. The horizontal tensile stress and vertical shear stress were taken to their maximum values and the stress cloud of the pothole repair block is shown in Figure 4. Thus, this study used this particular loading position as an illustrative case, exploring the response characteristics of tensile and shear stresses at the repair interface under varying service temperatures.
Figure 4.
Stress cloud at repair interface (a) normal stress cloud at repair interface (b) shear stress cloud at repair interface.
3.1. Stress Response Analysis at the Repair Interface for Different Temperature Service States
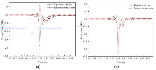
Under low-temperature conditions, the epoxy asphalt pavement on steel bridges exhibited a negative thermal gradient, where surface temperatures were lower than those at the base [32]. Conversely, under medium- and high-temperature conditions, a positive thermal gradient was observed. Consequently, this study used the stress data at the top and the bottom of the pothole repair interface when subjected to a 10 Hz loading frequency, to elucidate the stress response behavior at the pavement repair interface. The curves representing the top normal stress, shear stress, and corresponding bottom stress at the repair interface under the aforementioned loading conditions are consolidated in Figure 5, Figure 6 and Figure 7.
Figure 5.
Repair interface stress at low temperature (a) normal stress of repair interface (b) shear stress of repair interface.
Figure 6.
Repair interface stress at medium temperature (a) normal stress of repair interface (b) shear stress of repair interface.
Figure 7.
Repair interface stress at high temperature (a) normal stress of repair interface (b) shear stress of repair interface.
As depicted in Figure 5, Figure 6 and Figure 7, as the dynamic load neared the repair interface, the normal stress at the interface generally manifested as negative, indicating that the interface was under compressive stress. This compression tended to increase as the load got closer to the interface, a phenomenon attributable to the horizontal stress brought on by the friction between the load and the pavement layer, causing an embedding effect between the old pavement layer and the pothole repair interface. When the moving load was applied to the repair interface, the normal stress curve showed two prominent peaks and troughs, with the highest tensile stress at the base of the repair interface and the maximum compressive stress at the top. Regarding shear stress, when the moving load acted upon the repair interface, the stress changed rapidly from positive to negative, indicating a swift recovery of the vertical shear stress at the interface, which then turned negative, gradually approaching zero as the moving load moved away from the repair block. Consequently, throughout the entire loading process, the repair interface experienced alternating compressive and tensile stress, with the tensile stress being relatively smaller, around half the absolute value of the compressive stress.
As Figure 8 and Figure 9 illustrate, under high and medium temperature operating conditions, the maximum tensile stress at the repair interface was similar and approximately 10% less than the maximum positive stress during low-temperature operation. This finding suggested that operating under low temperatures made the repair interface more prone to secondary damage like tensile fracturing. The shear stress extremes under the three temperature conditions showed negligible difference, leading to the conclusion that changes in temperature conditions had less effect on shear stress at the repair interface compared to the normal stress. Therefore, it can be deduced that under the synergistic conditions of temperature and moving load, the dominant normal stress at the repair interface was compression. This compressive stress enabled better integration between the pothole repair material and the old pavement layer, thereby enhancing the adhesive performance of the repair interface to some extent. It was only the influence of tensile and vertical shear stress that primarily contributed to interface failure.
Figure 8.
Normal stress at the bottom of the repair interface at different service temperatures.
Figure 9.
Shear stress at the top of the repair interface at different service temperatures.
The repair interface can experience two forms of damage: ① under low-temperature service conditions, the interface was subjected to substantial tensile stress and vertical shear stress concurrently, resulting in the formation of cracks at the base that progressively extended upward under the impact of vehicular load; ② under medium- and high-temperature service conditions, when the moving load directly impacted the pothole repair structure, the instantaneous rise in shear stress at the top of the interface, due to the wheel’s rolling, incited shear failure at the interface. This failure then propagated downward, causing more extensive damage.
3.2. Extremes Analysis of Stress at the Repair Interface
The maximum stress values (maximum tensile stress, maximum shear stress) experienced by the epoxy asphalt concrete pavement of steel bridge decks under dynamic loads served as critical considerations in the pothole repair design process. Consequently, it is essential to investigate the pattern of stress extremes at the repair interface under diverse loading conditions. Based on the dynamic modulus experimental structure, detailed data on tensile stress at the bottom and shear stress at the top of the repair interface across three service temperatures and different loading speeds are compiled in Table 4.
Table 4.
Stress at different temperatures and different loading speeds.
For clarity, the data from Table 4 was further consolidated into Figure 10. From Table 4 and Figure 10, it was evident that the loading speed significantly impacted the stress extremes at the repair interface across low-, medium-, and high-temperature service conditions. Under these different temperature service conditions, the extreme values of base tensile stress and top shear stress at the repair interface noticeably decreased as the loading speed changed from 10 km/h to 72 km/h. As the loading speed increased, the degree of reduction in tensile stress extremes gradually diminished. The loading speed of 10 km/h was considerably higher than other loading speeds, which suggested that vehicular loads under low-speed conditions inflicted substantially more damage to the bridge deck pavement pothole repair interface. With identical loading speeds, base tensile stress and top shear stress at the repair interface under low-temperature service conditions exceeded stress values under medium- and high-temperature service conditions. An increase in loading speed resulted in a corresponding decrease in both tensile stress and shear stress, with the reduction in tensile stress extremes more pronounced. On the other hand, a comparison of Figure 10b,c shows that the shift from medium to high temperatures exerted limited influence on shear stress extremes. The extreme values of shear stress at the repair interface were virtually identical under medium- and high-temperature loading conditions. Therefore, under varying loading conditions, when the pothole was under high-temperature service conditions, tensile stress exerted a more significant influence on secondary damage at the repair interface.

Figure 10.
Repair interface stress extremes at different temperature service conditions (a) repair interface stress extremes at low-temperature service conditions (b) repair interface stress extremes at medium-temperature service conditions (c) repair interface stress extremes at high-temperature service conditions.
3.3. Stress Analysis of Repair Interface with Different Inclinations
Guaranteeing the construction quality of repaired potholes stands as essential. The main elements impacting pothole patching include the type and quantity of the tack coat, and the form of the interface joint. As per a prior study, the pivotal influencing factor on the fatigue life of pothole patching was the form of the bonded surface. Consequently, this study selected five different angles, namely 10°, 20°, 30°, 45°, and 0° [33,34] (vertical), to analyze the effect of varying the tilt angle on the mechanical response at the repair interface. Figure 11 displays the extreme values of tensile and shear stress at the repair interface under different tilt angles. It can be inferred that, post-alteration of the repair tilt angle, the extreme tensile stress value was still exhibited at the base of the repair interface, and similarly, the extreme shear stress value was positioned at the top of the repair interface. As the tilt angle escalated from 0° to 45°, both the tensile and shear stress extremes initially depicted a gradual decline, reaching a minimum at 30°. However, an unexpected increase in both tensile and shear stress was observed when the tilt angle further ascended to 45°. This phenomenon was due to the transition of the repair interface from a 0° (vertical) to a 30° (tilted) state, which enhanced the embedding effect between the old pavement layer and the pothole block, leading to higher compressive stress at the repair interface. Nonetheless, when the tilt angle rose to 45°, the extensive contact area between the new and old interfaces resulted in a rebound in tensile and shear stress. Therefore, to minimize the risk of secondary damage in pothole repair, the tilt angle should ideally be approximately 30°.
Figure 11.
Repair interface stress extremes at different inclinations.
As the repair thickness escalated from 30 mm to 55 mm, the extreme tensile stress exhibited a gradual decline from 0.563 MPa to 0.482 MPa, marking a 14.3% reduction. This reduction can be attributed to the fact that an increase in repair thickness can enhance the bonding area between the repair block and the old pavement. With an increase in thickness, the maximum shear stress at the top of the repair interface descended from 0.684 MPa to 0.458 MPa, implying that a larger repair thickness resulted in smaller extreme shear stress at the repair interface. As inferred from Table 5, the pattern of shear stress variation under different repair thicknesses seems similar. At a repair thickness of 30 mm, with the groove angle increasing from 0° to 45°, the maximum shear stress at the top of the repair interface respectively decreased by 9.1%, 8.9%, 8%, and 6.8%; the maximum shear stress at the bottom of the repair interface respectively decreased by 6%, 5.8%, 5.5%, and 4%. The reduction in shear stress with an increasing groove angle, albeit not significant, was present. This reduction can be attributed to the increase in the shear area of the repair interface when a slight angle (≥10°) was added, resulting in an increase in the shear stiffness of the repair structure and a consequent decrease in the shear stress it endured.
Table 5.
Stress extremes at different inclination of repair interface (MPa).
4. Material Development
In this paper, a novel pothole repair material, epoxy asphalt rubber (EAR-10), was developed, leveraging FEM simulations that examined the force state of the repaired pothole interface under the most unfavorable loading conditions. This development guided indoor experiments aiming to identify a new pothole repair material that balanced strength and flexibility, ensuring its mechanical response post-repair mirrors that of the original pavement. A series of experimental investigations were undertaken to bolster the effectiveness of the numerical analysis structure. The primary focus of this study lay in analyzing the influence of asphalt type and dosage on the performance of epoxy asphalt. Moreover, it examined the effect of reaction temperature on the curing characteristics of epoxy asphalt to ascertain the ideal formulation and preparation process for epoxy asphalt.
4.1. Material Selection
Epoxy asphalt is classified as a thermosetting material that cures under high heat to form an irreversible solid. The spatial structure of this material is crucial to its strength formation. Asphalt is dispersed as microparticles in the spatial net-like structure, and upon mixing with thermoplastic asphalt, the asphalt further fills into the net-like space formed by the epoxy resin and curing agent. Due to the limited space within the net-like structure, excessive addition of asphalt inevitably causes some structural chains to break. In other words, when two types of asphalt are mixed, it becomes difficult to form the spatial structure of the epoxy asphalt, which then results in a decrease in the overall performance of the mixed asphalt.
Considering the loss of high-temperature stability of epoxy asphalt due to increased amounts of asphalt, as well as the significant deformation characteristics of steel bridges, asphalt should have good high-temperature performance and tensile strength. In selecting materials for epoxy asphalt, emphasis should be placed on the high-temperature stability and elastic deformation ability of the asphalt raw materials. This paper has therefore chosen to analyze and compare SBS modified asphalt and weight-based, wide-temperature-range powdered rubber compound-modified asphalt.
4.1.1. Multiple Stress Creep Recovery Test
When evaluating the high-temperature performance of modified asphalt based solely on the rutting factor, its correlation with the actual rutting resistance of the road surface is often low. Therefore, the high-temperature rutting resistance of modified asphalt is evaluated based on the multiple stress creep recovery (MSCR) test. The loading pattern of the MSCR test is closer to the actual load situation of asphalt pavement, and it can more realistically simulate the actual load of asphalt pavement. The evaluation indicators proposed by the MSCR test are more highly correlated with the high-temperature performance of modified asphalt pavement. Therefore, the MSCR test was conducted on samples of the two modified asphalts. First, the stress level of 0.1 kPa was loaded for 1 s, unloaded for 9 s, and repeated for 10 cycles. Then, the stress level was increased to 3.2 kPa and the above experimental steps were repeated. In addition, the health monitoring system of this bridge provided data on the environmental temperature of the steel bridge pavement, with an annual average temperature of 18 °C, a historical maximum temperature of 39.1 °C, and a minimum of −6.1 °C. According to a domestic survey on similar bridges, the highest surface temperature of steel bridge pavement was 28 to 31 °C higher than the highest environmental temperature, and the lowest surface temperature was 3 to 4 °C lower than the lowest environmental temperature. The actual working temperature of steel bridge pavement was close to the design temperature (−10 °C to 70 °C), ranging from −10 °C to 69 °C. Therefore, experimental temperatures of 70 °C and 76 °C were selected for the tests.
4.1.2. Experimental Results
Calculations were conducted to ascertain the average non-recoverable compliance Jnr and recovery ratio for both powdered rubber compound-modified asphalt and styrene-butadiene-styrene- (SBS) modified asphalt across the entirety of the loading cycle at two distinct stress levels [35]. The findings are delineated in Table 6.
Table 6.
Results of MSCR experiments on asphalt samples.
Data from Table 6 indicates that at a temperature of 70 °C, under low stress levels (0.1 kPa), the non-recoverable creep compliance of powdered rubber compound-modified asphalt was 18% of that of SBS modified asphalt. Under high stress levels (3.2 kPa), the non-recoverable creep compliance of powdered rubber compound-modified asphalt was 16% of that of SBS modified asphalt. When the temperature was raised to 76 °C, under low stress levels (0.1 kPa), the non-recoverable creep compliance of powdered rubber compound-modified asphalt was 25% of that of SBS modified asphalt. Under high stress levels (3.2 kPa), the non-recoverable creep compliance of powdered rubber compound-modified asphalt was 14% of that of SBS modified asphalt. Compared to SBS modified asphalt, powdered rubber compound-modified asphalt displayed smaller non-recoverable creep compliance, signifying stronger resistance to deformation under high-temperature conditions. This was especially evident under high stress levels (3.2 kPa), where the high-temperature deformation resistance of powdered rubber compound-modified asphalt exhibited a more distinct advantage over SBS modified asphalt.
4.2. Road Performance Evaluation
4.2.1. High Temperature Performance
To evaluate the high-temperature rutting resistance of EAR-10, the established methodology from asphalt mixture rutting tests was employed to analyze the temperature stability of fully cured specimens. Rut specimens were fabricated utilizing the wheel-rolling technique, measuring 0.3 m × 0.3 m × 0.05 m. During the experimentation, a wheel load of 0.7 MPa was exerted.
The experimental trials incorporated an elevated temperature of 70 °C, in addition to the baseline of 60 °C, to conduct the rutting assessment. Table 7 exhibits the comparative outcomes of the rutting tests for EAR-10 and EA-10.
Table 7.
High-temperature rutting test.
An analysis of the data presented in Table 7 revealed that the dynamic stability of the EAR-10 system diminished, reflecting a reduction in high-temperature stability relative to EA-10. Nonetheless, at both 60 °C and 70 °C, the dynamic stability values for both mixtures exceeded 14,000 times/mm, thus satisfying the road performance threshold of 10,000 times/mm.
4.2.2. The Cracking Resistance of Asphalt Mixture at Low Temperature
The resistance to low-temperature cracking constitutes an integral part of assessing the thermal stability of asphalt mixtures. Results from the bending experiments with small beams for the epoxy asphalt mixture are delineated in Table 8.
Table 8.
The bending experiments with small beams for the epoxy asphalt mixture.
With the temperature elevation from −10 °C to 15 °C, a certain degree of softening was observed in the EAR-10, indicative of the transition from elastic to plastic states, characteristic of the temperature sensitivity of asphalt. This was characterized by decreased strength and improved deformation resistance. Consequently, the bending properties of EAR-10 at 15 °C exhibited a 42.6% reduction in flexural tensile strength, an almost 2.7-fold increase in failure strain, and a near 84.5% decrease in stiffness modulus when juxtaposed with performance at −10 °C. Additionally, comparing the outcomes for EAR-10 and EA-10 in Table 8 revealed the former’s superior flexural tensile strength and a markedly greater failure strain, with a pronounced increase as the temperature ascended.
4.2.3. Water Stability
The epoxy asphalt mixtures applied on SBDP necessitate enhanced water stability to mitigate the detrimental impact of rainwater penetration on the adhesive bond between the binder and the steel substrate. To address this exigency, the current study utilized specimens compacted via the Marshall method and assessed the mechanical properties following immersion in water. The experimental specimens and procedures are illustrated in Figure 12.
Figure 12.
Water stability specimens and experiments.
The data from the water-immersed Marshall tests are presented in Table 9. The EAR-10 specimens, compacted via the Marshall method, displayed satisfactory density appropriate for waterproofed pavement applications, including steel bridge surfaces. After 48 h of water immersion, a nominal reduction in stability relative to the standard Marshall test outcomes was observed, however, the specimens still maintained robust strength attributes, with the Marshall stability nearing 90%. This finding substantiated the excellent water stability of EAR-10.
Table 9.
The immersion Marshall test.
4.3. Repair Performance Evaluation
4.3.1. Water Stability Evaluation
Regarding the stability performance test for EAR-10, the specimen was first kept in the air at 60 °C for a period of 6 h, and then subjected to a rut test in a water bath at 60 °C. Table 10 presents the results of the rut test after repair of the pavement structure under water immersion conditions.
Table 10.
Results of water-soaked rutting tests on repaired pavement structures.
All four types of pavement repair structures had good rutting resistance under submerged conditions, and the dynamic stability ratios obtained under submerged and non-submerged conditions were greater than 95%. In addition, the epoxy resin material had excellent mechanical properties and good adhesion to the interface and the spalling amount of each plate specimen under the submerged condition was small.
4.3.2. Evaluation of Strength Characteristics
The flexural test for the composite structure after repair was carried out according to the “asphalt mixture bending test” (T 0715-2011) method stipulated in the “test procedure for asphalt and asphalt mixtures in highway engineering” (JTG E20-2011). The test temperature adopted was 15 °C, and the loading rate was set at 50 mm/min. The results of the small beam flexural test on the repaired composite structure are presented in Table 11.
Table 11.
Bending test results of composite small beam after repair (15 °C).
5. Conclusions
This study proposed a temperature-load coupling interface mechanics research method for pothole repair of steel bridge deck pavement. Changes in mechanical responses were investigated through numerical simulation, and the road performance of pothole repair materials was evaluated through laboratory tests. The conclusions are summarized as follows:
- (1)
- In order to address the threats posed by environmental exposure, temperature variations, and large changes in vehicle load and speed, a method for analyzing the mechanical responses of epoxy asphalt pothole repair interfaces on steel bridge decks under the combined effects of temperature and vehicle load was proposed. It was found that the horizontal tensile stress and vertical shear stress at the repair interface under low-temperature service conditions were both higher than those under high- and medium-temperature service conditions.
- (2)
- Vehicle speed significantly affected the stress peak values of the pothole repair structures under the three service conditions. The horizontal tensile and vertical shear stress peak values at the repair interface caused by low-speed vehicle movement (10 km/h) were significantly higher than those under other normal driving conditions (20 km/h, 40 km/h, 72 km/h). Simultaneously, the horizontal tensile stress value at the repair interface under vehicle load was higher than the vertical shear stress.
- (3)
- In addition to numerical simulation of the traditional pothole repair structure of the steel bridge deck pavement, finite element simulation was also performed on pothole repair blocks with different repair interface inclinations and thicknesses. The numerical simulation results showed that the stress condition in the pothole repair of the steel bridge deck pavement was alleviated to a certain extent when the repair block inclination angle was around 30° and the thickness was as large as possible.
- (4)
- The results derived from the multiple stress creep recovery (MSCR) testing revealed that powdered rubber composite-modified asphalt outperformed SBS modified asphalt in terms of resistance to high-temperature deformation. The introduction of powdered rubber was found to significantly bolster the elastic deformation capabilities of the asphalt mix. Hence, the powdered rubber composite-modified asphalt demonstrated enhanced performance under high temperatures, fulfilling the stringent strength requisites for pothole repair materials exposed to elevated thermal conditions. High-temperature rutting test outcomes indicated a modest decline in the thermal stability of EAR-10, yet it remained compliant with the prescribed pavement performance criteria. The bending experiments employing small epoxy asphalt mixture beams illustrated a pronounced improvement in the flexural tensile strength and failure strain for EAR-10 in comparison to EA-10. Immersion Marshall test results suggested that EAR-10, when applied to steel bridge decks, exhibited commendable water stability performance despite a marginal reduction in its overall stability. Furthermore, evaluations from water-soaked rutting tests on mended pavement structures, along with bending tests of post-repair composite small beams, confirmed that EAR-10 retained favorable water stability and structural integrity post-repair.
To avoid secondary damage to the repaired potholes on the side of the old asphalt concrete, when repairing asphalt road potholes, materials with modulus similar or slightly larger than the original road materials should be selected as much as possible. This will allow materials on both sides of the interface to bear similar loads, achieving better overall repair results and extending the service life of the repaired potholes.
Author Contributions
Conceptualization, K.L. and X.Z.; methodology, Y.Z.; software, K.L.; validation, X.Z. and K.L.; formal analysis, K.L.; investigation, K.L.; resources, X.Z.; data curation, K.L.; writing—original draft preparation, K.L. and X.Z.; writing—review and editing, K.L. and Y.Z.; visualization, Y.Z.; supervision, Y.Z. All authors have read and agreed to the published version of the manuscript.
Funding
This research received no external funding.
Data Availability Statement
The data presented in this study are available on request from the corresponding author. The data are not publicly available due to confidentiality agreement signed with the data provider.
Conflicts of Interest
The authors declare no conflicts of interest.
References
- Li, J.S.; Liu, J.F.; Zhang, W.B.; Liu, G.L.; Dai, L.C. Investigation of thermal asphalt mastic and mixture to repair potholes. Constr. Build. Mater. 2019, 201, 286–294. [Google Scholar] [CrossRef]
- Liu, M.M.; Han, S.; Han, X.; Qi, X.; Dong, S.H. Microcapsule and polymer reinforcement techniques developed asphalt for use of pothole repairs in winter and rainy seasons. Cold Reg. Sci. Technol. 2019, 167, 102865. [Google Scholar] [CrossRef]
- Liu, Y.J.; Shen, Z.L.; Liu, J.; Chen, S.; Wang, J.P.; Wang, X.L. Advances in the application and research of steel bridge deck pavement. Structures 2022, 45, 1156–1174. [Google Scholar] [CrossRef]
- Han, Y.J.; Zhang, Z.; Tian, J.H.; Ni, F.J.; Gu, X.Y. Long-Term In Situ Performance Evaluation of Epoxy Asphalt Concrete for Long-Span Steel Bridge Deck Pavement. Coatings 2023, 13, 545. [Google Scholar] [CrossRef]
- Shunxian, Z.; Wen, N.; Aimin, S.; Weixiong, L.; Wei, J. Ductile-Brittle Transition Temperature of Epoxy Asphalt Concrete of Steel Bridge Deck Pavement Based on Impact Toughness. Adv. Mater. Sci. Eng. 2023, 2023, 46915291529. [Google Scholar] [CrossRef]
- Chen, L.; Li, J.; Chen, D.; Qian, Z. Investigation on patching failure of steel bridge deck pavement on the mesoscopic scale. Constr. Build. Mater. 2023, 373, 130851. [Google Scholar] [CrossRef]
- Lu, Y.-Q.; Chen, Y.-Y.; Sun, Z.-Q. Effective measures to lower the temperature for steel bridge deck pavement. J. Harbin Inst. Technol. 2009, 41, 115–119. [Google Scholar]
- Lu, Y.-Q.; Chen, Y.-Y.; Sun, Z.-Q.; Zhang, X.-N. Characteristics of Temperature Field Distribution of Steel Bridge Deck Pavement. J. South China Univ. Technol. 2009, 37, 116–121. [Google Scholar]
- Geng, W.; Ren, H.; Hu, B.; Qian, Z.; Zhao, C. Analysis of temperature-load coupling effect of deck pavement structure of steel-concrete composite girder bridge in alpine and intensive ultraviolet region. Eng. J. Wuhan Univ. 2023, 56, 557–566. [Google Scholar] [CrossRef]
- Guo, K.; Liang, J.W.; Han, X.; Pu, G.N.; IOP. Numerical simulation of double deck pavement for long-span cable-stayed bridge. In Proceedings of the 2nd Global Conference on Ecological Environment and Civil Engineering (GCEECE), Electr Network, Guangzhou, China, 7–9 August 2020. [Google Scholar]
- Chen, L.L.; Qian, Z.D.; Chen, D.X.; Wei, Y. Feasibility Evaluation of a Long-Life Asphalt Pavement for Steel Bridge Deck. Adv. Civ. Eng. 2020, 2020, 5890945. [Google Scholar] [CrossRef]
- Chen, L.; Pan, S.; Qian, Z.; Liu, G. Quantifiable field performance evaluation technique of asphalt pavement pothole patching. J. Southeast Univ., Nat. Sci. Ed. 2018, 48, 1088–1093. [Google Scholar] [CrossRef]
- Zhang, J.; Zhang, X.; Wang, W. Review of Studies on Asphalt Pavement Fatigue Damage Theory. J. Highw. Transp. Res. Dev. 2020, 37, 1–11. [Google Scholar]
- Liu, L.; Zhang, M. Mechanical Response of Steel Bridge Deck Pavement on Urban Expressway in Extreme Weather in Winter. J. Highw. Transp. Res. Dev. 2021, 38, 44–49. [Google Scholar]
- Zhang, Q.; Da, L.; Li, M.; Lao, W.; Cui, C. Fatigue-resistant design method of steel bridge deck based on multi-modes failure damage compatibility. China Civ. Eng. J. 2022, 55, 80–93. [Google Scholar]
- Han, J.P.; Luo, Y.P. Static and Dynamic Finite Element Model Updating of a Rigid Frame-Continuous Girders Bridge Based on Response Surface Method. In Proceedings of the 1st International Conference on Advances in Civil Infrastructure Engineering (ICACIE 2012), Changsha, China, 15–16 September 2012; pp. 992–997. [Google Scholar]
- Obaidi, H.; Gomez-Meijide, B.; Garcia, A. On-site manufacture of hot mix asphalt using pellets that can be melted by induction energy. Powder Technol. 2019, 344, 58–67. [Google Scholar] [CrossRef]
- Byzyka, J.; Chamberlain, D.A.; Rahman, M. Development of advanced temperature distribution model in hot-mix asphalt patch repair. Proc. Inst. Civ. Eng.-Transp. 2019, 172, 199–209. [Google Scholar] [CrossRef]
- Geng, L.T.; Xu, Q.; Yu, X.X.; Jiang, C.L.; Zhang, Z.; Li, C.Z. Laboratory performance evaluation of a cold patching asphalt material containing cooking waste oil. Constr. Build. Mater. 2020, 246, 117637. [Google Scholar] [CrossRef]
- Aarabi, F.; Batta, R. Scheduling spatially distributed jobs with degradation: Application to pothole repair. Socio-Econ. Plan. Sci. 2020, 72, 100904. [Google Scholar] [CrossRef]
- Li, L.Y.; Huang, Y.Q.; Shao, Z.T.; Ren, D.Y. An Experimental Investigation on the Repairing Performance and Fatigue Life of Asphalt Pavement Potholes With an Inclined Interface Joint. Front. Mater. 2021, 7, 445. [Google Scholar] [CrossRef]
- Chen, L.L.; Liu, G.; Zhang, X.R.; Pan, G.S. An innovative interface reinforcement method for steel bridge deck pavement pothole repair. Constr. Build. Mater. 2021, 298, 123838. [Google Scholar] [CrossRef]
- Zhao, F.; Tang, Y.; Wu, J.; Huang, Z.; Gao, M.; Long, Y. Mechanical Characteristics of Asphalt Pavement Pothole Maintenance. J. Eng. 2021, 2021, 6653711–6653786. [Google Scholar] [CrossRef]
- Park, S.S.; Tran, V.; Lee, D.E. Application of Various YOLO Models for Computer Vision-Based Real-Time Pothole Detection. Appl. Sci. 2021, 11, 11229. [Google Scholar] [CrossRef]
- Ma, H.; Chang, W.; Wang, Y.; Yan, D.; Dong, X.; Fang, H. Method for calculating pothole lag storage amount of natural sub-watershed surface, involves calculating water-impermeable rate of research watershed by GIS software, and calculating surface pothole lag storage amount of sub-watershed [P]. CN110766223-A; CN110766223-B. 2023.08.10
- Du, Y.; Zhou, Z.F.; Wu, Q.Q.; Huang, H.M.; Xu, M.M.; Cao, J.Z.; Hu, G.L. A Pothole Detection Method Based On 3D Point Cloud Segmentation. In Proceedings of the 12th International Conference on Digital Image Processing (ICDIP), Electr Network, Osaka, Japan, 19–22 May 2020. [Google Scholar]
- Lu, Q.; Bors, J. Alternate uses of epoxy asphalt on bridge decks and roadways. Constr. Build. Mater. 2015, 78, 18–25. [Google Scholar] [CrossRef]
- Lu, Y.; Meng, Y.; Zhang, X. Analysis of nonlinear transient temperature field of bridge deck pavement. J. China Foreign Highw. 2006, 06, 25–28. [Google Scholar]
- Li, Y. Characterization of air temperature and precipitation in Zhoushan City in the past 62 years. J. Zhejiang Meteorol. 2016, 37, 5–10. [Google Scholar] [CrossRef]
- Huailei, C.; Liping, L.; Lijun, S. Field measurements of dynamic strain responses of asphalt pavement on steel deck bridge. China Civ. Eng. J. 2019, 52, 100–109. [Google Scholar]
- Liu, Y. Study on Coupled Dynamic Behavior of Temperature and Load of Steel Bridge Deck Pavement in Chongqing Area. Master’s Thesis, Chongqing Jiaotong University, Chongqing, China, 2020. [Google Scholar] [CrossRef]
- Wenpeng, L.; Yongli, X.; Jisen, Z. Mechanical Properties of Asphalt Pavement Pothole Repair Interface under Dynamic Load and Temperature Field. Sci. Technol. Eng. 2023, 23, 3466–3473. [Google Scholar]
- Danyan, Y.; Siping, L.; Qian, Z.; Yiheng, X. Finite element analysis and optimization of grooving angle for asphalt pavement pothole repair. Highway 2020, 65, 84–90. [Google Scholar]
- Yun, H.; Yuanshuai, D.; Yanhong, Z.; Jialei, T. Research on the Pothole Repair Method of Asphalt Pavement base on the Interface Mechanical Response. Highway 2020, 65, 294–299. [Google Scholar]
- Huaicun, G. Determination of the properties of rubber -SBS composite modified asphalt by multiple stress creep recovery test(MSCR). China Build. Mater. Sci. Technol. 2018, 27, 29–31. [Google Scholar]
Disclaimer/Publisher’s Note: The statements, opinions and data contained in all publications are solely those of the individual author(s) and contributor(s) and not of MDPI and/or the editor(s). MDPI and/or the editor(s) disclaim responsibility for any injury to people or property resulting from any ideas, methods, instructions or products referred to in the content. |
© 2024 by the authors. Licensee MDPI, Basel, Switzerland. This article is an open access article distributed under the terms and conditions of the Creative Commons Attribution (CC BY) license (https://creativecommons.org/licenses/by/4.0/).