Abstract
A short tribute to pioneers in the development of the plastic design of metal thin-walled cross-sections is presented. This large study investigates altogether fourteen steel and four extruded aluminum cross-sections in detail. Six groups of the cross-sections with various shapes consist of four I-shaped doubly symmetric sections with or without lips; three monosymmetric sections with an axis of symmetry z including T- and diamond sections; four monosymmetric channels with or without lips; two point-symmetric Z-sections; and four asymmetric sections. The four extruded aluminum cross-sections are an I 200a section, a diamond section, and closed oblique and irregular sections. For all 18 cross-sections, the plastic section moduli of three kinds were calculated, namely Wpl,y,nB and Wpl,z,nB for bimoment not considered as a constraint; Wpl,y, Wpl,z, and Wpl,w for bimoment considered as a restraint; and maximum values Wpl,y,max, Wpl,z,max, and Wpl,w,max. The values of cross-section plastic resistances Npl, Mpl,y,Rd, Mpl,z,Rd, and Bpl are calculated in numerical examples too. The values of cross-section properties are calculated in different ways to verify the correctness of the results. The following methods of calculation are used: the rules given in Eurocode EN 1993-1-1:2022; MathCad programs; and freeware. Recommendations for educational institutes and designers in practice are given, including simple formulae for all cross-sectional properties for doubly and monosymmetric I-shaped sections, channels, and Z-sections. The formulae are presented in three tables containing formulae in dimensionless form convenient for parametrical studies and formulae for direct design. The background of the Eurocode rules given in EN 1993-1-1:2022 is explained together with recommendations for how to avoid the problems with using them.
1. Introduction
The very beginning of “Plastic Design” is connected to the following names: Gábor von Kazinczy (1889–1964) [], Nicolaas Christiaan Kist (1867–1941), Hermann Maier-Leibnitz (1885–1962) [,,], Hans Heinrich Bleich (1909–1985) [], John Fleetwood Baker (1901–1985) [], and many others.
A considerable amount of research has been conducted on the ultimate resistance of metal structures from 1930. Many old but very important and practically unknown publications of Russian and Ukrainian authors in the Russian language are referred to in []. The theoretical and experimental results for both steel I profiles and channels performed by the Ukrainian lady Streľbickaja are extremely important []. Her results replaced the incorrect formula in the several drafts of Eurocode of the second generation prEN 1993-1-1 during its preparation.
Several investigators (Figure 1) have applied plastic analysis to civil engineering structures. The ability of structural steel to deform plastically allows us to solve indeterminate structures in such a way that the reserve strength of its less heavily stressed portions can be fully utilized. The use of plastic analysis enables us to determine the true load-carrying capacity of structures. Plastic design is relatively simple. Most of the time-consuming solutions of equations necessary for an elastic analysis are eliminated. The sinking of supports, differences in the flexibility of connections, residual stresses, etc., that affect the elastic limit resistance of a structure have little or no effect upon the maximum plastic resistance. Plastic design leads to substantial savings and the more economic and efficient use of steel, as well as savings in the designer’s time. Plastic design will not replace all other verifications, such as fatigue, instability, and limiting deflection. In building designs, this is usually not the case. Plastic design has applications in continuous beams, industrial frames, and tier buildings.
Figure 1.
Pioneers in plastic design development. From the left: Gábor von Kazinczy [], Nicolaas Christiaan Kist, Hermann Maier-Leibnitz [], Hans Heinrich Bleich, John Fleetwood Baker.
Important theoretical results relating to the plastic resistance of thin-walled cross-sections under a combination of internal forces were achieved by Kindmann [,], Osterrieder [], and Vayas [,].
The novelty of this paper consists of the fact that the following are presented for the first time ever:
- (a)
- The plastic resistance of thin-walled cross-sections of arbitrary shapes, namely open, quasi-closed, and closed, under any combination of eight internal forces, NEd, My,Ed, Vz,Ed, Mz,Ed, Vy,Ed, BEd, Tw,Ed, Tt,Ed is investigated; the relevant freeware may be found here https://antonioagueroramonllin.blogs.upv.es/ (accessed on 15 November 2024).
- (b)
- The importance, calculation, and application of three types of plastic section moduli are studied, namely Wpl,nB validity when bimoment BEd is not considered as a constraint, Wpl validity when bimoment BEd is considered as a constraint, and Wpl,max. This was shown for all three plastic section moduli as follows: Wpl,y (bending about axis y-y), Wpl,z (bending about axis z-z), and Wpl,w (torsion about axis x), as well as for 14 different shapes of cross-sections. The mutual relationship of different plastic section moduli was explained on open, quasi-open, and closed thin-walled cross-sections with two axes of symmetry, one axis of symmetry, being point-symmetric, and cross-sections without an axis of symmetry.
- (c)
- All non-dimensionless properties of a monosymmetric I-section, channel, and Z-section, including all kinds of plastic section moduli which cannot be found in static tables and are not calculated by commercial programs, are determined. Non-dimensional properties are very convenient for parametrical studies and the optimalization of cross-sections.
- (d)
- Formulae for channel profiles in the plastic state loaded by a combination of My,Ed with positive bimoment BEd and My,Ed with negative bimoment BEd are used and are convenient for standards.
- (e)
- The influence of bilinear stress–strain diagrams without and with strengthening for both aluminum and steel I-shaped profiles is determined.
- (f)
- Problems in the second generation of Eurocode EN 1993-1-1:2022 and their solution by authors of the paper are provided.
- (g)
- Formulae of MathCad calculations which were removed from prEN 1993-1-3:2024 are included, this time also including an oblique hollow section. They are the result of Torsten Höglund, the main author of EN 1999-1-1:2023.
All numerical results were verified by different ways of calculation, also by using the computer programs of other authors.
The formulae for the plastic design of thin-walled members may be found in the modern standards EN 1993 and EN 1999—Eurocodes of the second generation and in the Slovak National Annex [] and EN 1993-1-1:2022 [].
2. Plastic Design in Metal Eurocodes EN 1993-1-1:2022 [] and EN 1999-1-1:2023 []
2.1. Advantages of Plastic Analysis and Assumptions for Plastic Analysis Applications
The calculation of metal (steel and aluminum) structures according to the theory of plasticity has several advantages, of which at least the four most important ones should be mentioned. It performs the following:
- (a)
- It fully expresses the actual behavior of the structures;
- (b)
- It allows for the attainment of the same safety for a structure and its elements;
- (c)
- It often simplifies the analysis of current structures;
- (d)
- It is a source of substantial material and cost economies;
- (e)
- It provides a summary of important assumptions for the use of plastic design;
- (f)
- Steel and aluminum are regarded as an ideal elastoplastic material, the behavior of which is described by the idealized stress–strain diagram with sufficient accuracy (see Figure 2);
- (g)
- The material behaves identically in tension and simple compression;
- (h)
- The plastic resistance of the structural member at the cross-sections with a non-uniform distribution of longitudinal strains is exhausted due to the formation of plastic hinges, which are not capable of resisting any further increase in load;
- (i)
- The deformations of structures up to the limit of the plastic load-bearing capacity are so small that equilibrium of forces can be investigated for an undeformed structure. The expressions for virtual work can also be formulated with the assumption of small deformations;
- (j)
- The longitudinal strains of the cross-sections are distributed linearly in the cross-section elements. Vlasov’s hypothesis about the non-deforming shape of the cross-section is adopted;
- (k)
- For a complex state of stress, Huber–Mises–Hencky’s condition is usually applied as a condition of plasticity;
- (l)
- When the plastic load-bearing capacity or the deflections of statically indeterminate structures are being determined, it is assumed that the plastic strains are concentrated at the most highly stressed cross-sections—the plastic hinges. After the hinge mechanism has been formed, the curvature of elements between the hinges is supposed to remain unchanged;
- (m)
- Random imperfections are not taken into account;
- (n)
- Failure due to local and global instability of members is prevented by structural measures;
- (o)
- The structural connections are rigid to the extent that they are capable of transferring the redistributed effects.
The clauses of Eurocodes EN 1993-1-1:2022 [] and EN 1999-1-1:2023 [] regulating the exploitation of the plastic characteristics of steel and aluminum shall be respected, in addition to the above enumerated fundamental assumptions. In this paper, the properties of cross-sections which are not Class 1 or 2 are calculated to show the ability of the used software to investigate any complex shape of cross-sections.
Figure 2.
Assumptions for plastic steel behavior:, [].
2.2. EN 1993-1-1:2022 []
This Eurocode defines the following minimum ductility requirements for a plastic global analysis of steel structures:
- (a)
- The ratio of ultimate tensile strength to yield strength is ;
- (b)
- The elongation at failure is not less than .
NOTE: symbol εu was used in EN 1993-1-1:2005 [] for something else; the ultimate strain εu corresponds to the ultimate strength fu.
Steels conforming to one of the grades up to and including S700 listed in Table 5.1 and Table 5.2 in [] may be assumed to satisfy the minimum ductility requirements for plastic global analysis. Plastic global analysis allows for the effects of material non-linearity in calculating the action effects of a structural system. The behavior should be modeled by either of the following two methods: (a) the plastic hinge method or (b) the plastic zone method. Plastic global analysis may be used if sufficient lateral restraint is provided in the vicinity of sections where a plastic hinge or a plastic zone can develop under the design loads.
For the determination of its plastic resistance, a cross-section should be classified according to one of the two following classes: (a) Class 1 cross-sections are those which can form a plastic hinge with the rotation capacity required from plastic global analysis without a reduction in the resistance; (b) Class 2 cross-sections are those which can develop their plastic bending moment resistance but have limited rotation capacity because of local buckling. The maximum width-to-thickness ratios for Class 1 and 2 compression parts should be obtained from Table 7.3 to Table 7.5 []. Cross-section requirements for plastic global analysis are given in clause 7.6 [].
2.3. EN 1999-1-1:2023 []
The characteristic values for the heat-affected zone (0.2% proof strength, fo,haz, and ultimate tensile strength, fu,haz), reduction factors ρo,haz and ρu,haz (see 8.1.6), buckling classes A, B, and C (used in 8.1.4 and 8.3.1), and exponent, np, in the Ramberg–Osgood formula for plastic resistance should be taken from Tables 5.3 to 5.7 [].
Plastic global analysis may be used only where the structure has sufficient rotation capacity at the actual location of the plastic hinge, whether this is in the members or in the joints. The member should satisfy the requirements specified in 7.4.3. When a plastic hinge occurs in a joint, the joint shall either have sufficient strength to ensure the hinge remains in the member or shall be able to sustain the plastic resistance for a sufficient rotation. When a plastic hinge occurs in a beam which is asymmetric perpendicular to the plane of bending (for example, a channel beam in y-axis bending), the beam should be prevented from rotation at the load application points and at the supports. Information on rotation capacity is given in Annex L []. Only certain alloys have the required ductility to allow for sufficient rotation capacity, see K.3 []. Plastic global analysis should not be used for beams with transverse welds on the tension side of the member at the plastic hinge locations, except for structures of alloys in 5xxx in temper O or H111 and welded with proper welding metal and it is documented that the properties in HAZ and the welding zone are not less than in the parent material. For the plastic global analysis of beams, guidance is given in Annex K []. Plastic global analysis should only be used where the stability of members can be assured, see 8.3 [].
The plastic limit state is related to the strength of the section, evaluated by assuming a perfectly plastic behavior for a material with a limit value equal to the conventional limit of elasticity, fo, without hardening. Global non-linear and rigid plastic analysis can be performed when all cross-sections where plastic hinges take place are of Class 1 or 2. Cross-sections should be classified depending on their local buckling resistance and rotation capacity. Class 1 cross-sections are those that can develop their plastic moment resistance forming a plastic hinge with the rotation capacity required for plastic analysis. Class 2 cross-sections are those that can develop their plastic moment resistance but have limited rotation capacity because of local buckling. An effective plastic modulus of the gross cross-section Wpl,haz obtained using a reduced thickness ρo,hazt for the HAZ material (see 8.2.5.2) is given in Table 4 []. Where plastic global analysis is used for the ultimate limit state, the effects of the plastic redistribution of forces and moments at the serviceability limit state should be considered. The following assumptions for the material behavior may be used: true stress–strain curve represented through the Ramberg–Osgood law (Formula (F.14) []) with exponent n = np from 3 and 4 of Table 5 []. This curve should be used if plastic resistance should be found.
2.3.1. Plastic Section Modulus []
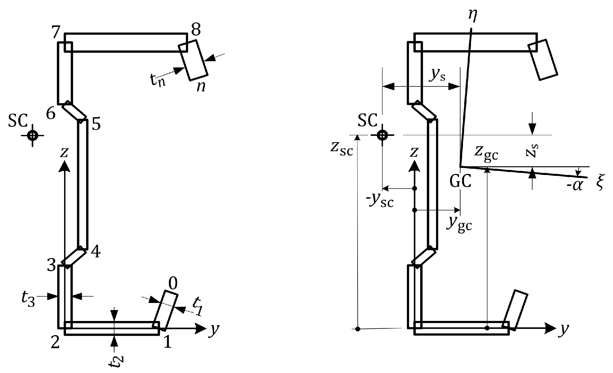
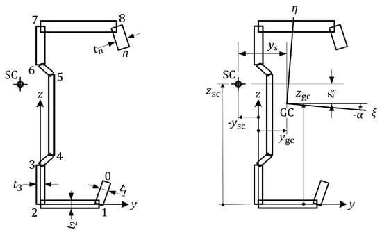
The cross-section is divided into n parts numbered as in Figure 3. The following procedure may be used for the plastic section modulus Wpl,y:
Figure 3.
Cross-section subdivision parts. (a) Open cross-section with extra node (5) and plastic neutral axis, PNA; (b) cross-section with inclined parts and diamond shape; (c) compressed cross-section equivalent to (b), where thickness of inclined parts is measured horizontally; (d) stresses where parts 6 to 9 give the axial force and 1 to 5 (At, red area in tension) and 6 to 11 (Ac blue area in compression) give the moment. is characteristic value of 0.2% proof strength. = 1.1 in [].
- (1)
- Add an extra node in the part that will be crossed by the plastic neutral axis (PNA);
- (2)
- Define the PNA so that the areas above and below the PNA are the same (=A/2);
- (3)
- Replace the thickness ti below the PNA with the negative value −ti;
- (4)
- The plastic section modulus Wpl,y is then given by Formula (1). See also Appendix A below.
For the plastic section modulus Wpl,z, change y and z, add a vertical PNA line, and add extra node(s) on this line.
2.3.2. Plastic Interaction Formula
The cross-section is divided into parts numbered as in Figure 3. A cross-section with more than one web (Figure 3b) can be concentrated as in Figure 3c. The following procedure may be used to find a point on the interaction diagram for the axial force versus bending moment:
- (1)
- Choose a node a (=9 in Figure 3c) above which there is compression stress;
- (2)
- Calculate the area Ac above this node a;
- (3)
- Add an extra node b (=5 in Figure 3c) on the tension side, placed so that the area At below this node is the same as Ac;
- (4)
- Set the thickness to −ti for parts 1 to b and 0 for parts b + 1 to a;
- (5)
- Calculate the reduced plastic section modulus with Formula (1);
- (6)
- Calculate the area An = A − 2Ac;
- (7)
- A point on the interaction diagram is now given by MRd = Wpl,y fo/γM1 and NRd = An fo/γM1;
- (8)
- Repeat the procedure for the other nodes a;
- (9)
- If the bending moment resistance is searched for a specific axial force, then the node a should be chosen so that Ac = 0.5(A − NRd/(fo/γM1)).
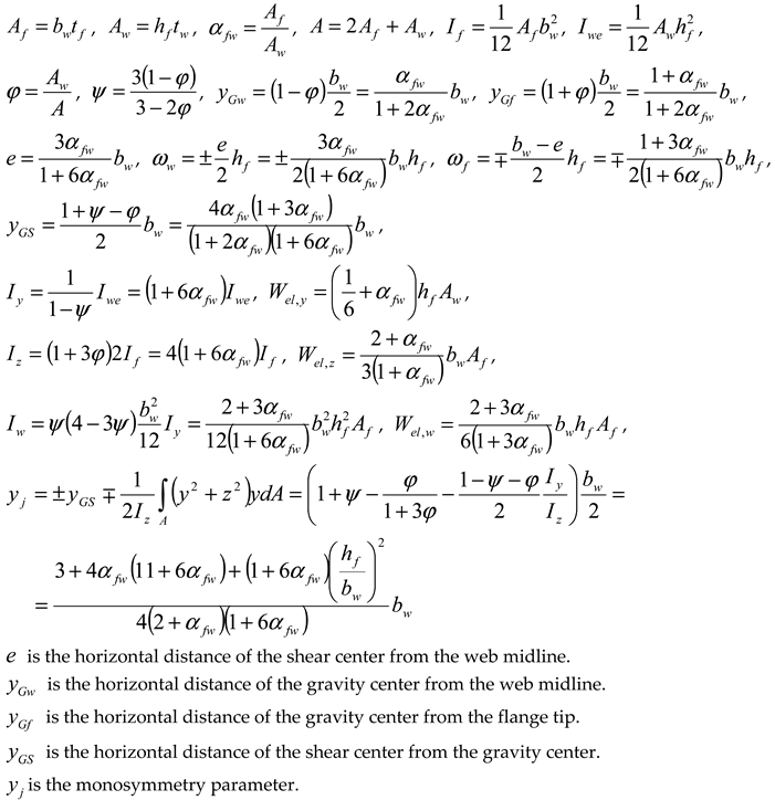
The Eurocode EN 1999-1-1:2007 [] in the informative Annexes C and J, respectively, provides formulae for the calculation of (a) cross-section constants for thin-walled open cross-sections (C.1, J.1), (b) cross-section constants for open cross-sections with branches (C.2, J.2), and (c) a torsion constant and shear center of cross-sections with closed parts (C3, J.3). In EN 1999-1-1:2023 [] contained in the informative Annex G, the same formulae as in the 2007 edition are included [], as well as the formulae for the calculation of the shear area (G.9) [], plastic section modulus, and the interaction formula.
The formulae in the above-mentioned Eurocodes were presented in the form of formulae especially convenient to use in MathCad software and similar programs, where the formulae are presented in the same format as the formulae in textbooks and codes. It is helpful to the users of MathCad software, but the formulae may be evaluated by any other program.
The formulations are especially convenient for cold-formed sections where the thickness is the same for all cross-section elements. These are automatically defined from the nodes.
As the elements are given with the midline dimension and the thicknesses, some errors may occur in the corners depending on how the corners are modeled. If they are modeled with one node, then there will be some overlapping of the area (red) and missing area (white), according to Figure 4a. The cross-section area will always be correct, but there will be a small error in Iy, Iz , and so on, because the area t/2 × t/2 (red in Figure 4a) will have a small error in the distance to the coordinate axis. This error is usually negligible in corners, but in sections with branches, the error may be notable, as the area is doubled in the overlapping area (red in Figure 4d). These errors can be overcome if the corners are modeled with two nodes, according to Figure 4b,c, with an element with a thickness of 0 between them.
Figure 4.
Four possible kinds of nodes in corners and in connections between elements.
The examples of numbering nodes in MathCad formulae [] are given in Figure 5 for cross-sections without branching and in Figure 6 for cross-sections with branches.
Figure 5.
Numbering of nodes in cross-section without branching.
Figure 6.
Nodes and parts in cross-section with branches.
- (a)
- Divide the cross-section into n parts. Number the parts 1 to n. Insert nodes between the parts. Number the nodes from 0 to n. Part i is then defined by nodes i − 1 and i. Give the nodes, coordinates, and (effective) thickness. j = 0 … n are nodes and i = 1 … n are cross-section parts. Note that y − z is an arbitrary coordinate system with the origin usually not in the center of gravity and that the principal axes are here denoted as and .
- (b)
- Calculate the following geometrical magnitudes:
The area of cross-section parts by Formula (2) is expressed as
The cross-section area by Formula (3) is expressed as
The first moment of area with respect to the y-y-axis and the coordinate of the centroid by Formula (4) is expressed as
The moment of inertia with respect to the new y-y-axis through the centroid by Formula (5) is expressed as
, , and are determined in the same way by swapping the coordinates.
The product moment of area with respect to the original y- and z-axis and new axes through the centroid by Formula (6) is expressed as
Principal axes are given with standard formulae.
Section constants, which are usually not given in CAD programs, are the sectorial constants. For these, the sectorial coordinates given by Formula (7) are needed.
The mean of the sectorial coordinate by Formula (13) is expressed as
The sectorial constants by Formulae (9)–(11) are expressed as
The shear center by Formula (12) is expressed as
The warping constant by Formula (13) is expressed as
Torsion constants are given with standard formulae.
The sectorial coordinate with respect to the shear center, used for the polar cross-section constants, are given by Formula (14) as follows:
The maximum sectorial coordinate and warping modulus by Formula (15) are expressed as
The distance between the shear center and centroid by Formula (16) is expressed as
The polar moment of inertia with respect to the shear center by Formula (17) is expressed as
The non-symmetry factor zj according to Annex I [] is hardly found in CAD programs. For the z axis, it is given by Formulae (18). For the other axis, is given by swapping the coordinates.
where the coordinates for the center of the cross-section parts with respect to the centroid are given by Formula (19) as follows:
In cross-sections with branches, the Formulae in (2)–(19) can be used. However, follow the branching back (with thickness t = 0) to the next part with thickness t ≠ 0, see branch 3-4-5 and 6-7 in Figure 6.
3. Basis of Theory
The static or lower bound theorem is applied. The equilibrium and plastic condition are satisfied in order to achieve a plastification factor equal to or smaller than the plastic one.
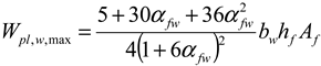
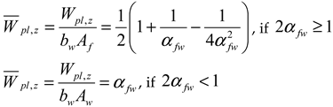
The nomenclature of the plastic section properties is as follows:
- (1)
- Without considering bimoment as a constraint: Wpl,zy,nb and Wpl,z,nB.
- (2)
- Considering bimoment as a constraint: Wpl,y, Wpl,z and Wpl,w.
- (3)
- Maximum: Wpl,y,max, Wpl,z,max, and Wpl,w,max.
The interaction equations for the plastic resistance of cross-sections under Npl,Rd, Mpl,y,Rd, and Mpl,z,Rd in Eurocode 3 are obtained without considering bimoment BEd as a constraint.
Method 1 has been implemented in two computer programs.
The software can be found in the following blog:
https://antonioagueroramonllin.blogs.upv.es/ (accessed on 15 November 2024)
- (1)
- thinwallsectiongeneral was used to compute values considering bimoment as a constraint and maximum values.
https://laboratoriosvirtuales.upv.es/webapps/thinwallsectiongeneral.html (accessed on 15 November 2024)
- (2)
- thinwallsectionopenclosed was used to compute values without considering bimoment as a constraint.
https://labmatlab-was.upv.es/webapps/home/thinwallsectionopenclosed.html (accessed on 15 November 2024)
3.1. Method 1 to Obtain Plastic Parameters
The following Table 1, Table 2, Table 3 and Table 4 explain how to obtain the section properties. The values obtained have to be divided by fy. The cross-section is divided into n fibers of area A(i), coordinates y(i), z(i), and unit warping w(i). The normal stress σ(i) values at each fiber are optimized to maximize the different linear functions in the tables with the corresponding linear constraints; this problem can be solved using a simplex (linear programming).
Table 1.
Case 1: computation of plastic parameters without considering bimoment BEd as a constraint.
Table 2.
Case 2: computation of plastic parameters considering bimoment BEd as a constraint.
Table 3.
Case 3: computation of plastic parameter maximum.
3.2. Method 1 to Obtain Interaction Diagram
To obtain the interaction diagram N, My, and Mz, the plastification factor ξ (the factor by which internal forces must be multiplied to reach the plastic resistance of a cross-section) can be obtained for each combination in case 1 of N1, My1, and Mz1 and in case 2 of N1, My1, Mz1, and B1 by applying the statics or lower bound theorem.
Table 4.
Computation of plastic factor ξ to plot interaction diagram.
Table 4.
Computation of plastic factor ξ to plot interaction diagram.
| Case 1: Without Considering Bimoment B as a Constraint | Case 2: Considering Bimoment B as a Constraint | |
|---|---|---|
| Maximize | ξ | ξ |
| Constraint | ||
4. Numerical Results. Comparisons of Results of Various Ways of Calculation
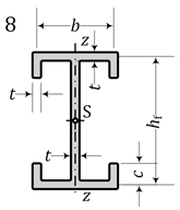
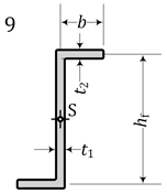
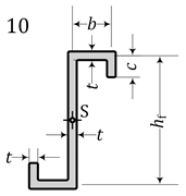
The study comprises an investigation of 10 thin-walled profiles given in Table 5 with their dimensions, plus another four thin-walled cross-sections called diamond sections (Figure 3b,c), oblique (Figure 7a), irregular sections (Figure 7b), and sigma sections (Figure 5 and Figure 7c).
Table 5.
Investigated cross-sections [] and their midline dimensions and thicknesses under table.
Figure 7.
Non-standard cross-sections: (a) oblique section, (b) irregular section, and (c) sigma section.
Dimensions of the diamond section (Figure 3c) are given in Table 6, those of the oblique section (Figure 7a) in Table 7, the irregular section (Figure 7b) in Table 8, and the sigma section (Figure 7c) in Table 9.
Table 6.
Diamond cross-section dimensions (Figure 3c).
Table 7.
Oblique cross-section dimensions (Figure 7a).
Table 8.
Irregular cross-section dimensions (Figure 7b).
Table 9.
Sigma cross-section dimensions (Figure 7c).
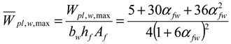
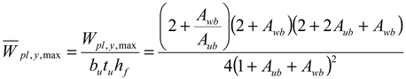
There are three groups of plastic section moduli in Table 10 as follows:
Table 10.
Values of various kinds of plastic section moduli, including Wpl,y, Wpl,z [cm3] and Wpl,w [cm4].
- (a)
- Wpl,y,nB, [Wpl,y], (Wpl,y), and Wpl,z,nB (see columns I.a, I.b, I.c, II.) for the case when bimoment is not (index nB) considered as a constraint. The values in brackets [ ], ( ) in the columns I.b and I.c, respectively, are calculated using formula (G.39) given in Annex G, EN 1999-1-1:2023 []; here, it is Formula (1). Computer software MathCad was employed for bracket value calculations. Corner details in column I.b in the calculation of [..] values are (a) + (d) according to Figure 4. Corner details in column I.c in the calculation of (..) values are (b) + (c) according to Figure 4. See the consequences described before Figure 4.
- (b)
- Wpl,y, Wpl,z, and Wpl,w (see columns III., IV., V.) for the case when bimoment is considered as a constraint.
- (c)
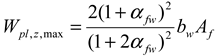
- Wpl,y,max, Wpl,z,max, and Wpl,w,max (see columns VI., VII., VIII.) are also considered. These values may be achieved only if the given internal force exists with some other concomitant internal force. See Table 13a,b for the monosymmetric I-shaped section, Table 14a,b for the channel section, and Table 15a,b for the Z-section.
All Wpl values in Table 10 except “MathCad values” in columns I.b and I.c were calculated using computer programs described in Section 3. The model with overlaps in (a + d) corners according to Figure 4 is taken into account in the calculation of values given in the column I.b of Table 10. Other exceptions include the following: (1) the values in italics for the channel (No. 3) and Z-section (No. 9) were calculated using formulae designated for practice, which are given in Table 14a for the channel and in Table 15a for the Z-section; (2) the values with asterisks (*) in the boxes 9-VI (row No.–column No.) and 10-VI were also calculated using MathCad formulae; (3) only the value in box 11-I.b was calculated for the compressed equivalent shape of the cross-section given in Figure 3c. All other values for the diamond section (No.11) were calculated for the real cross-section shape in Figure 3b.
Values in bold in boxes 9-VI, 10-VI, and 12-VI are the resistances that can be reached in the case of sections being continuously laterally supported. The concomitant bimoment for the Z-section is zero (see Table 15a).
The way to obtain Wpl values and consequently the interaction diagrams is explained in Section 3, where the used software is also described.
The following are the facts (see Table 10):
- (a)
- For doubly symmetric sections (No. 5, 8):Wpl,y = Wpl,y,nB = Wpl,y,max; Wpl,z = Wpl,z,nB = Wpl,z,max; Wpl,w = Wpl,w,max;
- (b)
- For monosymmetric sections with axis of symmetry z (No. 2, 7, 11):Wpl,y = Wpl,y,nB < Wpl,y,max; Wpl,z < Wpl,z,nB = Wpl,z,max; Wpl,w < Wpl,w,max;
- (c)
- For monosymmetric sections with axis of symmetry y (No. 3, 4, 6):Wpl,y < Wpl,y,nB = Wpl,y,max; Wpl,z = Wpl,z,nB < Wpl,z,max; Wpl,w < Wpl,w,max;
- (d)
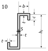
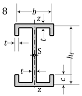
- For point-symmetric sections (9, 10), Figure 8:Wpl,y = Wpl,y,nB < Wpl,y,max; Wpl,z = Wpl,z,nB < Wpl,z,max; Wpl,w < Wpl,w,max;
- (e)
- Asymmetric sections are No. 1, 12, 13, and 14;
- (f)
- For non-warping cross-sections or for cross-sections with negligible warping through the element thicknesses, the calculation of Wpl,y, Wpl,z, and Wpl,w for bimoment BEd considered as a constraint is not possible. See No. 1 and 2, columns III.–V.
The results of programs https://laboratoriosvirtuales.upv.es/webapps/thinwallsectiongeneral.html (accessed on 15 November 2024) and https://labmatlab-was.upv.es/webapps/home/thinwallsectionopenclosed.html (accessed on 15 November 2024) are presented for sections from Table 5 and Table 10 in the following Figures as follows: in Figure 8 (section No.10 from Table 5), in Figure 9 (section No.9 from Table 5), in Figure 10 (section No.11 from Table 10), in Figure 11 (section No.12 from Table 10) and in Figure 12 (section 13 from Table 10). The results present interaction diagrams for given cross-sections under a combination of internal forces NEd, My,Ed, and Mz,Ed for the following cases: (a) without considering bimoment BEd as a constraint and (b) with bimoment BEd = 0 kNm2 considered as a constraint. Interaction diagrams may be used for any values of NEd, My,Ed, and Mz,Ed because diagrams are accompanied by relevant A and Wpl values. In all interaction diagrams, the following sign convention of internal forces is accepted: the tension axial force NEd is positive, the bending moment My,Ed is positive when the bottom part of the cross-section is in tension and the upper part in compression, and the bending moment Mz,Ed is positive when the right part of the cross-section is in tension and the left part in compression. In the cross-section resistances, the calculation safety factor is used for steel profiles as prescribed in [] and is used for aluminum profiles [].
Figure 9.
The Z-section without lips (No.9 in Table 5 and Table 10) with A = 38.2 cm2. Interaction diagrams for a cross-section under a combination of NEd + My,Ed + Mz,Ed are calculated (a) without considering bimoment BEd as a constraint: Wpl,y,nB = 166.4 cm3, Wpl,z,nB = 64.7 cm3; (b) with bimoment BEd = 0 kNm2 considered as a constraint: Wpl,y = 166.4 cm3, Wpl,z = 64.7 cm3.
Figure 10.
The diamond section (No.11 in Table 5 and Table 10) with A = 49.07 cm2. Interaction diagrams for a cross-section under a combination of NEd + My,Ed + Mz,Ed are calculated (a) without considering bimoment BEd as a constraint: Wpl,y,nB = 219.9 cm3, Wpl,z,nB = 160 cm3; (b) with bimoment BEd = 0 kNm2 considered as a constraint: Wpl,y = 219.9 cm3, Wpl,z = 147 cm3.
Figure 11.
The oblique section (No.12 in Table 5 and Table 10) with A = 0.72 cm2. Interaction diagrams for a cross-section under a combination of NEd + My,Ed + Mz,Ed are calculated (a) without considering bimoment BEd as a constraint: Wpl,y,nB = 0.866 cm3, Wpl,z,nB = 1.301 cm3; (b) with bimoment BEd = 0 kNm2 considered as a constraint: Wpl,y = 0.866 cm3, Wpl,z = 1.301 cm3.
Figure 12.
The irregular section (No.13 in Table 5 and Table 10) with A = 4.395 cm2. Interaction diagrams for a cross-section under a combination of NEd + My,Ed + Mz,Ed are calculated (a) without considering bimoment BEd as a constraint: Wpl,y,nB = 6.05 cm3, Wpl,z,nB = 9.954 cm3; (b) with bimoment BEd = 0 kNm2 considered as a constraint: Wpl,y = 5.955 cm3, Wplz = 9.933 cm3.
Figure 8.
The Z-section with lips (No.10 in Table 5 and Table 10) under bending moment My,Ed about the y-y axis with axes yz and principal axes uv. (a) The location of the plastic neutral axis (PNA) responds to stress distribution to obtain Mpl,y. In this case, the results are the same whether the bimoment constraint is considered or not; (b) the location of the PNA responds to the stress distribution to obtain Mpl,y,max. In the case when the beam is loaded in the z-direction and continuously laterally supported in the y-direction, the concomitant Mz,conc may appear.
5. Recommendations
The computer programs in Section 3 enable us to investigate the plastic reserve of cross-sections with any shape and under any combination of eight internal forces. Below are recommendations for frequent special partial cases.
5.1. Double Symmetric Steel I-Shaped Cross-Section of Class 1 or Class 2 Under Combination of Axial Force and Bending Moment NEd + My,Ed
The problems in 8.2.9.1 [] solved by Baláž [] are outlined. Using the approximate formulas (8.43) and (8.48) in [] leads to the two following problems:
- (a)
- The approximate formula (8.48) after substitution into formula (8.43) has the form
Formula (20) leads, for large values of relative axial force n (if n approaches the value 1.0), to numerical instability and to looping of the automated calculation when designing the cross-section size. For the selected cross-sectional size, the verification may show a high value of utilization (e.g., more than 3.0). When increasing the size of the cross-section by one step, the verification of utilization can show a significantly uneconomical design. It leads to never-ending looping. The solution is to modify the EN Formula (20) before programming into the form (21), in which there is no division by the expression (1–n), which for n approaching 1.0 leads to division by a number approaching zero.
The following is a numerical example:
HEA 300, S355, fy = 355 MPa, γM0 = 1.0, NEd = 3795 kN, n = 0.95, My,Ed = 100 kNm, my = 0.204.
Formula (20) [] gives utilization factor UEN = 3.574, requiring a much bigger size of HEA. The correct utilization factor according to the proposed formula (21) is only U = 1.128. If the bigger HEA 340 is chosen, formula (20) gives UEN = 0.665, indicating a significantly uneconomical design, but the real utilization factor according to (21) is U = 0.933. Using EN formula (20) will lead to a never-ending loop.
In the same way, it is necessary to rearrange formulae (8.49), (8.50), and (8.43) in [] to avoid numerical instability for the case of I-shaped cross-sections under axial force NEd and bending moment Mz,Ed. Baláž proposed [,], instead of EN 1993-1-1 [] Formulae (8.49), (8.50), and (8.43), to use the following formulae:
Formulae (8.51), (8.52), and (8.43) in [], valid for rectangular hollow sections, must also be rearranged before programming in the same way as formulae (8.48) and (8.43), as in Equation (21), to avoid dividing by a value approaching zero in the case of the relative axial force n approaching 1.0.
- (b)
- Formula (20) gives results on the dangerous side for small values of the axial force (error is up to approximately 7%). This problem can be solved by replacing the approximate Eurocode formulae (8.43) and (8.48), which is (20) here, with more accurate formulae derived by Baláž []. For I-shaped sections, we present the exact my−n interaction formulae in two versions as follows:
- (b1)
- For a cross-section consisting of three rectangles, two independent dimensionless parameters appear in the formulae. The graphic interpretation is in Figure 13 and Figure 14. Formula (24) is valid for smaller values , when the plastic neutral axis lies in the web of the I-section (see bottom left part of Figure 14). Formula (25) is valid for larger values , when the plastic neutral axis lies in the flange of the I-section (see bottom right part of Figure 13). In the case of , the plastic neutral axis is located in the point of contact of the flange with the web.
- (b2)
- For the cross-section consisting of the midlines with thicknesses, only one independent dimensionless parameter appears in the formulae.
Figure 13.
Detail of Figure 14.
Figure 14.
Geometrical interpretations of interaction my−n formulae for HEB 280 section under combination of axial force NEd with moment My,Ed. Comparison of (a) approximate red dotted bilinear function defined in EN 1993-1-1 [] by Formulae (20) or (21) with (b) black solid line representing non-linear function defined by exact Formulae (24) and (25) [].
For n = a/2, the approximate solution gives the value with an error ≤ 7% on the dangerous side.
The effect of axial force can be neglected if , which is approximately
with . S235 fy = 235 MPa, safety factor γM0 = 1.0.
For the exact shape of the cross-section: Npl,Rd = 3087 kN, Mpl,y,Rd = 360.6 kNm, Mpl,z,Rd = 168.6 kNm.
For the midline model: Npl,Rd = 3015.3 kN, Mpl,y,Rd = 352.66 kNm, Mpl,z,Rd = 165.82 kNm.
The results for steel profiles: HEB 280 are presented in Figure 15 and UPE 360 are presented in Figure 16 and Figure 17.
Figure 15.
HEB 280 section with A = 128.31 cm2, Wpl,y = 1500.67 cm3, Wpl,z = 705.6 cm3, and Wpl,w = 9243.36 cm4 for midline model. Interaction diagrams for cross-section under combination of NEd + My,Ed + Mz,Ed calculated (a) without considering bimoment BEd as a constraint; (b) with bimoment BEd = 0 kNm2 considered as a constraint.
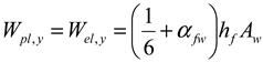
5.2. Plastic Reserve of Steel Channel Cross-Section Under Bending Moment My,Ed
The maximum positive plastic moment in channel Mpl,y,max = Wpl,y,max fy may be achieved only with negative concomitant bimoment BEd,conc. The beam that is continuously laterally supported cannot rotate; therefore, bimoment B = 0 kNm2 and Mpl,y,max cannot be achieved. Only the value of the elastic–plastic moment Mpl,y = Wpl,y fy may be achieved. The values of plastic reserves (shape factors) for I-sections, the channel, and similar sections are very small. For UPE 360, the shape factors are αpl,y = 875.3/823.6 = 1.063 and αpl,y,max = 982.6/823.6 = 1.193. For sections of this type under a single bending moment My,Ed, the utility of the plastic reserve is negligible.
Figure 16.
Plastic reserves (shape factors αpl,y and αpl,y,max) of UPE 360 profile []. Above Wpl values are calculated for exact shape of cross-section. In paragraph 5.4, Wpl values are calculated for midline model with A = 76.52 cm2, Wel,y = Wpl,y = 841.7 cm3, and Wpl,y,max = 959.37 cm3.
Figure 17.
UPE 360 section. S235, fy = 235 MPa, safety factor γM0 = 1.0. For midline model: Npl,Rd = 1798 kN, Mpl,z,Rd = 44.24 kNm. Interaction diagrams of NEd + My,Ed + Mz,Ed calculated (a) without considering bimoment BEd as a constraint: Mpl,y,Rd = 225.45 kNm. 225.452 kNm in Table 12; (b) with bimoment BEd = 0 kNm2 considered as a constraint: Mpl,y,Rd = 197.80 kNm. 199.52 kNm in Table 12.
5.3. Double-Symmetric Aluminum and Steel I-Shaped Profiles Under Combination of Bending Moment About y-y Axis and Bimoment My,Ed + BEd
The metal (steel and aluminum) Eurocodes of the first generation give interaction formulae valid for the I-shaped cross-sections, and the rectangular hollow sections included welded ones to allow the use of plastic resistance for Class 1 and 2 cross-sections, leading to a more economic design. These interaction formulae are valid only for combinations of axial load and bending internal forces. The influence of torsional bimoment is taken into account only in metal Eurocodes of the second generation. In both metal Eurocodes of the first and second generation, there are no formulae for the calculation of the plastic resistance of channel cross-sections, which are frequently used in practice. The steel Eurocode does not allow us to take into account the material strengthening. However, the aluminum Eurocode enables us to calculate the ultimate axial load Nu and ultimate bending moment Mu at the collapse limit state from the formulae given in Annex F.4 and F.5 in []. See Figure 18 and Figure 19.
Figure 18.
Comparisons of the five stress–strain relationships given in [] with continuous strength. The method (CSM) [] applied in [] for the non-heat-treatable wrought aluminum alloy EN AW-5083-O/H111. The incorrectly defined continuous model in E.2.2.1 [] was later corrected thanks to findings in [,].
Figure 19.
Bilinear stress–strain diagrams without and with strengthening. Definitions of ηε and ηy [].
Streľbickaja [] investigated theoretically and experimentally I- and U-sections. She took into account the influences of five internal forces, namely two bending internal forces My,Ed and Vz,ed and three torsional internal forces BEd, Tw,Ed, and Tt,Ed. For the combinations of these internal forces, the following resistances were calculated: (i) elastic, (ii) plastic without strengthening, and (iii) plastic with strengthening. Streľbickaja’s analytical formulae were verified by computer programs [,]. The results comparisons show very good agreements and the geniality of Streľbickaja from Ukraine.
The resistance calculation according to Streľbickaja [] is as follows:
For a given distance u, the size of the small elastic core 2e (Figure 20a) may be calculated from Equation (34).
Figure 20.
Normal stress distribution in (a) I-shaped section (e = 0 mm is possible) and (b) channel under combination of positive bending moment My,Ed and negative bimoment BEd (sign convention: see Figure 21). (i) Elastic limit state defined by σmax = fy—dotted line (c—compression; t—tension); (ii) plastic limit state without strengthening defined by σmax = fy—dashed line; (iii) plastic limit state with strengthening defined by εmax = (1 + ηε)εy—solid line with related ε distribution [,].
Figure 21.
Sign convention. Combination of moment My,Ed with (a) positive and (b) negative bimoment BEd [,].
- (i)
- The elastic limit state is defined by the following linear interaction formula:
From Figure 20a, the plastic resistances may be derived as a function of the distance u, defining the position of the neutral axis in the I-section under the interaction of the bending moment My,Ed and bimoment BEd. For the plastic limit state, the following are calculated:
- (iii)
- With strengthening ηy = 0.25 (Figure 18):
The obtained numerical results [] are given in Table 11. For the case without strengthening, the results are compared with the numerical results of the computer program DUENQ [], which uses the simplex method, and the computer program QST-TSV-3Blech [] based on Kindmann’s and Frickel’s method, called the partial internal forces (PIFs) method (original German name, the Teilschnittgrößenverfahren (TSV) method), valid for the cross-sections consisting of three rectangles [].
Table 11.
Resistances of I 200a-section under combination of bending moment My.Ed and bimoment BEd [].
Table 11 and Figure 22a show excellent agreements between the 66-year-old analytical solution [] and the numerical results of modern computer programs [,]. The solution by Streľbickaja [] can also take into account material strengthening. The computer programs [,] cannot perform this. Equations (36)–(38) were the basis for their modification by Baláž [], who created an interaction formula which is convenient for design standards. It may be written in the following different forms:
The meaning of symbol ρMy,B is a reduction factor by which the plastic bending moment resistance My,pl,Rd should be reduced for the given values BEd/Bpl,Rd and Mpl,y,f,Rd. Similarly, ρB,My gives the value by which the plastic bimoment resistance Bpl,Rd should be reduced for the given values My,Ed, My,pl,Rd, and Mpl,y,f,Rd.
The plastic resistance of an I-section without strengthening was solved in []. The formula valid for an I-section under a combination of a bending moment and bimoment was solved by Mirabelle in []. It was replaced by Baláž’s formula [], which is now in [], because Mirambell’s formula has several drawbacks.
The form of original formula proposed by Mirambell [] is as follows:
Mirambell’s formula (45) is not convenient for standard purposes, because Eurocodes prefer to use internal forces in formulae, not stresses. Moreover, it is incorrect at a first glance, because My,Ed = 0 kNm does not give for α = 5 the value BEd,max = Bpl and differs a lot from exact results (Figure 22b).
Mirambell’s incorrect formula [], which was in the draft prEN 1993-1-1, was replaced by Baláž’s correct formula [], which is now in EN 1993-1-1:2022 [].
Figure 22.
I-shaped profiles under combination of bending moment My,Ed and bimoment BEd: (a) aluminum I 200a old Russian section, material: EN AW-5083-O/H111, fo = 110 MPa, fu = 270 MPa, γM1 = 1.0 is used instead of γM1 = 1.1 []. Elastic and plastic resistance without and with strengthening. Details of calculation based on continuous strength method (CSM), see []. Wpl values are in Figure 23a; (b) steel HEA 240 section, material: S235, fy = 235 MPa, γM0 = 1.0 []; elastic and plastic resistance without strengthening. Wpl values are in Figure 23b.
Figure 23.
Interaction diagrams of My,Ed + Mz,Ed + BEd for midline model: (a) aluminum I 200a section: A = 36.0 cm2, Wpl,y = 277.25 cm3, Wpl,z = 57.0 cm3, Wpl,yw = 537.51 cm4; (b) steel HEA 240 section: A = 73.95 cm2, Wpl,y = 716.45 cm3, Wpl,z = 345.6 cm3, Wpl,yw = 3 767.504 cm4.
The Formula (46) gives for values α = 4, 5, 6 the maximum bimoment values BEd,max = (4/4) Bel = (2/3) Bpl = 0.667 Bpl; BEd,max = (5/4)Bel= (5/6) Bpl= 0.833 Bpl; and BEd,max = (3/2) Bel = 1.0 Bpl, respectively, because Bpl= (3/2) Bel = 1.5 Bel. See the intersections of the ends of curves with the horizontal axis in Figure 22b.
The case with α = 6 is very close to the more exact solution by Streľbickaja [], defined by Equations (46) and (48) being on the safe side. Equation (46) with α = 6 was recommended by Baláž [,] for standard purposes and finally was accepted in EN 1993-1-1:2022 [] in the form:
The 66-year-old exact analytical solution (Equations (46) and (48)) by the Ukrainian lady Streľbickaja [], giving the same values as the computer program DUENQ [] and slightly simplified by Baláž [] for standard purposes, finally replaced the incorrect solution [] accepted for prEN 1993-1-1.
The plastic resistance of an IPE-section without strengthening under the interaction of two bending internal forces My,Ed and Vz,Ed and three torsion internal forces BEd, Tw,Ed, and Tt,Ed was solved in [].
5.4. Steel Channel Cross-Section Profile Under Combination of Moment My,Ed and Bimoment BEd
Channel Cross-Section Resistance Calculation According to Streľbickaja []
Streľbickaja investigated channels in the same way as I-sections (see paragraph 5.3). The authors verified her analytical formulae by computer programs [,]. The comparison of results confirm again the geniality of Streľbickaja. In the following paragraph, the authors show the results related to all three kinds of channel resistances. The combination of the bending moment My,Ed and negative bimoment BEd was taken into account. In [], both cases b1) and b2) (Figure 20b and Figure 21) were solved. The a) case with positive bimoment BEd (Figure 21) was not solved in [].
Position of the shear center in the elastic state:
Positions of the shear center in the plastic state without and with strengthening, respectively:
The warping coordinates at the flange end and at the point of the flange–web intersection, respectively:
- (i)
- The elastic limit state is defined by the linear interaction formula (see Equation (35)).
From Figure 20b, the plastic resistances may be derived as a function of the distance u, defining the position of the neutral axis in the channel under a combination of the bending moment My,Ed and bimoment BEd. For the plastic limit state, the following are determined:
- (ii)
- Without strengthening ηy = 0 (Figure 19), formula (58) is formula (38.26) in []:
- (iii)
- With strengthening ηy = 0.25 (Figure 19):
For u = bf/2, Equations (61) and (62) are equal to Equations (59) and (60).
In this paper, the results of the analytical solution [] for the mparison of results confirm agb) case (negative BEd, Figure 20b and Figure 21) are presented and compared with the results of the computer program [].
The obtained results and comparisons of analytical [] and computer results [] are presented in graphical form in Figure 24. The comparisons of these results show acceptable agreements. For negative bimoment (b) case in Figure 20 and Figure 21), the final result is the simple interaction formula (63) derived by Baláž []. Formula (63) is limited to My,Ed ≤ Mpl,y,Rd, being on the safe side. The solid line on the right end is compared with “full black circles” obtained by the computer program [] (see Figure 24). For the a) case (positive BEd, Figure 21), only the results of the computer program [] are shown.
where
Figure 24.
A comparison of channel resistances—results of different ways of calculation. In the right part of the figure, there is a quadrant for the combination +Myd,Ed with +BEd. In the left part of the figure, there is a quadrant for the combination +Myd,Ed with −BEd. We can compare these two quadrants with the upper part of Figure 25, where there are all 4 quadrants including combinations −Myd,Ed with −BEd and −Myd,Ed with +BEd seen in the bottom part of the diagram in Figure 25.
Figure 25.
UPE 360 section. Interaction diagrams of My,Ed + Mz,Ed + BEd. For midline model: Npl, Rd = 1798 kN, Mpl,y,Rd = 197.80 kNm, Mpl,z,Rd = 44.24 kNm, Bpl,Rd = 6.795 kNm2, Mpl,y,Rd,max = 225.45 kNm with BEd,conc = −1.0357 kNm2, Bpl,Rd,max = −7.3304 kNm2 with My,Ed,conc = 47.31 kNm. We can compare these values with the results in Table 12.
It is interesting to show (i) the value BEd,conc associated (concomitant) with the maximum bending moment Mpl,y,Rd,max and (ii) the value MEd,conc associated (concomitant) with the maximum bimoment Bpl,Rd,max > Bpl,Rd. See the diagram for the plastic resistance without strengthening in Figure 24. Both computer programs DUENQ [] and QST-TSV-3Blech [] gave very similar values, which are presented in Table 12.
For positive bimoment (a) case in Figure 21), the linear interaction formula defined by Equation (65) may be used (see left part of Figure 24), being on the safe side.
For the investigated UPE 360, formula (65) may be used in the interval , and formula (63) may be used after multiplication by factor −1.0 in the interval
In the frame of a large parametrical study, the other sizes of UPE-sections were investigated too. The obtained results confirmed the possibility to use the simple interaction formulae for channels defined by Equations (63) and (65), derived for standard purposes.
The elastic limit state is defined by the linear interaction Formula (35). The graphical interpretation of Equation (35) in Figure 24 may be described as follows:
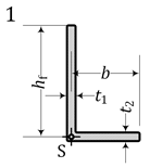
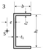
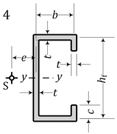
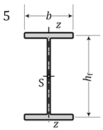
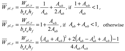
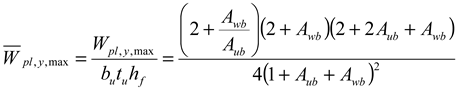
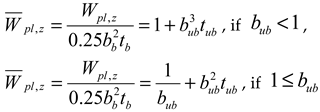
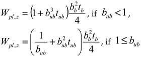
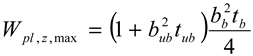
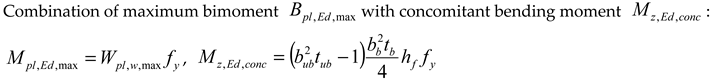
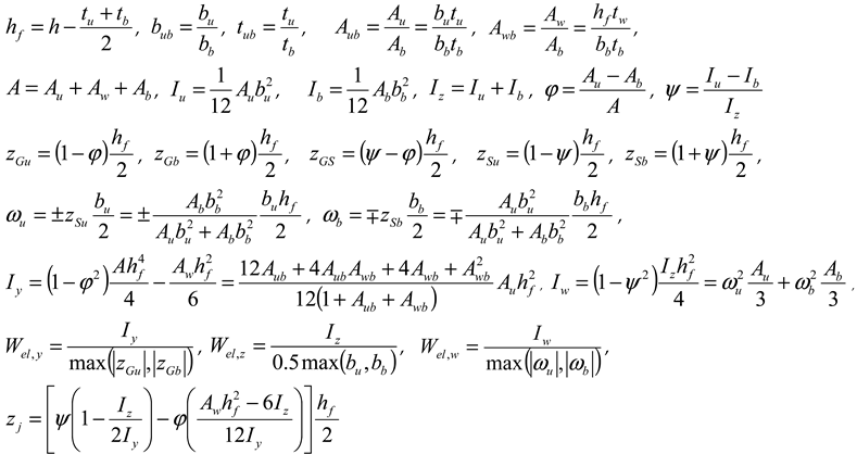
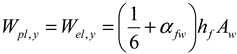
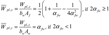
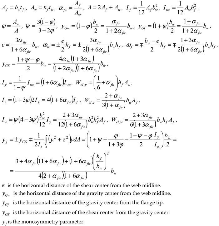
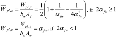
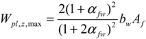
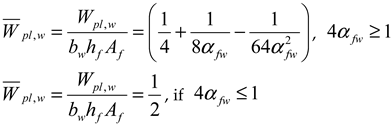
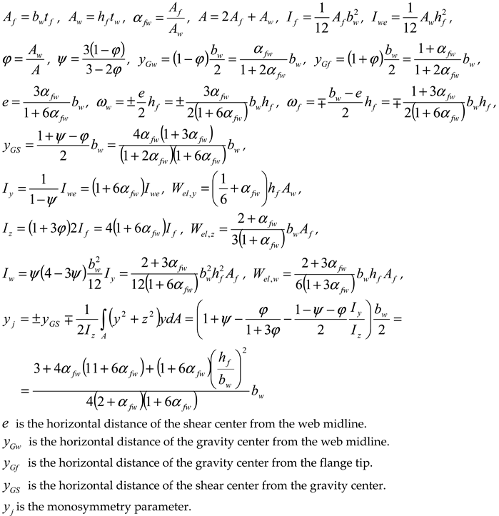
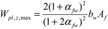
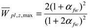
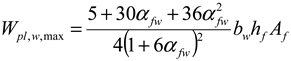
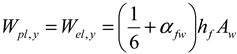
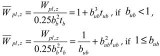
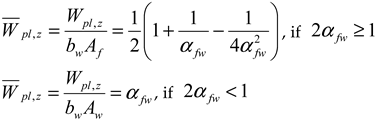
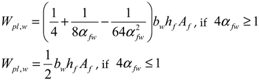
Table 13a,b, Table 14a,b and Table 15a,b contain formulae of all cross-sectional properties for (a) monosymmetric I-shaped sections, (b) channels, and (c) Z-sections, including relevant concomitant internal forces. The calculation of the approximate values is based on the midline model with thicknesses, taking into account (a) + (d) details of element connections (Figure 4). The formulae are presented in both (a) dimensionless form, enabling parametrical studies, and (b) formulae for direct design. They are proposed for educational purposes and the quick design of structures in practice as well. Wpl values relate to the fibers located in the midline, not to the surface of the section.
Table 13.
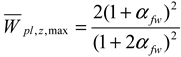
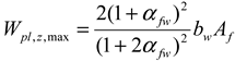
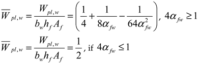
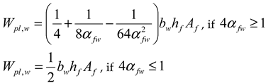
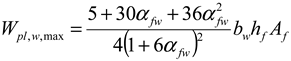
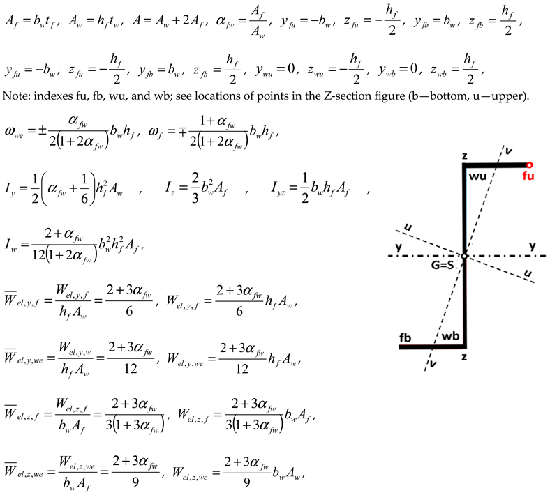
Plastic properties of monosymmetric I-shaped section. , , , , .
Table 14.
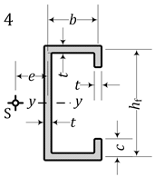
Plastic properties of channel section. , , [].
Table 15.
Plastic properties of Z-section. , , [].
6. Conclusions
The advantages of plastic analysis and assumptions for plastic analysis applications are explained together with the newest metal Eurocodes requirements for the global plastic analysis of steel structures according to EN 1993-1-1:2022 [] and of aluminum structures according to EN 1999-1-1:2023 [].
There is necessity to distinguish among three kinds of plastic section moduli. They are calculated (a) without considering bimoment BEd as a constraint Wpl,nB; (b) considering bimoment BEd as a constraint Wpl; and (c) considering maximum values Wpl,max. These are explained for the first time ever in Section 3 and in the several illustrative numerical examples provided.
The results of this large parametrical study focused on 18 metal thin-walled cross-sections with various shapes, namely doubly symmetric, monosymmetric with an axis of symmetry z, monosymmetric with an axis of symmetry y, point-symmetric, and asymmetric open and closed cross-sections, are given in Table 10 and Table 11. The values of different plastic section moduli are obtained by different ways of calculation using our own computer programs (a) created in MathCad 15, (b) freeware https://laboratoriosvirtuales.upv.es/webapps/thinwallsectiongeneral.html, (c) freeware https://labmatlab-was.upv.es/webapps/home/thinwallsectionopenclosed.html (accessed on 15 November 2024), and with (d) dimensionless formulae for I-shaped, channels, and Z-sections (Table 13, Table 14 and Table 15) also contain for the first time ever all three kinds of plastic section moduli, which are not possible to calculate by any commercial programs. More details about the methodology and development of the above freeware may be found in our previous papers [,,]. Comparisons of values show excellent agreements and correctness of results. Two of the above freeware allow us to solve for the first time ever the plastic design properties of thin-walled cross-sections with any open, quasi-closed, or closed shape with two, one, or without axis symmetry under any combination of eight internal forces, which are NEd, My,Ed, Mz,Ed, BEd, Vz,Ed, Vy,Ed, Tt,Ed, and Tw,Ed.
Altogether, 15 interaction diagrams present results valid for various shapes of cross-sections under combinations of three internal forces, namely NEd + My,Ed + Mz,Ed or My,Ed + BEd + Mz,Ed. They are a product of own freeware, which can be found in the blog https://antonioagueroramonllin.blogs.upv.es/ (accessed on 15 November 2024).
Eurocode EN 1993-1-1:2022 [] offers only the possibility to perform the plastic design of limited simple shapes of cross-sections under combinations of NEd + My,Ed, NEd + Mz,Ed or NEd + My,Ed + Mz,Ed. The authors identified important problems in the Eurocode rules related to I-shaped sections under combinations of NEd + My,Ed and NEd + Mz,Ed and provided suggestions on how to solve these problems. Instead of approximate Eurocode formulae valid for I-shaped sections under combinations of NEd + My,Ed, the exact formulae (24)–(27) are proposed. The draft of prEN 1993-1-1 contained Mirambell’s formula (45) [] for I-shaped sections under combinations of My,Ed + BEd, which was incorrect. In the Eurocode EN 1993-1-1:2022 [], it was replaced by the correct Baláž’s formula (47) based on Streľbickaja’s theoretical and experimental results [].
Eurocodes do not offer the possibility to perform the plastic design of channels under the very frequent combination of bending and torsion internal forces My,Ed + BEd. Baláž proposes for this combination simple formulae convenient for standard purposes for both (a) positive bimoment BEd (65) and (b) negative bimoment BEd (63). See Figure 24 or []. This proposal was verified by three different computer programs, namely by (a) DUENQ [], (b) QST-TSV-3Blech [], (c) the interaction diagram in Figure 25 (see also Table 12). It is the first time that designers may design channels under the combination of a moment and bimoment with very simple formulae. The influence of material strengthening is also shown for the first time ever for both I-profiles and channel sections (Figure 19 and Figure 20).
Appendix A presents a detailed example of very useful MathCad program by Torsten Höglund for the calculation of the plastic section modulus of point-symmetric closed oblique cross-sections. It can serve as a guide for any other shape of cross-section.
The future direction of our research will focus on the influence of shear on cross-section plastic resistances with any shape under any combination of eight internal forces.
Author Contributions
Conceptualization, A.A., I.B., T.H. and Y.K.; methodology, A.A., I.B., T.H. and Y.K.; software, A.A., I.B., T.H. and Y.K.; writing—original draft preparation, A.A., I.B., T.H. and Y.K.; writing—review and editing, A.A., I.B., T.H. and Y.K.; supervision, A.A., I.B., T.H. and Y.K. All authors have read and agreed to the published version of the manuscript.
Funding
This research project is supported by the Slovak Grant Agency VEGA no. 1/0155/23.
Data Availability Statement
Data is contained within the article.
Conflicts of Interest
The authors declare no conflict of interest.
Appendix A
Example of y-Axis Plastic Section Modulus for an Oblique Hollow Section, See Also []
For cross-section dimensions to the middle of the thickness, see Figure A1.
The webs are not vertical. Therefore, the plastic neutral axes are inclined. See the dash-dotted line in the figure.
The nodes 0 (6) and 3 should be given such values that the y-coordinate for the two parts 0-1-2-3 and 3-4-5-6 have the same horizontal gravity center. This can be achieved by trial and error. See the end of the example.
The plastic neutral axis in the left web is then found to be .
The short for web inclination (cotangent) is .
The plastic neutral axis coordinates and were given such values that the gravity centers of the two halves are the same. Due to symmetry, this is in the middle of the section.
The nodes for a coordinate system with the origin in the lower left corner and the thicknesses for are
Figure A1.
Cross-section of oblique hollow section.
The plastic section modulus, if the plastic neutral axis is horizontal, is in the middle of the webs (which is correct for y-axis bending only if the beam is laterally restrained all along its length) according to EN 1999-1-1: 2023 [] Annex G.10.1 for .
First, check that the cross-section is divided in two equal areas.
Cross-section area of upper half:
Cross-section area of lower half:
Set negative t for the lower half, which corresponds to tension in the lower half.
Plastic section modulus according to (G.39) [], here (1) and (A6):
Compare to .
In Figure A2, the upper blue part is in compression and the bottom red lower part is in tension.
Figure A2.
Cross-section divided into two parts.
The formulae below were used in order to find the horizontal gravity center in the trial-and-error procedure. When the gravity centers are the same, then is found. The areas of all cross-section parts are
For the upper part, the gravity center is
where the node divides the area into two parts.
For the lower part:
References
- Kazinczy, G. Beton und Eisen; W. Ernst & Sohn: Berlin, Germany, 1933; Volume 32, pp. 74–80. [Google Scholar]
- Kurrer, K.-E. Hermann Maier-Leibnitz (1885–1962): Wegbereiter des Industriebaus der klassischen Moderne. Stahlbau 2005, 74, 623–634. [Google Scholar] [CrossRef]
- Maier-Leibnitz, H. Beitrag zur Frage der tatsächlichen Tragfähigkeit einfacher und durchlaufender Balkenträger aus St37 und aus Holz. Die Bautech. 1928, 6, 11–14. [Google Scholar]
- Maier-Leibnitz, H. Versuche mit eingespannten und einfachen Balken von I-Form aus St 37. Bautechnik 1929, 7, 313–318, Stahlbau. 1936. [Google Scholar]
- Beedle, L.S.; Thurlimann, B.; Ketter, R.L. Plastic Design in Structural Steel; Lecture Notes, Summer Course, Lehigh University, Bethlehem, PA, USA; AISC: New York, NY, USA, 1955. [Google Scholar]
- Mrázik, A.; Škaloud, M.; Tocháček, M. Plastic Design of Steel Structures; Ellis Horwood Limited: Chichester, UK, 1986. [Google Scholar]
- Strel’bickaja, A.I. Investigation of Resistance of Thin-Walled Columns Behind Yield Strength; Publishing House of AN USSR: Kyiv, Ukraine, 1958. (In Russian) [Google Scholar]
- Kindmann, R.; Frickel, J. Grenztragfähigkeit von häufig verwendeten Stabquerschnitten für beliebige Schnittgrößen. Stahlbau 1999, 68, 817–828. [Google Scholar] [CrossRef]
- Kindmann, R.; Frickel, J. Elastische und Plastische Querschnittstragfähigkeit Grundlagen, Methoden, Berechnungsverfahren, Beispiele; Mit CD-ROM: RUBSTAHL Lehr-und Lernprogramme; Ernst & Sohn, Wiley Company: Berlin, Germany, 2002. [Google Scholar]
- Osterrieder, P.; Kretzschmar, J. First-hinge analysis for lateral buckling design of open thin-walled steel members. J. Constr. Steel Res. 2006, 62, 35–43. [Google Scholar] [CrossRef]
- Vayas, I. Interaktion der plastischen Grenzschnittgrößen doppelsymmetrischer I-Querschnitte. Stahlbau 2000, 69, 693–706. [Google Scholar] [CrossRef]
- Vayas, I.; Charalampakis, A.; Koumousis, V. Inelastic resistance of angle sections subjected to biaxial bending and normal forces. Steel Constr. 2009, 2, 138–146. [Google Scholar] [CrossRef]
- Baláž, I. EN 1993-1-1:2024; Slovak National Annex to STN. ÚNMS SR: Bratislava, Slovakia, 2024. [Google Scholar]
- EN 1993-1-1:2022; Eurocode 3: Design of Steel Structures. Part 1-1: General Rules and Rules for Buildings. CEN: Brussels, Belgium, 2022.
- EN 1999-1-1:2023; Eurocode 9: Design of Aluminium Structures. Part 1-1: General Structural Rules. CEN: Brussels, Belgium, 2023.
- EN 1993-1-1:2005; Eurocode 3: Design of Steel Structures. Part 1-1: General Rules and Rules for Buildings. CEN: Brussels, Belgium, 2005.
- EN 1999-1-1:2007; Eurocode 9: Design of Aluminium Structures. Part 1-1: General Structural Rules. CEN: Brussels, Belgium, 2007.
- Baláž, I. Slovak Comments to prEN 1993-1-1. Sent to CEN/TC250 SC3 WG1 20.11.2020; ÚNMS SR: Bratislava, Slovakia, 2023. [Google Scholar]
- Gardner, L. The Continuous Strength Method for Steel, Stainless Steel and Aluminium Structural Design. In Proceedings of the Eight International Conference on Steel and Aluminium Structures, Hong Kong, China, 7–9 December 2016. [Google Scholar]
- Baláž, I.; Koleková, Y. Resistances of I- and U-Sections. Combined Bending and Torsion Internal Forces. In Proceedings of the Eurosteel 2017, Copenhagen, Denmark, 13–15 September 2017; Paper No. 13_12_ 772 on USB. pp. 1–10. [Google Scholar]
- Baláž, I.; Koleková, Y. Plastic Resistance of I- and U-section under Bending and Torsion. In Institut für Konstruktion und Entwurf Universität Stuttgrat. Stahlbau, Holzbau und Verbundbau. Festschrift zum 60. Geburtstag von Univ.-Prof. Dr.-Ing. Ulrike Kuhlmann; Ernst & Sohn. A Wiley Brand: Berlin, Germany, 2017; pp. 203–209. [Google Scholar]
- Dlubal Software GmbH. Programm DUENQ (Shape-Thin) 8.07.03.185540 x32; Dlubal Software GmbH: Tiefenbach, Germany, 2016. [Google Scholar]
- Wolf, C.; Frickel, J. Programm QST-TSV-3Blech; Ruhr-Universität Bochum: Bochum, Germany, 2006. [Google Scholar]
- Mirambell, E.; Bordallo, J.; Real, E. Torsion and its interaction with other internal forces in EN 1993-1-1—A new approach. Steel Constr. 2016, 9, 240–248. [Google Scholar]
- Baláž, I.; Kováč, M.; Živner, T.; Koleková, Y. Plastic resistance of H-section to interaction of bending moment My,Ed and bimoment BEd. In Proceedings of the 2nd International Conference on Engineering Sciences and Technologies, High Tatras Mountains, Tatranské Matliare, Slovak Republic, Leiden, The Netherlands, 29 June–1 July 2016; A Balkema Book. CRC Press: Boca Raton, FL, USA; Taylor & Francis Group: Abingdon, UK, 2017; pp. 33–38. [Google Scholar]
- Baláž, I.; Kováč, M.; Živner, T.; Koleková, Y. Plastic resistance of IPE-section to interaction of bending internal forces My,Ed, Vz,Ed and torsion internal forces BEd, Tω,Ed and Tt,Ed. In Proceedings of the 2nd International Conference on Engineering Sciences and Technologies, High Tatras Mountains, Tatranské Matliare, Slovak Republic, Leiden, The Netherlands, 29 June–1 July 2016; A Balkema Book. CRC Press: Boca Raton, FL, USA; Taylor & Francis Group: Abingdon, UK, 2017; pp. 27–32. [Google Scholar]
- Baláž, I.; Koleková, Y.; Agüero, A. Plastic Resistance of Channel Sections under Various Internal Forces. In Proceedings of the AIPC Proceedings, ICNAAM 2022, Crete, Greece, 19–25 September 2022; Volume 3094, p. 170003; 20th International Conference of Numerical Analysis and Applied Mathematics European Society of Computational Methods in Sciences and Engineering (ESCMCE); Symposium: Recent Advances in Numerical Methods and Simulations in Statics and Dynamics of Structures. In Proceedings of the AIP Conference Proceedings, Research Article, 7 June 2024; pp. 170004-1–170004-4. [Google Scholar] [CrossRef]
- Baláž, I.; Koleková, Y.; Agüero, A. Plastic Resistance of Z-Sections under Various Internal Forces. In Proceedings of the 7th World Multidisciplinary Civil Engineering-Architecture-Urban Planning Symposium WMCAUS 2022, Prague, Czech Republic, 5–9 September 2022; Volume 2928, p. 150013. [Google Scholar] [CrossRef]
- Agüero, A.; Baláž, I.; Koleková, Y.; Moroczová, L. New interaction formula for the plastic resistance of I- and H-sections under combinations of bending moments My,Ed, Mz,Ed and bimoment BEd. Structures 2021, 29, 577–585. [Google Scholar] [CrossRef]
- Agüero, A.; Baláž, I.; Koleková, Y.; Lázaro, M. New interaction formula for plastic resistance of channel sections under combinations of bending moments My,Ed, Mz,Ed and bimoment BEd. Structures 2022, 44, 594–602. [Google Scholar] [CrossRef]
- Agüero, A.; Baláž, I.; Koleková, Y.; Lázaro, M. New interaction formula for plastic resistance of Z-sections under combinations of bending moments My,Ed, Mz,Ed and bimoment BEd. Buildings 2023, 13, 1778. [Google Scholar] [CrossRef]
- Höglund, T.; Strömberg, J. Cold-formed members and sheeting. The textbook series Construction in steel–Textbooks for designers. KTH Building Science. Luleå University of Technology. Swedish Institute of Steel Construction. Modul 2006, 7, 1–149. [Google Scholar]
Disclaimer/Publisher’s Note: The statements, opinions and data contained in all publications are solely those of the individual author(s) and contributor(s) and not of MDPI and/or the editor(s). MDPI and/or the editor(s) disclaim responsibility for any injury to people or property resulting from any ideas, methods, instructions or products referred to in the content. |
© 2024 by the authors. Licensee MDPI, Basel, Switzerland. This article is an open access article distributed under the terms and conditions of the Creative Commons Attribution (CC BY) license (https://creativecommons.org/licenses/by/4.0/).

























































