Computer-Vision-Aided Deflection Influences Line Identification of Concrete Bridge Enhanced by Edge Detection and Time-Domain Forward Inference
Abstract
1. Introduction
- The inadequate accuracy and efficiency of the deflection response measurement of concrete bridges with non-contact schemes. The inherent characteristics of concrete bridges, characterized by small span and high stiffness, lead to minimal deflection deformations under vehicular loads. However, the limited ability of visual technology to capture subtle structural deformations poses a challenge, thereby constraining the application of non-contact measurement schemes in concrete bridges. Although researchers [18,19] have already leveraged computer vision technology to achieve non-contact measurements of bridge response signals, the presence of irrelevant information in the vicinity of the focal point can lead to a sharp increase in data volume. Therefore, there is an urgent need for a non-contact bridge response measurement technology that can be applied in diverse and complex scenarios.
- The ill-conditioned nature of the inverse problem in IL identification. Traditional IL identification methods involve constructing matrices based on load information and then inversely inferring IL from response signals, representing a typical class of inverse problems. While regularization methods mitigate the ill-conditioning effects of inverse problems to some extent by introducing penalty functions, they do not fundamentally eliminate these effects. Furthermore, after discussing the impact of vehicle axle spacing on the accuracy of IL identification results, Chen et al. [20] equivalently transformed vehicle loads into unit forces to circumvent the ill-conditioning of the inverse problem. However, this approach somewhat restricts the applicability of the method. Therefore, there is an urgent need for an IL identification model based on existing time-domain signal inference to expand the application scenarios of IL identification technology.
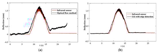
- Traditional LK optical flow methodologies are constrained by hardware limitations, resulting in a lack of clarity in feature points within the camera’s field of view and occasional loss of points in certain video frames. This impediment hampers the effective measurement of concrete bridge deflection. To address this challenge, this research introduces an edge detection technique that discerns boundaries by identifying maximum values in the first-order derivatives of the image. By selectively eliminating extraneous information in the image that is unrelated to the focal points, only pertinent structural attributes are retained to bolster the resilience of deflection measurements.
- Conventional methods for IL identification necessitate the construction of matrices predicated on load data, followed by the inverse reconstruction of IL from response signals, constituting a quintessential inverse problem. To surmount the ill-conditioned nature of the inverse problem, this study propounds a new IL identification model with TDFI. This model iteratively acquires response data engendered by the bridge under the sequential influence of axles on multi-axle vehicles, computes the IL by normalizing the response by the weight of the preceding axle, and introduces a reduction coefficient for axle weight ratios to mitigate noise amplification, thereby facilitating precise IL identification.
- The deflection IL identification methodology advanced in this investigation leverages computer vision technology to transcend conventional contact-based measurement paradigms, markedly enhancing the operational efficiency and applicability of IL identification techniques in concrete bridges.
2. Elaboration of the Proposed Deflection IL Identification Method
2.1. Dynamic Bridge Deflection Response Measurement with Edge Detection
2.1.1. Recap of LK Optical Flow Method Theory
2.1.2. Virtual Tracking Points Establishment Using Edge Detection
2.1.3. Steps of Dynamic Bridge Deflection Measurement
- Capture bridge video information through cameras when vehicles pass over the bridge.
- Select region of interest from the bridge video information.
- Remove bridge surface texture through edge detection with Equations (6)–(11).
- Establish virtual tracking points by adding color constraints at the edges.
- Calculate the location information of virtual tracking points through the LK optical flow method with Equation (4).
- Convert pixel displacement to dynamic deflection response through camera calibration with Equation (5).
2.2. Time-Domain Forward Inference for IL Identification
2.2.1. Mathematical Model of the TDFI
2.2.2. Noise Amplification Circumvention with Axle Weight Ratio Reduction Coefficient
2.3. Flowchart of the Proposed Method
3. Numerical Example
3.1. Nominal Case
3.2. Parametric Analysis
3.2.1. Effect of Noise Level
3.2.2. Effect of Forward Step Size
3.2.3. Effect of Axle Number
4. Laboratory Validation
4.1. Case Overview
4.2. Measurement Analysis of the LK Optical Flow Method
4.3. IL Identification with TDFI Model
5. Field Test
6. Conclusions
- This research introduces an edge detection technique that discerns boundaries to enhance the measurement robustness of the LK optical flow method. The laboratory validation and field test validate the measurement accuracy of concrete bridge deflection.
- This study propounds a new IL identification model with TDFI. The case studies validate that the model can mitigate the ill-posed nature of the inverse problem to accurately identify IL.
- The deflection IL identification methodology advanced in this investigation leverages computer vision technology to transcend conventional contact-based measurement paradigms, markedly enhancing the operational efficiency and applicability of IL identification techniques in engineering contexts, especially in concrete bridges.
Author Contributions
Funding
Data Availability Statement
Conflicts of Interest
References
- Chen, Z.W.; Cai, Q.L.; Lei, Y.; Zhu, S. Damage Detection of Long-span Bridges Using Stress Influence Lines Incorporating Control Charts. Sci. China Technol. Sci. 2014, 57, 1689–1697. [Google Scholar] [CrossRef]
- Chen, Z.W.; Yang, W.B.; Li, J.; Cheng, Q.; Cai, Q.L. A systematic method from influence line identification todamage detection: Application to RC bridges. Comput. Concr. 2017, 20, 563–572. [Google Scholar]
- Xiao, X.; Xu, Y.; Zhu, Q. Multiscale Modeling and Model Updating of a Cable-Stayed Bridge. II: Model Updating Using Modal Frequencies and Influence Lines. J. Bridge Eng. 2014, 20, 04014113. [Google Scholar] [CrossRef]
- Yan, W.J.; Hao, T.T.; Yuen, K.V.; Papadimitriou, C. Monitoring gross vehicle weight with a probabilistic and influence line-free bridge weight-in-motion scheme based on a transmissibility-like index. Mech. Syst. Signal Process. 2022, 177, 109133. [Google Scholar] [CrossRef]
- McNulty, P. Testing of an Irish Bridge Weigh-in-Motion System. Master’s Thesis, University College Dublin, Dublin, Ireland, 1999. [Google Scholar]
- González, A.; O’Brien, E. Influence of dynamics on accuracy of a bridge weigh in motion system. In Proceedings of the Third International Conference on Weigh-in-Motion (ICWIM3) Iowa State University, Ames, Orlando, FL, USA, 13–15 May 2002. [Google Scholar]
- Obrien, E.J.; Quilligan, M.J.; Karoumi, R. Calculating an influence line from direct measurements. Proc. Inst. Civ. Eng. Bridge Eng. 2006, 159, 31–34. [Google Scholar] [CrossRef]
- Chen, Z.W.; Yang, W.B.; Li, J.; Yi, T.H.; Wu, J.; Wang, D. Bridge influence line identification based on adaptive B-spline basis dictionary and sparse regularization. Struct. Control Health Monit. 2019, 26, e2355. [Google Scholar] [CrossRef]
- Zheng, X.; Yang, D.H.; Yi, T.H.; Li, H.N.; Chen, Z.W. Bridge Influence Line Identification Based on Regularized Least-Squares QR Decomposition Method. J. Bridge Eng. 2019, 24, 06019004. [Google Scholar] [CrossRef]
- Chen, Z.W.; Zhao, L.; Yan, W.J.; Yuen, K.V.; Wu, C. A statistical influence line identification method using Bayesian regularization and a polynomial interpolating function. Struct. Control Health Monit. 2022, 29, e3080. [Google Scholar] [CrossRef]
- Chen, Z.W.; Cai, Q.L.; Li, J. Stress Influence Line Identification of Long Suspension Bridges Installed with Structural Health Monitoring Systems. Int. J. Struct. Stab. Dyn. 2016, 16, 1640023. [Google Scholar] [CrossRef]
- Hunt, V. Nondestructive Evaluation and Health Monitoring of Highway Bridges. Ph.D. Thesis, University of Cincinnati, Cincinnati, OH, USA, 2000. [Google Scholar]
- Yan, W.J.; Yuen, K.V. A new probabilistic frequency-domain approach for influence line extraction from static transmissibility measurements under unknown moving loads. Eng. Struct. 2020, 216, 110625. [Google Scholar] [CrossRef]
- Li, X.; Zhu, J. Identification of bridge influence line and multiple-vehicle loads based on physics-informed neural networks. Struct. Health Monit. 2024. [Google Scholar] [CrossRef]
- Zheng, X.; Yang, D.H.; Yi, T.H.; Li, H.N. Bridge influence line identification from structural dynamic responses induced by a high-speed vehicle. Struct. Control Health Monit. 2020, 27, e2544. [Google Scholar] [CrossRef]
- Chen, Z.W.; Zhao, L.; Zhou, Y.G.; He, W.Y.; Ren, W.X. Extraction of quasi-static component from vehicle-induced dynamic response using improved variational mode decomposition. Smart Struct. Syst. 2023, 31, 155–169. [Google Scholar]
- Ieng, S.S. Bridge Influence Line Estimation for Bridge Weigh-in-Motion System. J. Comput. Civ. Eng. 2015, 29, 06014006. [Google Scholar] [CrossRef]
- Zhou, Y.; Hu, J.N.; Hao, G.W.; Zhu, Z.R.; Zhang, J. Identification of Influence Lines for Highway Bridges Using Bayesian Parametric Estimation Based on Computer Vision Measurements. J. Bridge Eng. 2023, 28, 04023087. [Google Scholar] [CrossRef]
- Zhou, Y.; Zhou, S.; Hao, G.; Zhang, J. Bridge influence line identification based on big data and interval analysis with affine arithmetic. Measurement 2021, 183, 109807. [Google Scholar] [CrossRef]
- Chen, Z.W.; Guo, Z.C.; Ren, W.X.; Zhang, Y. A novel bridge influence line identification approach based on nonlinear frequency modulation signal reconstruction. Mech. Syst. Signal Process. 2024, 219, 111622. [Google Scholar] [CrossRef]
- Badran, A.; El-Geneidy, A.; Miranda-Moreno, L. Intersection movements delay modelling based on crowd-sensed global positioning system trajectory data. Can. J. Civ. Eng. 2024, 51, 1056–1065. [Google Scholar] [CrossRef]
- Liu, H. Acquisition method based on differential global positioning system for land resource data. Geotech. Res. 2024, 11, 123–133. [Google Scholar] [CrossRef]
- Sofi, M.; Lumantarna, E.; Zhong, A.; Mendis, P.A.; Duffield, C.; Barnes, R. Determining dynamic characteristics of high rise buildings using interferometric radar system. Eng. Struct. 2018, 164, 230–242. [Google Scholar] [CrossRef]
- Zhang, G.; Zhao, W.; Zhang, J. Bridge distributed stiffness identification of continuous beam bridge based on microwave interferometric radar technology and rotation influence line. Measurement 2023, 220, 113353. [Google Scholar] [CrossRef]
- Shao, Y.; Li, L.; Li, J.; Li, Q.; An, S.; Hao, H. Out-of-plane full-field vibration displacement measurement with monocular computer vision. Autom. Constr. 2024, 165, 105507. [Google Scholar] [CrossRef]
- Gupta, A.; Sintorn, I.-M. Efficient high-resolution template matching with vector quantized nearest neighbour fields. Pattern Recognit. 2024, 151, 110386. [Google Scholar] [CrossRef]
- Qureshi, A.M.; Mudawi, N.A.; Alonazi, M.; Chelloug, S.A.; Park, J. Road Traffic Monitoring from Aerial Images Using Template Matching and Invariant Features, Computers. Mater. Contin. 2024, 78, 3683–3701. [Google Scholar]
- Zhang, X.; Wei, L.; Yao, L.; Zhong, J.; Wang, J. Investigation of near-field jet stability of a single-hole injector based on fast X-ray phase contrast imaging and image feature matching. Exp. Therm. Fluid Sci. 2023, 141, 110771. [Google Scholar] [CrossRef]
- Chu, Y.; Li, H.; Li, X.; Ding, Y.; Yang, X.; Ai, D.; Chen, X.; Wang, Y.; Yang, J. Endoscopic image feature matching via motion consensus and global bilateral regression. Comput. Methods Programs Biomed. 2020, 190, 105370. [Google Scholar] [CrossRef]
- Bao, N.; Fan, Y.; Simeone, A.; Li, T.; Luo, Z. Defect Detection System for Smartphone Front Camera Based on Improved Template Matching Algorithm. Procedia CIRP 2021, 103, 268–273. [Google Scholar] [CrossRef]
- Li, S.; Zhou, B.; Yang, B.; Ali, F.; Liang, Z. Feature tracking and matching for wide-baseline images with closed-loop sequence. Comput. Electr. Eng. 2023, 110, 108871. [Google Scholar] [CrossRef]
- Lucas, B.D.; Kanade, T. An Iterative Image Registration Technique with an Application to Stereo Vision. In Proceedings of the International Joint Conference on Artificial Intelligence, Vancouver, BC, Canada, 24–28 August 1981. [Google Scholar]
- Liu, X.; Tang, J.; Shen, C.; Wang, C.; Zhao, D.; Guo, X.; Li, J.; Liu, J. Brain-like position measurement method based on improved optical flow algorithm. ISA Trans. 2023, 143, 221–230. [Google Scholar] [CrossRef]
- Jodoin, P.M.; Mignotte, M. Optical-flow based on an edge-avoidance procedure. Comput. Vis. Image Underst. 2009, 113, 511–531. [Google Scholar] [CrossRef]
- Yang, G.; Xu, F. Research and analysis of Image edge detection algorithm Based on the MATLAB. Procedia Eng. 2011, 15, 1313–1318. [Google Scholar] [CrossRef][Green Version]
- Arnheim, R.; Gibson, J.J. The Perception of the Visual World. J. Aesthet. Art Crit. 1952, 11, 172. [Google Scholar] [CrossRef]
- Alfarano, A.; Maiano, L.; Papa, L.; Amerini, I. Estimating optical flow: A comprehensive review of the state of the art. Comput. Vis. Image Underst. 2024, 104160. [Google Scholar] [CrossRef]
- Ma, P.; Yuan, H.; Chen, Y.; Chen, H.; Weng, G.; Liu, Y. A Laplace operator-based active contour model with improved image edge detection performance. Digit. Signal Process. 2024, 151, 104550. [Google Scholar] [CrossRef]
- Gao, P.; Song, Y.; Song, M.; Qian, P.; Su, Y. Extract nanoporous gold ligaments from SEM images by combining fully convolutional network and Sobel operator edge detection algorithm. Scr. Mater. 2022, 213, 114627. [Google Scholar] [CrossRef]
- Zhang, X.; Zhang, Y.; Zheng, R. Image edge detection method of combining wavelet lift with Canny operator. Procedia Eng. 2011, 15, 1335–1339. [Google Scholar] [CrossRef]
- Gaurav, K.; Ghanekar, U. Image steganography based on Canny edge detection, dilation operator and hybrid coding. J. Inf. Secur. Appl. 2018, 41, 41–51. [Google Scholar] [CrossRef]
- Ravivarma, G.; Gavaskar, K.; Malathi, D.; Asha, K.G.; Ashok, B.; Aarthi, S. Implementation of Sobel operator based image edge detection on FPGA. Mater. Today Proc. 2021, 45, 2401–2407. [Google Scholar] [CrossRef]
- Xiao, F.; Sun, H.; Mao, Y.; Chen, G.S. Damage identification of large-scale space truss structures based on stiffness separation method. Structures 2023, 53, 109–118. [Google Scholar] [CrossRef]
- Xiao, F.; Mao, Y.; Tian, G.; Chen, G.S. Partial-Model-Based Damage Identification of Long-Span Steel Truss Bridge Based on Stiffness Separation Method. Struct. Control Health Monit. 2024, 2024, 5530300. [Google Scholar] [CrossRef]



















| Scenario | ||||
|---|---|---|---|---|
| 1 | 2 | 3 | 4 | |
| Axle number | 2 | 4 | 6 | 8 |
| Axle weight (t) | 1; 2 | 1; 2; 2; 3 | 1; 2; 3; 3; 4; 6 | 1; 2; 4; 4; 6; 6; 7; 7 |
| Time consumed (s) | 3 | 5 | 10 | 19 |
| RE (%) | 2.1 | 2.3 | 2.4 | 2.0 |
| Vehicle Number | Wheelbase d (m) | Axle Spacing 1 a (m) | Axle Spacing 2 b (m) | Total Weight (t) | Rear Axle Weight (t) | Front Axle Weight (t) |
|---|---|---|---|---|---|---|
| (1) | 2.00 | 3.80 | 1.35 | 33.88 | 25.72 | 6.31 |
| (2) | 2.00 | 3.80 | 1.35 | 31.89 | 25.66 | 6.53 |
| (3) | 2.00 | 3.80 | 1.35 | 31.53 | 25.83 | 6.20 |
![]() | ||||||
Disclaimer/Publisher’s Note: The statements, opinions and data contained in all publications are solely those of the individual author(s) and contributor(s) and not of MDPI and/or the editor(s). MDPI and/or the editor(s) disclaim responsibility for any injury to people or property resulting from any ideas, methods, instructions or products referred to in the content. |
© 2024 by the authors. Licensee MDPI, Basel, Switzerland. This article is an open access article distributed under the terms and conditions of the Creative Commons Attribution (CC BY) license (https://creativecommons.org/licenses/by/4.0/).
Share and Cite
Chen, J.; Zhao, L.; Feng, Y.; Chen, Z. Computer-Vision-Aided Deflection Influences Line Identification of Concrete Bridge Enhanced by Edge Detection and Time-Domain Forward Inference. Buildings 2024, 14, 3537. https://doi.org/10.3390/buildings14113537
Chen J, Zhao L, Feng Y, Chen Z. Computer-Vision-Aided Deflection Influences Line Identification of Concrete Bridge Enhanced by Edge Detection and Time-Domain Forward Inference. Buildings. 2024; 14(11):3537. https://doi.org/10.3390/buildings14113537
Chicago/Turabian StyleChen, Jianfeng, Long Zhao, Yuliang Feng, and Zhiwei Chen. 2024. "Computer-Vision-Aided Deflection Influences Line Identification of Concrete Bridge Enhanced by Edge Detection and Time-Domain Forward Inference" Buildings 14, no. 11: 3537. https://doi.org/10.3390/buildings14113537
APA StyleChen, J., Zhao, L., Feng, Y., & Chen, Z. (2024). Computer-Vision-Aided Deflection Influences Line Identification of Concrete Bridge Enhanced by Edge Detection and Time-Domain Forward Inference. Buildings, 14(11), 3537. https://doi.org/10.3390/buildings14113537


