Influence of Urban Morphologies on the Effective Mean Age of Air at Pedestrian Level and Mass Transport Within Urban Canopy Layer
Abstract
1. Introduction
2. Methodology
2.1. Effective Mean Age of Air
2.2. Normalized Mass Transport Rate
2.3. CFD Setup and Case Description
2.3.1. Turbulence Model for Urban Ventilation Modeling
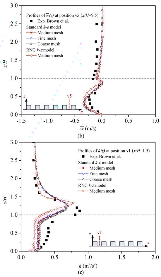
2.3.2. Validation for CFD Methods
2.3.3. Case Descriptions for Parametric Studies
3. Results and Discussion
3.1. General Flow Conditions
3.2. Impact of Building Configurations on Local Ventilation Capacity and Mass Transport
3.2.1. Local Ventilation Capacity Described by Effective Mean Age of Air
3.2.2. Quantifying the Contribution of Convective and Turbulent Transport to the Total Removal for the Built Area
3.2.3. Normalized Effective Mean Age of Air
4. Conclusions
- (1)
- The distribution of poorly ventilated areas with a high at the breathing level (z = 1.7 m) exhibits three primary patterns: within the recirculation zones behind buildings, in the downstream section of the main road, or in the recirculation zones next to the lateral facades of buildings. The relative strength between the main road flow and outward crossroads flow is essential to the pollutant transport direction and locations of accumulation sites at the breathing level.
- (2)
- Even if the average of the focused area is similar between cases, the locations of high- regions and extreme values can vary significantly. The distribution features of the data set efficiently reflect this information. Across all cases, the median of the average is 32.75 s, and 62.18 s for the median of the 95th percentiles. These two values can be seen as thresholds distinguishing low, medium, and high levels when the typical height of the urban region is 30 m.
- (3)
- Discussion also highlights that variations in building layouts do not always enhance ventilation through their disturbances to the flow. Conversely, abrupt discrepancies of adjacent buildings can lead to the presence of areas with an extremely high .
- (4)
- In general, convective transport is the primary contributor to the total purging for the canopy zone, while turbulent transport predominates for the pedestrian zone. Variations in the geometries of adjacent buildings slightly increase the turbulent transport rate, while changes in the overall building height and building density significantly alter the ratio between the two transport processes.
- (5)
- While decreasing the overall flow rate penetrating the built area, the presence of buildings has dual effects when focusing on local ventilation capacities. With a generic urban model with uniform 30 m-high buildings and equal spacings, at the breathing level, the main road is more polluted as expected, while the helical flows between buildings provide even better ventilation potential compared to the undisturbed parallel flow over an open space.
Author Contributions
Funding
Data Availability Statement
Conflicts of Interest
Appendix A







References
- United Nations World Urbanization Prospects—Population Division; United Nations: San Francisco, CA, USA, 2019.
- WHO Global Air Quality Guidelines: Particulate Matter (PM2.5 and PM10), Ozone, Nitrogen Dioxide, Sulfur Dioxide and Carbon Monoxide; World Health Organization: Geneva, Switzerland, 2021; ISBN 9240034226.
- WHO Ambient Air Pollution: A Global Assessment of Exposure and Burden of Disease. World Health Organization. Available online: https://iris.who.int/bitstream/handle/10665/250141/9789241511353-eng.pdf?sequence=1 (accessed on 10 February 2024).
- Institute, H.E. State of Global Air 2019. Available online: https://www.stateofglobalair.org/sites/default/files/soga_2019_report.pdf (accessed on 1 March 2024).
- World Health Organization Ambient (Outdoor) Air Pollution. Available online: https://www.who.int/news-room/fact-sheets/detail/ambient-(outdoor)-air-quality-and-health (accessed on 27 February 2024).
- Huang, Y.; Lei, C.; Liu, C.H.; Perez, P.; Forehead, H.; Kong, S.; Zhou, J.L. A Review of Strategies for Mitigating Roadside Air Pollution in Urban Street Canyons. Environ. Pollut. 2021, 280, 116971. [Google Scholar] [CrossRef] [PubMed]
- Oke, T.R.; Mills, G.; Christen, A.; Voogt, J.A. Urban Climates; Cambridge University Press: Cambridge, UK, 2017; ISBN 0521849500. [Google Scholar] [CrossRef]
- Ashie, Y.; Kono, T. Urban-scale CFD Analysis in Support of a Climate-sensitive Design for the Tokyo Bay Area. Int. J. Climatol. 2011, 31, 174–188. [Google Scholar] [CrossRef]
- Van Hooff, T.; Blocken, B. CFD Evaluation of Natural Ventilation of Indoor Environments by the Concentration Decay Method: CO2 Gas Dispersion from a Semi-Enclosed Stadium. Build. Environ. 2013, 61, 1–17. [Google Scholar] [CrossRef]
- Blocken, B.; Vervoort, R.; van Hooff, T. Reduction of Outdoor Particulate Matter Concentrations by Local Removal in Semi-Enclosed Parking Garages: A Preliminary Case Study for Eindhoven City Center. J. Wind Eng. Ind. Aerodyn. 2016, 159, 80–98. [Google Scholar] [CrossRef]
- Tominaga, Y. CFD Simulations of Turbulent Flow and Dispersion in Built Environment: A Perspective Review. J. Wind Eng. Ind. Aerodyn. 2024, 249, 105741. [Google Scholar] [CrossRef]
- Toparlar, Y.; Blocken, B.; Maiheu, B.; van Heijst, G.J.F. A Review on the CFD Analysis of Urban Microclimate. Renew. Sustain. Energy Rev. 2017, 80, 1613–1640. [Google Scholar] [CrossRef]
- Fernando, H.J.S.; Zajic, D.; Di Sabatino, S.; Dimitrova, R.; Hedquist, B.; Dallman, A. Flow, Turbulence, and Pollutant Dispersion in Urban Atmospheres. Phys. Fluids 2010, 22, 051301. [Google Scholar] [CrossRef]
- Hang, J.; Luo, Z.; Sandberg, M.; Gong, J. Natural Ventilation Assessment in Typical Open and Semi-Open Urban Environments under Various Wind Directions. Build Env. 2013, 70, 318–333. [Google Scholar] [CrossRef]
- Hanna, S.R.; Tehranian, S.; Carissimo, B.; Macdonald, R.W.; Lohner, R. Comparisons of Model Simulations with Observations of Mean Flow and Turbulence within Simple Obstacle Arrays. Atmos. Environ. 2002, 36, 5067–5079. [Google Scholar] [CrossRef]
- Chang, C.H.; Meroney, R.N. Concentration and Flow Distributions in Urban Street Canyons: Wind Tunnel and Computational Data. J. Wind Eng. Ind. Aerodyn. 2003, 91, 1141–1154. [Google Scholar] [CrossRef]
- Ramponi, R.; Blocken, B.; de Coo, L.B.; Janssen, W.D. CFD Simulation of Outdoor Ventilation of Generic Urban Configurations with Different Urban Densities and Equal and Unequal Street Widths. Build. Environ. 2015, 92, 152–166. [Google Scholar] [CrossRef]
- Buccolieri, R.; Sandberg, M.; Di Sabatino, S. City Breathability and Its Link to Pollutant Concentration Distribution within Urban-like Geometries. Atmos. Environ. 2010, 44, 1894–1903. [Google Scholar] [CrossRef]
- Hang, J.; Li, Y. Age of Air and Air Exchange Efficiency in High-Rise Urban Areas and Its Link to Pollutant Dilution. Atmos. Environ. 2011, 45, 5572–5585. [Google Scholar] [CrossRef]
- Yang, X.; Li, Y. The Impact of Building Density and Building Height Heterogeneity on Average Urban Albedo and Street Surface Temperature. Build. Environ. 2015, 90, 146–156. [Google Scholar] [CrossRef]
- Lin, M.; Hang, J.; Li, Y.; Luo, Z.; Sandberg, M. Quantitative Ventilation Assessments of Idealized Urban Canopy Layers with Various Urban Layouts and the Same Building Packing Density. Build. Environ. 2014, 79, 152–167. [Google Scholar] [CrossRef]
- Hang, J.; Li, Y.; Sandberg, M.; Buccolieri, R.; Di Sabatino, S. The Influence of Building Height Variability on Pollutant Dispersion and Pedestrian Ventilation in Idealized High-Rise Urban Areas. Build. Environ. 2012, 56, 346–360. [Google Scholar] [CrossRef]
- Padilla-Marcos, M.Á.; Alberto, M. Assessment for the Age-of-the-Air and Ventilation Efficiency in Confined Outdoor Spaces through Computational Fluid Dynamics Techniques. Energies 2018, 11, 1932. [Google Scholar] [CrossRef]
- Panagiotou, I.; Neophytou, M.K.A.; Hamlyn, D.; Britter, R.E. City Breathability as Quantified by the Exchange Velocity and Its Spatial Variation in Real Inhomogeneous Urban Geometries: An Example from Central London Urban Area. Sci. Total Environ. 2013, 442, 466–477. [Google Scholar] [CrossRef]
- Gu, Z.L.; Zhang, Y.W.; Cheng, Y.; Lee, S.C. Effect of Uneven Building Layout on Air Flow and Pollutant Dispersion in Non-Uniform Street Canyons. Build. Environ. 2011, 46, 2657–2665. [Google Scholar] [CrossRef]
- Chen, L.; Hang, J.; Sandberg, M.; Claesson, L.; Di Sabatino, S.; Wigo, H. The Impacts of Building Height Variations and Building Packing Densities on Flow Adjustment and City Breathability in Idealized Urban Models. Build. Environ. 2017, 118, 344–361. [Google Scholar] [CrossRef]
- Wang, C.; Li, Q.; Wang, Z.H. Quantifying the Impact of Urban Trees on Passive Pollutant Dispersion Using a Coupled Large-Eddy Simulation–Lagrangian Stochastic Model. Build. Environ. 2018, 145, 33–49. [Google Scholar] [CrossRef]
- Gromke, C.; Blocken, B. Influence of Avenue-Trees on Air Quality at the Urban Neighborhood Scale. Part I: Quality Assurance Studies and Turbulent Schmidt Number Analysis for RANS CFD Simulations. Environ. Pollut. 2015, 196, 214–223. [Google Scholar] [CrossRef] [PubMed]
- Peng, Y.; Buccolieri, R.; Gao, Z.; Ding, W. Indices Employed for the Assessment of “Urban Outdoor Ventilation”—A Review. Atmos. Environ. 2020, 223, 117211. [Google Scholar] [CrossRef]
- Peng, Y.; Gao, Z.; Buccolieri, R.; Ding, W. An Investigation of the Quantitative Correlation between Urban Morphology Parameters and Outdoor Ventilation Efficiency Indices. Atmosphere 2019, 10, 33. [Google Scholar] [CrossRef]
- Bady, M.; Kato, S.; Huang, H. Towards the Application of Indoor Ventilation Efficiency Indices to Evaluate the Air Quality of Urban Areas. Build. Environ. 2008, 43, 1991–2004. [Google Scholar] [CrossRef]
- Etheridge, D.W.; Sandberg, M. Building Ventilation: Theory and Measurement; John Wiley & Sons: Chichester, UK, 1996; Volume 50. [Google Scholar]
- Wang, Q.; Sandberg, M.; Lin, Y.; Yin, S.; Hang, J. Impacts of Urban Layouts and Open Space on Urban Ventilation Evaluated by Concentration Decay Method. Atmosphere 2017, 8, 169. [Google Scholar] [CrossRef]
- Hang, J.; Sandberg, M.; Li, Y. Age of Air and Air Exchange Efficiency in Idealized City Models. Build. Environ. 2009, 44, 1714–1723. [Google Scholar] [CrossRef]
- Britter, R.E.; Hanna, S.R. Flow and Dispersion in Urban Areas. Annu. Rev. Fluid. Mech. 2003, 35, 469–496. [Google Scholar] [CrossRef]
- Ji, W.; Zhao, B. Estimating Mortality Derived from Indoor Exposure to Particles of Outdoor Origin. PLoS ONE 2015, 10, e0124238. [Google Scholar] [CrossRef]
- Antoniou, N.; Montazeri, H.; Wigo, H.; Neophytou, M.K.A.; Blocken, B.; Sandberg, M. CFD and Wind-Tunnel Analysis of Outdoor Ventilation in a Real Compact Heterogeneous Urban Area: Evaluation Using “Air Delay”. Build. Environ. 2017, 126, 355–372. [Google Scholar] [CrossRef]
- Gousseau, P.; Blocken, B.; van Heijst, G.J.F. CFD Simulation of Pollutant Dispersion around Isolated Buildings: On the Role of Convective and Turbulent Mass Fluxes in the Prediction Accuracy. J. Hazard. Mater. 2011, 194, 422–434. [Google Scholar] [CrossRef] [PubMed]
- Brown, M.J.; Lawson, R.E.; DeCroix, D.S.; Lee, R.L. Comparison of Centerline Velocity Measurements Obtained around 2D and 3D Building Arrays in a Wind Tunnel. Int. Soc. Environ. Hydraul. Tempe AZ 2001, 5, 495. [Google Scholar]
- Blocken, B. LES over RANS in Building Simulation for Outdoor and Indoor Applications: A Foregone Conclusion? Build. Simul. 2018, 11, 821–870. [Google Scholar] [CrossRef]
- Zhang, Y.-W.; Gu, Z.-L.; Lee, S.-C.; Fu, T.-M.; Ho, K.-F. Numerical Simulation and in Situ Investigation of Fine Particle Dispersion in an Actual Deep Street Canyon in Hong Kong. Indoor Built. Environ. 2011, 20, 206–216. [Google Scholar] [CrossRef]
- Li, X.-X.; Britter, R.E.; Norford, L.K. Transport Processes in and above Two-Dimensional Urban Street Canyons under Different Stratification Conditions: Results from Numerical Simulation. Environ. Fluid Mech. 2015, 15, 399–417. [Google Scholar] [CrossRef]
- Liu, C.H.; Leung, D.Y.C.; Barth, M.C. On the Prediction of Air and Pollutant Exchange Rates in Street Canyons of Different Aspect Ratios Using Large-Eddy Simulation. Atmos. Environ. 2005, 39, 1567–1574. [Google Scholar] [CrossRef]
- Moonen, P.; Dorer, V.; Carmeliet, J. Evaluation of the Ventilation Potential of Courtyards and Urban Street Canyons Using RANS and LES. J. Wind Eng. Ind. Aerodyn. 2011, 99, 414–423. [Google Scholar] [CrossRef]
- Blocken, B.; Stathopoulos, T.; Carmeliet, J. CFD Simulation of the Atmospheric Boundary Layer: Wall Function Problems. Atmos. Environ. 2007, 41, 238–252. [Google Scholar] [CrossRef]
- ANSYS. ANSYS Fluent Theory Guide 2020 R2; ANSYS Inc.: Canonsburg, PA, USA, 2020. [Google Scholar]
- Chew, L.W.; Aliabadi, A.A.; Norford, L.K. Flows across High Aspect Ratio Street Canyons: Reynolds Number Independence Revisited. Environ. Fluid Mech. 2018, 18, 1275–1291. [Google Scholar] [CrossRef]
- Hang, J.; Li, Y. Wind Conditions in Idealized Building Clusters: Macroscopic Simulations Using a Porous Turbulence Model. Bound. Layer Meteorol. 2010, 136, 129–159. [Google Scholar] [CrossRef]
- Santiago, J.L.; Martilli, A.; Martín, F. CFD Simulation of Airflow over a Regular Array of Cubes. Part I: Three-Dimensional Simulation of the Flow and Validation with Wind-Tunnel Measurements. Bound. Layer Meteorol. 2007, 122, 609–634. [Google Scholar] [CrossRef]
- Liu, J.; Srebric, J.; Yu, N. Numerical Simulation of Convective Heat Transfer Coefficients at the External Surfaces of Building Arrays Immersed in a Turbulent Boundary Layer. Int. J. Heat. Mass. Transf. 2013, 61, 209–225. [Google Scholar] [CrossRef]
- Sha, C.; Wang, X.; Lin, Y.; Fan, Y.; Chen, X.; Hang, J. The Impact of Urban Open Space and ‘Lift-up’ Building Design on Building Intake Fraction and Daily Pollutant Exposure in Idealized Urban Models. Sci. Total Environ. 2018, 633, 1314–1328. [Google Scholar] [CrossRef] [PubMed]
- Hang, J.; Xian, Z.; Wang, D.; Mak, C.M.; Wang, B.; Fan, Y. The Impacts of Viaduct Settings and Street Aspect Ratios on Personal Intake Fraction in Three-Dimensional Urban-like Geometries. Build. Environ. 2018, 143, 138–162. [Google Scholar] [CrossRef]
- Tominaga, Y.; Mochida, A.; Yoshie, R.; Kataoka, H.; Nozu, T.; Yoshikawa, M.; Shirasawa, T. AIJ Guidelines for Practical Applications of CFD to Pedestrian Wind Environment around Buildings. J. Wind Eng. Ind. Aerodyn. 2008, 96, 1749–1761. [Google Scholar] [CrossRef]
- Lien, F.-S.; Yee, E. Numerical Modelling of the Turbulent Flow Developing within and over a 3-d Building Array, Part I: A High-Resolution Reynolds-Averaged Navier—Stokes Approach. Bound. Layer Meteorol 2004, 112, 427–466. [Google Scholar] [CrossRef]
- Franke, J.; Hellsten, A.; Schlunzen, K.H.; Carissimo, B. The COST 732 Best Practice Guideline for CFD Simulation of Flows in the Urban Environment: A Summary. Int. J. Environ. Pollut. 2011, 44, 419–427. [Google Scholar] [CrossRef]





















| Case Name | Turbulence Model | Minimum Grid Spacing | Cell Number |
|---|---|---|---|
| [c, std] | Standard k-ε model | 0.1 m | 1,870,197 |
| [f, std] | Standard k-ε model | 0.4 m | 1,005,497 |
| [m, std] | Standard k-ε model | 0.2 m | 1,397,744 |
| [m, rng] | RNG k-ε model | 0.2 m | 1,397,744 |
| Group | Case Naming | Configuration | Value Range of the Specified Variables |
|---|---|---|---|
| A | [H-H, SP1, u] | Models in equal height with identical spacing (W = H0), tested with 3 different incoming flow velocities (Figure 6a). | H = 10, 20, 30, 40, 50, 60 (m) U0 = 1, 3, 5 (m/s) |
| B | [30-30, SPr, 3] | All cases maintain a consistent model height of 30 m (H0) and a constant total length of the built area (Ls = 390 m), while varying in spacings between (Figure 6b). | r = 0.5, 0.7, 1, 2, 3, represent the ratio between spacing W and reference building height H0, i.e., W/H0 = r. |
| C | [30-H1, SP1, 3] | Same layout as the base case, while models in the 2nd, 4th, and 6th row have a different height noted as H1 (Figure 6c). | H1 = 5, 10, 15, 20, 25 (m) |
| D | [30-30, SFp, 3] | The width of the frontal facade alternatively increases or decreases by p% of H0, while keeping a constant total frontal area for each pair of adjacent models (Figure 6d). | p = 10, 20, 30, 40, 50 (%) |
| Canopy | Pedestrian | |||||
|---|---|---|---|---|---|---|
| Fm | Ft | Fsum | Fm | Ft | Fsum | |
| Inlet | 4.84 × 10−4 | −7.15 × 10−4 | −1.01 × 100 | 2.36 × 10−4 | −2.43 × 10−4 | −9.89 × 10−1 |
| Outlet | −6.04 × 10−1 | −3.15 × 10−3 | −2.55 × 10−2 | −8.55 × 10−4 | ||
| Roof | −1.45 × 10−2 | −3.85 × 10−1 | −2.92 × 10−1 | −6.70 × 10−1 | ||
| C1 | C2 | C3 | C4 | C5 | C6 | Canopy | Pedestrian | |
|---|---|---|---|---|---|---|---|---|
| Fm/Fsum | 34% | 37% | 41% | 45% | 48% | 52% | 61% | 32% |
| Ft/Fsum | 67% | 63% | 59% | 55% | 52% | 48% | 39% | 68% |
| Fm/Ft | 0.50 | 0.58 | 0.70 | 0.82 | 0.93 | 1.07 | 1.59 | 0.47 |
| [10-10, SP1, 3] | [20-20, SP1, 3] | [30-30, SP1, 3] | [40-40, SP1, 3] | [50-50, SP1, 3] | [60-60, SP1, 3] | |
| Canopy roof | 62% | 41% | 40% | 34% | 19% | 6% |
| Pedestrian roof | 91% | 93% | 97% | 99% | 99% | 97% |
| [30-30, SP0.5, 3] | [30-30, SP0.7, 3] | [30-30, SP1, 3] | [30-30, SP2, 3] | [30-30, SP3, 3] | ||
| Canopy roof | 26% | 29% | 40% | 69% | 73% | |
| Pedestrian roof | 94% | 95% | 97% | 100% | 100% | |
| [30-30, SP1, 3] | [30-25, SP1, 3] | [30-20, SP1, 3] | [30-15, SP1, 3] | [30-10, SP1, 3] | [30-05, SP1, 3] | |
| Canopy roof | 40% | 40% | 43% | 45% | 46% | 46% |
| Pedestrian roof | 97% | 97% | 97% | 96% | 96% | 96% |
| [30-30, SF0, 3] | [30-30, SF10, 3] | [30-30, SF20, 3] | [30-30, SF30, 3] | [30-30, SF40, 3] | [30-30, SF50, 3] | |
| Canopy roof | 40% | 40% | 41% | 43% | 46% | 51% |
| Pedestrian roof | 97% | 97% | 97% | 97% | 97% | 97% |
| [10-10, SP1, 3] | [20-20, SP1, 3] | [30-30, SP1, 3] | [40-40, SP1, 3] | [50-50, SP1, 3] | [60-60, SP1, 3] | |
| Canopy | 0.55 | 1.26 | 1.59 | 2.96 | 8.77 | 31.52 |
| Pedestrian | 0.23 | 0.36 | 0.47 | 0.50 | 0.36 | 0.25 |
| [30-30, SP0.5, 3] | [30-30, SP0.7, 3] | [30-30, SP1, 3] | [30-30, SP2, 3] | [30-30, SP3, 3] | ||
| Canopy | 2.67 | 2.36 | 1.59 | 0.77 | 0.53 | |
| Pedestrian | 0.22 | 0.32 | 0.47 | 1.38 | 1.37 | |
| [30-30, SP1, 3] | [30-25, SP1, 3] | [30-20, SP1, 3] | [30-15, SP1, 3] | [30-10, SP1, 3] | [30-05, SP1, 3] | |
| Canopy | 1.59 | 1.67 | 1.51 | 1.40 | 1.37 | 1.36 |
| Pedestrian | 0.47 | 0.50 | 0.48 | 0.41 | 0.33 | 0.26 |
| [30-30, SF0, 3] | [30-30, SF10, 3] | [30-30, SF20, 3] | [30-30, SF30, 3] | [30-30, SF40, 3] | [30-30, SF50, 3] | |
| Canopy | 1.59 | 1.58 | 1.57 | 1.51 | 1.39 | 1.27 |
| Pedestrian | 0.47 | 0.47 | 0.47 | 0.45 | 0.37 | 0.33 |
Disclaimer/Publisher’s Note: The statements, opinions and data contained in all publications are solely those of the individual author(s) and contributor(s) and not of MDPI and/or the editor(s). MDPI and/or the editor(s) disclaim responsibility for any injury to people or property resulting from any ideas, methods, instructions or products referred to in the content. |
© 2024 by the authors. Licensee MDPI, Basel, Switzerland. This article is an open access article distributed under the terms and conditions of the Creative Commons Attribution (CC BY) license (https://creativecommons.org/licenses/by/4.0/).
Share and Cite
Lin, Y.; Cehlin, M.; Ameen, A.; Sandberg, M.; Wallhagen, M. Influence of Urban Morphologies on the Effective Mean Age of Air at Pedestrian Level and Mass Transport Within Urban Canopy Layer. Buildings 2024, 14, 3591. https://doi.org/10.3390/buildings14113591
Lin Y, Cehlin M, Ameen A, Sandberg M, Wallhagen M. Influence of Urban Morphologies on the Effective Mean Age of Air at Pedestrian Level and Mass Transport Within Urban Canopy Layer. Buildings. 2024; 14(11):3591. https://doi.org/10.3390/buildings14113591
Chicago/Turabian StyleLin, Yuanyuan, Mathias Cehlin, Arman Ameen, Mats Sandberg, and Marita Wallhagen. 2024. "Influence of Urban Morphologies on the Effective Mean Age of Air at Pedestrian Level and Mass Transport Within Urban Canopy Layer" Buildings 14, no. 11: 3591. https://doi.org/10.3390/buildings14113591
APA StyleLin, Y., Cehlin, M., Ameen, A., Sandberg, M., & Wallhagen, M. (2024). Influence of Urban Morphologies on the Effective Mean Age of Air at Pedestrian Level and Mass Transport Within Urban Canopy Layer. Buildings, 14(11), 3591. https://doi.org/10.3390/buildings14113591

