Photovoltaic Integrated Shading Devices in the Retrofitting of Existing Buildings on Chinese Campuses Within a Regional Context
Abstract
1. Introduction
2. Materials and Methods Facade
2.1. “Xia’s Shading” Design Method and Features of Campus Buildings
2.2. Outdoor Environment and Shading Target
2.3. PVSDs in Facades
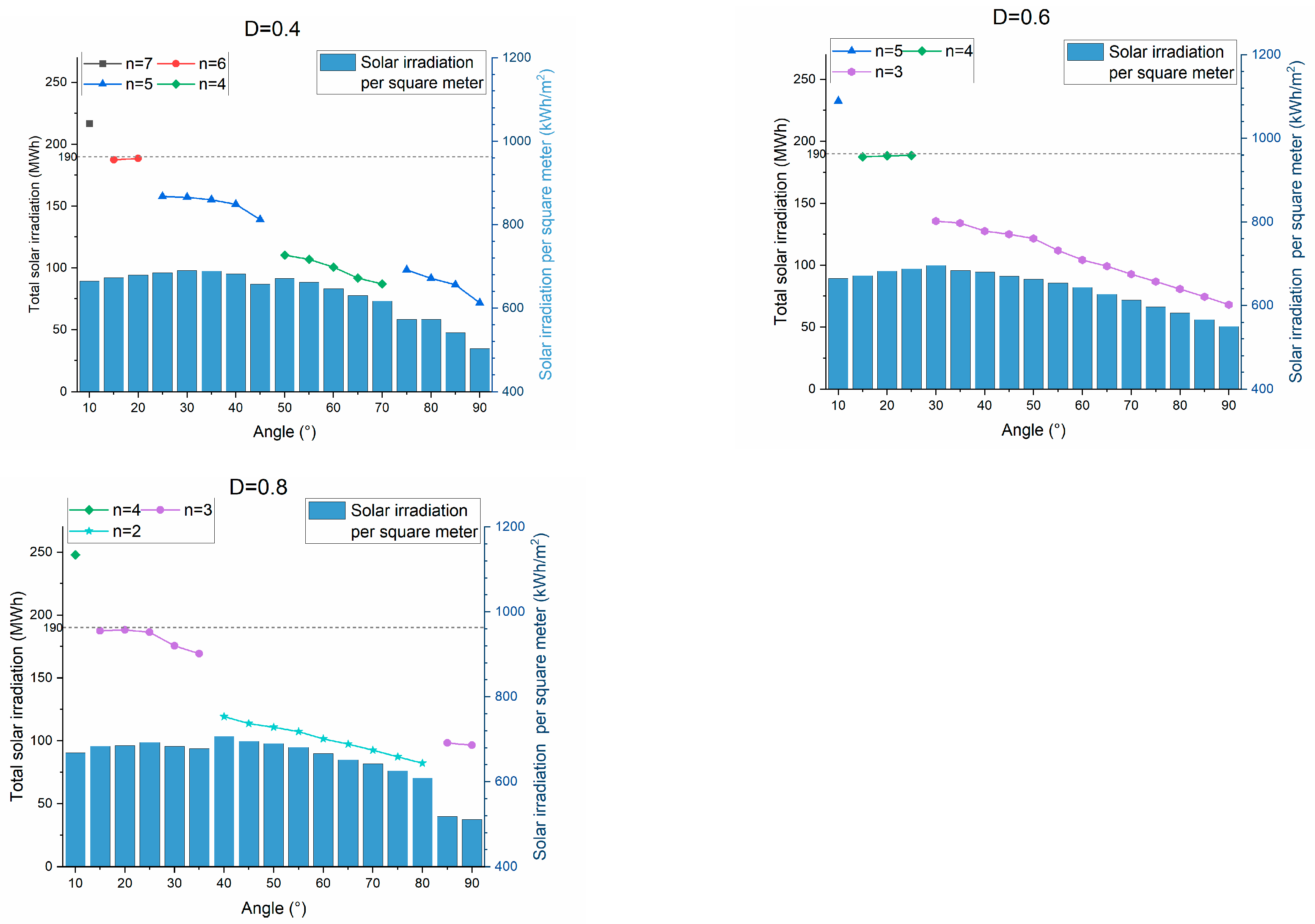
2.4. PVSDs on Roofs
2.5. Ladybug and PVsyst
3. Results and Discussion
3.1. PVSDs in the West and South Facade of Building A
3.2. PVSDs in the Southwest Facade of Building B
3.3. PVSDs on the Roof of Building A
3.4. Lessons Learned to PVSDs in Campus Buildings
4. Conclusions
- (1)
- Both the facades and roof of the building possess power generation potential. The power generation capacity of PVSDs varies according to their design, including factors such as angle, spacing, number, and dimensions. An appropriate design can significantly enhance electricity generation. The power generation of the south facade can increase from 44.295 MWh (vertical spacing 0.3) to 69.839 MWh (horizontal spacing 1.5 m), representing an increase of 57.7%.
- (2)
- Recommendations for PVSD design on different façades indicate that flank shading provides greater power generation benefits at smaller angles, ranging from 16.621 MWh (10°) to 5.705 MWh (85°) on the southwest facade. The key influencing factor for overhang shading is the spacing. Under identical spacing conditions, overhang shading performs better in the horizontal direction than in the vertical direction. However, considering the need for integration with the built environment, vertical arrangements should still be prioritized.
- (3)
- Design parameters were incorporated into a mathematical equation based on the “Xia’s shading” design method, serving as a comprehensive design tool for the modeling of PVSDs.
Author Contributions
Funding
Data Availability Statement
Conflicts of Interest
Nomenclature
| Abbreviations | |
| PV | Photovoltaic |
| PVSDs | Photovoltaic Integrated Shading Devices |
| SCUT | South China University of Technology |
| Parameters | |
| azimuth of PV panels’ exterior face normal | |
| solar azimuth | |
| azimuth of the exterior normal of the facade | |
| width of one PV panel | |
| length of PV panels in the horizontal direction | |
| shadow length provided by PV panels | |
| shadow length provided by one PV panel | |
| height difference for sunlight to pass through. | |
| shadow length provided by one PV panel | |
| total length of two PV panels set at different heights | |
| Column span length of the existing building’s facade | |
| structural unit width of PV frames on the roof | |
| length of window openings | |
| number of PV panels | |
| minimum altitude | |
| tilt angle between PV panels and the horizontal plane | |
| tilt angle between PV panels and the west facade surface | |
Appendix A


References
- Del Borghi, A.; Spiegelhalter, T.; Moreschi, L.; Gallo, M. Carbon-Neutral-Campus Building: Design Versus Retrofitting of Two University Zero Energy Buildings in Europe and in the United States. Sustainability 2021, 13, 9023. [Google Scholar] [CrossRef]
- Energy Efficiency Is a Bright Idea- United States Joint Economic Committee. Available online: https://www.jec.senate.gov/public/index.cfm/democrats/2007/6/energy-efficiency-is-a-bright-idea-_395 (accessed on 31 October 2024).
- Huang, Y.; Niu, J.; Chung, T. Energy and Carbon Emission Payback Analysis for Energy-Efficient Retrofitting in Buildings—Overhang Shading Option. Energy Build. 2012, 44, 94–103. [Google Scholar] [CrossRef]
- China Association of Building Energy Efficiency; Institute of Urban-rural Construction and Development, Chongqing University. Research Report on Building Energy Consumption and Carbon Emissions in China (2022). Constr. Archit. 2023, 2, 57–69. [Google Scholar]
- Wang, J.; Huang, Y.; Teng, Y.; Yu, B.; Wang, J.; Zhang, H.; Duan, H. Can Buildings Sector Achieve the Carbon Mitigation Ambitious Goal: Case Study for a Low-Carbon Demonstration City in China? Environ. Impact Assess. Rev. 2021, 90, 106633. [Google Scholar] [CrossRef]
- Reis, D.C.; De Domenico, A.T.; Lopes, L.; Almeida, M. Strategies and Actions for Achieving Carbon Neutrality in Portuguese Residential Buildings by 2050. Sustainability 2023, 15, 15626. [Google Scholar] [CrossRef]
- Liu, G.; Li, X.; Tan, Y.; Zhang, G. Building Green Retrofit in China: Policies, Barriers and Recommendations. Energy Policy 2020, 139, 111356. [Google Scholar] [CrossRef]
- The ‘14th Five-Year Plan for Building Energy Efficiency and Green Building Development’. Available online: https://www.gov.cn/xinwen/2022-03/22/content_5680355.htm (accessed on 17 October 2024).
- Work Plan for Accelerating Energy Conservation and Carbon Reduction in the Building Sector. Available online: http://lawdb.cncourt.org/show.php?fid=156825 (accessed on 17 October 2024).
- Hou, J.; Qiao, Y. Analysis of Campus Energy Consumption Monitoring Platform Based on Building Whole Life Cycle. Intell. Build. Smart City 2023, 3, 123–125. [Google Scholar] [CrossRef]
- Yan, X.; Li, W.; Xie, K. Analysis of China’s Energy Security Situation and Countermeasures Study in the New Period. Energy Sci. Technol. 2020, 18, 3–7. [Google Scholar]
- Statistical Bulletin on the Development of National Education in 2022—People’s Republic of China Ministry of Education Official Government Portal Websit. Available online: http://www.moe.gov.cn/jyb_sjzl/sjzl_fztjgb/202307/t20230705_1067278.html (accessed on 17 October 2024).
- Tan, H.; Chen, S.; Shi, Q.; Wang, L. Development of Green Campus in China. J. Clean. Prod. 2014, 64, 646–653. [Google Scholar] [CrossRef]
- Li, J.; Shui, B. A Comprehensive Analysis of Building Energy Efficiency Policies in China: Status Quo and Development Perspective. J. Clean. Prod. 2015, 90, 326–344. [Google Scholar] [CrossRef]
- Zhang, Y.; Li, A.; Han, X.; Chen, Z.; Yuan, Y. Research on Retrofit Strategies for Existing Building Envelopes Based on the ‘Dual Carbon’ Goals. Green Build. 2023, 15, 16–19. [Google Scholar]
- Elarga, H.; Zarrella, A.; De Carli, M. Dynamic Energy Evaluation and Glazing Layers Optimization of Facade Building with Innovative Integration of PV Modules. Energy Build. 2016, 111, 468–478. [Google Scholar] [CrossRef]
- Freitas, J.D.S.; Cronemberger, J.; Soares, R.M.; Amorim, C.N.D. Modeling and Assessing BIPV Envelopes Using Parametric Rhinoceros Plugins Grasshopper and Ladybug. Renew. Energy 2020, 160, 1468–1479. [Google Scholar] [CrossRef]
- Zhang, X.; Lau, S.-K.; Lau, S.S.Y.; Zhao, Y. Photovoltaic Integrated Shading Devices (PVSDs): A Review. Sol. Energy 2018, 170, 947–968. [Google Scholar] [CrossRef]
- Obaideen, K.; Olabi, A.G.; Al Swailmeen, Y.; Shehata, N.; Abdelkareem, M.A.; Alami, A.H.; Rodriguez, C.; Sayed, E.T. Solar Energy: Applications, Trends Analysis, Bibliometric Analysis and Research Contribution to Sustainable Development Goals (SDGs). Sustainability 2023, 15, 1418. [Google Scholar] [CrossRef]
- Hestnes, A.-G.; Hastings, R.; Saxhof, B. Solar Energy Houses: Strategies, Technologies, Examples; Routledge: London, UK, 2013; ISBN 978-1-134-07198-2. [Google Scholar]
- Scognamiglio, A.; Røstvik, H.N. Photovoltaics and Zero Energy Buildings: A New Opportunity and Challenge for Design. Prog. Photovolt. Res. Appl. 2013, 21, 1319–1336. [Google Scholar] [CrossRef]
- Corti, P.; Bonomo, P.; Frontini, F. Paper Review of External Integrated Systems as Photovoltaic Shading Devices. Energies 2023, 16, 5542. [Google Scholar] [CrossRef]
- Attoye, D.E.; Tabet Aoul, K.A.; Hassan, A. A Review on Building Integrated Photovoltaic Facade Customization Potentials. Sustainability 2017, 9, 2287. [Google Scholar] [CrossRef]
- Cheng, C.L.; Sanchez Jimenez, C.S.; Lee, M.-C. Research of BIPV Optimal Tilted Angle, Use of Latitude Concept for South Orientated Plans. Renew. Energy 2009, 34, 1644–1650. [Google Scholar] [CrossRef]
- Yang, H.; Lu, L. The Optimum Tilt Angles and Orientations of PV Claddings for Building-Integrated Photovoltaic (BIPV) Applications. J. Sol. Energy Eng. Trans. ASME 2007, 129, 253–255. [Google Scholar] [CrossRef]
- Gonzalez, F.J.N. Arquitectura Bioclim Atica en un Entorno Sostenible; Editorial Munilla-Lería: Madrid, Spain, 2004. [Google Scholar]
- Shi, S.; Sun, J.; Liu, M.; Chen, X.; Gao, W.; Song, Y. Energy-Saving Potential Comparison of Different Photovoltaic Integrated Shading Devices (PVSDs) for Single-Story and Multi-Story Buildings. Energies 2022, 15, 9196. [Google Scholar] [CrossRef]
- Sun, L.; Lu, L.; Yang, H. Optimum Design of Shading-Type Building-Integrated Photovoltaic Claddings with Different Surface Azimuth Angles. Appl. Energy 2012, 90, 233–240. [Google Scholar] [CrossRef]
- Sun, L.L.; Yang, H.X. Impacts of the Shading-Type Building-Integrated Photovoltaic Claddings on Electricity Generation and Cooling Load Component through Shaded Windows. Energy Build. 2010, 42, 455–460. [Google Scholar] [CrossRef]
- Mandalaki, M.; Zervas, K.; Tsoutsos, T.; Vazakas, A. Assessment of Fixed Shading Devices with Integrated PV for Efficient Energy Use. Sol. Energy 2012, 86, 2561–2575. [Google Scholar] [CrossRef]
- Li, X.; Peng, J.; Li, N.; Wu, Y.; Fang, Y.; Li, T.; Wang, M.; Wang, C. Optimal Design of Photovoltaic Shading Systems for Multi-Story Buildings. J. Clean. Prod. 2019, 220, 1024–1038. [Google Scholar] [CrossRef]
- Baghoolizadeh, M.; Nadooshan, A.A.; Raisi, A.; Malekshah, E.H. The Effect of Photovoltaic Shading with Ideal Tilt Angle on the Energy Cost Optimization of a Building Model in European Cities. Energy Sustain. Dev. 2022, 71, 505–516. [Google Scholar] [CrossRef]
- Zhang, W.; Deng, M.; Xiong, Q. Evaluation of Energy Performance in Positive Energy Building: X HOUSE at Solar Decathlon Middle East 2021. Renew. Sustain. Energy Rev. 2024, 192, 114163. [Google Scholar] [CrossRef]
- Gercek, C.; Devetaković, M.; Krstić-Furundžić, A.; Reinders, A. Energy Balance, Cost and Architectural Design Features of 24 Building Integrated Photovoltaic Projects Using a Modelling Approach. Appl. Sci. 2020, 10, 8860. [Google Scholar] [CrossRef]
- Sayre, R.; Karagulle, D.; Frye, C.; Boucher, T.; Wolff, N.H.; Breyer, S.; Wright, D.; Martin, M.; Butler, K.; Van Graafeiland, K.; et al. An Assessment of the Representation of Ecosystems in Global Protected Areas Using New Maps of World Climate Regions and World Ecosystems. Glob. Ecol. Conserv. 2020, 21, e00860. [Google Scholar] [CrossRef]
- Luo, Y.; Zhang, L.; Su, X.; Liu, Z.; Lian, J.; Luo, Y. Improved Thermal-Electrical-Optical Model and Performance Assessment of a PV-Blind Embedded Glazing Facade System with Complex Shading Effects. Appl. Energy 2019, 255, 113896. [Google Scholar] [CrossRef]
- Al-Masrani, S.M.; Al-Obaidi, K.M. Dynamic Shading Systems: A Review of Design Parameters, Platforms and Evaluation Strategies. Autom. Constr. 2019, 102, 195–216. [Google Scholar] [CrossRef]
- Peng, C. Eight Decades of Architecture in South China: Major Events in the Architectural Discipline at South China University of Technology (1932–2012); South China University of Technology Press: Guangzhou, China, 2012; ISBN 978-7-5623-3778-2. [Google Scholar]
- Xia, C. Cooling Challenges in Subtropical Architecture: Shading, Insulation, and Ventilation—Shading—Insulation—Ventilation. Archit. J. 1958, 10, 36–39+42. [Google Scholar]
- Qi, B.; Xiao, Y.; Zhao, L.; Shen, J. Analysis of Sun-shading Techniques in the Works of Xia Changshi. South Archit. 2010, 02, 64–66. [Google Scholar]
- Tang, G. Xia’s Sun-shading Technique and Heat Prevention in Lingnan Architecture. New Archit. 2005, 06, 17–20. [Google Scholar]
- Thermal Design Code for Civil Buildings. Available online: https://www.mohurd.gov.cn/gongkai/zhengce/zhengcefilelib/201702/20170214_230579.html (accessed on 17 October 2024).
- Guangzhou Weather. Available online: http://www.tqyb.com.cn/gz/climaticprediction/static/ (accessed on 17 October 2024).
- South China University of Technology. Architectural Physics; South China University of Technology Press: Guangzhou, China, 2002. [Google Scholar]
- Eltaweel, A.; Su, Y. Parametric Design and Daylighting: A Literature Review. Renew. Sustain. Energy Rev. 2017, 73, 1086–1103. [Google Scholar] [CrossRef]
- Ladybug Tools. Available online: https://www.food4rhino.com/en/app/ladybug-tools (accessed on 17 October 2024).
- Shrivastava, A.; Sharma, R.; Kumar Saxena, M.; Shanmugasundaram, V.; Lal Rinawa, M. Ankit Solar Energy Capacity Assessment and Performance Evaluation of a Standalone PV System Using PVSYST. Mater. Today Proc. 2023, 80, 3385–3392. [Google Scholar] [CrossRef]
- Kumar, R.; Rajoria, C.S.; Sharma, A.; Suhag, S. Design and Simulation of Standalone Solar PV System Using PVsyst Software: A Case Study. Mater. Today Proc. 2021, 46, 5322–5328. [Google Scholar] [CrossRef]
- Project Design > Shadings. Available online: https://www.pvsyst.com/help/index.html?shadings_general.htm (accessed on 18 October 2024).
- GB50797-2012; Design Code for Photovoltaic Power Stations. Shanghai Electric Power Design Institute Co., Ltd.: Shanghai, China, 2012.
























| Facade | Type | Maximum Power (W) | Maximum Voltage (V) | Maximum Current (A) | Open Circuit Voltage (V) | Open Circuit Current (A) | Dimensions (mm) |
|---|---|---|---|---|---|---|---|
| West | Si-mono | 360 | 59.1 | 6.90 | 70.60 | 6.500 | 2008 × 1002 × 40 |
| South | Si-mono | 360 | 36.2 | 9.940 | 43.61 | 10.540 | 1775 × 997 × 35 |
| Southwest | Si-mono | 290 | 32.00 | 9.070 | 39.00 | 9.730 | 1600 × 1002 × 30 |
| Si-mono | 162 | 17.00 | 9.530 | 20.20 | 10.610 | 1048 × 830 × 60 |
| (°) | Power Generation (MWh) | Irradiance Loss (%) | Electrical Loss (%) |
|---|---|---|---|
| 10 | 24.371 | 15.6 | 16.3 |
| 20 | 23.464 | 19.5 | 11.5 |
| 30 | 21.834 | 22.9 | 8.9 |
| Direction | Spacing (m) | Power Generation (MWh) | Irradiance Loss (%) | Electrical Loss (%) |
|---|---|---|---|---|
| Horizontal | 0.3 | 46.061 | 61.7 | 8.5 |
| 0.7 | 54.770 | 52.1 | 13.3 | |
| 0.9 | 57.497 | 47.8 | 16.6 | |
| 1.5 | 69.839 | 38.6 | 13.5 | |
| Vertical | 0.3 | 44.295 | 59.1 | 18 |
| 0.7 | 49.618 | 50.6 | 23.9 | |
| 0.9 | 53.662 | 47.4 | 22.7 | |
| 1.5 | 65.973 | 41.0 | 14.9 |
| Part | (°) | Power Generation (MWh) | Irradiance Loss (%) | Electrical Loss (%) |
|---|---|---|---|---|
| Overhang | - | 15.232 | 38.9 | 5.2 |
| Flank | 10 | 16.621 | 37.0 | 23.6 |
| 20 | 14.429 | 34.5 | 15.5 | |
| 40 | 9.325 | 36.9 | 14.7 | |
| 85 | 5.705 | 62.4 | 29.4 |
Disclaimer/Publisher’s Note: The statements, opinions and data contained in all publications are solely those of the individual author(s) and contributor(s) and not of MDPI and/or the editor(s). MDPI and/or the editor(s) disclaim responsibility for any injury to people or property resulting from any ideas, methods, instructions or products referred to in the content. |
© 2024 by the authors. Licensee MDPI, Basel, Switzerland. This article is an open access article distributed under the terms and conditions of the Creative Commons Attribution (CC BY) license (https://creativecommons.org/licenses/by/4.0/).
Share and Cite
Cai, Z.; Zhang, W.; Chen, J.; Su, P. Photovoltaic Integrated Shading Devices in the Retrofitting of Existing Buildings on Chinese Campuses Within a Regional Context. Buildings 2024, 14, 3577. https://doi.org/10.3390/buildings14113577
Cai Z, Zhang W, Chen J, Su P. Photovoltaic Integrated Shading Devices in the Retrofitting of Existing Buildings on Chinese Campuses Within a Regional Context. Buildings. 2024; 14(11):3577. https://doi.org/10.3390/buildings14113577
Chicago/Turabian StyleCai, Zhiwen, Wenhao Zhang, Jiajian Chen, and Ping Su. 2024. "Photovoltaic Integrated Shading Devices in the Retrofitting of Existing Buildings on Chinese Campuses Within a Regional Context" Buildings 14, no. 11: 3577. https://doi.org/10.3390/buildings14113577
APA StyleCai, Z., Zhang, W., Chen, J., & Su, P. (2024). Photovoltaic Integrated Shading Devices in the Retrofitting of Existing Buildings on Chinese Campuses Within a Regional Context. Buildings, 14(11), 3577. https://doi.org/10.3390/buildings14113577

