Test and Analysis for Shearing Behavior of Circular CFST Columns
Abstract
1. Introduction
2. Specimen and Test Setup
3. Experimental Results
4. Finite Element Model for Analysis
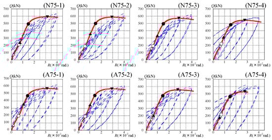
5. Analytical Results and Discussions
6. Comparisons of Test, Analysis, and Calculation
7. Conclusions
- In the tests, shear yielding of the steel tube was observed before each specimen exhibited the maximum strength. Diagonal cracks were observed in the inner concrete after the tests were conducted.
- The results of the 3D-FEM analyses traced the overall trend of the shearing force and drift angle relations obtained from the tests.
- The maximum strengths of the specimens obtained from the test and analysis were lower than the flexural capacities calculated by the CFST Recommendations in Japan. The load-carrying capacities of the CFST short columns were influenced by shearing forces.
- The maximum strengths of the tests were compared with the shearing capacities calculated by the CFST Recommendations in Japan. The maximum strengths of the tests were underestimated, with 29% errors. The value of the standard deviation of the ratio of the test and calculation was 0.034.
- The maximum strength of the tests was the evaluated safety, with a 12% error by the 3D-FEM analyses. The value of the standard deviation of the ratio of the test and analysis was 0.033.
Author Contributions
Funding
Data Availability Statement
Acknowledgments
Conflicts of Interest
References
- El-Tawil, S.; Bracci, J. Recent Findings from Phase V of the United States-Japan Cooperative Earthquake Research Program. ASCE J. Struct. Eng. 2004, 130, 155–156. [Google Scholar] [CrossRef]
- Goel, S.C. United States-Japan Cooperative Earthquake Engineering Research Program on Composite and Hybrid Structures. ASCE J. Struct. Eng. 2004, 130, 157–158. [Google Scholar] [CrossRef]
- Spacone, E.; EI-Tawil, S. Nonlinear Analysis of Steel-Concrete Composite Structures: State of the Art. ASCE J. Struct. Eng. 2004, 130, 159–168. [Google Scholar] [CrossRef]
- Varma, A.H.; Ricles, J.M.; Sause, R.; Lu, L.W. Seismic Behavior and Design of High-Strength Square Concrete-Filled Steel Tube Beam Columns. ASCE J. Struct. Eng. 2004, 130, 169–179. [Google Scholar] [CrossRef]
- Sakino, K.; Nakahara, H.; Morino, S.; Nishiyama, I. Behavior of Centrally-Loaded Concrete-Filled Steel Tube Short Columns. ASCE J. Struct. Eng. 2004, 130, 180–188. [Google Scholar] [CrossRef]
- Inai, E.; Mukai, A.; Kai, M.; Tokinoya, H.; Fukumoto, T.; Koji Morita, K. Behavior of Concrete-Filled Steel Tube Beam Columns. ASCE J. Struct. Eng. 2004, 130, 189–202. [Google Scholar] [CrossRef]
- Fujimoto, T.; Mukai, A.; Nishiyama, I.; Sakino, K. Behavior of Eccentrically Loaded Concrete-Filled Steel Tubular Columns. ASCE J. Struct. Eng. 2004, 130, 203–212. [Google Scholar] [CrossRef]
- Azizinamini, A.; Schneider, S.P. Moment Connections to Circular Concrete-Filled Steel Tube Columns. ASCE J. Struct. Eng. 2004, 130, 213–222. [Google Scholar] [CrossRef]
- Ricles, J.M.; Peng, S.W.; Lu, L.W. Seismic Behavior of Composite Concrete Filled Steel Tube Column-Wide Flange Beam Moment Connections. ASCE J. Struct. Eng. 2004, 130, 223–232. [Google Scholar] [CrossRef]
- MacRae, G.; Roeder, C.W.; Gunderson, C.; Kimura, Y. Brace-Beam-Column Connections for Concentrically Braced Frames with Concrete Filled Tube Columns. ASCE J. Struct. Eng. 2004, 130, 233–243. [Google Scholar] [CrossRef]
- Nishiyama, I.; Fujimoto, T.; Fukumoto, T.; Yoshioka, K. Inelastic Force-Deformation Response of Joint Shear Panels in Beam-Column Moment Connections to Concrete-Filled Tubes. ASCE J. Struct. Eng. 2004, 130, 244–252. [Google Scholar] [CrossRef]
- Nakahara, H.; Sakino, K. Hysteretic Behavior of Concrete Filled Steel Tubular Columns under Uniform Bending. ACI Int. Symp. Confin. Concr. 2006, 238, 289–304. [Google Scholar]
- Koester, B.D.; Uchida, K.; Noguchi, H.; Yura, J.A.; Jirsa, J.O. Panel-Zone Behavior of Moment Connections Between Steel Beams and Concrete-Filled Steel Tube Columns, Proceedings of the Structural Engineers World Congress, San Francisco, CA, USA, 18–23 July 1998; Elsevier Science: Amsterdam, The Netherlands, 1998. [Google Scholar]
- Noguchi, H.; Uchida, K. Finite Element Method Analysis of Hybrid Structural Frames with Reinforced Concrete Columns and Steel Beams. ASCE J. Struct. Eng. 2004, 130, 328–335. [Google Scholar] [CrossRef]
- Architectural Institute of Japan (AIJ). Recommendations for Design and Construction of Concrete Filled Steel Tubular Structures; Architectural Institute of Tokyo: Tokyo, Japan, 2008. [Google Scholar]
- Sakino, K.; Ishibashi, H. Experimental Studies on Concrete Filled Square Steel Tubular Short Columns Subjected to Cyclic Shearing Force and Constant Axial Force. AIJ J. Struct. Constr. Eng. 1985, 353, 81–91. [Google Scholar] [CrossRef][Green Version]
- Choi, K.K.; Xiao, Y. Analytical Studies of Concrete-Filled Circular Steel Tubes under Axial Compression. ASCE J. Struct. Eng. 2010, 136, 565–573. [Google Scholar] [CrossRef]
- Hu, H.T.; Huang, C.S.; Wu, M.H.; Wu, Y.M. Nonlinear Analysis of Axially Loaded Concrete-Filled Tube Columns with Confinement Effect. ASCE J. Struct. Eng. 2003, 129, 1322–1329. [Google Scholar] [CrossRef]
- Varma, A.H.; Sause, R.; Ricles, J.M.; Li, Q. Development and Validation of Fiber Model for High-Strength Square Concrete-Filled Steel Tube Beam-Columns. ACI Struct. J. 2005, 102, 73–85. [Google Scholar]
- Chiew, S.P.; Lie, S.T.; Dai, C.W. Moment Resistance of Steel I-Beam to CFST Column Connections. ASCE J. Struct. Eng. 2001, 127, 1164–1172. [Google Scholar] [CrossRef]
- Tort, C.; Hajjar, J.F. Mixed Finite-Element Modelling of Rectangular Concrete-Filled Steel Tube Members and Frames under Static and Dynamic Loads. ASCE J. Struct. Eng. 2010, 136, 654–664. [Google Scholar] [CrossRef]
- Roeder, C.; Lehman, D.; Heid, A.; Maki, T. Shear Design Expressions for Concrete Filled Steel Tube and Reinforced Concrete Filled Tube Components. WSDOT Research Report. Seattle, Washington. 2016. Available online: https://www.wsdot.wa.gov/research/reports/fullreports/776.2.pdf (accessed on 12 June 2016).
- Vecchio, F.J.; Collins, M.P. The Modified compression-Field Theory for Reinforced Concrete Elements Subjected to Shear. ACI J. 1986, 83, 219–231. [Google Scholar]
- Architectural Institute of Japan (AIJ). Design Guidelines for Earthquake Resistant Reinforced Concrete Building Based on Inelastic Displacement Concept; Architectural Institute of Japan: Tokyo, Japan, 2010. [Google Scholar]
- Hordjik, D.A. Local Approach to Fatigue of Concrete. Ph.D. Thesis, Delft University of Technology, Delft, The Netherlands, 1991. [Google Scholar]
- Japan Society of Civil Engineers (JSCE). Standard Specifications for Concrete Structures; Japan Society of Civil Engineers: Tokyo, Japan, 2012. [Google Scholar]
- Feenstra, P.H. Computational Aspects of Biaxial Stress in Plain and Reinforced Concrete. Ph.D. Thesis, Delft University of Technology, Delft, The Netherlands, 1993. [Google Scholar]
- Nakamura, H.; Higai, T. Compressive Fracture Energy and Fracture Zone Length of Concrete. In JCI-C51E Seminar on Post-Peak Behavior of RC Structures Subjected to Seismic Loads; Japan Concrete Institute: Tokyo, Japan, 2001; pp. 259–272. [Google Scholar]
- Komuro, M.; Kishi, N.; Zhang, G. Analytical Study on Load-Carrying of Partially Concrete-Filled Steel-Pipe Pier Models. JSCE J. Appl. Mech. 2003, 6, 475–486. [Google Scholar] [CrossRef]

















| Specimen | D (mm) | t (mm) | D/t | a/D | cσB (N/mm2) | σy (N/mm2) | N/N0 | Annealing |
|---|---|---|---|---|---|---|---|---|
| N75-1 | 165 | 4.87 | 34 | 0.75 | 50.8 | 531 | 0.1 | × (Non-annealed) |
| Non | 0.2 | |||||||
| N75-3 | 0.3 | |||||||
| N75-4 | 0.4 | |||||||
| A75-1 | 507 | 0.1 | ○ (Annealed) | |||||
| A75-2 | 0.2 | |||||||
| A75-3 | 0.3 | |||||||
| A75-4 | 0.4 |
| Specimen | Ec (N/mm2) | cσB (N/mm2) | σt (N/mm2) | Gc (N/mm) | Gf (N/mm) |
|---|---|---|---|---|---|
| N75 | 3.12 × 104 | 50.9 | 2.35 | 62.6 | 0.108 |
| A75 |
| Specimen | t (mm) | Es (N/mm2) | σy (N/mm2) | H (N/mm2) |
|---|---|---|---|---|
| N75 | 4.87 | 2.01 × 105 | 531 | 2.01 × 103 |
| A75 | 507 |
| Specimen | kn (N/mm3) | kt (N/mm3) | c (N/mm2) | tanΦ | ft (N/mm2) |
|---|---|---|---|---|---|
| N75 | 1.0 × 104 | 1.0 × 103 | 0.783 | 3.6 | 0 |
| A75 |
| Specimen | Q′max (kN) | Qana (kN) | Qsu (kN) | Qbu (kN) | Q′max/Qana | Q′max/Qsu | Qana/Qsu | Qana/Qbu |
|---|---|---|---|---|---|---|---|---|
| N75-1 | 655 | 592 | 506 | 703 | 1.11 | 1.29 | 1.17 | 0.84 |
| N75-2 | 672 | 588 | 517 | 725 | 1.14 | 1.30 | 1.14 | 0.81 |
| N75-3 | 649 | 573 | 511 | 728 | 1.13 | 1.27 | 1.12 | 0.79 |
| N75-4 | 596 | 545 | 489 | 712 | 1.09 | 1.22 | 1.12 | 0.77 |
| A75-1 | 627 | 582 | 486 | 671 | 1.08 | 1.29 | 1.20 | 0.87 |
| A75-2 | 654 | 571 | 496 | 694 | 1.15 | 1.32 | 1.15 | 0.82 |
| A75-3 | 620 | 557 | 490 | 698 | 1.11 | 1.27 | 1.14 | 0.80 |
| A75-4 | 629 | 531 | 468 | 683 | 1.19 | 1.34 | 1.13 | 0.78 |
| Ave. | 1.12 | 1.29 | 1.15 | 0.81 | ||||
| St. dev. | 0.033 | 0.034 | 0.025 | 0.031 | ||||
| Specimen | sQana (kN) | cQana (kN) | sQana/Qana | cQana/Qana | sQana/sQsu | cQana/cQsu |
|---|---|---|---|---|---|---|
| N75-1 | 442 | 161 | 0.73 | 0.27 | 1.14 | 1.30 |
| N75-2 | 434 | 163 | 1.08 | 1.27 | ||
| N75-3 | 424 | 159 | 1.08 | 1.26 | ||
| N75-4 | 404 | 151 | 1.09 | 1.34 | ||
| A75-1 | 424 | 161 | 0.72 | 0.28 | 1.15 | 1.32 |
| A75-2 | 417 | 164 | 1.09 | 1.27 | ||
| A75-3 | 405 | 161 | 1.08 | 1.28 | ||
| A75-4 | 389 | 150 | 1.09 | 1.32 | ||
| Ave. | 0.72 | 0.28 | 1.10 | 1.29 | ||
Disclaimer/Publisher’s Note: The statements, opinions and data contained in all publications are solely those of the individual author(s) and contributor(s) and not of MDPI and/or the editor(s). MDPI and/or the editor(s) disclaim responsibility for any injury to people or property resulting from any ideas, methods, instructions or products referred to in the content. |
© 2024 by the authors. Licensee MDPI, Basel, Switzerland. This article is an open access article distributed under the terms and conditions of the Creative Commons Attribution (CC BY) license (https://creativecommons.org/licenses/by/4.0/).
Share and Cite
Nakahara, H.; Uchida, K.; Yanai, Y. Test and Analysis for Shearing Behavior of Circular CFST Columns. Buildings 2024, 14, 3871. https://doi.org/10.3390/buildings14123871
Nakahara H, Uchida K, Yanai Y. Test and Analysis for Shearing Behavior of Circular CFST Columns. Buildings. 2024; 14(12):3871. https://doi.org/10.3390/buildings14123871
Chicago/Turabian StyleNakahara, Hiroyuki, Kazuhiro Uchida, and Yuto Yanai. 2024. "Test and Analysis for Shearing Behavior of Circular CFST Columns" Buildings 14, no. 12: 3871. https://doi.org/10.3390/buildings14123871
APA StyleNakahara, H., Uchida, K., & Yanai, Y. (2024). Test and Analysis for Shearing Behavior of Circular CFST Columns. Buildings, 14(12), 3871. https://doi.org/10.3390/buildings14123871
