Cellular Automata-Based Experimental Study on the Evolution of Corrosion Damage in Bridge Cable Steel Wire
Abstract
1. Introduction
2. Accelerated Corrosion Test on In-Service Cable Wires
2.1. Experimental Pre-Processing
2.1.1. Electrified Accelerated Corrosion
2.1.2. Cable and Equipment Parameters
2.1.3. Experimental Design
2.2. Corrosion Process Analysis
2.2.1. Macro- and Micromorphologies
2.2.2. Analysis of Breakage Experiments
2.3. Analysis of Etch Pit Morphology
3. Cellular Automata-Based Characterization of Steel Wire Damage
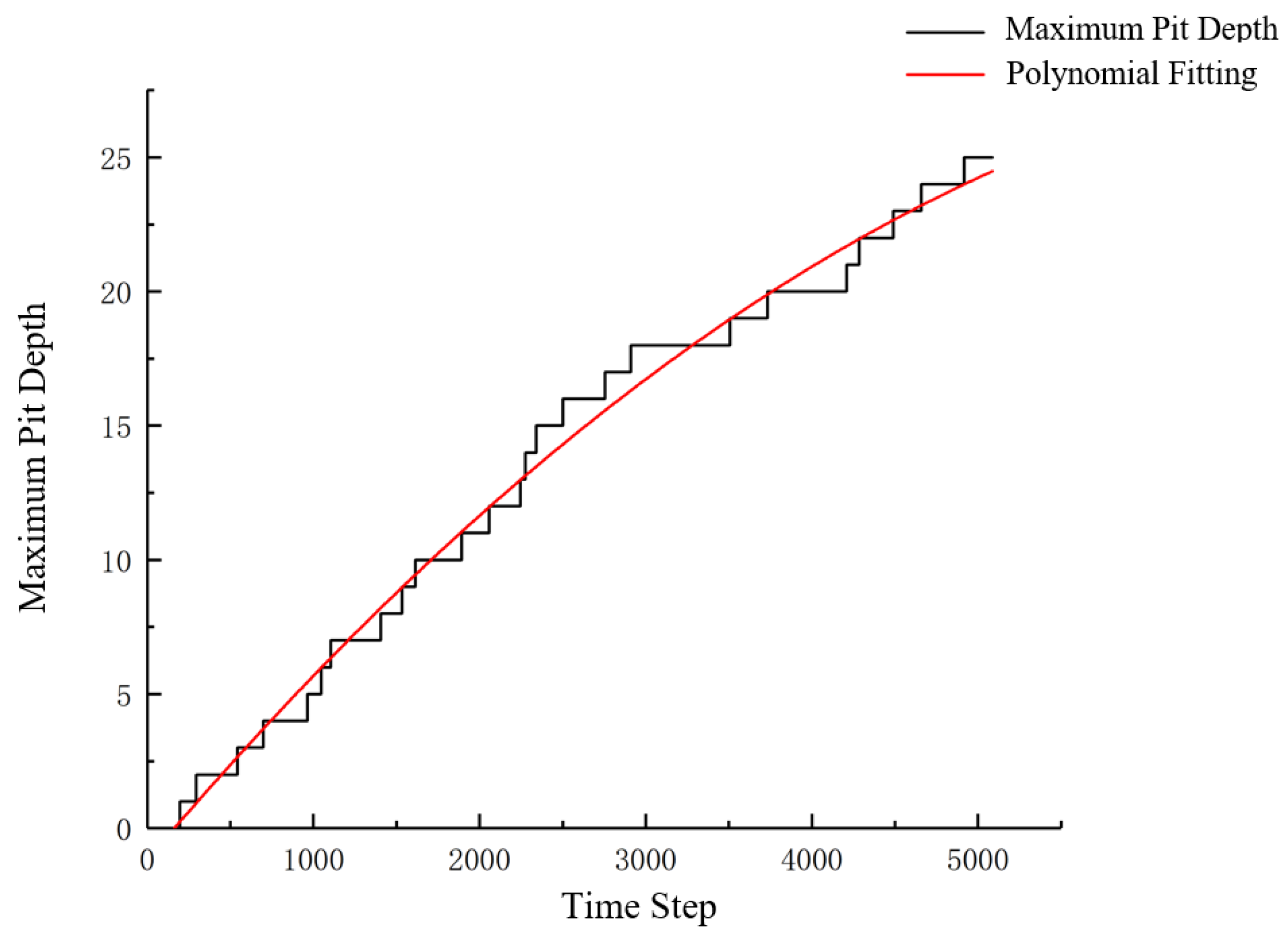
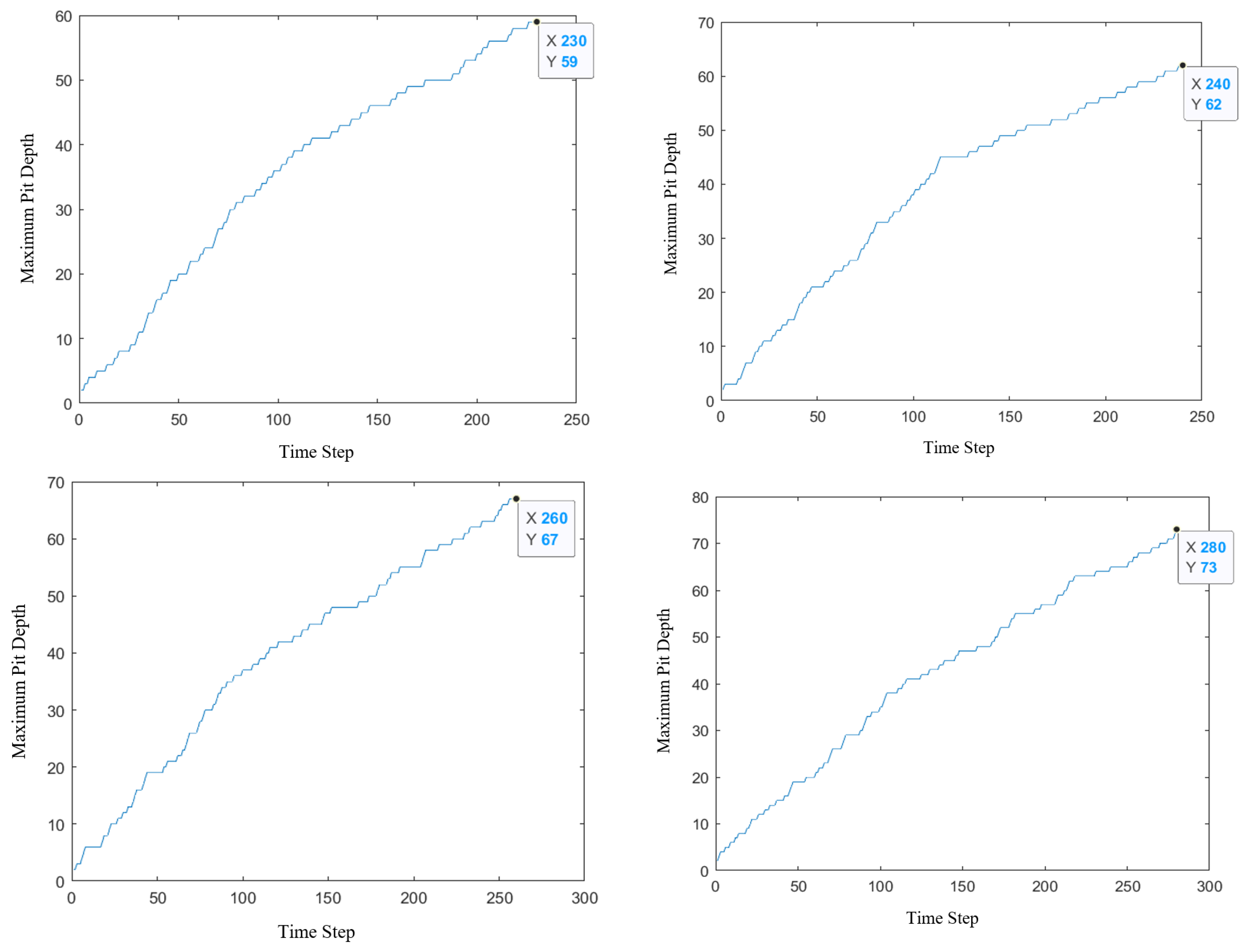
3.1. Cellular Automata-Based Corrosion Process Simulation
3.2. Etch Pit Damage Stress Concentration
3.3. Cable Corrosion Damage Evolution
4. Conclusions
- (1)
- Natural corrosion damages the surface galvanized layer of steel wire. As dry-wet cycles increase, the galvanized layer is consumed, iron rust appears, pores form in the rust layer, and tensile strength shows a downward trend. The fracture morphology is split chisel with low necking, indicating reduced ductility. The average tensile strength of corroded steel wire is less than 1700 MPa, a nearly 5% decrease.
- (2)
- Etch pit geometric dimensions in corroded bridge cable surfaces follow a right-skewed distribution. Depth range is broader than length and width. Shapes are mainly shallow spherical and deep ellipsoidal. Length: 0.005–0.015 mm. Width: 0.005–0.02 mm. Depth: 0–0.04 mm.
- (3)
- A cellular automata-based etch pit model for cable steel wires is established and verified. After galvanized layer consumption, iron matrix participates in electrochemical reactions, expanding etch pit size. Etch pit depth increases with time steps, but the rate flattens. Initially, the etch pit develops longitudinally, then laterally.
- (4)
- The maximum stress of the steel wire etch pit is at the bottom and decreases outward. As the depth increases, the stress concentration at the bottom grows, leading to increased maximum stress and stress concentration factors. Maximum stress approaches 1800 MPa, and the factor is above 3.0. The tensile strength continuously decreases. After corrosion, the average tensile strength is less than 1700 MPa, a nearly 5% drop.
- (5)
- In the circumferential direction, corrosion is more severe on the side contacting the corrosive medium first. In the radial direction, steel wire damage decreases from outside to inside. In vulnerable cable parts like connection sleeves and threaded splices, the outermost steel wires bear most corrosion while the interior is less eroded.
Author Contributions
Funding
Data Availability Statement
Conflicts of Interest
References
- Ma, J.; Sun, S.Z.; Yang, Q. Review on China’s bridge engineering research. China J. Highw. Transp. 2021, 34, 91–96. [Google Scholar]
- He, X.; Guo, Z.; Xu, H. Vehicle impact effect suspender in half-through arch bridge considering vehicle-bridge coupled vibration. Noise Vib. Control 2022, 42, 206–213. [Google Scholar]
- Feng, L.; Wu, K.; Lu, X.; Qiao, W. Research status and development tendency of ultra-high strength steel wire for bridge cables. Mater. China 2020, 39, 395–403. [Google Scholar]
- Xu, J.; Chen, W. Behavior of wires in parallel wire stayed cable under general corrosion effects. Constr. Steel. Res. 2013, 85, 40–47. [Google Scholar] [CrossRef]
- Nakamura, S.-I.; Suzumura, K.; Tarui, T. Mechanical properties and remaining strength of corroded bridge wires. Struct. Eng. Int. 2004, 14, 50–54. [Google Scholar] [CrossRef]
- Ling, M. The Exploring Research on Durability of Stayecable. Master’s Thesis, Beijing Jiaotong University, Beijing, China, 2010. [Google Scholar]
- Chen, S.; Chen, K.; Zeng, Y.; Gao, H. Study on measures for durability of stay cable. High Speed Railw. Technol. 2015, 6, 60–64. [Google Scholar]
- Wu, J. A Novel Anchorage System of CFRP Cables and Its Performance. Master’s Thesis, Harbin Institute of Technology, Harbin, China, 2018. [Google Scholar]
- Feng, B. Study on Anchorage System and Its Long-Term Performance for Large Capacity FRP cable. Ph.D. Thesis, Southeast University, Nanjing, China, 2019. [Google Scholar]
- Liang, L.; Xing, G.; Wu, F. Durability risk assessment of stay cables based on cloud theory. J. Northeast. Univ. 2019, 40, 425–429. [Google Scholar]
- Chen, J. Experimental Study on Corrosion Damage of HDPE System of Stayed Cables Under Environment and Loading. Master’s Thesis, Chongqing Jiaotong University, Chongqing, China, 2020. [Google Scholar]
- Chang, Y.; Li, S.; Hu, H. Structure durability for Qingshang Changjiang river highway bridge in Wuhan. Bridge Constr. 2020, 50, 7. [Google Scholar]
- Zhang, S. Experimental Research on Mechanical Properties of Naturally Corroded Cable. Master’s Thesis, Xiangtan University, Hunan, China, 2020. [Google Scholar]
- Li, B. Research on mechanical properties of cable anchorage zone of extra-dosed cable-stayed bridge. High Speed Railw. Technol. 2022, 3, 13. [Google Scholar]
- Ma, Y.; Li, Z.; Peng, A.; Wang, L.; Zhang, J. Vulnerability evaluation of cable stayed bridge considering cable damage. J. Chang. Univ. 2022, 42, 101–109. [Google Scholar]
- Suresh, S. Fatigue of Materials, 2nd ed.; National Defense Industry Press: Beijing, China, 1999; pp. 25–32. [Google Scholar]
- Castillo, E.; Fermandes-Canteli, A.; Esslinger, V.; Thürlimann, B. Statistical model for fatigue analysis of wires, strands and cables. IABSE Proc. 1985, 82, 1–40. [Google Scholar]
- Stallings, J.M.; Frank, K.H. Stay-cable fatigue behavior. J. Struct. Eng. 1991, 117, 936–950. [Google Scholar]
- Lan, C.; Li, H.; Jv, Y. Bearing capacity assessment for parallel wire cables. China Civ. Eng. J. 2013, 46, 8. [Google Scholar]
- Xie, M.; Xie, F.; Hu, X.; Ji, B. Study on the Bearing Capacity Evaluation Model of Stay Cables in Corrosion Environment. J. Transp. Sci. Eng. 2017, 33, 7. [Google Scholar]
- Bo, W. Residual Life Analysis of Parallel Wire Cable in Service. Master’s Thesis, Chongqing Jiaotong University, Chongqing, China, 2020. [Google Scholar]
- Wang, Z. The Research on Stress Intensity Factor and Remaining Life of Cable Wire with Multiple Corrosion Holes. Master’s Thesis, Changsha University of Science and Technology, Changsha, China, 2021. [Google Scholar]
- Feng, W. Experimental Research on the Electric Accelerated Corrosion Method and the Current Efficiency. Master’s Thesis, Shenzhen University, Shenzhen, China, 2015. [Google Scholar]
- GB/T 228.1-2021; Metallic Materials-Tensile Testing-Part 1: Method of Test at Room Temperature. Standards Press of China: Beijing, China, 2021.
- Kyparissas, N.; Dollas, A. Large-scale Cellular Automata on FPGAs: A New Generic Architecture and a Framework. ACM Trans. Reconfigurable Technol. Syst. 2020, 14, 5. [Google Scholar]
- Ming, H. Elementary cellular automata and self-referential paradoxes. J. Log. Comput. 2020, 30, 745–763. [Google Scholar]
- Guo, Z.; Chen, H.; Li, X.; Yu, J. Simulation of the Evolution Process of Stayed Cable Electrochemical Corrosion Based on Cellular Automata. J. Magnes. Alloys 2019, 42, 19–27. [Google Scholar]
- Gu, P.; Rao, J.; Dong, H.; Jiang, Q. Research of Cellular Automata Based on Data Mining. In Proceedings of the 22nd China Database Conference (Technical Reports Section), Hefei, China, 23–26 August 2005; pp. 177–179. [Google Scholar]
- Wang, H.; Lv, G.; Zhang, Y. Cellular Automaton Simulations of Corrosion Pit Growth. Corros. Sci. Prot. Technol. 2008, 20, 472–475. [Google Scholar]
- Saunier, J.; Dymitrowska, M.; Chausse, A.; Stafiej, J.; Badiali, J.P. Diffusion, interactions and universal behavior in a corrosion growth model. J. Electroanal. Chem. 2005, 582, 267. [Google Scholar]
- Liao, H. Corrosion Simulation and Stress Redistribution of Parallel Steel Cable Based Cellular Automata. Master’s Thesis, Harbin Institute of Technology, Harbin, China, 2021. [Google Scholar]
- Chen, M.C.; Wen, Q.Q.; Zhu, Q.; Huang, H.; Xie, L. Simulation of corrosion process for concrete filled steel tubular columns with the cellular automata method. Eng. Fail. Anal. 2017, 82, 298–307. [Google Scholar]
- Hayati, M.; Rezaei, A. Design of a New Optimized Universal Logic Gate for Quantum-Dot Cellular Automata. IETE J. Res. 2019, 68, 1141–1147. [Google Scholar]
- Zhang, L.; Cheng, J.; Wang, A.; Liu, L.; Li, L. Research on High Fatigue Stress Amplitude Cables for400 MPa Bridges. Highway 2024, 69, 1–4. [Google Scholar]
- Chen, J.; Ren, Y.; Lu, G. Damage in Quasi-Brittle Materials from a Two-Scale Perspective: From Geometric Discontinuity to Free Energy Reduction. Chin. J. Theor. Appl. Mech. 2024, 9, 1–11. [Google Scholar]
- Zhou, Z.; Wang, S.; Gong, Z. Asymmetric Cable Replacement Technique for Cable-Stayed Bridges in Service. World Bridges 2010, 1, 56–58. [Google Scholar]
- Hu, Z. Experimental Study on the Fatigue Properties and Time-Dependent Corrosion Model of Coastal Bridge Suspenders. Master’s Thesis, Chongqing Jiaotong University, Chongqing, China, 2020. [Google Scholar]
- Wang, Q. Experimental Study on Corrosion Damage Mechanism of the Bridge Cable Anchorage System Under Service Environment. Master’s Thesis, Chongqing Jiaotong University, Chongqing, China, 2020. [Google Scholar]
- He, X.; Yao, G.; Long, H.; Ying, L.; Guo, Z.; Zhao, L.; Tang, Y.; Huang, P. Corrosion protection failure test analysis of the initial damaged cable ICCP mechanism. Case Stud. Constr. Mater. 2024, 20, e03227. [Google Scholar]
- JTGT H21-2011; Standards for Technical Condition Evaluation of Highway Bridges. China Communications Press: Beijing, China, 2016.
- Fan, C. A Multi-Scale Corrosion Fatigue Damage Model of High-Strength Wires and Fatigue Analysis of Bridge Cable. Master’s Thesis, Southeast University, Nanjing, China, 2022. [Google Scholar]

































| Model Number | Cable Body (HDPE Sheath Included) | Bare Cable (Wire Bundles) | Breaking Force Pk (kN) | |||
|---|---|---|---|---|---|---|
| Outer Diameter (mm) | Unit Mass (kg/m) | Diameter (mm) | Area (mm2) | Unit Mass (kg/m) | ||
| LPES 1770-7-127-Zn | 109 | 41.1 | 91.0 | 4888 | 38.4 | 8651 |
| Item | Nominal Diameter (mm) | Standard Tensile Strength (MPa) | Elongation (%) | Torsional Property | Relaxation Rate |
|---|---|---|---|---|---|
| Numerical value | 7.0 ± 0.07 | 1770 | ≥4 | ≥12 times | ≤2.5 |
| Number | Equipment Name | Specification Model | Technical Parameters | Quantity |
|---|---|---|---|---|
| 1 | Linear regulated DC power supply | KD3005D | Voltage Range/Current Range 0–30 V/0–3 A | 1 |
| 2 | Electronic balance | SL500ZN | Accuracy 0.01 g | 1 |
| 3 | Scale | / | Accuracy 0.01 m | 1 |
| 4 | Measuring cylinder | / | 5000 mL | 1 |
| 5 | Digital camera | CANON EOS | / | 1 |
| 6 | Electronic microscope | DM4 | Magnification 500/1000 | 1 |
| Corrosion Stage | Steel Wire Number | Ultimate Tensile Load (kN) | Tensile Strength (MPa) | Average Tensile Strength (MPa) | Percentage Decrease in Average Tensile Strength (%) |
|---|---|---|---|---|---|
| Natural corrosion | 1-1 | 66.27 | 1722.86 | 1745.13 | 1.41 |
| 1-2 | 68.13 | 1771.22 | |||
| 1-3 | 66.98 | 1741.32 | |||
| One wet-dry cycle | 2-1 | 66.20 | 1721.10 | 1719.83 | 2.83 |
| 2-2 | 66.10 | 1718.45 | |||
| 2-3 | 66.16 | 1720.01 | |||
| Three wet-dry cycles | 3-1 | 65.94 | 1690.22 | 1695.78 | 4.19 |
| 3-2 | 64.96 | 1688.81 | |||
| 3-3 | 65.71 | 1708.31 | |||
| Five wet-dry cycles | 4-1 | 64.86 | 1686.21 | 1683.52 | 4.88 |
| 4-2 | 64.85 | 1685.95 | |||
| 4-3 | 64.56 | 1678.41 |
| Maximum Pit (mm) | Actual Value | Simulated Value | Simulation Error (%) |
|---|---|---|---|
| Natural corrosion | 0.061 | 0.059 | 3.27 |
| One wet-dry cycle | 0.065 | 0.062 | 4.61 |
| Three wet-dry cycles | 0.071 | 0.067 | 5.63 |
| Five wet-dry cycles | 0.080 | 0.073 | 9.85 |
| Etch Pits Size (mm) | 0.06 | 0.07 | 0.08 | 0.1 | 0.5 | 1 | 1.5 | 2 | 2.25 | 2.5 | 2.75 |
|---|---|---|---|---|---|---|---|---|---|---|---|
| Di | 0.017 | 0.019 | 0.023 | 0.028 | 0.138 | 0.265 | 0.383 | 0.49 | 0.54 | 0.587 | 0.631 |
| Tensile strength (MPa) | 1739 | 1734 | 1730 | 1720 | 1526 | 1300 | 1092 | 903 | 815 | 731 | 653 |
Disclaimer/Publisher’s Note: The statements, opinions and data contained in all publications are solely those of the individual author(s) and contributor(s) and not of MDPI and/or the editor(s). MDPI and/or the editor(s) disclaim responsibility for any injury to people or property resulting from any ideas, methods, instructions or products referred to in the content. |
© 2024 by the authors. Licensee MDPI, Basel, Switzerland. This article is an open access article distributed under the terms and conditions of the Creative Commons Attribution (CC BY) license (https://creativecommons.org/licenses/by/4.0/).
Share and Cite
Zhou, L.; Yao, G.; Zeng, G.; He, Z.; Gou, X.; He, X.; Liu, M. Cellular Automata-Based Experimental Study on the Evolution of Corrosion Damage in Bridge Cable Steel Wire. Buildings 2024, 14, 3354. https://doi.org/10.3390/buildings14113354
Zhou L, Yao G, Zeng G, He Z, Gou X, He X, Liu M. Cellular Automata-Based Experimental Study on the Evolution of Corrosion Damage in Bridge Cable Steel Wire. Buildings. 2024; 14(11):3354. https://doi.org/10.3390/buildings14113354
Chicago/Turabian StyleZhou, Liping, Guowen Yao, Guiping Zeng, Zhiqiang He, Xuetong Gou, Xuanbo He, and Mingxu Liu. 2024. "Cellular Automata-Based Experimental Study on the Evolution of Corrosion Damage in Bridge Cable Steel Wire" Buildings 14, no. 11: 3354. https://doi.org/10.3390/buildings14113354
APA StyleZhou, L., Yao, G., Zeng, G., He, Z., Gou, X., He, X., & Liu, M. (2024). Cellular Automata-Based Experimental Study on the Evolution of Corrosion Damage in Bridge Cable Steel Wire. Buildings, 14(11), 3354. https://doi.org/10.3390/buildings14113354

