Vertical Response of Stress Transmission Through Sand–Tire Mixture Under Impact
Abstract
1. Introduction
2. Materials and Methods
2.1. Materials
2.2. Specimen for Impact Test
2.3. Specimen for Triaxial Test
3. Results and Discussion
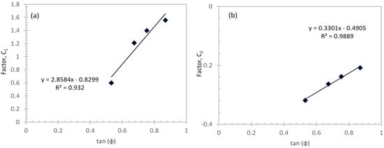
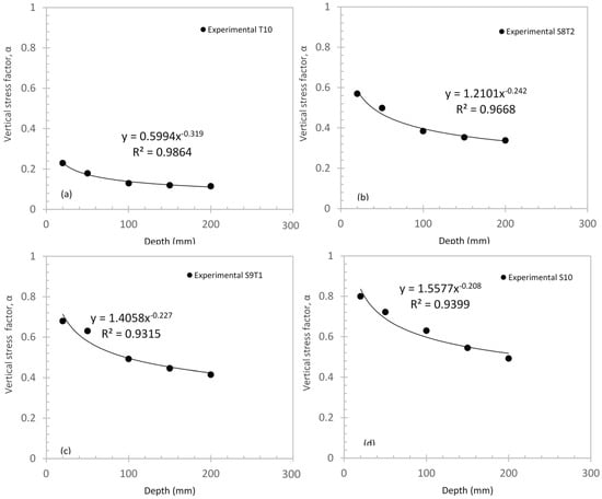
3.1. The Vertical Stress Response on the Underground Structure
3.2. The Vertical Deformation Response of the Sand–Tire Mixture
4. Conclusions
- The experimental results show that increasing tire content in the sand–tire mixture reduces vertical stress transmission and improves energy dissipation. The vertical stress factor (α) decreases by up to 50% with a higher tire content.
- A power-form equation was developed to predict the vertical stress factor (α) and deformation period (Td) based on the tire content, thickness, and friction angle (φ), providing a practical method for quick assessment in engineering designs.
- The sand–tire mixtures are effective at mitigating stress and providing impact resistance, making them suitable for protecting underground structures such as tunnels and pipelines from dynamic surface loads like traffic and seismic activity.
- The use of tire-derived aggregates offers dual benefits by recycling waste tires and improving the mechanical properties of geotechnical materials, promoting both environmental conservation and enhanced infrastructure resilience.
- Further research is needed to investigate the long-term behavior of these mixtures under cyclic loading and their interaction with various structural elements. Additionally, the environmental impact of large-scale tire use in construction projects should be assessed to ensure broader sustainable applications.
Author Contributions
Funding
Data Availability Statement
Conflicts of Interest
Nomenclature
| Symbol | Name | Unit |
| φ | Friction angle | (°) |
| Gs | Specific gravity | None |
| ρdmax | Maximum dry density | g/cm3 |
| ρdmin | Minimum dry density | g/cm3 |
| H | Height of specimen | mm |
| H1 | Depth position of stress box | mm |
| H2 | Depth position of lateral stress | mm |
| α | Vertical stress factor | None |
| σr | Vertical stress response | kPa |
| σa | Applied vertical impact load | kPa |
| Td | Deformation period | ms |
| C1, C2 | Coefficients for vertical stress factor equation | None |
| C3, C4 | Coefficients for deformation period equation | None |
References
- Li, L.; Ruan, S.; Zeng, L. Mechanical properties and constitutive equations of concrete containing a low volume of tire rubber particles. Constr. Build. Mater. 2014, 70, 291–308. [Google Scholar] [CrossRef]
- Shu, X.; Huang, B. Recycling of waste tire rubber in asphalt and portland cement concrete: An overview. Constr. Build. Mater. 2014, 67, 217–224. [Google Scholar] [CrossRef]
- Siddique, R.; Naik, T.R. Properties of concrete containing scrap-tire rubber—An overview. Waste Manag. 2004, 24, 563–569. [Google Scholar] [CrossRef]
- Thomas, B.S.; Gupta, R.C.; Kalla, P.; Cseteneyi, L. Strength, abrasion and permeation characteristics of cement concrete containing discarded rubber fine aggregates. Constr. Build. Mater. 2014, 59, 204–212. [Google Scholar] [CrossRef]
- Thomas, B.S.; Gupta, R.C. A comprehensive review on the applications of waste tire rubber in cement concrete. Renew. Sustain. Energy Rev. 2016, 54, 1323–1333. [Google Scholar] [CrossRef]
- Liu, L.; Cai, G.; Zhang, J.; Liu, X.; Liu, K. Evaluation of engineering properties and environmental effect of recycled waste tire-sand/soil in geotechnical engineering: A compressive review. Renew. Sustain. Energy Rev. 2020, 126, 109831. [Google Scholar] [CrossRef]
- Tsai, W.-T.; Chen, C.-C.; Lin, Y.-Q.; Hsiao, C.-F.; Tsai, C.-H.; Hsieh, M.-H. Status of waste tires’ recycling for material and energy resources in Taiwan. J. Mater. Cycles Waste Manag. 2017, 19, 1288–1294. [Google Scholar] [CrossRef]
- Wang, H.; Xu, H.; Xuan, X. Review of Waste Tire Reuse& Recycling in China —Current situation, problems and countermeasures. Adv. Nat. Sci. 2010, 2, 31–39. [Google Scholar] [CrossRef]
- Godlewska, J. Recovery and Recycling of Waste Tires in Poland. Procedia Eng. 2017, 182, 229–234. [Google Scholar] [CrossRef]
- Shahjalal, M.; Islam, K.; Rahman, J.; Ahmed, K.S.; Karim, M.R.; Billah, A.M. Flexural response of fiber reinforced concrete beams with waste tires rubber and recycled aggregate. J. Clean. Prod. 2021, 278, 123842. [Google Scholar] [CrossRef]
- Gong, H.; Song, W.; Huang, B.; Shu, X.; Han, B.; Wu, H.; Zou, J. Direct shear properties of railway ballast mixed with tire derived aggregates: Experimental and numerical investigations. Constr. Build. Mater. 2019, 200, 465–473. [Google Scholar] [CrossRef]
- Asadi, M.; Mahboubi, A.; Thoeni, K. Discrete modeling of sand–tire mixture considering grain-scale deformability. Granul. Matter 2018, 20, 18. [Google Scholar] [CrossRef]
- Shrestha, S.; Ravichandran, N.; Raveendra, M.; Attenhofer, J.A. Design and analysis of retaining wall backfilled with shredded tire and subjected to earthquake shaking. Soil Dyn. Earthq. Eng. 2016, 90, 227–239. [Google Scholar] [CrossRef]
- Sol-Sánchez, M.; Moreno-Navarro, F.; Martínez-Montes, G.; Rubio-Gámez, M.C. An alternative sustainable railway maintenance technique based on the use of rubber particles. J. Clean. Prod. 2017, 142, 3850–3858. [Google Scholar] [CrossRef]
- Sol-Sánchez, M.; Thom, N.H.; Moreno-Navarro, F.; Rubio-Gámez, M.C.; Airey, G.D. A study into the use of crumb rubber in railway ballast. Constr. Build. Mater. 2015, 75, 19–24. [Google Scholar] [CrossRef]
- Chew, J.H.; Leong, E.C. Field and numerical modelling of sand-rubber mixtures vibration barrier. Soil Dyn. Earthq. Eng. 2019, 125, 105740. [Google Scholar] [CrossRef]
- Zhang, T.; Cai, G.; Duan, W. Strength and microstructure characteristics of the recycled rubber tire-sand mixtures as lightweight backfill. Environ. Sci. Pollut. Res. 2018, 25, 3872–3883. [Google Scholar] [CrossRef]
- Anbazhagan, P.; Manohar, D.R.; Rohit, D. Influence of size of granulated rubber and tyre chips on the shear strength characteristics of sand–rubber mix. Geomech. Geoengin. 2017, 12, 266–278. [Google Scholar] [CrossRef]
- Livingston, B.; Ravichandran, N. Properties of Shredded Roof Membrane–Sand Mixture and Its Application as Retaining Wall Backfill under Static and Earthquake Loads. Recycling 2017, 2, 8. [Google Scholar] [CrossRef]
- Baral, K.; Tatar, J.; Zhang, Q. High-Performance Impact-Resistant Concrete Mixture for Transportation Infrastructure Applications. Transp. Res. Rec. 2019, 2673, 628–635. [Google Scholar] [CrossRef]
- Koohmishi, M.; Azarhoosh, A. Stiffness and damping properties of railway ballast aggregate considering influence of degradation of aggregate and incorporation of crumb rubber. Soil Dyn. Earthq. Eng. 2022, 155, 107177. [Google Scholar] [CrossRef]
- Madhusudhan, B.R.; Boominathan, A.; Banerjee, S. Factors Affecting Strength and Stiffness of Dry Sand-Rubber Tire Shred Mixtures. Geotech. Geol. Eng. 2019, 37, 2763–2780. [Google Scholar] [CrossRef]
- Rahgozar, A.; Estekanchi, H.E.; Mirfarhadi, S.A. On optimal lead rubber base-isolation design for steel moment frames using value-based seismic design approach. Soil Dyn. Earthq. Eng. 2023, 164, 107520. [Google Scholar] [CrossRef]
- Jiang, Y.-J.; Wang, Z.-Z.; Song, Y.; Xiao, S.-Y. Cushion Layer Effect on the Impact of a Dry Granular Flow Against a Curved Rock Shed. Rock Mech. Rock Eng. 2018, 51, 2191–2205. [Google Scholar] [CrossRef]
- Lyu, Z.; Qian, J.; Shi, Z.; Gao, Q. Dynamic responses of layered poroelastic ground under moving traffic loads considering effects of pavement roughness. Soil Dyn. Earthq. Eng. 2020, 130, 105996. [Google Scholar] [CrossRef]
- Rao, P.; Wu, Z.; Cui, J. Analysis of Deformation of Adjacent Buried Pipeline under Rockfall Impact Load. Geotech. Geol. Eng. 2022, 40, 1463–1474. [Google Scholar] [CrossRef]
- Yadav, D.K.; Shukla, S.K. Analytical Model for Deflection of the Runway Pavement at Touchdown Point Caused by an Aircraft during Landing. Int. J. Geomech. 2012, 12, 113–118. [Google Scholar] [CrossRef]
- Zhang, X.; Lu, Y. FEM analysis of wasted tire chip and sand as construction material for piles. Case Stud. Constr. Mater. 2023, 18, e01735. [Google Scholar] [CrossRef]
- Fu, R.; Coop, M.R.; Li, X.Q. Influence of Particle Type on the Mechanics of Sand–Rubber Mixtures. J. Geotech. Geoenviron. Eng. 2017, 143, 04017059. [Google Scholar] [CrossRef]
- Jeong, D.; Cho, J.; Choo, S.; Park, C.-W. Mechanical Properties of Tire-Rubber Particles Contained Mortar Composites. In Proceedings of the 2016 International Conference on Advanced Materials Science and Environmental Engineering, Chiang Mai, Thailand, 16–17 June 2016. [Google Scholar] [CrossRef]
- Lee, J.-S.; Dodds, J.C. Santamarina, Behavior of Rigid-Soft Particle Mixtures. J. Mater. Civ. Eng. 2007, 19, 179–184. [Google Scholar] [CrossRef]
- Bai, S.; Jiang, J.; Xu, Y. Dynamic Response Analysis of the T-Shaped Steel Reinforced Concrete Column under Different Impact Conditions. Appl. Mech. Mater. 2013, 351–352, 663–666. [Google Scholar] [CrossRef]
- Kalhori, H.; Ye, L.; Mustapha, S.; Li, J.; Li, B. Reconstruction and Analysis of Impact Forces on a Steel-Beam-Reinforced Concrete Deck. Exp. Mech. 2016, 56, 1547–1558. [Google Scholar] [CrossRef]
- Shi, C.; Zhang, J.; Zhang, J.; Shao, F.; Zhang, Y.; Zhang, M. Experimental Study and Numerical Analysis on Impact Resistance of Civil Air Defense Engineering Shear Wall. Adv. Civ. Eng. 2021, 2021, e7376909. [Google Scholar] [CrossRef]
- Zheng, L.; Chen, Z. Study on Concrete Filled Square Steel Tube under Lateral Impact Loading. Adv. Mater. Res. 2010, 163–167, 941–946. [Google Scholar] [CrossRef]
- Sun, J.; Lam, N.; Zhang, L.; Ruan, D.; Gad, E. Computer Simulation of Contact Forces Generated by Impact. Int. J. Struct. Stab. Dyn. 2017, 17, 1750005. [Google Scholar] [CrossRef]
- Choi, I.H. Low-velocity impact response analysis of composite pressure vessel considering stiffness change due to cylinder stress. Compos. Struct. 2017, 160, 491–502. [Google Scholar] [CrossRef]
- Choobbasti, A.J.; Samakoosh, M.A.; Kutanaei, S.S. Mechanical properties soil stabilized with nano calcium carbonate and reinforced with carpet waste fibers. Constr. Build. Mater. 2019, 211, 1094–1104. [Google Scholar] [CrossRef]
- Jiao, X.; Ma, J. Influence of the connecting condition on the dynamic buckling of longitudinal impact for an elastic rod. Acta Mech. Solida Sin. 2017, 30, 291–298. [Google Scholar] [CrossRef]
- Kumar, V.; Iqbal, M.A.; Mittal, A.K. Study of induced prestress on deformation and energy absorption characteristics of concrete slabs under drop impact loading. Constr. Build. Mater. 2018, 188, 656–675. [Google Scholar] [CrossRef]













| Name | ρdmax (g/cm3) | ρdmin (g/cm3) | φ (°) | E | H (mm) | H1 (mm) | H2 (mm) |
|---|---|---|---|---|---|---|---|
| S10 | 1.53 | 1.34 | 41 | 10 | 20 | n/a | n/a |
| S9T1 | 1.41 | 1.21 | 37 | 8.1 | |||
| S8T2 | 1.31 | 1.13 | 34 | 4.3 | |||
| T10 | 0.68 | 0.58 | 29 | 2.9 | |||
| S10 | 1.53 | 1.34 | 41 | 10 | 50 | n/a | n/a |
| S9T1 | 1.41 | 1.21 | 37 | 8.1 | |||
| S8T2 | 1.31 | 1.13 | 34 | 4.3 | |||
| T10 | 0.68 | 0.58 | 29 | 2.9 | |||
| S10 | 1.53 | 1.34 | 41 | 10 | 100 | 50 | 75 |
| S9T1 | 1.41 | 1.21 | 37 | 8.1 | |||
| S8T2 | 1.31 | 1.13 | 34 | 4.3 | |||
| T10 | 0.68 | 0.58 | 29 | 2.9 | |||
| S10 | 1.53 | 1.34 | 41 | 10 | 150 | 75 | 100 |
| S9T1 | 1.41 | 1.21 | 37 | 8.1 | |||
| S8T2 | 1.31 | 1.13 | 34 | 4.3 | |||
| T10 | 0.68 | 0.58 | 29 | 2.9 | |||
| S10 | 1.53 | 1.34 | 41 | 10 | 200 | 50 | 100 |
| S9T1 | 1.41 | 1.21 | 37 | 8.1 | |||
| S8T2 | 1.31 | 1.13 | 34 | 4.3 | |||
| T10 | 0.68 | 0.58 | 29 | 2.9 |
Disclaimer/Publisher’s Note: The statements, opinions and data contained in all publications are solely those of the individual author(s) and contributor(s) and not of MDPI and/or the editor(s). MDPI and/or the editor(s) disclaim responsibility for any injury to people or property resulting from any ideas, methods, instructions or products referred to in the content. |
© 2024 by the authors. Licensee MDPI, Basel, Switzerland. This article is an open access article distributed under the terms and conditions of the Creative Commons Attribution (CC BY) license (https://creativecommons.org/licenses/by/4.0/).
Share and Cite
Nong, X.; Bai, W.; Yi, S.; Huang, X.; Lu, Y.; Baghbani, A. Vertical Response of Stress Transmission Through Sand–Tire Mixture Under Impact. Buildings 2024, 14, 3381. https://doi.org/10.3390/buildings14113381
Nong X, Bai W, Yi S, Huang X, Lu Y, Baghbani A. Vertical Response of Stress Transmission Through Sand–Tire Mixture Under Impact. Buildings. 2024; 14(11):3381. https://doi.org/10.3390/buildings14113381
Chicago/Turabian StyleNong, Xingzhong, Wenfeng Bai, Shixuan Yi, Xiangyun Huang, Yi Lu, and Abolfazl Baghbani. 2024. "Vertical Response of Stress Transmission Through Sand–Tire Mixture Under Impact" Buildings 14, no. 11: 3381. https://doi.org/10.3390/buildings14113381
APA StyleNong, X., Bai, W., Yi, S., Huang, X., Lu, Y., & Baghbani, A. (2024). Vertical Response of Stress Transmission Through Sand–Tire Mixture Under Impact. Buildings, 14(11), 3381. https://doi.org/10.3390/buildings14113381

