Abstract
In situ dynamic testing is conducted to study the dynamic characteristics of the wooden structure of the North House main hall. The velocity response signals on the measurement points are obtained and analyzed using the self-interaction spectral method and stochastic subspace method, yielding natural frequencies, mode shapes, and damping ratios. This study reveals that the natural frequencies and damping ratios are highly consistent between the two methods. Therefore, to eliminate errors, the average of the results from both modal identification methods is taken as the final measured modal parameters of the structure. The natural frequencies of the first and second order in the X direction were 2.097 Hz and 3.845 Hz and in the Y direction were 3.955 Hz and 5.701 Hz. The modal frequency in the Y direction of the structure exceeds that in the X direction. Concurrently, a three-dimensional finite element model was established using ANSYS 2021R1, considering the semi-rigid properties of mortise–tenon connections, and validated based on in situ dynamic testing. The sensitivity analysis indicates adjustments to parameters such as beam–column elastic modulus, tenon–mortise joint stiffness, and roof mass for finite element model refinement. Modal parameter calculations from the corrected finite element model closely approximate the measured modal results, with maximum errors of 9.41% for the first two frequencies, both within 10% of the measured resonant frequencies. The adjusted finite element model closely matches the experimental results, serving as a benchmark model for the wooden structure of North House main hall. The validation confirms the rationality of the benchmark finite element model, providing valuable insights into ancient timber structures along transportation routes.
1. Introduction
The popularity of Tianshui’s spicy hot pot has captivated the city, showcasing its role not only as a culinary hub but also as a city with rich cultural heritage. Designated as a National Famous Historical and Cultural City, Tianshui houses one World Cultural Heritage site and has a total of 470 units of various levels of cultural relic protection. Among others, the wooden structures of ancient residential buildings in Tianshui were announced as one of the endangered heritage sites by the World Cultural Heritage Foundation in 2006 [1].
The Hu Family Ancient Residence, commonly known as the Nanbei Courtyard, was an ancient architectural structure from the Ming Dynasty. The North Courtyard was originally the residence of Hu Xin, who served as the Minister of Rites during the Wanli period of the Ming Dynasty. Built in 1615, it has a history of over 400 years. On 25 June 2001, it was designated as a National Key Cultural Relic Protection Unit. It is one of the outstanding representatives of existing Ming Dynasty residential buildings in Tianshui City and is the only surviving official residence from the Ming Dynasty in Northwest China. The site holds significant historical, cultural, and artistic value, and its scale is also quite rare among ancient residences in the country.
The North House main hall in the middle court features a unique and grand design, serving as the core component of the North Courtyard. It embodies the exquisite architectural artistry and profound cultural significance of the Ming Dynasty. The plane of North House main hall is rectangular, oriented north–south. It spans five rooms with a total width of 20.05 m and a depth of three rooms totaling 14.41 m. The ridge height reaches 11.4 m, featuring a double-eave two-story pavilion-style brick and wood structure with a rigid roof. Figure 1 depicts the elevation plan of North House main hall. The North House main hall is located on Minzhu West Road in the Qinzhou District of Tianshui City, Gansu Province. It is only slightly over 40 m away from major traffic arteries within the city. Following the May 12 earthquake, the wooden structure of North House main hall suffered severe damage. Figure 2 shows the location schematic of North House main hall. With the economic development and population growth in Tianshui, ground traffic flow has continued to increase. Persistent ground traffic vibrations year-round have caused damage to the wooden structures. Over time, this cumulative damage has led to fatigue, the loosening of joints, and structural deformation and posed severe threats to safety and lifespan. Urgent research is needed to assess the dynamic response and safety of the wooden structures of North House main hall under traffic-induced conditions. This research will provide the basis for the maintenance, repair, and management of the wooden structures in Tianshui’s ancient residences.
Figure 1.
Elevation plan of North House main hall.
Figure 2.
Location schematic of North House main hall.
The impact of traffic-induced vibrations on ancient architecture has received significant attention from domestic and international scholars, leading to extensive research efforts and relevant achievements in this field. To study the seismic performance of timber structures, many researchers have conducted shaking table tests on scaled models [2,3,4,5]. Due to the high costs of testing and the lack of general applicability, many researchers have adopted a cost-effective approach. This method involves the dynamic property testing of timber structures and the establishment of finite element models, which are validated through dynamic testing. Fang et al. [6,7] conducted on-site measurements and model tests on the North Gate of the Xi’an City Wall to study the basic characteristics of the timber structures. Multipoint excitation tests on the wooden models validate that the first and second modes obtained by the on-site full-scale test are the vibration modes of the tower. Wu et al. [8] and Pan et al. [9] established finite element models of timber structures and validated the model accuracy with the data from on-site tests to study the dynamic characteristics and seismic responses of the timber-frame structures. Che et al. [10] conducted on-site dynamic testing to analyze the dynamic characteristics and damage mechanics of the Yingxian Wooden Pagoda in Shanxi. Altunisik A. C. et al. [11] studied the structural condition of a restored historical timber mosque, conducting the finite element analysis, ambient vibration tests, and model updating to minimize the differences and reflect the current situation. Ahmet C. A. et al. [12] conducted eight ambient vibration tests on historical masonry armory buildings and determined the nonlinear dynamic response of historical masonry armory buildings using a validated finite element model.
This paper establishes a finite element model of the wooden structure of the North House main hall, which accurately reflects its vibration characteristics. Modal parameters of the structure are obtained using modal identification techniques based on traffic-induced excitation. A parameter correction method based on sensitivity analysis is applied to revise the original finite element model. The revised model effectively represents the dynamic characteristics of the actual structure, providing a foundational model for the seismic performance research of wooden structures of ancient buildings along traffic routes.
2. Vibration Testing of the Wooden Structure of North House Main Hall Underground Traffic Excitation
2.1. Testing Instrument
“Technical Code for Protection of Ancient Buildings against Industrial Vibration” uses the horizontal vibration velocity of the top column as the evaluation criterion [13]. In this test, vibration velocities in three directions at various measurement points of the wooden structure of the North House main hall are tested. Sensors are deployed on the roadway and at each floor level of the wooden structure. Vibration induced by vehicle loads generally exhibits low-frequency characteristics. According to the specifications, the sampling frequency is set to 50 Hz.
The Donghua DH5907A wireless environmental excitation test and analysis system is utilized, equipped with built-in sensors and a data analysis system. Online monitoring focuses primarily on the beams and columns of the main load-bearing components of the wooden structure. The vibration testing equipment includes one laptop computer, ten sensors, one GPS signal transmitter, ten GPS antennas, modeling clay, et al.
2.2. Measurement Point Layout
According to Section 7.1.2 of “Technical Code for Protection of Ancient Buildings against Industrial Vibration”, the dynamic characteristics and response of the ancient building structure are tested. When the structure is symmetrical, testing can be conducted along any principal horizontal axis. When the structure is asymmetrical, testing should be conducted separately along each principal horizontal axis [13]. Due to the complex construction of the wooden structure of North House main hall, including vulnerable areas such as beam–column joints, column bases, and mid-span beams, and variations in damage conditions throughout the structure, factors such as the number of sensors and site conditions limit the testing scope. To address this, one reference point is selected at the base of columns 1–2 on each floor, and testing is conducted in batches per floor. Three batches are planned, with measurement points located at column bases, column heads, and adjacent floor slabs, totaling 27 measurement points. The testing conditions are detailed in Table 1.
Table 1.
Testing conditions.
Three-axis velocity sensors are installed at each measurement point, with each test duration not less than 20 min and conducted at least twice. The layout of measurement points is as shown in Figure 3, with north at the top, south at the bottom, west on the left, and east on the right. Ten measurement points are placed at the base of columns on the first floor of the timber structure, designated as 1–1 to 1–10. Eight measurement points are positioned at the base of columns on the second floor of the timber structure, labeled as 2–1 to 2–10. Eight measurement points are located at the tops of columns on the second floor of the timber structure, denoted as 3–1 to 3–10.

Figure 3.
The layout of measurement points.
The on-site testing process is illustrated in Figure 4, Figure 5 and Figure 6. Due to the extended monitoring duration and high daytime visitor traffic, each measurement point is manned to ensure uninterrupted monitoring and to prevent unnecessary external interference with the sensors.
Figure 4.
Preliminary preparation.
Figure 5.
Data acquisition.
Figure 6.
The layout of measurement points at the bottom and top of the second-floor column.
3. Test Data Pre-Processing
The signals obtained from vibration testing using sensors, amplifiers, and other data acquisition instruments are contaminated with unwanted components due to various external and internal factors during the testing process. To mitigate the effects of interference signals, data preprocessing is necessary. This pre-processing in MATLAB R2021b software includes eliminating trend terms, smoothing, and frequency domain filtering.
3.1. Elimination of Trend Items
The vibration signals collected during vibration testing often deviate from the baseline due to zero drift caused by amplifier temperature changes, instability in low-frequency performance outside the sensor’s frequency range, and environmental interference around the sensor. The magnitude of deviation from the baseline over time refers to the trend of the signal [14,15]. The most commonly used method to remove the trend is polynomial least squares fitting. Taking the example of the Y-direction at measurement point 2–3 on the second-floor column base, Figure 7 shows the comparison of the velocity time history curve before and after removing the trend in the Y-direction at measurement point 2–3 on the second-floor column base.
Figure 7.
The velocity time history curve before and after eliminating the trend term in the y-direction at measurement point 2–3 on the second-floor column base.
From Figure 7, it can be observed that the deviation of the raw signal from the baseline is not significant. After removing the trend component, the data did not show significant changes.
3.2. Smoothing
During vibration testing, occasional unexpected disturbances to the testing instruments can lead to irregular shapes and significant deviations from the baseline in the sampled signals at individual measurement points. To address such signals, multiple rounds of data smoothing can be applied using a moving average method. By subtracting the trend component from the original signal, irregular trends in the signal are eliminated, resulting in a smooth trend curve [15]. This study employs the averaging method for processing.
Figure 8 shows the comparison of the velocity time–history curve before and after smoothing in the Y-direction at measurement point 2–3 on the second-floor column base.
Figure 8.
The velocity time–history curve before and after smooth in the Y-direction at measurement point 2–3 on the second floor column base.
From Figure 8, it is evident that the collected vibration signal, after undergoing smoothing, has eliminated many irregular spikes. This has resulted in smoother test data, enhancing the accuracy of subsequent processing outcomes.
3.3. Digital Filtration
Digital filtering applies mathematical operations to selectively remove or retain certain frequency components of collected signals, thereby filtering out noise or spurious components of test signals, improving signal-to-noise ratio, smoothing analytical data, suppressing interference signals, and separating frequency components.
Figure 9 depicts the comparison of the velocity time–history curves in the Y-direction at measurement point 2–3 on the second-floor column base before and after filtering. From Figure 9, it is evident that interference largely masks the true signal amplitude. After applying a low-pass filter, some spikes are removed, thereby attenuating the influence of interference signals.
Figure 9.
The velocity time–history curves before and after filter processing in the Y-direction at measurement point 2–3 on the second-floor column base.
After the elimination of trend items, applying smoothing, and performing filtration, the collected velocity signals were effectively purified. This significantly reduced noise interference, thereby enhancing the precision of the data analysis.
4. Modal Parameter Identification
Modal identification methods based on environmental excitation can be classified into two categories: frequency domain methods and time domain methods. Based on the applicability of these two methods, the modal parameter identification of the wooden structures of North House main hall is conducted using the peak picking method from the frequency domain theory and the stochastic subspace identification method from the time domain theory [16].
4.1. The Peak Picking Method for Modal Parameter Identification
4.1.1. The Peak Picking Method
The peak picking method, based on the Welch method principle, is used to determine the frequencies of the structure. The modal parameters of the system are identified based on the principle that peaks appear in the power spectral density function at the natural frequencies of the system [17]. The Welch method is employed to sequentially estimate the power spectral density functions of response signals at each measurement point, obtaining the self-power spectral density in both the X and Y directions at each layer measurement point, as shown in Figure 10.

Figure 10.
Self-power spectral density in X and Y directions at each layer’s measurement points.
Figure 10 presents the self-power spectral density curves of X and Y direction at each layer measurement point of the timber frame structure. It is observed that the self-power spectral density peaks at the same location are similar, while the curves at other measurement points exhibit distinct peaks, indicating good identification performance. Additionally, as the frequency increases, the corresponding self-power spectral density peaks gradually decrease, suggesting that the coefficients of the participation of the initial vibration modes of the structure are higher, and these lower-order modes constitute the primary vibration forms of the structure.
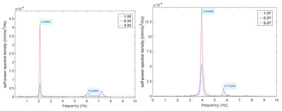
The self-power spectral density of X and Y direction vibrations at measurement points under conditions 1 to 3 is shown in Figure 11, Figure 12 and Figure 13.
Figure 11.
Self-power spectral density in X and Y directions at the measurement points for condition 1.
Figure 12.
Self-power spectral density in X and Y directions at the measurement points for condition 2.
Figure 13.
Self-power spectral density in X and Y directions at the measurement points for condition 3.
According to the self-power spectral density peaks at measurement points in Figure 11, Figure 12 and Figure 13, points X and Y on the roof level exhibit the highest peaks. As the floors descend, the self-power spectral density peaks gradually decrease at each level, reaching near-zero values at the base of the columns on the first floor for points X and Y. Due to the proximity of the front eaves to the driveway, the self-power spectral density peaks at the front eave measurement points are greater than those at the rear eave measurement points, indicating greater vibration energy at the front eaves. Within the same floor level, vibrations are more pronounced at the front eaves.
4.1.2. Natural Frequency and Damping Ratio Identification
Based on the peak frequency of the self-power spectral density curves of the self at each measurement point, the natural frequencies of each floor are calculated. Considering variations in damage conditions at different locations, there are differences in measurement results at each point. The resonant frequencies in the X and Y directions are taken as the average of the identified results from various points on the same floor. The calculated frequencies for the first two modes in the X and Y directions are shown in Table 2.
Table 2.
Natural frequencies of the wood structure.
The damping ratio is calculated using the half-power bandwidth method [4], as shown in Formula (1). The calculation results are presented in Table 3.
Table 3.
The damping ratio calculation results.
In the formula, ζ: damping ratio; fi: the peak frequency of the ith structural mode; f2, f1: frequencies at which the peak intersects 1/ amplitude level line of the curve (f2 > f1).
4.2. Random Subspace Method for Modal Parameter Identification
The random subspace method is a time-domain technique for modal parameter identification that utilizes spatial projection for filtering, effectively denoising the modal signals. To enhance the accuracy of modal identification, the random subspace method is combined with the stability diagram theory [18,19]. Applying the stability diagram theory allows for indeterminate system order, eliminating spurious eigenvalues and directly extracting genuine physical modal parameters [20]. During data processing, it is necessary to determine the number of rows (i) of the Hankel matrix and the system order (N); in this study, (i = 100) for the Hankel matrix and (N = 50) for the system order [21,22,23].
For each of the three operating conditions tested, random subspace analysis was conducted, resulting in stability diagrams of the SSI calculations, as shown in Figure 14. In these diagrams, the letter “o” represents the pole characteristics obtained from structural modeling computations. Each condition exhibits distinct peaks in the curves, with clustered “o” symbols at frequencies indicating stable characteristics of frequency, damping, and mode shape, indicating clear genuine modes.
Figure 14.
Stability diagram.
From Figure 14, it is evident that the peaks in the stability diagram correspond to the natural frequencies of the system. Modal frequencies obtained from the structural stability diagram using the random subspace method are presented in Table 4.
Table 4.
Modal frequencies of wood structures.
In the stability diagram shown in Figure 14, the damping ratio of the system can be inferred by analyzing the shape and width of the vibration peaks. Damping ratios of the identified structure calculated using the random subspace method are presented in Table 5.
Table 5.
Damping ratio of wood structures.
From Table 5, it is observed that the damping ratios identified using the random subspace method exhibit low variability. The damping ratios for each frame structure range from 1.09% to 1.73%, all falling within the category of low-damping structures.
Based on the results of modal parameter identification using the auto-spectral method and the random subspace method, the first two modal shapes in the east–west and north–south directions of the wooden structure of North House main hall are obtained, as shown in Figure 15. The analysis of Figure 15 indicates that the first-order modes in both X and Y directions exhibit bending behavior, with greater amplitudes observed at higher floors. The second-order modes display a bending–shear behavior, indicating that the structure experiences bending and shear movements during vibration.
Figure 15.
The first and second-order mode shapes of North House main hall.
4.3. Comparison of Modal Parameter Identification Results
A comparison of Table 2 and Table 4 reveals that the modal identification results for natural frequencies are highly consistent between the two methods. Therefore, the average of the results from both modal identification methods is taken as the final measured modal parameters of the structure. The computed results are presented in Table 6.
Table 6.
Comparison of natural frequency identification results for timber structures.
From Table 6, it is observed that the modal frequency in the Y direction of the structure exceeds that in the X direction. Modal frequency is an inherent property of the structure, influenced by its stiffness and mass. Through comparative analysis, it is noted that the main beams of the wooden structure of North House main hall are oriented along the north–south direction, resulting in increased stiffness in the north–south direction of the structure.
A comparison of Table 3 and Table 5 reveals that the modal identification results for the damping ratio are highly consistent between the two methods. Therefore, the average of the results from both modal identification methods is taken as the final measured modal parameters of the structure. The computed results are presented in Table 7.
Table 7.
Comparison of damping ratio identification results for timber structures.
5. Baseline Finite Element Model
5.1. Initial Finite Element Model
(1) Using ANSYS software to establish a finite element model of the wooden structure of North House main hall, due to its construction time being close to that of the Bell Tower in Xi’an, material parameters are referenced from the literature [24] as shown in Table 8.
Table 8.
Wooden parameters.
According to the construction period of North House main hall and the actual damage to the timber structure, taking into account the long-term effects of loads and aging of wood, the dynamic modulus of elasticity of timber beams and columns should be reduced based on the flexural modulus of elasticity given in Table 8, as specified in Table 9 [25].
Table 9.
Adjustment coefficients for the performance of the ancient wood building under long-term load and wood aging.
The North House main hall, with a history of over 300 years, has a flexural modulus of elasticity adjustment factor of 0.85, equivalent to 7060.95 MPa.
(2) Wood beams and columns are simulated using the 3D elastic element Beam188, capable of withstanding tension, compression, and torsion. Each node has six degrees of freedom: translation along the x, y, and z directions and rotation about the x, y, and z axes. The large roof is simulated using the Mass21 mass element, which has six degrees of freedom: translation along the x, y, and z directions and rotation about the x, y, and z axes. Each direction can have a different mass and moment of inertia. The beam–column joints are simulated using the Combinl4 element, which can model one-dimensional, two-dimensional, and three-dimensional longitudinal or torsional spring effects. Establish multiple coincident finite element nodes at the mortise and tenon joints of beams and columns, applying spring elements only at the beam and column connections. The spring stiffness coefficients are Kx = Kz = 1.71 × 107 N/m, Ky = 2.08 × 108 N/m, kθx = kθy = kθz = 6.244 × 108 N·m/rad [26], as shown in Figure 16.
Figure 16.
The simulation of beam and column mortise and tenon.
(3) Using the area equivalent method to concentrate roof loads at respective column ends, the roof load G is determined to be 1.925 kN/m2 [27].
(4) Establish a finite element model of the timber structure of North House main hall, as shown in Figure 17. The columns are placed on pedestal bases with grooves, which do not fully restrict column rotation, thus the column base nodes are simplified to pinned connections.
Figure 17.
The finite element model of the wooden structure of North House main hall.
Perform modal analysis on the initial finite element model of the wooden structure of North House main hall using the Block Lanczos method. Calculate the first two natural frequencies of the timber structure. Use the experimentally measured modal frequencies as the objective function for refining the finite element model. Compare the structural natural frequencies obtained from numerical simulation and on-site testing as shown in Table 10.
Table 10.
Comparison of natural frequencies of timber structures (Hz).
According to Table 10, the first two natural frequencies in the east–west direction of the timber structure model are 1.832 Hz and 3.368 Hz, with relative errors to measured frequencies ranging from 12.41% to 12.64%. In the east–west direction, the first two natural frequencies are 3.264 Hz and 4.740 Hz, with relative errors to measured frequencies ranging from 16.86% to 17.47%. The finite element model shows errors greater than 10% compared to the measured values, which may be attributed to (1) the simplification of wall and floor stiffness in the model; (2) inaccuracy in the elastic modulus of wood; (3) inaccurate stiffness values at beam–column joints; (4) onaccuracy in roof weight estimation. These areas require focused correction in the finite element model.
5.2. Finite Element Model Correction and Analysis
5.2.1. Modal Correlation Analysis
Modal frequency criterion is established based on the error ratio formula, assessing conformity based on the magnitude of the ratio. Compliance is considered satisfactory when the ratio is less than 10%. The calculation formula is as follows:
where ωm and ωn, respectively, represent the measured frequencies and finite element analysis frequencies of the structure.
5.2.2. Finite Element Model Correction
Based on the design drawings, there are inevitably discrepancies between the initial finite element model and the actual structure. These differences and inaccuracies are addressed by adjusting model parameters using field-measured natural frequencies as references to revise the ANSYS finite element model. Adjustments include modifications to material elastic modulus, joint stiffness at tenon and mortise connections, and roof mass.
- (1)
- Material property adjustment: The elastic modulus serves as the primary parameter for model refinement. Due to multiple reinforcements and repairs in the wooden structure of North House main hall, particularly in certain beams and columns, the dynamic elastic modulus of wooden beams and columns continues to adhere to the data in Table 1. The revised elastic modulus of the timber structure is determined to be 8307 MPa.
- (2)
- Joint stiffness adjustment: Spring elements are applied at tenon and mortise connections of beams and columns, with stiffness values set as kx = 1.26 × 109 KN/m, ky = kz = 1.41 × 109 KN/m, and kθx = kθy = kθz = 1.5 × 1010 KN·m/rad [28].
- (3)
- Roof mass adjustment: The roof load is revised to G = 1.160 kN/m2.
5.2.3. Modal Results Comparison
A comparison of test and simulated modal frequencies is tabulated in Table 11, and mode shapes are depicted in Figure 18.
Table 11.
Comparison of test and simulated modal frequencies (Hz).
Figure 18.
Comparison of North House main hall tests and simulation mode shapes.
Table 11 presents the comparison between modal parameters obtained from the corrected finite element model and those measured experimentally. Through analysis, it was found that modal parameter calculations from the corrected finite element model closely approximate the measured modal results, with maximum errors of 9.41% for the first two frequencies, both within 10% of the measured resonant frequencies. Numerical simulations show that each modal frequency is lower than the experimental results because the modeling process did not account for components such as doors, windows, and partition walls that contribute to the overall lateral stiffness of the structure. The corrected finite element model better reflects the true dynamic characteristics of the timber structure.
Figure 18 illustrates that the first and second mode shapes of the finite element model in the east–west and north–south directions align with the experimental results, further validating the accuracy of the corrected finite element model of North House main hall.
6. Conclusions
In situ dynamic testing was conducted in this paper, and modal parameters of the wooden structure of North House main hall were obtained using the self-interaction spectral method and stochastic subspace method. A finite element model of the wooden structure of North House main hall was developed and validated using the dynamic test results. The following conclusions can be drawn:
- (1)
- The natural frequencies of the first and second order in the X direction were 2.097 Hz and 3.845 Hz and in the Y direction were 3.955 Hz and 5.701 Hz. The modal frequency in the Y direction of the structure exceeds that in the X direction.
- (2)
- The finite element model of the wooden structure of North House main hall is adjusted based on measured modal parameters. Sensitivity analysis indicates adjustments to parameters such as beam–column elastic modulus, tenon–mortise joint stiffness, and roof mass for finite element model refinement.
- (3)
- Modal parameter calculations from the corrected finite element model closely approximate the measured modal results, with maximum errors of 9.41% for the first two frequencies, both within 10% of the measured resonant frequencies. The adjusted finite element model closely matches the experimental results, serving as a benchmark model for the wooden structure of North House main hall.
Author Contributions
Conceptualization, X.W. and Z.M.; methodology, X.L.; software, G.W.; validation, X.W. and Z.M.; formal analysis, G.W.; data curation, X.L.; writing—original draft preparation, X.W.; writing—review and editing, Z.M.; supervision, X.L. and G.W. All authors have read and agreed to the published version of the manuscript.
Funding
This research was funded by National Natural Science Foundation of China (Grant No. 52068063), Natural Science Foundation Research Program of Shandong Province (Grant No. ZR 2020 ME 240), Higher Education Innovation Fund Project of Gansu Province (Grant No. 2022A-107), Technology support plan project in Qinzhou District, Tianshui City, Gansu Province (Grant No. 2023-SHFZG-2921, 2023-SHFZG-2044), Maijishan Grottoes Art Research Project of Tianshui Normal University (Grant No. MJS2021-06), and Fuxi Scientific Research Innovation Team Project of Tianshui Normal University (Grant No. FXD2020-13).
Data Availability Statement
The data supporting this study’s findings are available from the corresponding author upon reasonable request.
Conflicts of Interest
The authors declare that they have no known competing financial interests or personal relationships that could have appeared to influence the work reported in this paper.
References
- Sun, T. The refection to the status and conservation of Tianshui historical residences. Mod. Urban Stud. 2008, 11, 20–25. (In Chinese) [Google Scholar]
- Zhang, X.-C.; Xue, J.-Y.; Zhao, H.-T.; Sui, Y. Experimental study on Chinese ancient timber-frame building by shaking table test. Struct. Eng. Mech. 2011, 40, 453–469. [Google Scholar] [CrossRef]
- Xie, Q.; Wang, L.; Li, S.; Zhang, L.; Hu, W. Influence of wood infill walls on the seismic performance of Chinese traditional timber structure by shaking table tests. Bull. Earthq. Eng. 2020, 18, 5009–5029. [Google Scholar] [CrossRef]
- Xue, J.; Xu, D. Shake table tests on the traditional column-and-tie timber structures. Eng. Struct. 2018, 175, 847–860. [Google Scholar] [CrossRef]
- Wu, Y.; Song, X.; Gu, X.; Luo, L. Dynamic performance of a multi-story traditional timber pagoda. Eng. Struct. 2018, 159, 277–285. [Google Scholar] [CrossRef]
- Fang, D.P.; Iwasaki, S.; Yu, M.H.; Shen, Q.P.; Miyamoto, Y.; Hikosaka, H. Ancient Chinese timber architecture. I: Experimental study. J. Struct. Eng. 2001, 127, 1348–1357. [Google Scholar] [CrossRef]
- Fang, D.P.; Iwasaki, S.; Yu, M.H.; Shen, Q.P.; Miyamoto, Y.; Hikosaka, H. Ancient Chinese timber architecture. II: Dynamic characteristics. J. Struct. Eng. 2001, 127, 1358–1364. [Google Scholar] [CrossRef]
- Wu, C.; Xue, J.; Zhou, S.; Zhang, F. Seismic performance evaluation for a traditional Chinese timber-frame structure. Int. J. Archit. Herit. 2021, 15, 1842–1856. [Google Scholar] [CrossRef]
- Pan, Y.; Yi, D.; Khennane, A.; Chen, J. Seismic performance of a historic timber structure on a slope. J. Build. Eng. 2023, 71, 106434. [Google Scholar] [CrossRef]
- Che, L.A.; Ge, R.X.; Iwatate, T. Evaluation of Dynamic Behaviors and Damage Mechanism of Ancient Timber Architectures. Key Eng. Mater. 2007, 63, 277–282. [Google Scholar] [CrossRef]
- Altunişik, A.C.; Karahasan, O.; Okur, F.Y.; Kalkan, E.; Ozgan, K. Finite Element Model Updating and Dynamic Analysis of a Restored Historical Timber Mosque Based on Ambient Vibration Tests. J. Test. Eval. 2019, 47, 20180122. [Google Scholar] [CrossRef]
- Altunişik, A.C.; Genç, A.F.; Günaydin, M.; Okur, F.Y.; Karahasan, O.Ş. Dynamic response of a historical armory building using the finite element model validated by the ambient vibration test. J. Vib. Control 2018, 24, 5472–5484. [Google Scholar] [CrossRef]
- GB/T50452-2008; Technical Specifications for Protection of Historic Buildings Against Man-Made Vibration. China Construction Industry Press: Beijing, China, 2008. (In Chinese)
- Li, Y.C.; Cheng, H. Identification and diagnostic analysis of the vibrating screen’s faults. Mech. Eng. Autom. 2008, 3, 119–121. (In Chinese) [Google Scholar]
- Zhou, H.X. Research on the damage identification of reinforced concrete simple beams based on damping characteristics. Beijing Univ. Technol. 2011; 1–81. (In Chinese) [Google Scholar]
- Liu, Y.F.; Xin, K.G.; Fan, J.S. A review of structure modal identification methods through ambient excitation. Eng. Mech. 2014, 31, 46–53. (In Chinese) [Google Scholar]
- Welch, P. The use of fast Fourier transform for the estimation of power spectra: A method based on time averaging over short, modified periodograms. IEEE Trans. Audio Electroacoust. 1967, 15, 70–73. [Google Scholar] [CrossRef]
- Chang, J.; Zhang, Q.W.; Sun, L.M. Application of stabilization diagram for modal parameter identification using stochastic subspace method. Eng. Mech. 2007, 24, 47–52. (In Chinese) [Google Scholar]
- Sun, X.H.; Hao, M.M.; Zhang, L.M. Research on broadband modal parameters identification under ambient excitation. J. Build. Struct. 2011, 32, 151–156. (In Chinese) [Google Scholar]
- Li, H.L. Research on Methods of Structural Modal Parameter Identification Under Ambient Excitation. Master’s Thesis, Chongqing University, Chongqing, China, 2012; pp. 1–101. (In Chinese). [Google Scholar]
- Yang, C.; Ou, J.P. Order estimation for subspace system identification methods. J. Vib. Shock 2009, 28, 13–16. (In Chinese) [Google Scholar]
- Wang, Y.; Hang, X.C.; Jiang, D. Selection method of Toeplitz matrix row number based on covariance driven stochastic subspace identification. J. Vib. Shock 2015, 34, 71–73. (In Chinese) [Google Scholar]
- Rainieri, C.; Fabbrocino, G. Influence of model order and number of block rows on accuracy and precision of modal parameter estimates in stochastic subspace identification. Int. J. Lifecycle Perform. Eng. 2014, 1, 317–334. [Google Scholar] [CrossRef]
- Meng, Z.B. Analysis and Assessment of the Vibration Response Traffic-Induced of Xi’an Bell Tower. Ph.D. Thesis, Xi’an University of Architecture and Technology, Xi’an, China, 2009; pp. 1–194. (In Chinese). [Google Scholar]
- GB50165-92; Liang, T.; Wang, Y.W.; Ni, S.Z. National Standard of the People’s Republic of China. Technical Code for Maintenance and Strengthening of Ancient Timber Buildings. China Architecture & Building Press: Beijing, China, 1992; pp. 1–84. (In Chinese) [Google Scholar]
- Cao, Y. Study of Dynamic Analysis Models for Ancient Architectural Timber Structures Under Traffic-Induced Excitations. Master’s Thesis, Liaocheng University, Liaocheng, China, 2015; pp. 1–59. (In Chinese). [Google Scholar]
- Gao, D.F.; Zhu, S.T.; Ding, X.J. Analysis of structural and seismic performance of Yongning Gate embrasured watchtower of Xi’an City Wall. J. Shandong Univ. 2013, 43, 62–69. [Google Scholar]
- Fang, D.-p.; Yu, M.-h.; Miyamoto, Y.; Iwasaki, S.; Hikosaka, H. Numerical analysis on structural characteristics of ancient timber architecture. Eng. Mech. 2001, 18, 137–144. (In Chinese) [Google Scholar]
Disclaimer/Publisher’s Note: The statements, opinions and data contained in all publications are solely those of the individual author(s) and contributor(s) and not of MDPI and/or the editor(s). MDPI and/or the editor(s) disclaim responsibility for any injury to people or property resulting from any ideas, methods, instructions or products referred to in the content. |
© 2024 by the authors. Licensee MDPI, Basel, Switzerland. This article is an open access article distributed under the terms and conditions of the Creative Commons Attribution (CC BY) license (https://creativecommons.org/licenses/by/4.0/).