A Comparison of the Targeted and Analytic Performance of a Post-Tensioned Frame Structure Through Fragility Analysis
Abstract
1. Introduction
2. Materials and Methods
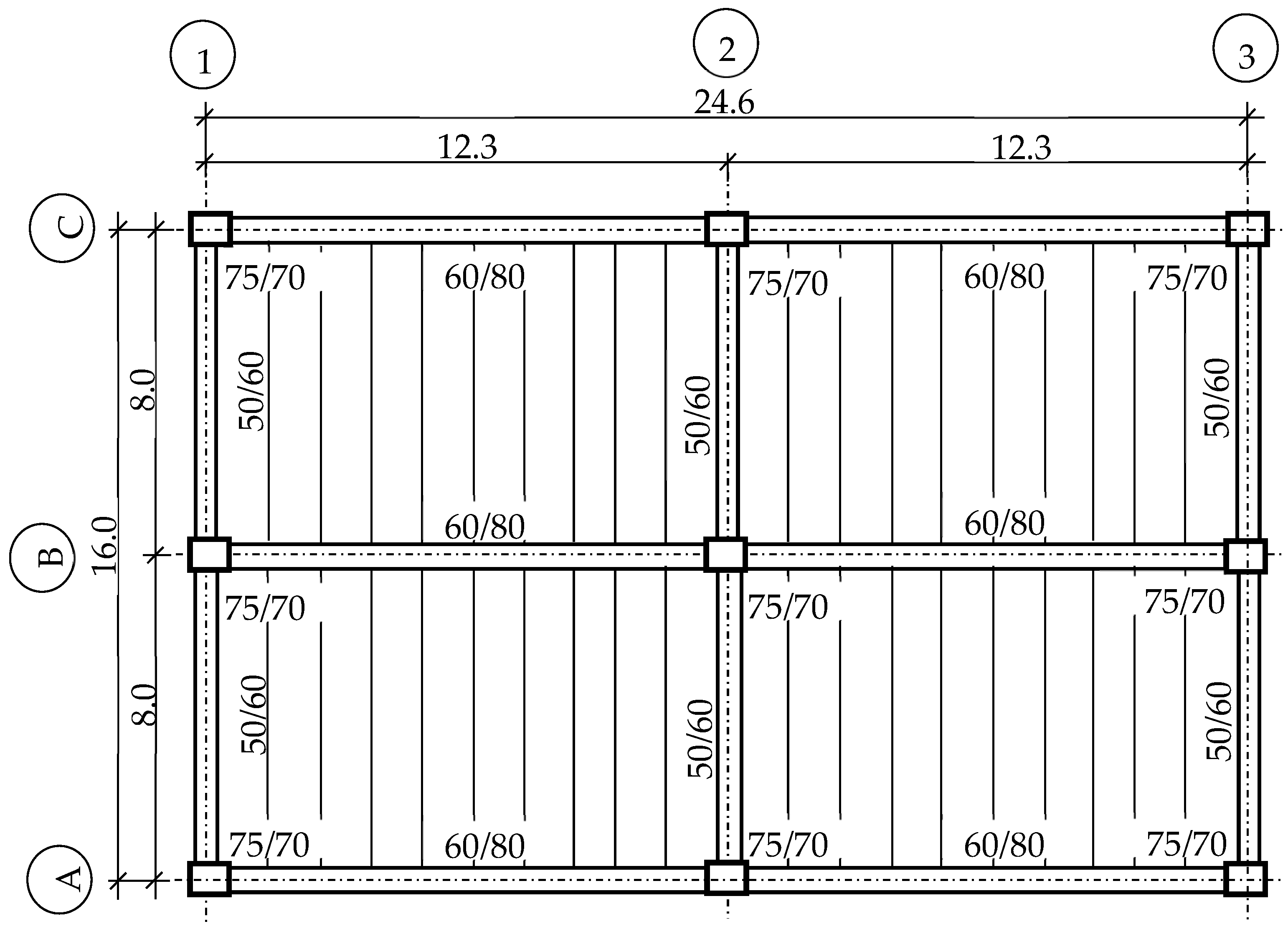
2.1. Sample Building
2.2. Ground Motions
2.3. Damage Levels
2.4. Incremental Dynamic Analysis
- Installation of the 1st story beams following the erection of the prefabricated columns (at these stages the column–beam connections are not rigid)
- Installation of the 1st story slab panels
- Repeating the previous steps for each story (2nd to 7th)
- Post-tensioning of each story (column–beam connections are rigid)
- Casting of the topping concrete of each story
- Applying of live loads, partition walls, and finishing loads
3. Fragility Curves
4. Results
5. Discussion
6. Conclusions
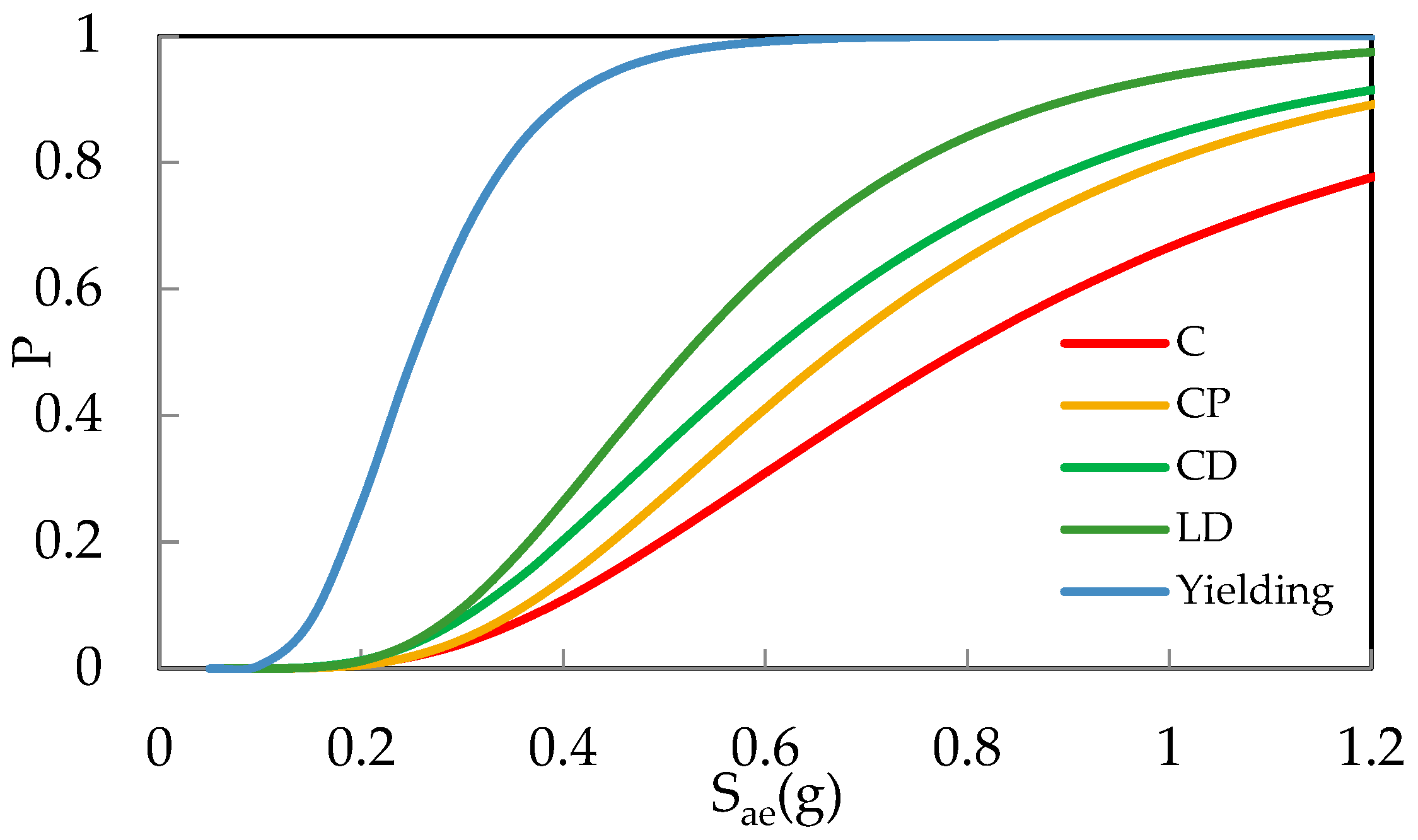
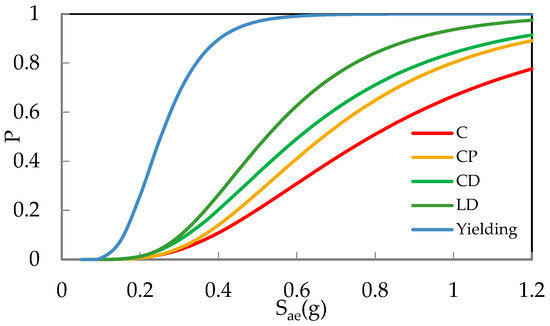
- The probability of yielding and probability of exceeding the limited damage performance level are consistent under the effect of minimum earthquake. However, the difference is higher than expected under the effect of the minimum earthquake.
- There is a reasonable margin between the probability of reaching a collapse state and that of the Collapse Prevention Performance Level under the effect of a Maximum Earthquake. The global and local damage criteria give consistent results at this performance level.
- The probability of exceeding the Limited Damage Performance Level in the X direction for the minimum earthquake is slightly higher than the acceptable level.
- At the ground motion level of the Design Earthquake, the probability of exceeding the Controlled Damage Performance Level is significantly higher than the acceptable level. Even the probability of exceeding the Collapse Prevention performance level and probability of collapse are not reasonable under the effect of the Design Earthquake.
- The probability of exceeding the Collapse Prevention Performance Level is higher than acceptable for the Maximum Earthquake.
Author Contributions
Funding
Data Availability Statement
Conflicts of Interest
References
- Casotto, C.; Silva, V.; Crowley, H.; Nascimbene, R.; Pinho, R. Seismic fragility of Italian RC precast industrial structures. Eng. Struct. 2015, 94, 122–136. [Google Scholar] [CrossRef]
- Ellingwood, B.R.; Celik, O.C.; Kinali, K. Fragility assessment of building structural systems in Mid-America. Earthq. Eng. Struct. Dyn. 2007, 36, 1935–1952. [Google Scholar] [CrossRef]
- Hueste, M.B.D.; Bai, J.W. Seismic retrofit of a reinforced concrete flat-slab structure: Part II-seismic fragility analysis. Eng. Struct. 2007, 29, 1178–1188. [Google Scholar] [CrossRef]
- Inel, M.; Ozmen, H.B. Seismic performance evaluation of school buildings in Turkey. Struct. Eng. Mech. 2008, 30, 535–558. [Google Scholar] [CrossRef]
- Jeong, S.H.; Mwafy, A.M.; Elnashai, A.S. Probabilistic seismic performance assessment of code-compliant multi-story RC buildings. Eng. Struct. 2012, 34, 527–537. [Google Scholar] [CrossRef]
- Kazantzi, A.K.; Righiniotis, T.D.; Chryssanthopoulos, M.K. A Simplified Fragility Methodology for Regular Steel MRFs. J. Earthq. Eng. 2011, 15, 390–403. [Google Scholar] [CrossRef]
- Langa, K.; Bachmann, H. On the Seismic Vulnerability of Existing Buildings: A Case Study of the City of Basel. Earthq. Spect. 2004, 20, 43–66. [Google Scholar] [CrossRef]
- Martins, L.; Silva, V.; Marques, M.; Crowley, H.; Delgado, R. Development and assessment of damage-to-loss models for moment-frame reinforced concrete buildings. Earthq. Eng. Struct. Dyn. 2016, 45, 797–817. [Google Scholar] [CrossRef]
- Pasticier, L.; Amadio, C.; Fragiacomo, M. Non-linear seismic analysis and vulnerability evaluation of a masonry building by means of the SAP2000 V.10 code. Earthq. Eng. Struct. Dyn. 2008, 37, 467–485. [Google Scholar] [CrossRef]
- Senel, S.M.; Kayhan, A.H. Fragility based damage assesment in existing precast industrial buildings: A case study for Turkey. Struct. Eng. Mech. 2010, 34, 39–60. [Google Scholar] [CrossRef]
- Silva, V.; Crowley, H.; Humberto, V.; Pinho, R.; Sousa, L. Investigation of the characteristics of Portuguese regular moment-frame RC buildings and development of a vulnerability model. Bull. Earthq. Eng. 2015, 13, 1455–1490. [Google Scholar] [CrossRef]
- Rashid, M.S.; Zhang, D.; Moon, S.W.; Shokbarov, Y.; Kim, J. Analytical seismic assessment for reinforced concrete moment frame residential buildings constructed in the Soviet Union Era in Almaty, Kazakhstan. Bull. Earthq. Eng. 2024, 22, 5745–5773. [Google Scholar] [CrossRef]
- Kim, J.; Kim, T. Efficient seismic fragility analysis considering uncertainties in structural systems and ground motions. Earthq. Eng. Struct. Dyn. 2024, 1–21. [Google Scholar] [CrossRef]
- Uphadyay, A.; Pantelides, C.P. Fragility-informed seismic design of multi-column bridge bents with post-tensioned concrete columns for accelerated bridge construction. Eng. Struct. 2022, 269, 114807. [Google Scholar] [CrossRef]
- Li, L.X.; Li, C.; Hao, H.; Li, H.N. Influence of connection properties on seismic performance of post-tensioned self-centering concrete frames. J. Build. Eng. 2022, 46, 103761. [Google Scholar] [CrossRef]
- Li, L.X.; Li, C.; Li, H.N.; Hao, H. Lifetime seismic performance assessment on post-tensioned self-centering concrete frames considering long-term prestress loss. Eng. Struct. 2022, 262, 114321. [Google Scholar] [CrossRef]
- Ahmadi, E.; Kocakaplan, S.; Kashani, M.M. Nonlinear seismic fragility analysis of a resilient precast post-tensioned segmental bridge pier. Sustain. Resilient Infrastruct. 2022, 7, 823–841. [Google Scholar] [CrossRef]
- Genikomsou, S.A.; Abdelmaksoud, M.A.; Balomenos, G.P. Seismic fragility assessment of reinforced concrete and post-tensioned slab-column connections—Reliability-based formulations for storey drift limits. Bull. Earthq. Eng. 2024. [Google Scholar] [CrossRef]
- Li, L.X.; Li, C.; Hao, H. Seismic performance of post-tensioned self-centering concrete frames under near-fault pulse-like ground motions. Eng. Struct. 2023, 277, 115480. [Google Scholar] [CrossRef]
- Geng, F.; Ding, Y.; Wu, H.; Yang, K. Seismic Risk Assessment of a Novel Self-Centering Precast Concrete Frame under Near-Fault Ground Motions. Appl. Sci. 2020, 10, 6510. [Google Scholar] [CrossRef]
- Granello, G.; Broccardo, M.; Palermo, A.; Pampanin, S. Fragility-based methodology for evaluating the time-dependent seismic performance of post-tensioned timber frames. Earthq. Spectra 2020, 36, 322–352. [Google Scholar] [CrossRef]
- Kazemi, F.; Asgarkhani, N.; Jankowski, R. Machine Learning-Based Seismic Fragility and Seismic Vulnerability Assessment of Reinforced Concrete Structures. Soil Dyn. Earthq. Eng. 2023, 166, 107761. [Google Scholar] [CrossRef]
- Kazemi, F.; Asgarkhani, N.; Jankowski, R. Machine Learning-Based Prediction of Seismic Limit State Capacity of Steel Moment-resisting Frames Considering Soil-Struture Interaction. Comput. Struct. 2023, 274, 106886. [Google Scholar] [CrossRef]
- Turkish Seismic Design Code. Specifications for Buildings to Be Built in Seismic Zones; Ministry of Public Works and Settlement: Ankara, Turkey, 2007. [Google Scholar]
- Turkish Seismic Design Code. Specifications for Buildings to Be Built in Disaster Zones; Ministry of Public Works and Settlement: Ankara, Turkey, 2018. [Google Scholar]
- Zang, H.; Shen, M.; Deng, Y.; Andras, P.; Sukontasukkul, P.; Yuen, T.P.Y.; Tang, Y.; Wong, S.H.F.; Limkatanyu, S.; Singleton, I.; et al. A new concept of bio-based prestress technology with experimental Proof-of-Concept on Bamboo-Timber composite beams. Constr. Build. Mater. 2023, 402, 132991. [Google Scholar] [CrossRef]
- Camerana, D. Finite Element Analysis of Precast Prestressed Beam-Column Concrete Connection in Seismic Construction. Master’s Thesis, Chalmers University of Technology, Göteborg, Sweden, 2006. [Google Scholar]
- Tanebe, K.; Matsuzaki, Y.; Yamada, M. Damage Controlled Seismic Design by Precast Prestressed Concrete Structure with Mild-Press-Joint Part 2: Kernel of Structural Design and Examples. In fib-Symposium 2002 Concrete Structures in Seismic Regions; CiNii Research: Tokyo, Japan, 2002. [Google Scholar]
- Wada, A.; Sakata, H.; Nakano, K.; Matsuzaki, Y.; Tanabe, K.; Machida, S. Study on Damage Controlled Precast-Prestressed Concrete Structure with P/C Mild-Press-Joint-Part 1: Overview of P/C Mild-Press-Joint Building Construction and its Practical Applications. In Proceedings of the 2nd FIB Congress, Naples, Italy, 5–8 June 2006. [Google Scholar]
- Sakata, H.; Wada, A.; Nakano, K.; Matsuzaki, Y.; Tanabe, K.; Machida, S. Study on Damage Controlled Precast-Prestressed Concrete Structure with P/C Mild-Press-Joint-Part 2: Behavior of Frames with P/C Mild-Press-Joint. In Proceedings of the 2nd FIB Congress, Naples, Italy, 5–8 June 2006. [Google Scholar]
- Matsuzaki, Y.; Sugiyama, T.; Nakano, K.; Wada, A.; Sakata, H.; Ikezawa, M. Study on Damage Controlled Precast-Prestressed Concrete Structure with P/C Mild-Press-Joint-Part 3: Experimental Study on Bond Behavior of EC Strands. In Proceedings of the 2nd FIB Congress, Naples, Italy, 5–8 June 2006. [Google Scholar]
- Mander, J.B.; Priestly, M.J.N.; Park, R. Theoretical stress-strain model for confined concrete. J. Struct. Eng. 1998, 114, 1804–1826. [Google Scholar] [CrossRef]
- Kazemi, F.; Shafighfard, T.; Yoo, Y.D. Data-Driven Modeling of Mechanical Properties of Fiber-Reinforced Concrete: A Critical Review. Arch. Comput. Methods Eng. 2024, 31, 2049–2078. [Google Scholar] [CrossRef]
- Boore, D.M.; Atkinson, G.M. Earthquake Software for Response Spectrum Matching; Seismosoft Ltd.: Pavia, Italy, 2016. [Google Scholar]
- Wilson, E.L.; Habibullah, A. SAP2000 Integrated Finite Element Analysis and Design of Structures (Version 10); Computers and Structures Inc.: Berkeley, CA, USA, 1997. [Google Scholar]
- Vamvatsikos, D.; Cornell, C.A. Incremental Dynamic Analysis. Earthq. Eng. Struct. Dyn. 2001, 31, 491–514. [Google Scholar] [CrossRef]
- Jeong, S.H.; Elnashai, A.S. Probabilistic fragility analysis parameterized by fundamental response quantities. Eng. Struct. 2007, 29, 1238–1251. [Google Scholar] [CrossRef]
- Shinozuka, M.; Feng, M.Q.; Lee, J.; Naganuma, T. Statistical Analysis of Fragility Curves. J. Eng. Mech. 2000, 126, 1224–1231. [Google Scholar] [CrossRef]















| Event | Year | Station | Magnitude | Rjb (km) | Rrup (km) | Vs30 (m/s) | Site Class |
|---|---|---|---|---|---|---|---|
| Kocaeli, Turkey | 1999 | Atakoy | 7.51 | 56.5 | 58.3 | 274.5 | C |
| Coalinga | 1983 | Parkfield—Cholame 5 W | 6.36 | 47.9 | 48.7 | 289.6 | C |
| San Fernando | 1971 | Gormon—Oso Pump Plant | 6.61 | 44 | 46.8 | 308.4 | C |
| Friuli, Italy | 1976 | Conegliano | 6.5 | 80.4 | 80.4 | 274.5 | C |
| Imperial Valley | 1979 | Coachella Canal #4 | 6.53 | 49.1 | 50.1 | 345.4 | C |
| Victoria, Mexico | 1980 | SAHOP Casa Flores | 6.33 | 39.1 | 39.3 | 338.6 | C |
| Van, Turkey | 2011 | Muradiye | 7.2 | 19.5 | 28.5 | 293 | C |
| Section Damage | Concrete in Compression (εc) | Reinforcement (εs) |
|---|---|---|
| Limited damage | 0.0025 | 0.0075 |
| Controlled damage | 0.75 (0.4 Ɛsu) | |
| Collapse prevention | 0.4 Ɛsu |
| Local/Global | Sae(g) | Interstory Drift Ratio | |
|---|---|---|---|
| Yielding (analytic) | Global | 0.10 | 0.0012 |
| Limited Damage (columns) | Local | 0.80 | 0.0066 |
| Controlled Damage (columns) | Local | 0.90 | 0.0091 |
| Collapse Prevention (columns) | Local | 1.00 | 0.0137 |
| Collapse (analytic) | Global | 1.10 | 0.0240 |
| Collapse Prevention (beams) | Local | 1.50 | 0.0276 |
| Damage Level | Local/Global | Median Interstory Drift Ratio | |
|---|---|---|---|
| X | Y | ||
| Yielding | Global | 0.0013 | 0.0029 |
| Limited Damage | Local | 0.0047 | 0.0054 |
| Controlled Damage | Local | 0.009 | 0.0077 |
| Collapse prevention | Local | 0.0137 | 0.0129 |
| Collapse | Global | 0.0228 | 0.0183 |
| Minimum Earthquake | Design Earthquake | Maximum Earthquake | ||||
|---|---|---|---|---|---|---|
| X | Y | X | Y | X | Y | |
| Yielding | 0.92 | 0.87 | 0.99 | 0.99 | 1.00 | 1.00 |
| LD | 0.11 | 0.049 | 0.66 | 0.51 | 0.91 | 0.84 |
| CD | 0.09 | 0.048 | 0.52 | 0.39 | 0.81 | 0.70 |
| CP | 0.054 | 0.026 | 0.44 | 0.31 | 0.76 | 0.64 |
| Collapse | 0.045 | 0.023 | 0.33 | 0.23 | 0.62 | 0.50 |
Disclaimer/Publisher’s Note: The statements, opinions and data contained in all publications are solely those of the individual author(s) and contributor(s) and not of MDPI and/or the editor(s). MDPI and/or the editor(s) disclaim responsibility for any injury to people or property resulting from any ideas, methods, instructions or products referred to in the content. |
© 2024 by the authors. Licensee MDPI, Basel, Switzerland. This article is an open access article distributed under the terms and conditions of the Creative Commons Attribution (CC BY) license (https://creativecommons.org/licenses/by/4.0/).
Share and Cite
Kirçil, M.S.; Kirici, Z. A Comparison of the Targeted and Analytic Performance of a Post-Tensioned Frame Structure Through Fragility Analysis. Buildings 2024, 14, 3839. https://doi.org/10.3390/buildings14123839
Kirçil MS, Kirici Z. A Comparison of the Targeted and Analytic Performance of a Post-Tensioned Frame Structure Through Fragility Analysis. Buildings. 2024; 14(12):3839. https://doi.org/10.3390/buildings14123839
Chicago/Turabian StyleKirçil, Murat Serdar, and Zeynep Kirici. 2024. "A Comparison of the Targeted and Analytic Performance of a Post-Tensioned Frame Structure Through Fragility Analysis" Buildings 14, no. 12: 3839. https://doi.org/10.3390/buildings14123839
APA StyleKirçil, M. S., & Kirici, Z. (2024). A Comparison of the Targeted and Analytic Performance of a Post-Tensioned Frame Structure Through Fragility Analysis. Buildings, 14(12), 3839. https://doi.org/10.3390/buildings14123839

