Next Article in Journal
Research on the Green Construction Technology of Stilt Houses Based on the Climate Adaptation of Transitional Seasons
Next Article in Special Issue
Design and Seismic Performance Study of Multistage Controllable Isolation Bearing for High-Speed Railway Simply Supported Beam
Previous Article in Journal
Cow Dung Biostabilized Earth Mortars: Reusability and Influence of Cow Dung Processing and Cow Diet
Previous Article in Special Issue
Dynamic Performance Analysis of Precast Segment Column Reinforced with CFRP Subject to Vehicle Collision
 
 
Font Type:
Arial Georgia Verdana
Font Size:
Aa Aa Aa
Line Spacing:
Column Width:
Background:
Article

Dynamic Analysis of a Vehicle–Bridge System Under Excitation of Random Road Irregularities

1
School of Civil Engineering and Water Resources, Qinghai University, Xining 810016, China
2
5th Engineering Ltd. of the First Highway Engineering Bureau CCCC, Sanhe 0652201, China
3
Qinghai Provincial Key Laboratory of Building Energy-Saving Materials and Engineering Safety, Xining 810016, China
4
Xi’an Municipal Design and Research Institute Co., Ltd., Xian 710065, China
*
Author to whom correspondence should be addressed.
Buildings 2024, 14(11), 3413; https://doi.org/10.3390/buildings14113413
Submission received: 30 July 2024 / Revised: 23 October 2024 / Accepted: 25 October 2024 / Published: 27 October 2024
(This article belongs to the Special Issue Damping Control of Building Structures and Bridge Structures)

Abstract

This paper presents a comprehensive study of the dynamic response analysis of vehicle–bridge coupled systems, with detailed simulation methods for the vehicles, bridges, and wheel–road coupling relationships. The simulation of the entire vehicle–bridge coupling system is carried out using the open-source finite element analysis platform OpenSees. A novel three-dimensional wheel–road coupling element is introduced to model the interactions between the wheel and road nodes. This element facilitates precise computation of the dynamic responses within the vehicle–bridge coupled system, including both vehicle and bridge behaviors, along with the interaction forces between the wheels and the bridge surface. The coupling element consists of a wheel node and all potential road nodes on the bridge surface that the wheel may traverse. This configuration preserves the finite element model of the entire vehicle–bridge coupled system throughout the vehicle’s movement, thereby improving the efficiency of numerical simulations of vehicle–road interactions. The study accounts for the impact of random road irregularities on the dynamic responses of both the vehicle and the bridge. These irregularities are treated as input parameters for the wheel–road coupling element rather than being accounted for through the wheel–road interaction constraint equations, thereby improving the convenience of simulating random road irregularities.

1. Introduction

The dynamic response analysis of vehicle–bridge coupled systems is crucial for the design of both bridges and vehicles. This system consists of vehicle and bridge systems that are coupled through the interactions between the wheels and the bridge’s road surface. The numerical simulation of the vehicle and bridge systems is relatively straightforward, given that existing finite element and multibody dynamics models can effectively simulate each system independently. The primary challenges in the numerical simulation of this coupled system are: (1) the road surface in contact with the wheels constantly changes as the vehicle moves forward, and (2) due to random road irregularities, the wheels may temporarily lose contact with the road surface. Therefore, the key to the dynamic response analysis or numerical simulation of the vehicle–bridge coupled system is to accurately simulate the wheel–road interactions. Based on various approaches to handling wheel–road interactions, existing research can be classified into two distinct categories.
The first category of methods [1,2,3] considers the vehicle–bridge systems as two relatively independent subsystems, establishing dynamic equilibrium equations for each subsystem separately. By iteratively applying displacement coordination and balancing interaction forces at the contact points between the bridge and the vehicle until convergence is achieved, the dynamic response of the entire system can be obtained. Wu et al. [4] developed a finite element program to analyze the dynamic response of vehicle-composite beam bridge systems, investigating the influence of structural and vehicle parameters on frequency identification. Li et al. [5] developed a computer-aided numerical method using the finite element method and mode superposition to analyze nonlinear interactions in coupled vehicle–bridge systems. Zhang et al. [6] proposed an inter-system iteration method for the dynamic analysis of coupled vehicle–bridge systems, enhancing computational efficiency and convergence characteristics by separately solving the dynamic responses of vehicle and bridge subsystems, thereby avoiding time-step iteration and facilitating the use of commercial structural analysis software. Sun et al. [7] presented an iterative methodology for predicting long-term bridge approach settlement using a 3D finite element road model and an empirical settlement model, demonstrating that the iterative method predicts greater settlements than the empirical method and proposing a simplified equation for engineering practice. The iterative dynamic substructuring method was presented by Hawk et al. [8] for analyzing the response of a beam–slab bridge system under multi-axle trucks, using mode superposition and iterative force-displacement compatibility. Lei et al. [9] introduced a cross-iterative algorithm to efficiently solve the dynamic finite element equation of a nonlinear vehicle–track coupling system, demonstrating higher efficiency, precision, and simplified programming, with verification and convergence analysis provided through examples. Kim [10] formulated a vehicle–pavement–foundation interaction model utilizing an augmented state-space representation and linear discriminant analysis to classify foundation types with over 90% accuracy for potential applications in road management. Liu et al. [11] compared three-time domain solution algorithms for the coupled dynamic problem of train–bridge interactions, offering guidelines for selecting an appropriate time step.
Another category of methods treats the bridge–vehicle coupled system as an integrated system, establishing dynamic equilibrium equations for the entire vehicle–bridge system to determine its dynamic response. Lou et al. [12] developed a model of the vehicle, track, and bridge as an integrated system, deriving equations of motion for two vertical vehicle models and utilizing a step-by-step integration method to obtain the dynamic responses of all components simultaneously. Nassif et al. [13] introduced a 3D dynamic model for the bridge–road–vehicle interaction system, emphasizing the significant impact of road roughness, vehicle suspension, and bridge geometry on the dynamic load factor, which was validated through comparisons with other models and field tests. A versatile element was derived by Yang et al. [14,15,16] using Newmark’s finite difference scheme to treat various vehicle–bridge interaction effects, allowing the computation of vehicle response, contact forces, and bridge response without iterations, applicable to diverse vehicle models. Lin K. et al. [17] developed a novel theoretical framework for time-varying displacement transmissibility in vehicle–bridge interaction systems, allowing for the design of optimal vehicle suspension strategies based on structural parameters to mitigate vibrations in both vehicles and bridges. Yan X. [18] proposed a time-varying dynamic model that incorporates road roughness and a strategy for filtering low-quality data, thereby enhancing the efficiency of safety monitoring. Jayakumar P. et al. [19,20] introduced a vehicle–bridge transmission metric, which was experimentally validated to demonstrate that high-sensitivity vehicles identify bridge frequencies and structural changes with greater accuracy, thereby supporting the development of practical inspection systems. Naves et al. [21] proposed an efficient method for the dynamic analysis of vertical vehicle–structure interaction, directly solving a unified system of motion and compatibility equations without iterative procedures, thereby demonstrating accuracy and efficiency through numerical examples. Liu et al. [22,23] successively developed novel 2D and 3D wheel–rail interaction (WRI) elements for dynamic simulation within the OpenSees FEM framework, providing enhanced compatibility and efficiency for the study of both vehicle and structural behaviors, including nonlinear scenarios. A modified numerical substructure method was proposed by Liu et al. [24] for the efficient and accurate dynamic analysis of large-scale vehicle–track–bridge systems, utilizing a nonlinear force corrector to resolve modeling contradictions and a specialized WRI element to enhance computational efficiency and accuracy.
To date, there have been few studies providing detailed simulations and dynamic response analyses of nonlinear vehicle–bridge coupled systems. Therefore, this paper provides an in-depth analysis of the dynamic responses in vehicle–bridge coupled systems, utilizing detailed simulation approaches for vehicles, bridges, and wheel–road interactions. The simulations are conducted using the open-source finite element analysis platform OpenSees [25]. A novel three-dimensional wheel–road coupling element [23] is introduced to simulate the interaction between wheel and road nodes, thereby enabling precise computation of dynamic responses across the vehicle–bridge system. This element comprises a wheel node and all potential road nodes that the wheel may traverse, thereby maintaining the finite element model of the vehicle–bridge system unchanged during the vehicle’s movement. This approach enhances the efficiency of numerical simulations for vehicle–road interactions. The study further examines the effects of random road irregularities on the dynamic responses of both the vehicle and the bridge. These irregularities are incorporated as input parameters for the wheel–road coupling element, simplifying the simulation of random road irregularities by avoiding eliminating the necessity for wheel–road interaction constraint equations.

2. Modeling of Vehicle–Bridge Coupled System

This section introduces the simulation methods for the vehicle–bridge coupled system, encompassing the detailed simulations of the vehicle, bridge, wheel–road interaction, and random road irregularities.

2.1. Vehicle

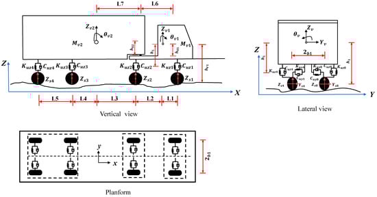
Using a semi-trailer truck as an example, this paper introduces the simulation method for the vehicle system, accompanied by the schematic diagram of the semi-trailer in Figure 1. The vehicle comprises a tractor, a trailer, and four wheelsets. The tractor and trailer are connected by a hitch, while the four wheelsets are attached to the nodes of the tractor or trailer chassis via a spring-damping system. The following sections will outline the simplified approach and simulation method for each component of the vehicle.
Given the high stiffness of the tractor and trailer chassis, the deformations and displacements of the entire vehicle are primarily concentrated in the spring-damping systems. Consequently, in this study, they are treated as rigid bodies. The tractor is simulated using nodes that are connected by five rigid beams, as illustrated in Figure 2. In OpenSees, the rigid beam is implemented using the “rigidLink beam” command. The mass and moment of inertia of the tractor are concentrated at the centroid, represented by node “600”. The four nodes below it, “601”, “602”, “611”, and “612”, have no mass or moment of inertia. These four nodes are connected to the wheel nodes directly beneath them via a spring-damping system. The trailer is simulated in a manner similar to that of the tractor, using nodes that are connected by five rigid beams. The mass and moment of inertia of the trailer are concentrated at the centroid, represented by node “500”. The rear node “603” of the tractor is connected to the massless node “503” on the trailer via a rigid hinge, with both nodes located at the same position. The rigid hinge is simulated using the “rigidLink bar” command. Each node on the tractor and trailer possesses six degrees of freedom, including translational displacements along the X, Y, and Z directions, as well as rotational displacements about the X, Y, and Z axes.
The deformation of the axles of the four wheelsets is significantly smaller than that of other vehicle components; therefore, this study considers them as rigid beams. Each wheelset is represented as two-wheel nodes interconnected by a rigid beam, as illustrated in Figure 2. Half of the wheelset’s mass is concentrated at each of the two-wheel nodes. It is important to highlight that the masses of the four wheelsets vary, as specified in Table 1. The rigid beam of each wheelset is simulated utilizing the “rigidLink beam” command. Each wheel node has two degrees of freedom: vertical (Z direction) and lateral (Y direction) translational displacements. Due to the unknown rotational stiffness and damping parameters between the wheels and the upper chassis, this study constrains the degrees of freedom concerning the X and Z axes. The translational movement along the X direction and the rotational movement about the Y axis are associated with the vehicle’s driving speed, which is a known quantity in this study.
As illustrated in Figure 2, the spring-damping system between each wheel node and the corresponding chassis node above it (either tractor or trailer) is simulated using two parallel “twoNodeLink” elements. The relationship between displacement and velocity of the two nodes in this element is defined by spring and damping materials, respectively. These materials can be defined as either linear or nonlinear. Since the spring-damping system is characterized as linear in the literature [26], this study also adopts a linear representation. All parameters of the spring-damping systems are detailed in Table 1. In Figure 2, Z v 1 and Z v 2 denote the vertical translational degrees of freedom (DOF) of the tractor and trailer, respectively, θ v 1 and θ v 2 represent the rotational DOF about the y-axis for the tractor and trailer, respectively. Z v , θ v , and Y v correspond to the vertical, roll, and lateral DOF of the vehicle, respectively. Z s 1 , Z s 2 , Z s 3 and Z s 4 represent the vertical translational DOF of the four wheelsets. After constraining the DOF of the eight-wheel nodes (as the stiffness matrix of the vehicle system becomes singular and the natural frequencies cannot be determined without constraining the wheel node degrees of freedom), the first six natural frequencies of the vehicle are obtained, as shown in Table 2. The vehicle travels at a constant speed of 40 km/h.

2.2. Bridge

A four-span continuous prestressed concrete bridge [27,28] serves as a case study to illustrate the simulation method of the bridge system, as shown in Figure 3. The bridge spans are configured as 98 + 190 + 190 + 98 m and consist of four continuous box girders. The total length of the bridge is 576 m, with the main girders adopting a variable cross-section design. The cross-section of the girders is in the shape of a “T”, with the upper and lower flanges being 13.8 m and 6.2 m wide, respectively. The mechanical parameters of the bridge are detailed in Table 3. This is a dual-line bridge, with vehicles traveling on the right-hand side. In this study, the positive direction of the Y-axis is designated as the right side. The vehicle travels at a constant speed from a location 20.5 m from the bridgehead to the other end of the bridge.
Based on the OpenSees finite element analysis platform, the main girders are modeled using the “elasticBeamColumn” elements. Each beam element measures 0.6 m in length, as illustrated in Figure 4b. Since the main girders have a variable cross-section, the section parameters vary with the changes in the girder’s height, which is implemented in OpenSees using the “geomTransf” command. The custom option “-jntOffset” of the “geomTransf” command establishes the relationship between local and global coordinates, permitting an offset of the actual centroid position of the beam section at the two nodes relative to the beam node position. A central median strip of 2.0 m divides the road into two lanes, with each lane 4 m wide. The road is an asphalt concrete surface with an elastic modulus of 1.4 GPa and a Poisson’s ratio of 0.35. To simulate the interaction between the bridge deck and the vehicle wheels, four nodes are set on the bridge deck, as shown in Figure 4a,c. These four nodes on the bridge deck are fixed to the main girder nodes using the “rigidLink beam” command. The first six natural frequencies of the bridge model illustrated in Figure 3 were obtained and are presented in Table 4.

2.3. Wheel–Road Interaction

The dynamic interaction between the vehicle’s wheels and the road surface during movement is simulated using the wheel–road coupling (WRC) element (see Figure 5) proposed by the author. The fundamental concept of the wheel–road coupling element is to simulate the interaction forces between the wheel and the road surface during rapid movement, utilizing the element’s internal forces. This element is derived from the previously developed wheel–rail interaction element [22,23] by the authors, with modifications to accommodate the differing contact geometries between vehicle wheels and the road surface. This element serves to connect the upper vehicle with the lower road–bridge structure. The WRC element enables the integrated modeling and calculation of the vehicle–road–bridge coupling system, maintaining the consistency of the entire system’s model throughout the vehicle’s movement. The wheel–road coupling element comprises a rapidly moving wheel node and all potential road nodes that the wheel may traverse, as illustrated in Figure 5. At each iteration step, the element’s internal forces are determined by the displacement and velocity of the element nodes. As the wheel advances, it may transition from one span element to another, resulting in changes to the element’s internal forces that must be considered within the element. The primary steps in calculating the internal forces of the WRC element involve determining the interaction forces between the road surface and the tire, including the normal contact force and the tangential contact force. The normal contact force is calculated through the nonlinear Hertzian theory [29], while the tangential contact force is determined using Polach’s model [30]. It is important to note that this study does not consider tire tread patterns, assuming instead that the tire surface is a smooth, annular body. The detailed information on the vehicle–road coupling element has been comprehensively elaborated in the literature [23] by the authors and will not be repeated here.
In this study, the interaction between the eight wheels of the vehicle and the road surface is simulated using eight WRC elements. Each WRC element consists of a wheel node and all the road nodes that the wheel traverses, as shown in Figure 6. Each WRC element requires the following parameters: (1) the starting location of the wheel under global coordinates; (2) the directories of the wheel and road profile files; (3) the path of the road roughness sequence file; (4) the sequence of road node numbers; (5) the elastic modulus and Poisson’s ratio of the road material; (6) the orientation of the element, either “left” or “right”. The terms left and right are defined based on the local coordinates of the WRC element, where the z-axis points upward, the x-axis represents the direction of wheel travel, and the y-axis is obtained by the cross-product of the z and x directions (using the right-hand rule). If the inner side of the wheel aligns with the positive y direction, the coupling element is considered the left side. Conversely, if the inner side of the wheel aligns with the negative y direction, the coupling element is considered right-side.
Applying the WRC element proposed by the authors, the dynamic response of the entire vehicle–bridge coupling system can be solved holistically. In this study, the gravitational forces of the entire system are gradually applied in 10 steps, during which the vehicle remains stationary. A static analysis method (neglecting inertial forces) is employed to solve the system’s displacement during the gravitational loading process using the Newton–Raphson iterative method. Subsequently, the vehicle begins to move forward, and a dynamic analysis method is utilized. The dynamic equations are incrementally integrated using the Newmark–Beta method (α = 0.5, β = 0.25), and the dynamic equilibrium equations at each time step are solved using the Newton–Raphson iterative method.

2.4. Random Road Roughness

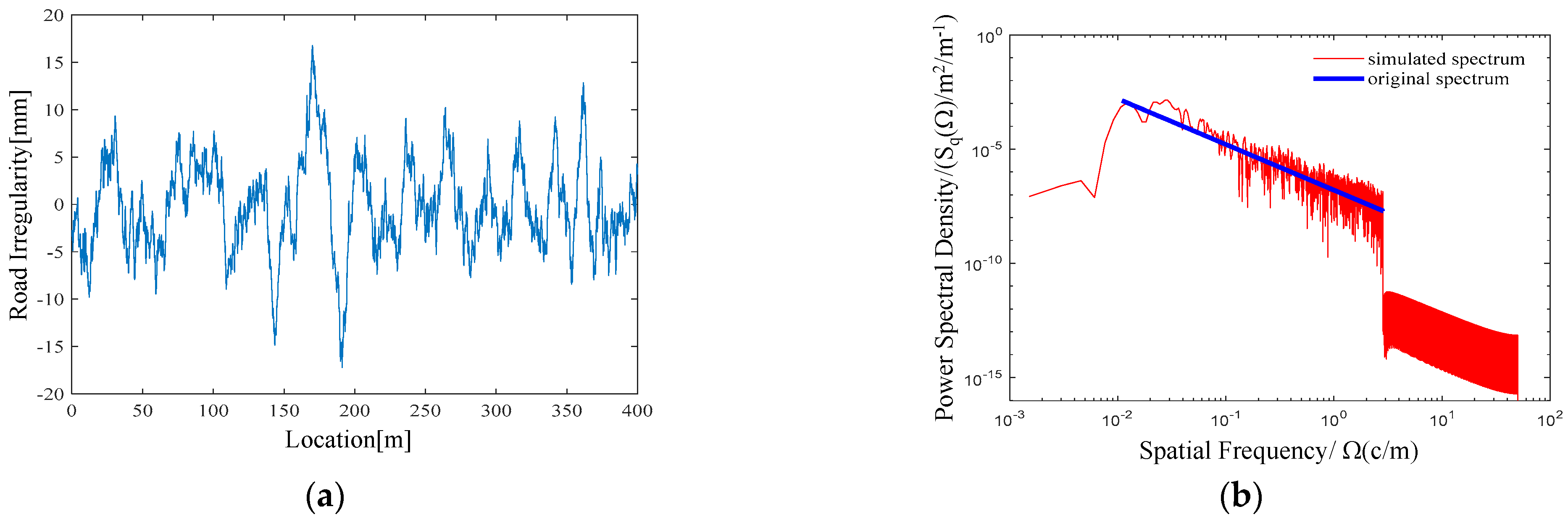
The numerical simulation of random road roughness is significant in the design of road structures, as it is one of the main factors affecting the vertical vibrations of the vehicle–road coupling system. Random road roughness directly influences the compressive deformation and interaction forces between the wheels and the road, making them crucial for the vertical analysis of the vehicle–bridge coupling system. High amplitude road irregularities can lead to severe dynamic responses of the wheels and the vehicle body, thereby impacting driving safety and comfort. Moreover, they contribute to road classification to a certain extent, as demonstrated in Table 5. Random road irregularities can be modeled as a series of discrete superimposed sine waves. When the frequency domain model of random road roughness is established, the amplitude of each sine wave can be derived from the corresponding spectral density function. The phase difference of each sine wave at every frequency is typically derived from a uniformly distributed random function.
At present, road surface irregularities are considered to be a stationary zero-mean Gaussian random process. Road surface irregularities are generally characterized by the Power Spectral Density (PSD) function, which is a commonly used indicator in vehicle dynamics to reflect road smoothness. The PSD illustrates how the smoothness varies with frequency. According to the ISO standard GB/T 7031-2005 “Mechanical Vibration-Road Surface Profile Measurement Data Report” [31], the road surface Power Spectral Density function is expressed as follows:
S q ( ω ) = C s p ω ω 0 2
In the equation above, ω denotes the spatial frequency (m−1), representing the number of wavelengths per unit length. Its bandwidth is ( ω 1 , ω 2 ). The terms ω 1 and ω 2 are the lower and upper limits of the spatial frequency, respectively. ω 0 is the spatial reference frequency, taken as 1 / 2 π 0.16   c / m . C sp is the road surface roughness coefficient (m2/m−1), whose value varies depending on the road conditions, as listed in Table 5.
In this paper, the trigonometric series method (also known as the harmonic superposition method) is used to simulate the random road surface irregularities. The road surface roughness can be obtained using the following function:
r z ( x ) = i = 1 N 4 S q ( ω i ) Δ ω sin ( 2 π ω i x + ϕ i )
Δ ω = ( ω 2 ω 1 ) / N
ω i = ω 1 + ( i 0.5 ) Δ ω
In the equations above, r z ( x ) is the road surface vertical irregularity sample at position x, and x representing the longitudinal position along the route, S q ( ω i ) denotes the Power Spectral Density (PSD) function, Δ ω is the frequency increment, ω i represents the discrete spatial frequency defined within the range ω 1 , ω 2 , N is the total number of frequency components, and ϕ i is the phase angle, which is uniformly distributed between 0 ~ 2 π .
Utilizing the method outlined in this section and a sampling frequency of 100 Hz/m, random irregularity sequences for A-grade and D-grade roads, as specified in Table 5, were generated. These profiles are shown in Figure 7 and Figure 8, respectively. In the figures, the left side illustrates the variation of road surface irregularities along the length of the road. In contrast, the right side presents the Power Spectral Density (PSD) curves, which include both the PSD curve of the random road surface irregularity profile and the original spectrum curve. From the left side of the figures, the amplitudes of the random irregularity profiles for A-grade and D-grade roads can be observed, respectively, as (−16.16, 15.08) mm and (−136.13, 125.23) mm. From the right side of the figures, it can be seen that the PSD curve of the random road surface irregularity profile oscillates around the original spectrum curve, with its mean value closely aligning with the original spectrum. It is important to note that, due to uniformly distributed phase angles, the random road roughness profile generated by the superposition of random trigonometric functions includes frequency components outside the specified range ω 1 , ω 2 . This is an unavoidable aspect of this method. Fortunately, the amplitudes of these extraneous random road irregularity components are relatively small.

3. Response Analysis of the Vehicle

The semi-trailer truck examined in this study comprises two components: the tractor and the trailer. The trailer primarily carries the cargo and is connected to the tractor via a hitch to facilitate towing. To comprehensively understand the dynamic response of a semi-trailer, this study separately analyzes the dynamic characteristics of the tractor (the front part) and the trailer (the rear part). In this section, A-grade and D-grade road surfaces are selected to analyze the vertical displacement, roll angle, pitch angle displacements, and acceleration responses of both the tractor and the trailer.
The displacements of the trailer in the vertical, roll, and pitch directions are illustrated in Figure 9, Figure 10 and Figure 11. Notably, the trailer’s vertical displacement due to its own weight is −110.445 mm, and the vertical displacements shown in Figure 9 are relative to this equilibrium position. As illustrated in Figure 9, the vertical displacement of the trailer on an A-grade road surface ranges from −14.1984 mm to −8.467 mm. In contrast, on a D-grade road surface, the range significantly extends from −106.044 mm to 119.557 mm, with the amplitude on the D-grade road being 9.95 times that of the A-grade road. Figure 10 shows that the roll angles of the trailer on A-grade and D-grade road surfaces range from −0.0098° to 0.0979° and from −0.910° to 0.884°, respectively. According to Figure 11, the pitch angle range of the vehicle body on these two road grades is −0.329° to −0.307° and −2.58° to 1.86°, respectively. The accelerations of the trailer in the aforementioned three directions are depicted in Figure 12, Figure 13 and Figure 14. Figure 12 illustrates that the vertical acceleration range of the trailer on A-grade and D-grade road surfaces is −0.706 to 0.611 m/s2 and −6.436 to 6.779 m/s2, respectively. According to Figure 13, the roll angle acceleration range of the trailer on A-grade and D-grade road surfaces is −0.318 to 0.328°/s2 and −3.008 to 3.381°/s2, respectively. Figure 14 shows that the pitch angle acceleration range of the vehicle body on the two road grades is −0.0908 to 0.0926°/s2 and −1.076 to 1.293°/s2, respectively.
The Fourier transform of the acceleration responses for the trailer’s vertical displacement, roll angle, and pitch angle yields the amplitude spectra shown in Figure 15, Figure 16 and Figure 17. As shown in Figure 15, the vertical acceleration response of the trailer car body is most pronounced around 1.457 Hz for both A-grade and D-grade road irregularities, with corresponding vertical accelerations of 0.137°/s2 and 1.210°/s2, respectively. As shown in Figure 16, the roll angle of the trailer car body on A-grade roads is mainly distributed in the 2.296 Hz to 4.408 Hz frequency range, with a maximum amplitude of 0.011°/s2. On D-grade roads, the roll angle is primarily distributed within the 0.364 Hz to 1.894 Hz and 2.386 Hz to 4.608 Hz frequency ranges, with corresponding maximum amplitudes of 0.088°/s2 and 0.216°/s2, respectively. Figure 17 shows that the amplitudes for both A-grade and D-grade roads are mainly concentrated in the frequency range of 0~2 Hz, with the amplitude on D-grade roads being nearly eight times that on the A-grade roads. Overall, as road roughness deteriorates, the main distribution frequency range of the vehicle body’s acceleration response remains largely unchanged, but the corresponding amplitude increases significantly.
Comparing the displacement and acceleration responses of the trailer under A-grade and D-grade road conditions, it is evident that the responses under D-grade road conditions are significantly larger. A-grade roads have higher quality and better smoothness, with much lower vertical irregularities compared to D-grade roads, resulting in significantly less excitation to the vehicle wheels. Coupled with the vibration isolation effect of the primary suspension damping system, the dynamic response of the vehicle body is substantially smaller. In conclusion, the poorer the road condition, the more severe the dynamic response of the vehicle body.
The displacements and accelerations of the tractor in the vertical, roll, and pitch directions are shown in Figure 18, Figure 19, Figure 20, Figure 21, Figure 22 and Figure 23. The vertical displacement of the tractor under gravity is −88.062 mm, with the vertical displacement in Figure 18 referenced to this position. As seen in Figure 18, the vertical displacement range of the vehicle body on A-grade and D-grade road surfaces is −16.114 to −8.2 mm and −111.228 to 126.207 mm, respectively. Figure 19 indicates that the roll angle range of the tractor on A-grade and D-grade road surfaces is −0.163° to −0.161° and −1.661° to 1.358°, respectively. According to Figure 20, the pitch angle range on A-grade and D-grade road surfaces is −0.180° to 0.199° and −1.812° to 1.78°, respectively. Figure 21, Figure 22 and Figure 23 show the accelerations of the tractor under two road surface conditions: (1) Vertical acceleration, the range is −0.075 to 0.075 m/s2 on A-grade roads and −0.135 to 0.148 m/s2 on D-grade roads; (2) Roll angle acceleration, the range is −0.774 to 0.654 °/s2 on A-grade roads and −1.27 to 1.19°/s2 on D-grade roads; (3) Pitch angle acceleration, the range is −0.075 to 0.075°/s2 on A-grade roads and −0.135 to 0.148 °/s2 on D-grade roads. Comparing the dynamic responses of the trailer, similar conclusions can be drawn as with the dynamic response analysis of the tractor: the worse the road condition, the more severe the dynamic response of the vehicle body.
The Fourier transform of the acceleration response of the tractor yields the amplitude spectra shown in Figure 24, Figure 25 and Figure 26. According to Figure 24, the vertical acceleration vibrations are more pronounced around 2 Hz and 4 Hz for both A-grade and D-grade road conditions, with amplitudes near 2 Hz being 0.0918 and 0.159 m/s2 and near 4 Hz being 0.089 and 0.172 m/s2, respectively. Figure 25 shows that under both road conditions, the roll angle acceleration is mainly distributed within the 1.093 Hz to 5.992 Hz frequency range, with maximum acceleration amplitudes of 0.0510 and 0.0939 m/s2. Figure 26 indicates that the pitch angle acceleration response is primarily concentrated around 0.656 Hz and 0.619 Hz, frequencies close to the vehicle’s natural frequency, suggesting a possible resonance effect with the vehicle body.

4. Response Analysis of the Wheel–Road Interaction

The vertical wheel–road contact forces for the four wheelsets of a vehicle under random road surface irregularities of A-grade are illustrated in Figure 27. From top to bottom, the subplots represent the contact forces for wheelsets 1 through 4. Each subplot includes the contact forces of the left and right wheels, with the right wheel’s contact force shown in blue and the left wheel’s contact force in red. The amplitude and frequency of contact force fluctuations vary among different wheelsets. The detailed analysis for every wheelset is as follows:
(1)
The vertical contact force of the left and right wheels of wheelset 1 exhibits relatively small and stable fluctuations, mainly oscillating between −47.99 and −33.61 kN. The blue line (right wheel) shows relatively minor fluctuations, while the red line (left wheel) shows a significant increase in fluctuations after 30 s when the vehicle passes through the middle plier with a relatively high stiffness;
(2)
The contact force fluctuations of wheelset 2 are significantly larger, particularly between 30 and 40 s, with peak amplitudes reaching up to −73.29 kN. The blue line (representing the right wheel) shows greater fluctuations compared to the red line (representing the left wheel), indicating a pronounced asymmetry caused by the uneven vertical irregularities of the left and right travel tracks;
(3)
The contact force fluctuations of wheelset 3 remain relatively uniform, primarily oscillating between −33.44 and −21.42 kN. The blue and red lines show relatively consistent amplitude and frequency of fluctuations;
(4)
The vertical contact forces on both the left and right sides of wheelset 4 are generally consistent, with the left wheel fluctuating between −48.41 and −35.43 kN and the right wheel fluctuating between −46.67 and −36.04 kN. Similar to the other wheelsets, the asymmetrical layout of the road surface irregularities results in some degree of asymmetry in the contact force fluctuations between the left and right wheels.
Comparing the dynamic responses of the four wheelsets reveals that the contact force amplitude of the front wheelset 3 is smaller, while the contact force amplitude of the rear wheelset 2 is larger. As shown in Figure 2, Node “500” represents the centroid position of the vehicle chassis. Wheelset 2 is closer to the centroid, bearing more weight from the vehicle and cargo, which results in its larger contact force amplitude. Most of the cargo weight is concentrated in the middle or rear axle of the vehicle, making the load on the front and rear axles relatively smaller. The dynamic load distribution during the vehicle’s movement causes wheelset 1 and wheelset 4 to experience smaller vertical forces.
The contact forces between the four wheelsets and the road surface under D-grade road conditions are shown in Figure 28. As can be seen from the figure, the left and right contact forces of the four wheelsets under D-grade road conditions also exhibit a certain degree of asymmetry. The fluctuation ranges of the four wheelsets are as follows: wheelset 1, left side −89.682~0 kN, right side −80.56~0 kN; wheelset 2, left side −142.14~0 kN, right side −121.19~0 kN; wheelset 3, left side −64.52~0 kN, right side −70.42~0 kN; wheelset 4, left side −84.89~0 kN, right side −84.30~0 kN. Comparing the contact force amplitudes of A-grad and D-grade roads, it is found that the maximum contact forces of the four wheelsets under D-grade road conditions are 1.87, 1.96, 2.11, and 1.77 times those of A-grade road conditions, respectively. Additionally, it can be observed that the contact force is zero at certain intervals (e.g., during 26.75~26.91 s). This indicates that due to the high degree of vertical irregularities, the wheels lose contact with the road surface at certain times.

5. Response Analysis of the Bridge

The vertical displacement dynamic responses of the mid-span points of the four-span bridge under A-grad and D-grade road conditions are shown in Figure 29. In the figure, the dynamic response for A-grade road conditions is represented by black lines, and for D-grade road conditions by red lines. It may need to be mentioned that the time periods during which the vehicle traverses first to fourth spans are 1.477 to 9.778 s, 8.821 to 27.839 s, 26.879 to 45.900 s, and 44.940 to 54.719 s, respectively. Based on the displacement responses of the four mid-span points of the bridge as the vehicle traverses it, shown in the figure, the fluctuation patterns and amplitudes in each subplot can be analyzed as follows:
First span: During the period from 1.477 to 9.778 s, it can be clearly observed that when the vehicle reaches the mid-span position of the first span at 5.625 s, the vertical displacement at the mid-span point reaches its maximum. The amplitudes for A-grade and D-grade road conditions are −1.25 mm and −1.61 mm, respectively. After 9.778 s, as the vehicle leaves the first span, the vibration amplitude of the mid-span displacement remains relatively stable, with amplitudes of −0.309~1.23 mm for A-grade road conditions and −1.51~1.49 mm for D-grade road conditions. To maintain consistency with the bridge model in the literature [27,28], no damping is included in this example. As a result, the bridge exhibits undamped lateral vibrations after the vehicle exits each span. In reality, after the vehicle exits each span, the vibrations of each span would gradually diminish due to the effect of damping.
Second Span: During the period from 8.821 to 27.839 s, it can be clearly observed that when the vehicle reaches the mid-span position of this span at 17.884 s, the vertical displacement at the mid-span point reaches its maximum. The amplitudes for A-grade and D-grade road conditions are −3.844 mm and −4.637 mm, respectively. After 27.839 s, as the vehicle leaves this span, the vibration amplitude of the mid-span displacement remains relatively stable, with amplitudes of −0.385~0.336 mm for A-grade road conditions and −2.211~2.288 mm for D-grade road conditions.
Third Span: During the period from 0 to 10.32 s, when the vehicle is far from the mid-span point of this span, the vibration amplitude at the mid-span point is very small, with vibration amplitudes of −0.3033~0.2655 mm for A-grade road conditions and −0.3972~0.4701 mm for D-grade road conditions. During the period from 26.879 to 45.900 s, when the vehicle is traveling on this span, the impact of the vehicle on the bridge vibrations is clearly visible. When the vehicle reaches the mid-span position at 36.56 s, the vertical displacement at the mid-span point reaches its maximum, with amplitudes of −3.758 mm for A-grade road conditions and −5.194 mm for D-grade road conditions.
Fourth Span: During the period from 0 to 12.687 s, when the vehicle is far from this span, the vibration amplitude at the mid-span point is very small, with vibration amplitudes of −0.07608~0.1121 mm for A-grade road conditions and −0.5001~0.4199 mm for D-grade road conditions. During the period from 45.9 to 54.719 s, when the vehicle is traveling on this span, the vertical displacement fluctuations of the bridge increase significantly. When the vehicle reaches the mid-span position at 49.834 s, the vertical displacement at the mid-span point reaches its maximum, with amplitudes of −1.358 mm for A-grade road conditions and −1.877 mm for D-grade road conditions.
Several static analyses are conducted by placing the vehicle at mid-spans of the 1st to 4th spans successively. The vertical displacements under gravity were found to be −1.133, −3.590, −3.608, and −1.170 mm, respectively. The comparison of dynamic response results reveals that, due to the dynamic effects of the vehicle, the vertical displacement amplitudes at the mid-span points of the 1st to 4th bridge spans are magnified by factors of 1.103, 1.071, 1.041, and 1.159, respectively, under A-grade road surface conditions. Under D-grade road surface conditions, the magnification factors are 1.420, 1.292, 1.439, and 1.602, respectively.
Figure 30 illustrates the vertical acceleration time history at the mid-span node of the bridge under A- and D-grade road surface conditions, which are represented by the black and red lines, respectively. From the figure, it is observed that, for the first span, the acceleration amplitude under A-grade conditions ranges from −0.05119 to 0.05044 m/s2, while under D-grade conditions, it ranges from −0.1191 to 0.11181 m/s2. The amplitude for D-grade conditions is 2.27 times that of A-grade conditions. For the second span, the acceleration amplitude under A-grade conditions ranges from −0.0913 to 0.08358 m/s2, whereas under D-grade conditions, it ranges from −0.11008 to 0.10698 m/s2. The amplitude for D-grade conditions is 1.24 times that of A-grade conditions. For the third span, the acceleration amplitude under A-grade conditions ranges from −0.05878 to 0.05626 m/s2, while under D-grade conditions, it ranges from −0.14096 to 0.1219 m/s2. The amplitude for D-grade conditions is 2.28 times that of A-grade conditions. For the fourth span, the acceleration amplitude under A-grade conditions ranges from −0.0551 to 0.04729 m/s2, whereas under D-grade conditions, it ranges from −0.14074 to 0.1243 m/s2. The amplitude for D-grade conditions is 2.59 times that of A-grade conditions.
The amplitude spectra of the vertical acceleration responses at the midpoints of spans 1 to 4 of the bridge’s main girders are shown in Figure 31. The spectra indicate that under Class A and Class D road irregularities, the vertical acceleration response at the midpoint of the first span is most pronounced at 1.5 Hz, with corresponding amplitudes of 3.37 × 10−4 m/s2 and 2.4 × 10−3 m/s2; for the second span, the acceleration response peaks at 1.46 Hz and 4.74 Hz, with amplitudes of 5.25 × 10−3 m/s2 and 2.01 × 10−4 m/s2, respectively; similarly, for the third span, the most significant accelerations occur at 2.55 Hz and 1.46 Hz, with corresponding amplitudes of 1.22 × 10−3 m/s2 and 2.83 × 10−4 m/s2; and for the fourth span, the prominent frequencies are 1.46 Hz, with amplitudes of 3.43 × 10−3 m/s2 and 1.23 × 10−4. These comparisons reveal that the level of road irregularity affects not only the amplitude of bridge vibrations but also the dominant frequency characteristics of the vibrations. Comparing the displacement and acceleration responses at the mid-span points of the bridge under A-grade and D-grade road conditions, it can be observed that the road surface grade significantly impacts the dynamic responses of both heavy trucks and bridge structures.

6. Conclusions

This paper presents a comprehensive study on the dynamic response analysis of vehicle–bridge coupled systems, utilizing detailed simulation methods for vehicles, bridges, and wheel–road coupling relationships on the OpenSees platform. A novel three-dimensional wheel–road coupling element is employed for accurate computation of all dynamic responses within the system, including interaction forces between the wheel and road. This study examines the dynamic response of a vehicle–bridge coupled system when a heavy semi-trailer traverses a reinforced concrete bridge at a speed of 40 km/h under varying road surface conditions. The following conclusions can be drawn from the results:
The vehicle experiences significantly greater displacement and acceleration in the vertical, roll, and pitch directions on D-grade roads compared to A-grade roads, with displacements approximately 7 to 11 times higher and accelerations about 10 to 13 times higher. The maximum contact force of the four wheelsets on D-grade roads is about 6 times that of A-grade roads. As the road roughness deteriorates, the primary frequency distribution range of the vehicle body’s response remains largely unchanged, but the corresponding amplitude increases significantly.
The vibration amplitudes with respect to displacements and accelerations of the four spans of the bridge are approximately 1.5 and 2.07 times greater than those on A-grade roads. Road surface irregularities significantly impact the dynamic response of both the bridge structure and the heavy truck. The degree of road irregularity affects not only the amplitude of bridge vibrations but also the dominant frequency characteristics of the vibrations.

Author Contributions

Methodology, Y.L.; Software, J.D.; Formal analysis, Z.C.; Resources, S.L.; Writing—original draft, Y.Z.; Writing—review and editing, Y.S. All authors have read and agreed to the published version of the manuscript.

Funding

This research was funded by Qinghai Provincial Basic Research Program, project number 2023-ZJ-962Q.

Data Availability Statement

Data are contained within the article.

Acknowledgments

The authors would like to acknowledge the financial support from the Qinghai Provincial Basic Research Program. Any opinions, findings, conclusions, or recommendations expressed in this publication are those of the authors and do not necessarily reflect the views of the sponsors.

Conflicts of Interest

Author Yue Zhang was employed by the company 5th Engineering Ltd. of the First Highway Engineering Bureau CCCC. Author Shanyong Liu was employed by the company Xi’an Municipal Design and Research Institute Co., Ltd. The remaining authors declare that the research was conducted in the absence of any commercial or financial relationships that could be construed as a potential conflict of interest.

References

  1. Coussy, O.; Said, M.; Van Hoove, J.-P. The influence of random surface irregularities on the dynamic response of bridges under suspended moving loads. J. Sound Vib. 1989, 130, 313–320. [Google Scholar] [CrossRef]
  2. Lei, X.; Noda, N.-A. Analyses of dynamic response of vehicle and track coupling system with random irregularity of track vertical profile. J. Sound Vib. 2002, 258, 147–165. [Google Scholar] [CrossRef]
  3. Pesterev, A.; Yang, B.; Bergman, L.; Tan, C.-A. Response of elastic continuum carrying multiple moving oscillators. J. Eng. Mech. 2001, 127, 260–265. [Google Scholar] [CrossRef]
  4. Wu, T.; Chen, B.; Chen, Y.; Hu, B.; Lin, J.-P. Identification of Dynamic Vibration Parameters of Partial Interaction Composite Beam Bridges Using Moving Vehicle. Appl. Sci. 2023, 13, 12534. [Google Scholar] [CrossRef]
  5. Li, Q.; Xu, Y.-L.; Wu, D.; Chen, Z. Computer-aided nonlinear vehicle-bridge interaction analysis. J. Vib. Control. 2010, 16, 1791–1816. [Google Scholar] [CrossRef]
  6. Zhang, N.; Xia, H. Dynamic analysis of coupled vehicle–bridge system based on inter-system iteration method. Comput. Struct. 2013, 114–115, 26–34. [Google Scholar] [CrossRef]
  7. Sun, H.-L.; Chen, A.-H.; Shi, L.; Cai, Y.-Q. Iterative method for predicting uneven bridge approach settlement (BAS) caused by vehicle loads. Math. Probl. Eng. 2020, 2020, 8476746. [Google Scholar] [CrossRef]
  8. Hawk, H.; Ghali, A. Dynamic response of bridges to multiple truck loading. Can. J. Civ. Eng. 1981, 8, 392–401. [Google Scholar] [CrossRef]
  9. Lei, X. A Cross-Iteration Algorithm for Vehicle–Track Nonlinear Coupling Vibration Analysis. In High Speed Railway Track Dynamics. Advances in High-Speed Rail Technology; Springer: Singapore, 2022; pp. 181–215. [Google Scholar]
  10. Kim, R.E. Classification of Variable Foundation Properties Based on Vehicle–Pavement–Foundation Interaction Dynamics. Sensors 2020, 20, 6263. [Google Scholar] [CrossRef]
  11. Liu, K.; Zhang, N.; Xia, H.; De Roeck, G. A comparison of different solution algorithms for the numerical analysis of vehicle–bridge interaction. Int. J. Struct. Stab. Dyn. 2014, 14, 1350065. [Google Scholar] [CrossRef]
  12. Lou, P.; Zeng, Q.Y. Formulation of equations of motion of finite element form for vehicle–track–bridge interaction system with two types of vehicle model. Int. J. Numer. Methods Eng. 2005, 62, 435–474. [Google Scholar] [CrossRef]
  13. Nassif, H.H.; Liu, M. Analytical modeling of bridge-road-vehicle dynamic interaction system. J. Vib. Control. 2004, 10, 215–241. [Google Scholar] [CrossRef]
  14. Yang, Y.-B.; Wu, Y.-S. A versatile element for analyzing vehicle–bridge interaction response. Eng. Struct. 2001, 23, 452–469. [Google Scholar] [CrossRef]
  15. Yang, Y.-B.; Yau, J.-D. Vehicle-bridge interaction element for dynamic analysis. J. Struct. Eng. 1997, 123, 1512–1518. [Google Scholar] [CrossRef]
  16. Yang, Y.; Cheng, M.; Chang, K. Frequency variation in vehicle–bridge interaction systems. Int. J. Struct. Stab. Dyn. 2013, 13, 1350019. [Google Scholar] [CrossRef]
  17. Lin, K.; Tan, C.A.; Ge, C.; Lu, H. Time-Varying Transmissibility Analysis of Vehicle–Bridge Interaction Systems with Application to Bridge-Friendly Vehicles. Int. J. Struct. Stab. Dyn. 2021, 22, 2250022. [Google Scholar] [CrossRef]
  18. Yan, X.; Zhao, Z.; He, H. Coupled Vibration of a Vehicle Group–Bridge System and Its Application in the Optimal Strategy for Bridge Health Monitoring. Appl. Sci. 2024, 14, 5236. [Google Scholar] [CrossRef]
  19. Alamdari, M.M.; Chang, K.-C.; Kim, C.W.; Kildashti, K.; Kalhori, H. Transmissibility performance assessment for drive-by bridge inspection. Eng. Struct. 2021, 242, 112485. [Google Scholar] [CrossRef]
  20. Jayakumar, P.; Vasamsetti, S.H. Critical evaluation of factors on extracting multiple bridge frequencies from drive-by measurements. J. Braz. Soc. Mech. Sci. Eng. 2022, 44, 529. [Google Scholar] [CrossRef]
  21. Neves, S.; Azevedo, A.; Calçada, R. A direct method for analyzing the vertical vehicle–structure interaction. Eng. Struct. 2012, 34, 414–420. [Google Scholar] [CrossRef]
  22. Gu, Q.; Liu, Y.; Guo, W.; Li, W.; Yu, Z.; Jiang, L. A practical wheel-rail interaction element for modeling vehicle-track-bridge systems. Int. J. Struct. Stab. Dyn. 2019, 19, 1950011. [Google Scholar] [CrossRef]
  23. Liu, Y.; Montenegro, P.A.; Gu, Q.; Guo, W.; Calçada, R.; Pombo, J. A practical three-dimensional wheel-rail interaction element for dynamic response analysis of vehicle-track systems. Comput. Struct. 2021, 254, 106581. [Google Scholar] [CrossRef]
  24. Liu, Y.; Gu, Q. A modified numerical substructure method for dynamic analysis of vehicle–track–bridge systems. Int. J. Struct. Stab. Dyn. 2020, 20, 2050134. [Google Scholar] [CrossRef]
  25. McKenna, F.; Fenves, G. OpenSees Manual; Pacific Earthquake Engineering Research Center: Berkeley, CA, USA, 2013; Available online: http://opensees.berkeley.edu (accessed on 22 October 2024).
  26. Chen, N. The Safety of Road Vehicles Driven on Bridge Deck under Crosswind and Its Windproof Precautions; Southwest Jiaotong University: Chengdu, China, 2015. [Google Scholar]
  27. Montenegro, P.; Barbosa, D.; Carvalho, H.; Calçada, R. Dynamic effects on a train-bridge system caused by stochastically generated turbulent wind fields. Eng. Struct. 2020, 211, 110430. [Google Scholar] [CrossRef]
  28. Montenegro, P.A.; Calçada, R.; Carvalho, H.; Bolkovoy, A.; Chebykin, I. Stability of a train running over the Volga river high-speed railway bridge during crosswinds. Struct. Infrastruct. Eng. 2020, 16, 1121–1137. [Google Scholar] [CrossRef]
  29. Kalker, J. Wheel-rail rolling contact theory. Wear 1991, 144, 243–261. [Google Scholar] [CrossRef]
  30. Polach, O. A fast wheel-rail forces calculation computer code. In The Dynamics of Vehicles on Roads and on Tracks; CRC Press: Boca Raton, FL, USA, 2021; pp. 728–739. [Google Scholar]
  31. N. S. Network. Available online: https://www.doc88.com/p-09132203893.html (accessed on 22 October 2024).
Figure 1. Model of a semi-trailer truck.
Figure 1. Model of a semi-trailer truck.
Buildings 14 03413 g001
Figure 2. Three-dimensional model of the semi-trailer truck.
Figure 2. Three-dimensional model of the semi-trailer truck.
Buildings 14 03413 g002
Figure 3. Schematic diagram of a four-span continuous prestressed concrete bridge.
Figure 3. Schematic diagram of a four-span continuous prestressed concrete bridge.
Buildings 14 03413 g003
Figure 4. Simulation details of the bridge structure: (a) Girder and column in the YOZ plane view; (b) Girder and column in the YOZ plane view; (c) Connection between the road surface and girder.
Figure 4. Simulation details of the bridge structure: (a) Girder and column in the YOZ plane view; (b) Girder and column in the YOZ plane view; (c) Connection between the road surface and girder.
Buildings 14 03413 g004
Figure 5. Conceptual graph of the wheel–road coupling element.
Figure 5. Conceptual graph of the wheel–road coupling element.
Buildings 14 03413 g005
Figure 6. Modeling of the wheel–road interaction.
Figure 6. Modeling of the wheel–road interaction.
Buildings 14 03413 g006
Figure 7. Road roughness of A-grade road surface: (a) Road surface irregularity sequence; (b) Power spectral density curves.
Figure 7. Road roughness of A-grade road surface: (a) Road surface irregularity sequence; (b) Power spectral density curves.
Buildings 14 03413 g007
Figure 8. Road roughness of D-grade road surface: (a) Road surface irregularity sequence; (b) Power spectral density curves.
Figure 8. Road roughness of D-grade road surface: (a) Road surface irregularity sequence; (b) Power spectral density curves.
Buildings 14 03413 g008
Figure 9. Vertical displacement of the trailer on A-grade and D-grade roads.
Figure 9. Vertical displacement of the trailer on A-grade and D-grade roads.
Buildings 14 03413 g009
Figure 10. Roll angle of trailer on A-grade and D-grade roads.
Figure 10. Roll angle of trailer on A-grade and D-grade roads.
Buildings 14 03413 g010
Figure 11. Pitch angle of the trailer on A-grade and D-grade roads.
Figure 11. Pitch angle of the trailer on A-grade and D-grade roads.
Buildings 14 03413 g011
Figure 12. Vertical acceleration of trailer on A-grade and D-grade roads.
Figure 12. Vertical acceleration of trailer on A-grade and D-grade roads.
Buildings 14 03413 g012
Figure 13. Roll angle acceleration of the trailer on A-grade and D-grade roads.
Figure 13. Roll angle acceleration of the trailer on A-grade and D-grade roads.
Buildings 14 03413 g013
Figure 14. Pitch angle acceleration of the trailer on A-grade and D-grade roads.
Figure 14. Pitch angle acceleration of the trailer on A-grade and D-grade roads.
Buildings 14 03413 g014
Figure 15. Vertical acceleration amplitude spectrum of trailer on A-grade and D-grade roads.
Figure 15. Vertical acceleration amplitude spectrum of trailer on A-grade and D-grade roads.
Buildings 14 03413 g015
Figure 16. Roll angle acceleration amplitude spectrum of the trailer on A-grade and D-grade roads.
Figure 16. Roll angle acceleration amplitude spectrum of the trailer on A-grade and D-grade roads.
Buildings 14 03413 g016
Figure 17. Pitch angle acceleration amplitude spectrum of the trailer on A-grade and D-grade roads.
Figure 17. Pitch angle acceleration amplitude spectrum of the trailer on A-grade and D-grade roads.
Buildings 14 03413 g017
Figure 18. Vertical displacement of tractor on A-grade and D-grade roads.
Figure 18. Vertical displacement of tractor on A-grade and D-grade roads.
Buildings 14 03413 g018
Figure 19. Roll angle of tractor on A-grade and D-grade roads.
Figure 19. Roll angle of tractor on A-grade and D-grade roads.
Buildings 14 03413 g019
Figure 20. Pitch angle of tractor on A-grade and D-grade roads.
Figure 20. Pitch angle of tractor on A-grade and D-grade roads.
Buildings 14 03413 g020
Figure 21. Vertical acceleration of tractor on A-grade and D-grade roads.
Figure 21. Vertical acceleration of tractor on A-grade and D-grade roads.
Buildings 14 03413 g021
Figure 22. Roll angle acceleration of tractor on A-grade and D-grade roads.
Figure 22. Roll angle acceleration of tractor on A-grade and D-grade roads.
Buildings 14 03413 g022
Figure 23. Pitch angle acceleration of tractor on A-grade and D-grade roads.
Figure 23. Pitch angle acceleration of tractor on A-grade and D-grade roads.
Buildings 14 03413 g023
Figure 24. Vertical acceleration amplitude spectrum of tractor on A-grade and D-grade road.
Figure 24. Vertical acceleration amplitude spectrum of tractor on A-grade and D-grade road.
Buildings 14 03413 g024
Figure 25. Roll angle acceleration amplitude spectrum of tractor on A-grade and D-grade road.
Figure 25. Roll angle acceleration amplitude spectrum of tractor on A-grade and D-grade road.
Buildings 14 03413 g025
Figure 26. Pitch angle acceleration amplitude spectrum of tractor on A-grade and D-grade road.
Figure 26. Pitch angle acceleration amplitude spectrum of tractor on A-grade and D-grade road.
Buildings 14 03413 g026
Figure 27. The vertical wheel–road contact forces for wheelsets 1 to 4 driving on A-grade roads.
Figure 27. The vertical wheel–road contact forces for wheelsets 1 to 4 driving on A-grade roads.
Buildings 14 03413 g027
Figure 28. The vertical wheel–road contact forces for wheelsets 1 to 4 driving on D-grade roads.
Figure 28. The vertical wheel–road contact forces for wheelsets 1 to 4 driving on D-grade roads.
Buildings 14 03413 g028
Figure 29. The vertical displacement responses at the mid-span points of the girders for each span.
Figure 29. The vertical displacement responses at the mid-span points of the girders for each span.
Buildings 14 03413 g029
Figure 30. The vertical acceleration responses at the mid-span points of the girders for each span.
Figure 30. The vertical acceleration responses at the mid-span points of the girders for each span.
Buildings 14 03413 g030
Figure 31. Amplitude response of vertical acceleration at midpoint of each span.
Figure 31. Amplitude response of vertical acceleration at midpoint of each span.
Buildings 14 03413 g031
Table 1. Parameters of the semi-trailer truck.
Table 1. Parameters of the semi-trailer truck.
ParameterValueUnit
tractor weight (Mv1)6800kg
gross trailer weight (Mv2)25,000kg
pitch motion of the tractor/trailer (θv)moment of inertia (Jyv1/Jyv2)28,000/30,800kg/m2
roll motion of the tractor/trailer(φv) (Jxv1/Jxv2)7590/7840kg/m2
Tractor/Trailer Roll Motion (ψv) moment of inertia (Jzv1/Jzv2)287,000/295,000kg/m2
Front/Middle/Rear Axle Mass (Ms1, Ms2, …, Ms8)490/808/653kg
Front/Middle/Rear Axle Spring Vertical Stiffness (Kuz1, Kuz2, …, Kuz8)300/500/400kN/m
lateral stiffness of a spring (Kuy1, Kuy2, …, Kuy)299kN/m
Tire vertical/lateral stiffness (Klz1, Klz2, …, Klz8; Kly1, Kly2, …, Kly8)750/260kN/m
Vertical/transverse damping coefficient of the spring (Cuz1, Cuz2, …, Cuz8; Cuy1, Cuy2, …, Cuy8)5.0/5.0kN/(m/s)
Tire vertical/lateral damping factor (Clz1, Clz2, …, Clz8; Cly1, Cly2, …, Cly8)0.8/0.8kN/(m/s)
Tractor/trailer center of gravity height (hv1/hv2)1.2/1.7m
The center of gravity of the tractor/trailer is to the vertical height of the upper plane of the suspension (h1/h2)0.8/0.8m
The distance between the center of gravity of the tractor and the front/rear axle of the tractor (L1/L2)2.1/1.4m
The horizontal distance from the center of gravity of the trailer to the rear axle of the tractor/trailer (L3/L4)4.75/1.05m
Trailer wheelbase (L5)1.35m
The horizontal distance from the center of gravity of the tractor/trailer to the saddle (L6/L7)1.6/6.25m
Half of the lateral spacing of the tractor/trailer (b1/b2)1.02/1.02m
The vertical distance from the center of gravity of the tractor/trailer to the saddle (h01/h02)0.65/0.45m
Table 2. The first six natural frequencies of the vehicle [Hz].
Table 2. The first six natural frequencies of the vehicle [Hz].
Vehicle FrequenciesFirst OrderSecond OrderThird OrderFourth OrderFifth OrderSixth Order
Value0.5550.6350.8491.0691.1542.184
Table 3. Mechanical parameters of the bridge.
Table 3. Mechanical parameters of the bridge.
ParametersValueUnit
Elastic modulus of main beam concrete39.5GPa
Elastic modulus of column concrete34.5GPa
Elastic modulus of pile top concrete30.0GPa
Equivalent cross-sectional area of pile cap30.104m2
Moment of inertia of pile top section1938.98m4
Pile head torque296.058m4
Concrete density2500kg/m3
Poisson’s ratio0.2
Table 4. The first six natural frequencies of the bridge [Hz].
Table 4. The first six natural frequencies of the bridge [Hz].
Bridge FrequenciesFirst OrderSecond OrderThird OrderFourth OrderFifth OrderSixth Order
Value0.6070.7200.8351.0061.1541.215
Table 5. The classification of the road roughness.
Table 5. The classification of the road roughness.
Road Surface Grade C s p × 1 0 6 ( m 2 / m 1 )
Lower LimitGeometric AverageUpper Limit
A81632
B3264128
C128256512
D51210242048
E204840968192
F819216,38432,768
G32,76865,536131,072
H131,072262,144524,288
Disclaimer/Publisher’s Note: The statements, opinions and data contained in all publications are solely those of the individual author(s) and contributor(s) and not of MDPI and/or the editor(s). MDPI and/or the editor(s) disclaim responsibility for any injury to people or property resulting from any ideas, methods, instructions or products referred to in the content.

Share and Cite

MDPI and ACS Style

Zhang, Y.; Duan, J.; Liu, Y.; Chen, Z.; Su, Y.; Liu, S. Dynamic Analysis of a Vehicle–Bridge System Under Excitation of Random Road Irregularities. Buildings 2024, 14, 3413. https://doi.org/10.3390/buildings14113413

AMA Style

Zhang Y, Duan J, Liu Y, Chen Z, Su Y, Liu S. Dynamic Analysis of a Vehicle–Bridge System Under Excitation of Random Road Irregularities. Buildings. 2024; 14(11):3413. https://doi.org/10.3390/buildings14113413

Chicago/Turabian Style

Zhang, Yue, Jiali Duan, Yongdou Liu, Zhidong Chen, Yangui Su, and Shanyong Liu. 2024. "Dynamic Analysis of a Vehicle–Bridge System Under Excitation of Random Road Irregularities" Buildings 14, no. 11: 3413. https://doi.org/10.3390/buildings14113413

APA Style

Zhang, Y., Duan, J., Liu, Y., Chen, Z., Su, Y., & Liu, S. (2024). Dynamic Analysis of a Vehicle–Bridge System Under Excitation of Random Road Irregularities. Buildings, 14(11), 3413. https://doi.org/10.3390/buildings14113413

Note that from the first issue of 2016, this journal uses article numbers instead of page numbers. See further details here.

Article Metrics

Back to TopTop