An Experimental Investigation on the Degradation of Material Properties of Naturally Corroded Bailey Truss
Abstract
1. Introduction
2. Monotonic Tensile Test
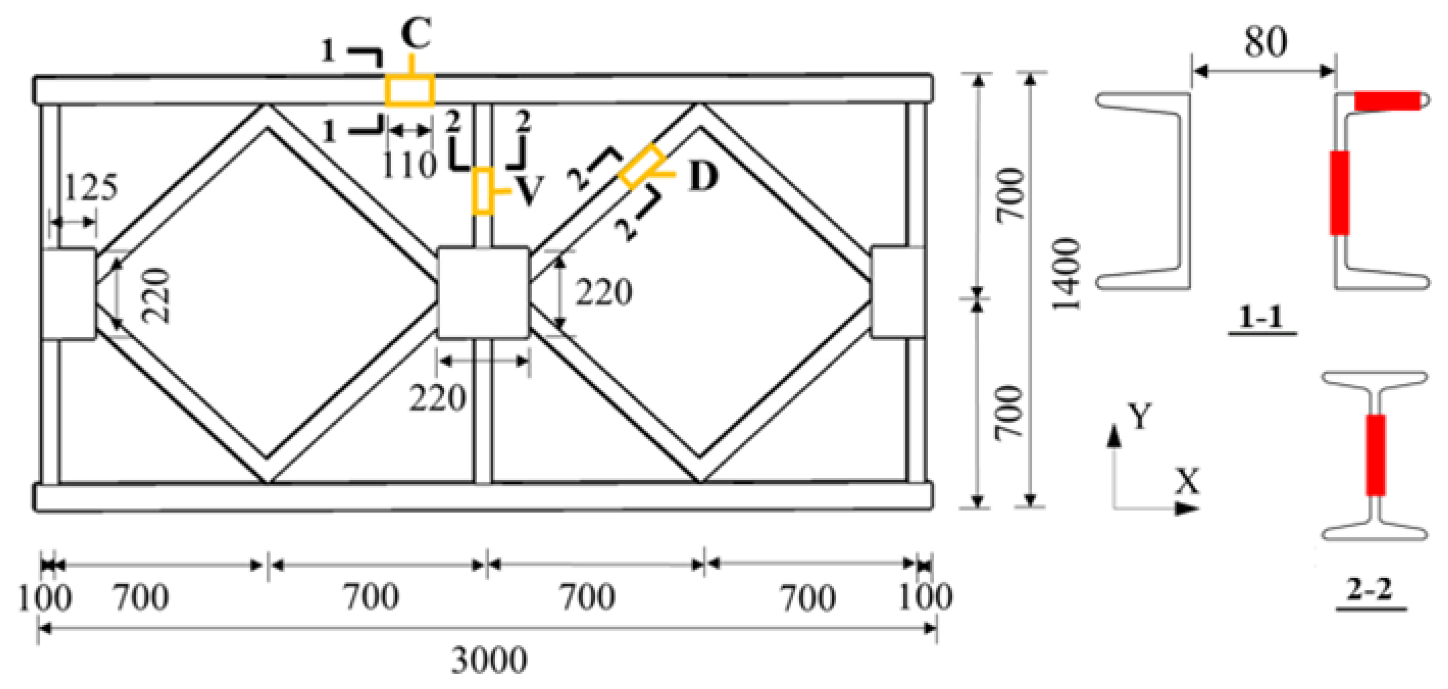
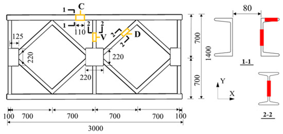
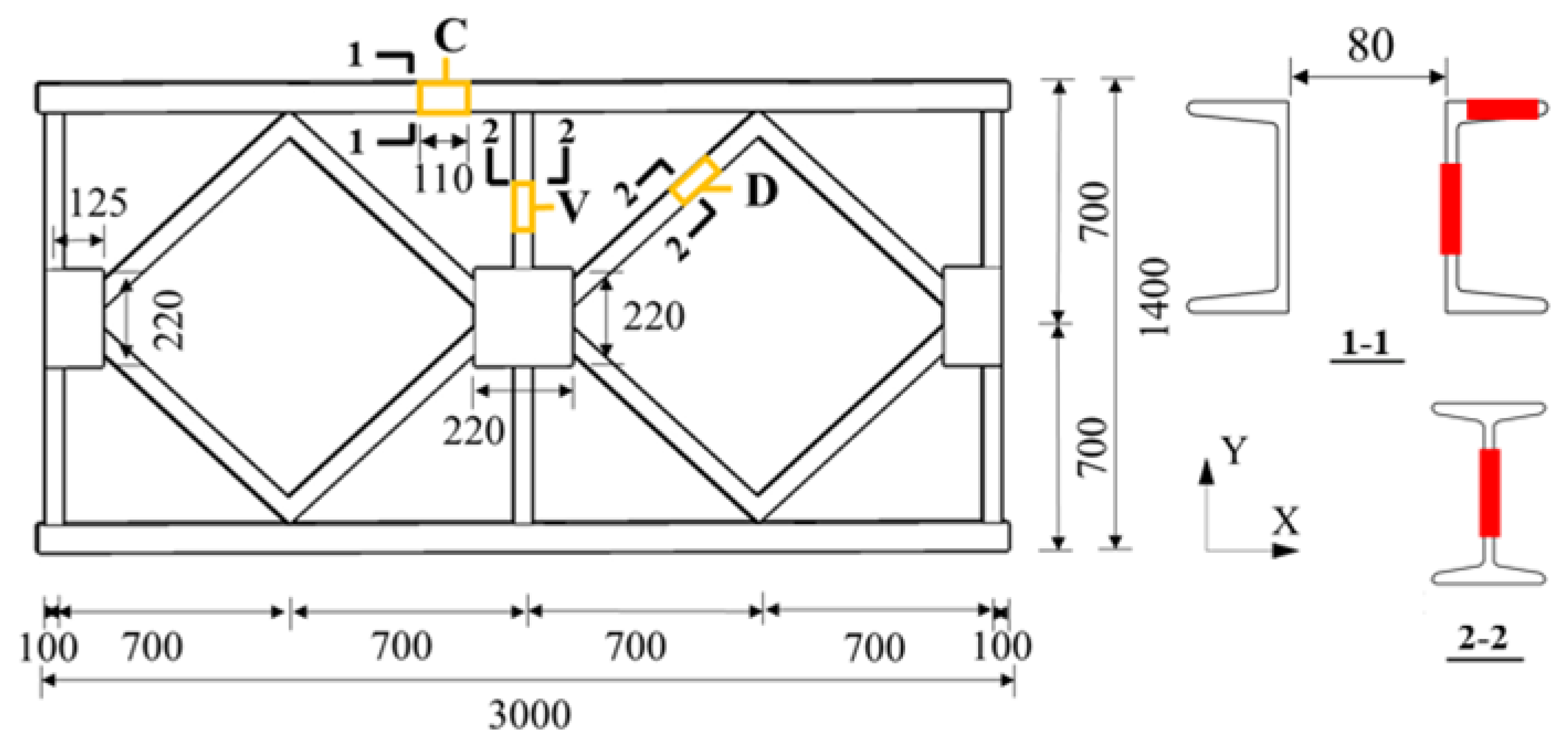
2.1. Specimen Preparation
2.2. Loss Rate in Terms of the Minimum Cross-Sectional Area of the Corrosion Specimens Dam
2.3. Experimental Instruments and Loading Measurement Methods
2.4. Results of the Test
3. Degradation Analysis of the Material Properties of the Members
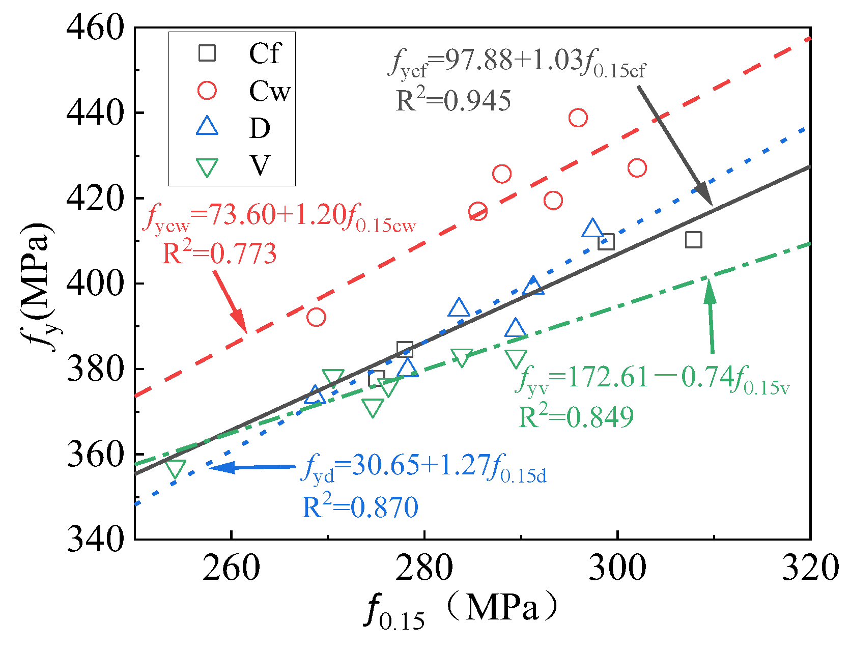
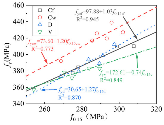
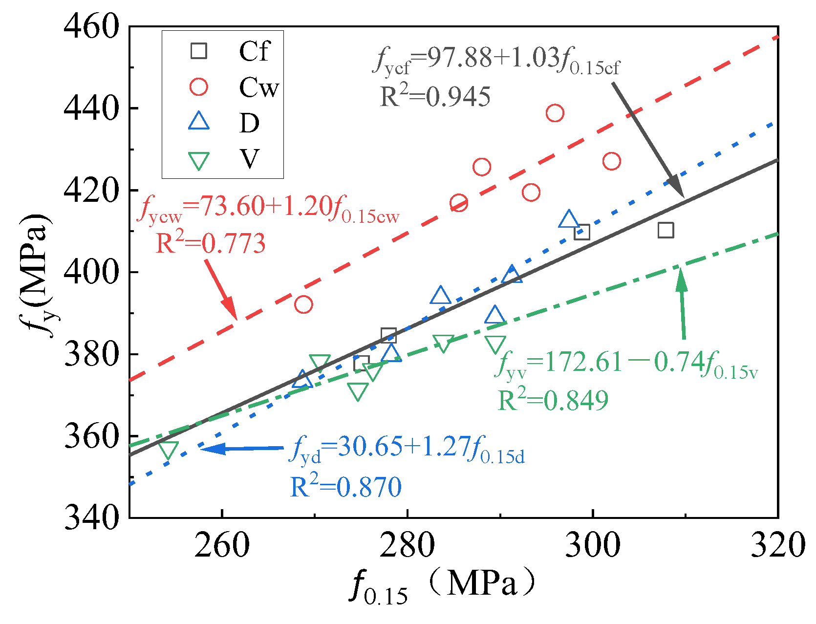
3.1. Selection Method for the Yield Strength
3.2. Comparison of the Mechanical Properties Between the Cc Group and Zn Group
3.3. Regression Curve on the Degraded Mechanical Properties of the Co Group
3.4. Comparison of the Degradation of the Mechanical Properties of Corroded Steel
4. True Constitutive Model of the Corroded Members
4.1. Fitting Equation for the Strengthening Section of the True Stress–Strain Curve
4.2. The Fitting Formulas for the Strengthening Section of the Non-Corroded Group
4.3. True Constitutive Model of the Corroded Group
5. Conclusions
- (1)
- The mechanical properties of the Zn group and Cc group are similar and exhibit the same distribution, allowing them to be considered as being made from the same material. In the Co group, the chord flange section experiences the most significant loss, while the diagonal web experiences the most severe corrosion, with the chord web section showing the least loss and decline in its mechanical properties;
- (2)
- The comparison of the three degradation models reveals that the mechanical properties (E, fy, fu, and δ) decrease linearly with the increase in the Dam. The E and fy of the diagonal web are more seriously degraded than most steels, including high-strength steel. The comparison of the yield-to-ultimate strength ratio of different parts shows that the degradation of the fy and fu in the same specimen of the Bailey truss is similar;
- (3)
- The RO model more effectively represents the strengthening section for Bailey truss members. The fitted multi-curve constitutive models, which accurately consider linear degradation, are suitable for the four parts of naturally corroded Bailey truss to predict the residual mechanical properties of corroded Bailey truss members.
Author Contributions
Funding
Data Availability Statement
Conflicts of Interest
References
- Liu, P.; Liu, C.; Zhang, S.; Wang, Y.; Wang, Q. Depth-varying corrosion characteristics and stability bearing capacity of steel pipe piles under aggressive marine environment. Ocean Eng. 2022, 266, 112649. [Google Scholar] [CrossRef]
- Kusimba, B.A.; Rinzin, T.; Banno, Y.; Kinoshita, K. Condition Assessment and Adaptation of Bailey Bridges as a Permanent Structures. Appl. Sci. 2022, 12, 11673. [Google Scholar] [CrossRef]
- Parivallal, S.; Narayanan, T.; Ravisankar, K.; Kesavan, K.; Maji, S. Instrumentation and Response Measurement of a Double-Lane Bailey Bridge During Load Test. Strain 2005, 41, 25–30. [Google Scholar] [CrossRef]
- Yi, P.; Vaghela, G.; Buckland, A. Condition assessment and load rating of arced Bailey bridge. In Proceedings of the Austroads Birdge Conference, Sydney, Australia, 22–24 October 2014; pp. 161–171. [Google Scholar]
- Khounsida, T.; Nishikawa, T.; Nakamura, S.; Okumatsu, T.; Thepvongsa, K. Study on static and dynamic behavior of Bailey bridge. In Proceedings of the 2019 World Congress on Advances in Structural Engineering and Mechanics, Jeju Island, Republic of Korea, 17–21 September 2019; pp. 359–370. [Google Scholar]
- Gathimba, N.; Kitane, Y.; Yoshida, T.; Itoh, Y. Surface roughness characteristics of corroded steel pipe piles exposed to marine environment. Constr. Build. Mater. 2019, 203, 267–281. [Google Scholar] [CrossRef]
- Jia, C.; Shao, Y.; Guo, L.; Liu, Y. Mechanical properties of corroded high strength low alloy steel plate. J. Constr. Steel Res. 2020, 172, 106160. [Google Scholar] [CrossRef]
- Jia, C.; Shao, Y.; Guo, L.; Liu, Y. Incipient corrosion behavior and mechanical properties of low-alloy steel in simulated industrial atmosphere. Constr. Build. Mater. 2018, 187, 1242–1252. [Google Scholar] [CrossRef]
- Jia, C.; Shao, Y.; Guo, L.; Huang, H. Surface topography and stress concentration analysis for corroded high strength steel plate. J. Constr. Steel Res. 2021, 187, 106952. [Google Scholar] [CrossRef]
- Zhang, J.; Shi, X.H.; Soares, C.G. Experimental analysis of residual ultimate strength of stiffened panels with pitting corrosion under compression. Eng. Struct. 2017, 152, 70–86. [Google Scholar] [CrossRef]
- Yang, H.-Q.; Zhang, Q.; Tu, S.-S.; Wang, Y.; Li, Y.-M.; Huang, Y. A study on time-variant corrosion model for immersed steel plate elements considering the effect of mechanical stress. Ocean Eng. 2016, 125, 134–146. [Google Scholar] [CrossRef]
- Yang, H.-Q.; Zhang, Q.; Tu, S.-S.; Wang, Y.; Li, Y.-M.; Huang, Y. Effects of inhomogeneous elastic stress on corrosion behaviour of Q235 steel in 3.5% NaCl solution using a novel multi-channel electrode technique. Corros. Sci. 2016, 110, 1–14. [Google Scholar] [CrossRef]
- Xue, X.; Hua, J.; Wang, F.; Wang, N.; Li, S. Mechanical Property Model of Q620 High-Strength Steel with Corrosion Effects. Buildings 2022, 12, 1651. [Google Scholar] [CrossRef]
- Zhang, C.; Zhu, H.; Zhu, L. Effect of interaction between corrosion and high temperature on mechanical properties of Q355 structural steel. Constr. Build. Mater. 2020, 271, 121605. [Google Scholar] [CrossRef]
- Sheng, J.; Xia, J. Effect of simulated pitting corrosion on the tensile properties of steel. Constr. Build. Mater. 2017, 131, 90–100. [Google Scholar] [CrossRef]
- Guo, Q.; Zhao, Y.; Xing, Y.; Jiao, J.; Fu, B.; Wang, Y. Experimental and numerical analysis of mechanical behaviors of long-term atmospheric corroded Q235 steel. Structures 2022, 39, 115–131. [Google Scholar] [CrossRef]
- Nie, B.; Xu, S.; Zhang, Z.; Gu, R. Experimental investigation on corroded cold-formed steel beam-columns under compression and major axis bending. J. Constr. Steel Res. 2020, 169, 106026. [Google Scholar] [CrossRef]
- Garbatov, Y.; Soares, C.G.; Parunov, J.; Kodvanj, J. Tensile strength assessment of corroded small scale specimens. Corros. Sci. 2014, 85, 296–303. [Google Scholar] [CrossRef]
- Xia, R.; Jia, C.; Liu, C.; Liu, P.; Zhang, S. Non-uniform corrosion characteristics of the steel pipe pile exposed to marine environments. Ocean Eng. 2023, 272, 113873. [Google Scholar] [CrossRef]
- Sun, M.; Yuan, C.; Xia, R.; Liu, C. Degradation of Corroded Steel Pipe Pile Materials Exposed to Marine Environment. Prog. Build. Steel Struct. 2024, 26, 66–73+87. (In Chinese) [Google Scholar]
- GB/T19879-2023; Steel Plate for Building Structure. Standards Press of China: Beijing, China, 2023. (In Chinese)
- GB/T228.1-2021; Metallic Materials-Tensile Testing Part 1: Method of Test at Room Temperature. Standards Press of China: Beijing, China, 2021. (In Chinese)
- Kong, Z.; Jin, Y.; Hossen, G.M.S.; Hong, S.; Wang, Y.; Vu, Q.-V.; Truong, V.-H.; Tao, Q.; Kim, S.-E. Experimental and theoretical study on mechanical properties of mild steel after corrosion. Ocean Eng. 2022, 246, 110652. [Google Scholar] [CrossRef]
- Fan, Y.; Zhou, J. Mechanical Property of Rusty Rebar Considering the Effects of Corrosion Pits. J. Build. Mater. 2003, 3, 248–252. (In Chinese) [Google Scholar]
- Tan, P. Research on Mechanical Properties of Q355 Steel in Complex Environment; Southwest University of Science and Technology: Mianyang, China, 2021. (In Chinese) [Google Scholar]
- Chen, Y. Research on the Degradation of Steel Structures for the Needs of Structural Life-Cycle Design and Time-Dependent Reliability in Corrosive Environment; Southeast University: Nanjing, China, 2022. (In Chinese) [Google Scholar]
- Xu, S.; Zhang, Z.; Qin, G. Study on the seismic performance of corroded H-shaped steel columns. Eng. Struct. 2019, 191, 39–61. [Google Scholar] [CrossRef]
- Chen, G. Study on Stress Corrosion Characteristics and Mechanical Properties of Q420qD Steel; Harbin Institute of Technology: Harbin, China, 2020. (In Chinese) [Google Scholar]
- Zhang, W. Experimental Study on Influence of Corrosion on Static and Fatigue Performance of High Performance Steel Specimens; Changsha University of Science and Technology: Changsha, China, 2017. (In Chinese) [Google Scholar]
- Peng, J.X.; Zhang, W.; Yang, Y.M.; Xiao, L.; Zhang, J. Experimental Study on Influence of Corrosion on Mechanical Index of High Performance Steel Q550E. Highw. Traffic Technol. 2018, 35, 56–62. (In Chinese) [Google Scholar]
- Ling, Y. Uniaxial True Stress-strain after Necking. AMP J. Technol. 1996, 5, 37–48. [Google Scholar]
- Garbatov, Y.; Parunov, J.; Kodvanj, J.; Saad-Eldeen, S.; Soares, C.G. Experimental assessment of tensile strength of corroded steel specimens subjected to sandblast and sandpaper cleaning. Mar. Struct. 2016, 49, 18–30. [Google Scholar] [CrossRef]
- Sun, X.; Kong, H.; Wang, H.; Zhang, Z. Evaluation of corrosion characteristics and corrosion effects on the mechanical properties of reinforcing steel bars based on three-dimensional scanning. Corros. Sci. 2018, 142, 284–294. [Google Scholar] [CrossRef]
- Zhu, W.; François, R. Corrosion of the reinforcement and its influence on the residual structural performance of a 26-year-old corroded RC beam. Constr. Build. Mater. 2014, 51, 461–472. [Google Scholar] [CrossRef]
- Wu, H.; Lei, H.; Chen, Y.F.; Qiao, J. Comparison on corrosion behaviour and mechanical properties of structural steel exposed between urban industrial atmosphere and laboratory simulated environment. Constr. Build. Mater. 2019, 211, 228–243. [Google Scholar] [CrossRef]
- Xu, S.; Wang, H.; Su, L. Degradation Law of Mechanical Properties of Q235 Steel Plate in Neutral Salt Spray Corrosion Environment. Mech. Eng. Mater. 2016, 40, 86–91. (In Chinese) [Google Scholar] [CrossRef]
- He, Y. Experimental Study on Monotonic Tensile Behavior of Corroded Steel in Neutral Salt Spray Environment; Xi’an University of Architecture and Technology: Xi’an, China, 2021. (In Chinese) [Google Scholar]
- Ramberg, W.; Osgood, W.R. Description of Stress-Strain Curves by Three Parameters; Technical Note No. 902; National Advisory Committee for Aeronautics: Washington, DC, USA, 1943. [Google Scholar]
- Arrayago, I.; Real, E.; Gardner, L. Description of stress–strain curves for stainless steel alloys. Mater. Des. 2015, 87, 540–552. [Google Scholar] [CrossRef]





















| C | Si | Mn | P | S | V | Nb | Ti | Al | Cr | Cu | Ni | Mo |
|---|---|---|---|---|---|---|---|---|---|---|---|---|
| 0.15 | 0.23 | 1.06 | 0.015 | 0.007 | 0.08 | 0.04 | 0.021 | 0.031 | 0.13 | 0.22 | 0.18 | 0.13 |
| Position | Dam | E | fy | fu | δ | ryu |
|---|---|---|---|---|---|---|
| Cf | 13.15 | 11.69 | 8.98 | 7.91 | 4.13 | −1.16 |
| Cw | 6.08 | 6.55 | 8.63 | 4.94 | 11.17 | −1.49 |
| D | 8.09 | 11.58 | 15.25 | 10.98 | 9.89 | 0.81 |
| V | 7.99 | 7.36 | 11.98 | 7.21 | 7.10 | 2.26 |
| Elasticity Modulus E | Yield Strength fy | |||||||
|---|---|---|---|---|---|---|---|---|
| Cf | Cw | D | V | Cf | Cw | D | V | |
| Equation (3) | 0.853 | 0.893 | 0.936 | 0.718 | 0.822 | 0.881 | 0.718 | 0.683 |
| Equation (4) | 0.790 | 0.900 | 0.893 | 0.464 | 0.731 | 0.816 | 0.418 | 0.451 |
| Equation (5) | 0.851 | 0.888 | 0.935 | 0.720 | 0.822 | 0.880 | 0.717 | 0.684 |
| Ultimate Strength fu | Elongation δ | |||||||
|---|---|---|---|---|---|---|---|---|
| Cf | Cw | D | V | Cf | Cw | D | V | |
| Equation (3) | 0.593 | 0.571 | 0.531 | 0.650 | 0.100 | 0.639 | 0.127 | 0.249 |
| Equation (4) | 0.707 | 0.654 | 0.553 | 0.662 | 0.299 | 0.537 | 0.442 | 0.010 |
| Equation (5) | 0.585 | 0.573 | 0.531 | 0.650 | 0.311 | 0.425 | 0.442 | 0.581 |
| Position | E (GPa) | fy (MPa) | fu (MPa) | δ (%) | ryu |
|---|---|---|---|---|---|
| Cf | 197.7 | 417.7 | 596.0 | 24.63 | 0.702 |
| Cw | 198.1 | 419.5 | 584.0 | 24.65 | 0.719 |
| D | 198.4 | 400.6 | 570.4 | 26.30 | 0.704 |
| V | 197.2 | 392.6 | 553.3 | 27.59 | 0.709 |
Disclaimer/Publisher’s Note: The statements, opinions and data contained in all publications are solely those of the individual author(s) and contributor(s) and not of MDPI and/or the editor(s). MDPI and/or the editor(s) disclaim responsibility for any injury to people or property resulting from any ideas, methods, instructions or products referred to in the content. |
© 2024 by the authors. Licensee MDPI, Basel, Switzerland. This article is an open access article distributed under the terms and conditions of the Creative Commons Attribution (CC BY) license (https://creativecommons.org/licenses/by/4.0/).
Share and Cite
Sun, M.; Liu, C.; Hu, Q.; Zhang, X.; Yin, H. An Experimental Investigation on the Degradation of Material Properties of Naturally Corroded Bailey Truss. Buildings 2024, 14, 3847. https://doi.org/10.3390/buildings14123847
Sun M, Liu C, Hu Q, Zhang X, Yin H. An Experimental Investigation on the Degradation of Material Properties of Naturally Corroded Bailey Truss. Buildings. 2024; 14(12):3847. https://doi.org/10.3390/buildings14123847
Chicago/Turabian StyleSun, Mingyang, Changyong Liu, Qing Hu, Xiuhua Zhang, and Hang Yin. 2024. "An Experimental Investigation on the Degradation of Material Properties of Naturally Corroded Bailey Truss" Buildings 14, no. 12: 3847. https://doi.org/10.3390/buildings14123847
APA StyleSun, M., Liu, C., Hu, Q., Zhang, X., & Yin, H. (2024). An Experimental Investigation on the Degradation of Material Properties of Naturally Corroded Bailey Truss. Buildings, 14(12), 3847. https://doi.org/10.3390/buildings14123847

