Abstract
The spatial variability of land surface temperature (LST) is considerably affected by urban morphology. Previous research has focused separately on the thermal effects of urban morphology and the cooling effects of water bodies and urban parks. However, the combined influence of intra- and extra-block factors on LST has not been thoroughly examined. To bridge this research gap, we conducted an extensive analysis of 17 urban morphology factors in Hangzhou by employing a novel stacked ensemble approach. Results showed that the stacked ensemble models outperformed commonly used techniques, such as random forest and boosted regression trees. Extra-block factors, alongside building density, average building height, and vegetation coverage within blocks, predominantly influenced the LST distribution across all seasons. Building density was positively correlated with LST, with a maximum influence of 1.5 °C in spring, whereas building height was negatively correlated with it, with a maximum influence of 1.8 °C in winter. The cooling distance of the Qiantang River extends up to 2500 m into the urban blocks and has a maximum effect of 2 °C in summer. These insights deepen our comprehension of the interplay between LST and intra- and extra-block urban morphologies, thus offering valuable guidance for urban planners and policymakers.
1. Introduction
The urban heat island (UHI) effect, where urban areas have higher temperatures than their rural counterparts [1], is exacerbated by the replacement of natural land cover with heat-absorbing urban structures [2]. This phenomenon, intensified by climate change [3], increasingly threatens urban populations, which now exceed half the global total [4], by elevating morbidity, mortality [5], and greenhouse gas emissions due to increased energy consumption for cooling [6].
Two main methods are used to quantitatively analyze UHI: air temperature and satellite-derived land surface temperature (LST) [7,8,9,10]. Traditional studies on air temperature typically relied on data from ground meteorological stations [11,12]. By contrast, LST studies increasingly utilize remote sensing data, such as Landsat images, which have a high spatial resolution and a broad coverage [13]. This advantage has led to the preference for remote sensing approaches in recent research [14].
The relationship between urban features and LST has been extensively studied to explore how urban planning can help mitigate city temperatures [15]. When dividing a city into street-based blocks and using each block as the unit of analysis, block-level LST is primarily influenced by two factors: intra-block and extra-block elements.
Intra-block factors primarily include urban morphology, which is widely recognized as a critical determinant of LST [16,17,18,19,20]. The consensus is that the ratio of impervious surfaces, such as buildings, roads, and urban squares, is positively correlated with LST, whereas the area ratio of urban green spaces (UGSs) is inversely related to it [20,21,22]. Moreover, the configuration and diversity of the urban landscape, which can be measured using metrics such as patch density (PD), edge density (ED), and landscape shape index (LSI), influence LST, although their effect is less pronounced than that of other factors [23,24,25,26,27]. Recent investigations have begun to focus on 3D building factors (3DBFs) and their effects on LST, marking a shift from traditional 2D analyses [27,28,29,30]. Anthropogenic heat is also significant, and recent studies have found that socio-economic factors, such as nightlight intensity and the density of points of interest (POI) on GPS-based mapping services, are correlated with local temperatures [31]. Although all these factors are relevant to LST, prioritization occurs during urban planning and design. Previous studies have utilized various techniques to ascertain the relative importance of these morphological factors. The majority of them have concluded that building density (or normalized difference built-up index), building height, and green area ratio (or normalized difference vegetation index [NDVI]) are the most influential factors in determining LST, whereas configuration and diversity metrics exert a weak effect [13,30,31,32,33].
Extra-block factors primarily concern the adjacency effects of external environments out of the investigated blocks. Previous research has examined the effects of extra-block factors on LST independently, such as the cooling effects of urban parks [34,35,36] and water bodies [37,38], demonstrating that large parks and water bodies can reduce LST in surrounding blocks within a certain distance. However, these effects have not been analyzed together with urban morphology at the block level. The key question remains: compared to intra-block building morphology, to what extent do extra-block factors influence block-level LST?
To fill this gap, a multiple regression method is needed to compare these factors. Early studies on urban morphological factors and LST correlation primarily utilized parametric regression models, such as multiple linear regression (MLR) [39] and geographically weighted regression [40]. These models assume that urban morphological factors and LST follow a particular function or curve (e.g., a straight line) and construct a regression model on the basis of this assumption. This approach may be biased because the relationship between urban morphological factors and LST may not be as linear as hypothesized. Consequently, in recent years, nonparametric modeling methods, such as random forest (RF) [18,31,41,42], boosted regression tree (BRT) [27,28,43,44,45,46], extreme gradient boosting tree [26,29], and artificial neural network (ANN) [7], have become increasingly prevalent. They are also referred to as machine learning or deep learning algorithms [47]. They can explain the complex relationship between urban morphology and LST because they do not assume a function that describes the relationship between independent and dependent variables [46]. However, the single models above have limited predictive accuracy. A new method known as a stacked ensemble can combine these models and construct a meta-algorithm on the basis of model predictions [48]. As a result, the stacked ensemble of these models, representing an asymptotically optimal learning system, outperforms each individual model and provides a more robust explanation of the correlation between LST and both intra- and extra-block morphological factors [49].
This study aimed to investigate the correlation between LST and urban morphology across four seasons in Hangzhou by utilizing street-based blocks as the primary unit of analysis. Stacked ensemble models were developed with LST as the dependent variable and 17 urban morphological factors as predictors. Here, we presume that the extra-block factors are of the same importance as the intra-block factors. The analysis extended beyond the internal structure of urban blocks to include the influence of surrounding natural environments. Through a comprehensive evaluation, the relative importance and nonlinear relationships among these factors were determined. The insights obtained from this research offer valuable theoretical guidance for urban planning and can enhance thermal comfort in urban settings. This work offers a nuanced approach to managing urban heat on the basis of seasonal variations and complex urban dynamics.
2. Data and Methods
2.1. Study Area
Hangzhou, the capital of Zhejiang Province in China, is a critical economic and e-commerce hub, second only to Shanghai in the Yangtze Delta. Characterized by a humid subtropical climate (Köppen–Geiger climate class CFa) [50], Hangzhou experiences four distinct seasons, including long, hot, humid summers and chilly, cloudy, dry winters. The average annual temperature is 17 °C, with January and July temperatures averaging 4.6 °C and 28.9 °C, respectively. The city also receives an average annual rainfall of 1438 mm. The central part of Hangzhou is located in the northeast corner of the city and is home to most of its population (Figure 1). This area has two large natural landscapes. The first one is Xihu Lake (also known as West Lake), a United Nations Educational Scientific and Cultural Organization World Heritage Site, and the second is Qiantang River (also known as Tsientang River), which is renowned for its large tidal bore. Various internal and external factors may influence LST distribution in the city center, and Hangzhou is an ideal location for studying these factors because of its large natural landscapes and diverse surface morphology. Thus, the city center of Hangzhou was adopted as the study area.
Figure 1.
Study area. The image on the left is the ZY-3 image of the study area.
2.2. Data and Preprocessing
2.2.1. Land Surface Temperature
LST data were derived from Landsat Collection 2 Level-2 surface temperature science products and can be downloaded from https://earthexplorer.usgs.gov (accessed on 20 July 2022). Four images of Landsat 8 Band 10 ST data from 2017 to 2019 with less than 5% cloud cover were selected to obtain LST in four seasons (Table 1). Landsat Collection 2 Level-2 surface temperature measures Earth’s surface temperature in Kelvin. The spatial distribution of LST in Hangzhou’s central area was determined by converting these data into degrees Celsius (Figure 2). Data from places that were contaminated by clouds (white sections in the figure) were removed in accordance with the Level 2 Pixel Quality Band (Landsat 8-9 Collection 2 Level 2 Science Product Guide) to enhance image quality [51]. In the subsequent calculations, these LST values were treated as null data.
Table 1.
Landsat image used in this study.
Figure 2.
Land surface temperature distribution of the study area. (a) Spring, (b) summer, (c) autumn, and (d) winter (two-column fitting image, color online only).
2.2.2. Urban Morphology Data
UGS data were derived from the ZY-3 image. ZY-3 is the first civilian high-resolution stereo mapping satellite launched by China on 9 January 2012. The multispectral images of ZY-3 include blue (0.45–0.52 m), green (0.52–0.59 m), red (0.63–0.69 m), and near-infrared (0.77–0.89 m), with a resolution of 5.8 m [52]. The ZY-3 images in this study were acquired on July 18, 2018, at 10:34 AM local time. After preprocessing via radiometric calibration, atmospheric correction, and orthorectification, the NDVI technique was used to extract green space information from the multispectral data [53]. NDVI was calculated as
where RED is visible red reflectance, and NIR is near-infrared reflectance. The whole UGS extraction process was performed in eCognition 9.0 software. Various NDVI threshold values (0.1–0.5) were used to extract optimal results, and the value of 0.3 was determined to be the most accurate among all values after a comparison with Google Earth images. The UGS distribution of the study area is shown in Figure 3a.
Figure 3.
Urban morphology of the study area. It depicts the distribution of the following elements: (a) UGS, (b) building footprints, and (c) blocks and streets.
From Baidu Map, 3DBF data for 2018 were obtained (https://map.baidu.com/). These data included building footprints and floor numbers, which were all vector data. The data on building footprints were validated by comparing them with the ZY-3 image, and they met the needs of this research. On the basis of the assumption that each floor has a constant height of 3 m [44], the number of floors in each building was multiplied by 3 m to derive the building heights, as shown in Figure 3b.
Open Street Map (https://www.openstreetmap.org) road networks were utilized to divide the study area into road-based blocks. Five types of roads, namely, trunk, primary, secondary, tertiary, and unclassified, were considered in this division [30]. The process resulted in 1558 road-based blocks, which provide a sufficient sample size for nonparametric models to avoid overfitting.
2.2.3. Computation of Urban Morphological Factors
To examine how urban morphology influences LST distribution, we selected a comprehensive set of 2D/3D urban morphological factors on the basis of previous studies and the following criteria: (1) theoretical and practical importance, (2) widespread usage, and (3) low correlation among factors. Each factor was calculated using the data mentioned in Section 2.2.2, with road-based blocks serving as the basic unit. In total, 17 factors were considered (reduced from 22 factors after multicollinearity detection; Section 2.3.1).
These factors were grouped into three main categories: UGS (landscape composition and configuration of urban green spaces), 3DBF (3D shape and area metrics of building factors), and ECS (distance from extra-block cold sources to urban blocks). The calculation methods for these factors are given in detail in Table 2.
Table 2.
Urban morphological factors analyzed in this study.
For the intra-block factors, UGS features were described using landscape metrics, which are quantitative indicators that offer a comprehensive overview of landscape composition and spatial configuration. These metrics allow for the evaluation of the landscape profile at the scale of the study unit by assessing its area, totality, fragmentation, and boundary complexity [54]. All landscape pattern indices for UGS were calculated using the R extension package “landscapemetrics”. Moreover, 3DBF data were quantified based primarily on the area, height, and floor numbers of the buildings.
For the extra-block factors, the influence of the two most prominent cold sources in Hangzhou, namely, Xihu Scenic Interest Area and Qiantang River, was examined. The distance between the geometric center of each road-based block and each cold source was calculated to quantify these factors. All factors were computed using ArcGIS Pro 2.5.
2.3. Statistical Analysis
2.3.1. Multicollinearity Detection
Multicollinearity is characterized by a high correlation between two or more predictor variables in a multiple regression model. It can render some variables statistically insignificant when they should be significant [55]. Therefore, redundant variables must be removed to reduce multicollinearity before performing regression analysis. For the detection of multicollinearity in this study, variance inflation factors (VIFs) were calculated using the following formula:
where is the coefficient of determination for regressing the ith predictor variable on the remaining ones. If = 0, which indicates that the ith predictor variable is not correlated with the other predictor variables, the value will be 1. This value indicates the absence of multicollinearity. The VIF value increases as R2 increases, and when VIF does not exceed 5, the multicollinearity between variables is considered small [55].
After multicollinearity detection, the 22 original predictor variables were reduced to 17 (Table A2). At this stage, the VIF values of all the predictor variables were smaller than 3.6. Moreover, the explanatory power of percentage of landscape (PLAND) for LST changed from insignificant (p > 0.05) to significant (p < 0.05). This result indicates that if multicollinearity is not addressed, the explanatory power of PLAND will be overshadowed by other variables.
2.3.2. Stacked Ensemble Models
Stacking involves training a new learning algorithm to combine predictions from several different base models. After the training of the base models, a meta-algorithm is used to make a final prediction on the basis of the predictions of the base models. Stacked ensembles can combine strong, diverse sets of learners and often outperform individual base learners [49]. The stacked ensemble models built in this study consisted of four base models: generalized linear model (GLM) [56], (2) RF [57], (3) BRT [58], and (4) deep neural network (DNN) [59]. On the basis of the four models, a meta-analysis was conducted using GLM.
In addition to the stacked ensemble model, three other models were included for comparison: a traditional parametric model (MLR) and two popular nonparametric models (RF and BRT). The coefficient of determination (R2) and root-mean-square error (RMSE) were utilized as metrics to quantify the performance of the models.
We split the data into two parts, namely, 70% for training and 30% for testing, to avoid data leakage, which occurs when the same dataset is used for training and testing. A stratified sampling procedure was applied to ensure that the training and testing sets had a similar data distribution [60]. Furthermore, a fivefold cross-validation method was implemented three times to adjust the hyperparameters (using a grid search method) of the nonparametric models and prevent overfitting [61]. The grid-searched range of hyperparameters used in each model is listed in Table A3.
2.3.3. Model Interpretation
Nonparametric models, such as RF, BRT, and stacked ensembles, are often described as opaque or enigmatic because of their intricate algorithms. Although these models are accurate in predicting nonlinear, faint, or rare phenomena, they are not straightforward or easy for humans to understand [62]. Interpretation algorithms were employed in this study to gain a deep understanding of the relationship between urban morphological factors and LST. The effects of urban morphological factors on LST were analyzed from two perspectives: importance and marginal effects.
The permutation-based feature importance method was utilized to identify the factor exerting the most substantial influence on LST. The decrement in model accuracy, as an indicator of importance, was quantified after the random alteration of the values of a specific predictor variable. This procedure disrupts the association between the predictor and target variable, thereby indicating the reliance of the model on the predictor [57].
Individual conditional expectation (ICE) curves and partial dependence plots (PDPs) were used to demonstrate the independent effects of urban morphological factors on LST. An ICE plot shows how the prediction of each instance varies when a feature is changed, and a PDP shows the average of all lines in the ICE plot. A line (an instance) of ICE can be computed by keeping all other features unchanged, replacing the value of the feature with values from a grid, and making predictions for these newly created instances by using the black box model [63]. Analysis of the two graphical representations can reveal complex correlation patterns between urban morphological factors and LST.
The statistical analysis was conducted using R programming language. Table 3 presents the detailed extension packages used at each analytical stage. Figure 4 is the flowchart of the whole analysis process.
Table 3.
R packages used in the statistical analysis.
Figure 4.
Research framework.
3. Results
3.1. Model Performance Comparison
The objective of this study was to determine the influence of various urban morphological factors on the spatial variance of LST. Stacked ensemble models were constructed using intra- and extra-block urban morphological factors (Table 2) as independent variables and LST as the dependent variable. The stacked ensemble models were compared with other popular models, including MLR, RF, and BRT. Figure 5a shows the results of the RMSE comparison, and Figure 5b presents the results of the R2 comparison.
Figure 5.
Model performance comparison. The comparisons are based on the following metrics: (a) RMSE and (b) R2.
Comparison of model performance across different seasons showed that among the considered models, the stacked ensemble models demonstrated the highest accuracy and outperformed all other models in all seasons and metrics, except for the R2 value in winter. By contrast, the linear model (MLR) performed much worse than the non-parametric models (RF, BRT, and stacked ensemble) did in terms of RMSE and R2. The prediction error (RMSE) of the stacked ensemble models ranged from 0.941 °C to 1.472 °C on the basis of unseen data, and the lowest value occurred in autumn. The R2 results indicated that the stacked ensemble models could explain 46.5%–56.8% of the variation in LST, and the highest value was observed in spring.
3.2. Variable Importance Ranking
On the basis of the stacked ensemble models, all predictor variables included in this regression model (listed in Table 2) were ranked by importance from the highest to the lowest. Figure 6 illustrates the results across four seasons, and the six most important factors in each season are highlighted in red. The analysis revealed that LST was considerably influenced by UGS, buildings, and ECSs to varying degrees. Building density (BD), mean building height (MBH), building height standard deviation (BHsd), PLAND, distance to Qiantang River (D_Qiantang), and distance to Xihu Scenic Interest Area (D_Xihu) were the most prominent contributors to the spatial heterogeneity of LST across all seasons, but their effects varied seasonally.
Figure 6.
Permutation-based importance value for each predictor variable in (a) spring, (b) summer, (c) autumn, and (d) winter (two-column fitting image; color online only). Red dots represent important factors; blue dots represent less important factors.
Among the factors, BD had the greatest effect on LST during spring. In summer, D_Qiantang was the dominant factor, and in autumn and winter, MBH exerted the strongest influence. The spatial distribution of LST was markedly affected by the extra-block factors, such as the Qiantang River and the Xihu Scenic Interest Area. By contrast, the UGS landscape pattern indices, including PD, LSI, and cohesion, had relatively weak effects.
3.3. Correlation Patterns
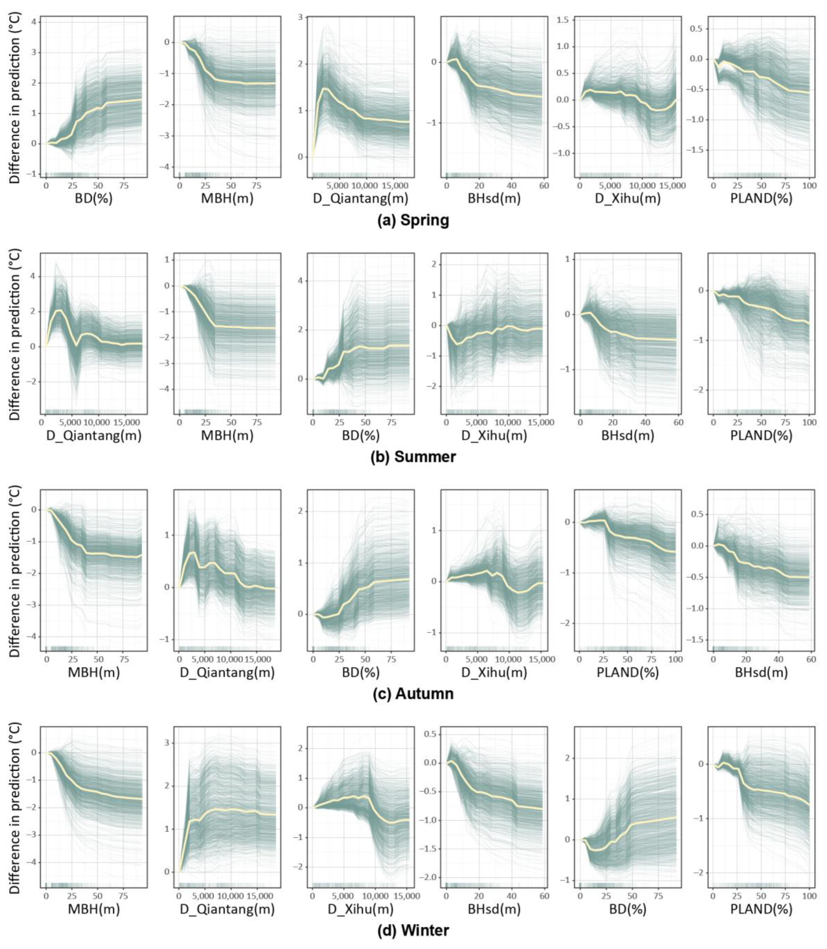
ICE plots and PDPs were employed to illustrate the nonlinear correlation between urban morphological factors and LST in all seasons. The ICE plots and PDPs of the six most influential factors obtained based on the stacked ensemble models are presented in Figure 7. The results indicate that the factors could be divided into two categories: season-stable and season-varying factors.
Figure 7.
ICE plots and PDPs of the six most important factors for LST in different seasons. (a) Spring, (b) summer, (c) autumn, and (d) winter. The ICE plots of each observation (road-based blocks) are displayed as thin blue lines, and their initial values are set to zero to facilitate comparisons across blocks. The PDPs are represented by thick yellow lines. A PDP is the average of the lines of an ICE plot. In each subplot, the horizontal coordinates correspond to the values of urban features, and the vertical coordinates correspond to variations in predicted values as a result of stacked ensemble models. Both coordinates show the correlation pattern between urban features and LST. The X-axis spikes indicate the distribution of data, and predictions with sparse distributions have low accuracy.
Given that MBH, BHsd, and PLAND exerted nearly the same influence on LST across all four seasons, they were considered to be season-stable factors. The three factors showed negative correlations with LST. Among them, MBH had the largest effect on LST, with independent effects ranging from −1.2 °C to −1.7 °C. The curve for MBH was steep when its value was less than 30 m and became flat thereafter. In comparison, BHsd demonstrated a linear relationship. In spring, summer, and fall, the correlation between vegetation cover and LST was nearly linear, and in winter, the curve exhibited some stepping.
BD, D_Qiantang, and D_Xihu were considered season-varying factors. BD showed a positive correlation with LST, with a concave downward curve in spring, summer, and autumn. Its warming effect on the surface ceased to be prominent when its value exceeded 50%. In winter, however, BD values below 10% showed a slightly decreasing curve. Moreover, ECS had a considerable cooling effect on the blocks, with Qiantang River reducing block temperatures by up to 2 °C in the summer months. D_Qiantang demonstrated a positive correlation with LST within approximately 2500 m, suggesting that Qiantang River considerably cooled the blocks within this distance. Beyond 2500 m, the effect of D_Qiantang varied by season. The cooling effect of the Xihu Scenic Interest Area on neighborhoods was complex and not highly pronounced in spring and summer, but it gradually reduced temperatures in neighborhoods within 10 km in autumn and winter.
4. Discussion
4.1. Relative Importance of Urban Morphological Factors to LST
Urban morphology profoundly affects surface energy balance and the spatial distribution of LST [32,42,64]. However, a comprehensive assessment of the influence of urban morphological factors, particularly external ones, is lacking. This study addresses this gap by conducting an integrated analysis of intra- and extra-block factors by using stacked ensemble models to compare the importance of the factors and determine their nonlinear correlations with LST.
Recent studies have synthesized and discussed the importance of intra-block urban morphological factors. Most studies agree that BD or building coverage is the most important among all influencing factors in spring, summer, and autumn, as reported in studies conducted in Beijing [26], Wuhan [42], Shanghai [32], and Xi’an [30]. These findings align with the results of our study in spring. However, in our study, D_Qiantang, not BD, was the primary factor in summer. In the three other seasons, D_Qiantang also ranked first among the top three factors, indicating that external and internal factors are critical to the spatial distribution of LST. Furthermore, compared with the external factors, the building factors (BD, BH, and BHsd), vegetation cover, and the landscape configuration and diversity metrics of UGS had less influence on LST. This result is consistent with those of previous studies [13,28,31] and implies that the “area” and “volume” rather than the “shape” of urban form elements must be altered to reduce LST.
4.2. Vegetation and 3DBF
Dense buildings can store abundant heat and produce minimal evapotranspiration [65]. Increased BD also leads to a rise in anthropogenic heat production [66]. In this study, BD was generally positively correlated with LST, a result that aligns with those of numerous previous studies. Furthermore, the correlation between BD and LST exhibited a concave downward curve. Recent studies have reported similar patterns [16,27,30,31,33,42,44]. This finding indicates that the relationship between BD and LST is not linear; when BD exceeds a certain threshold (approximately 60% in our study), further increments have a negligible effect on LST. In this study, when BD was less than 20% in winter, BD showed a transient negative correlation with LST. This phenomenon may be attributed to Hangzhou’s low solar altitude angle during winter months, resulting in large building shadows. Consequently, as BD increases during this period, the expanded shadow areas exert a cooling effect that outweighs the warming effect, leading to a temperature decrease.
Throughout all seasons in this study, MBH in the street-based block was negatively correlated with LST because tall buildings create large shadow areas, resulting in cooling effects [67]. The correlation curves exhibited a concave upward trend, indicating that when MBH exceeds approximately 30 m, further increments seldom lead to a reduction in LST. These curve shapes are consistent with those in previous studies [16,31,32,42]. Two potential reasons account for the flattened tails of these curves. First, increased building heights trap abundant energy in urban street canyons, making neighborhoods increasingly warm [68]. Second, the ground area is finite, and the shadow area of a building cannot expand indefinitely. Thus, when building height reaches a certain threshold, further increments do not remarkably increase the shaded area, resulting in no further reduction in LST. Furthermore, air circulation is enhanced when BHsd is large [26]. In this study, BHsd was negatively related to LST in all four seasons, a result that is consistent with those of previous studies [27].
A negative relationship was found between PLAND and LST, indicating that the abundant vegetation planted in the block could reduce LST. This result is in accord with universal expectations [7,28,29,30]. The reason for this cooling effect is that when plants perform photosynthesis, they evaporate water from their leaves. During this process, vegetation can lower its temperature as well as the temperature of the surrounding environment [31].
4.3. External Cold Sources
Through evapotranspiration from vegetation and water bodies, ECSs (e.g., parks, water bodies, and large natural landscapes) can effectively lower their temperature and that of their surroundings [69]. Although their effects have been extensively studied, they were rarely included in comprehensive investigations and compared with other influencing factors. According to the findings of this study, in addition to the area and 2D/3D shape of buildings and green spaces inside blocks, large rivers and natural scenic areas (D_Qiantang and D_Xihu) also considerably influenced the LST distribution in the study area. Other studies that concentrated exclusively on the cooling effects of water bodies have found that large water bodies can effectively reduce the temperature of the surrounding areas, and the direct cooling distance can reach 400 m [38,70]. In our study, the cooling distance was approximately 2500 m, and after this point, the correlation patterns started to become unstable. This result may be due to the fact that we used street-based blocks as the basic unit of analysis. In our calculation, the cooling distance was determined by the distance between the center of the blocks and the Qiantang River. Therefore, it was increased by the size of the blocks. Alternatively, we can say that large bodies of water can exert a cooling effect on blocks within a distance of 2500 m. The effect of Xihu Lake Scenic Area on the surrounding area was not as clear as that of Qiantang River, and no uniform pattern was observed in the four seasons. By contrast, a complex situation was noted, and it made the results of the study unclear. However, in general, a cooling effect was exerted on the periphery. Qiantang River is flanked by urban areas to the north and south. Xihu Lake Scenic Area is surrounded by Xixi Wetland to the northwest, Qiantang River to the south, and the main urban area to the east (Figure 1). Thus, its spatial composition does not follow a consistent pattern in different directions, and this may have contributed to the unstable predictions made by the model.
4.4. Implications for Urban Planning and Management
Unlike grid-based studies, this study used street-based blocks as a basic unit, which is appropriate for practical urban design applications. The results provide feasible solutions for reducing the effects of UHIs through urban design. The first step is to position the urban center area close to major rivers or other scenic areas while protecting the integrity of the natural landscape. Second, BD should be reduced and maintained within a certain range (<25% is the optimal range) while increasing building heights and combining multiple building heights to increase surface roughness. The third step is to increase the coverage of green spaces, whether on the street or on the roof. Last, the first three points should be prioritized over the shape and distribution of green spaces. As a city located in a subtropical humid climate zone, Hangzhou is known for its high level of urbanization. On the basis of the findings of this study, the quality of thermal environments in similar cities may be improved. This work can also serve as a guideline for improving thermal comfort in other urban areas.
4.5. Limitations and Future Research
To examine the nonlinear correlation between 2D/3D urban morphology and LST in an integrated manner, this study adopted stacked ensemble models with street-based blocks as the basic unit of analysis. However, the results may not be fully accurate due to data inaccuracies, random influences, model limitations, and the challenge of handling multicollinearity. To mitigate multicollinearity, we used VIF detection to remove several factors. Some well-studied variables, such as the sky view factor [71], had to be excluded due to their strong correlation with other variables, which, to some extent, narrowed the scope of the study. Despite this removal, weak correlations may still exist between certain factors. For instance, an increase in BD could reduce the PLAND of vegetation, a relationship the model may overlook as it assumes the explanatory variables are independent. It should be noted that although they are more accurate, stacked ensemble models are based on several base models and are, hence, time-consuming. If they are trained on fewer observations, it could lead to overfitting. In addition, although PDPs can visualize nonlinear correlations, they are the results of model predictions obtained by replacing the values of variables. As a result, some uncertainties may arise from limitations in model accuracy. A further limitation is the reliance on a single satellite image for analysis. While this approach has been commonly used, future studies could enhance accuracy by utilizing cloud computing techniques to integrate multiple images. However, such integration could introduce biases, as the images may be captured under different meteorological conditions. While Landsat satellite data have been widely used in LST-related studies, they are available only at fixed times [30]. Future research should consider the impact of intra- and extra-block urban morphology on LST at different times of the day, provided more advanced satellite imagery becomes available.
5. Conclusions
In this study, new stacked ensemble models were employed to examine the effects of urban morphology on LST across four seasons in the central area of Hangzhou City. Unlike previous studies that focused on intra-block morphological factors, this research investigated the synergistic effects of factors within and outside street-based blocks. Five key conclusions were obtained. (1) The stacked ensemble models outperformed RF, BRT, and MLR in predicting LST, with a minimum RMSE of 0.941 in autumn and a maximum R2 of 0.568 in spring. (2) Urban morphology considerably affected LST. It accounted for 46.5%–56.8% of the variation in LST, and the highest contribution was observed in spring. (3) Extra-block urban morphological factors, along with BD, MBH, BHsd, and PLAND, ranked among the top six contributors to LST across all four seasons, exerting a dominant influence on LST. In contrast, landscape configuration and diversity metrics of urban green spaces, such as PD, LSI, and other related variables, ranked outside the top six, indicating their relatively minor impact on LST. (4) Among the intra-block factors, BD was positively correlated with LST, while PLAND, MBH, and BHsd were negatively correlated with LST across all four seasons. In spring, BD had the greatest effect, raising LST by up to 1.5 °C. In autumn and winter, MBH reduced LST by up to 1.5 °C and 2 °C, respectively, demonstrating a strong shadowing effect. (5) The extra-block factors exerted a remarkable cooling effect on LST across all seasons, and the most pronounced effect was observed during summer. For instance, Qiantang River could cool its surrounding blocks by up to 2 °C, with the cooling influence extending approximately 2500 m from the river edge to the block geometry center throughout the year. These findings provide new insights into the effects of urban morphology inside and outside urban blocks on LST and can serve as a reference for understanding the UHI effect and establishing mitigation strategies. Future research should consider expanding the study to cities in diverse climatic regions to examine whether variations in climate affect these correlations. Furthermore, the influence of additional extra-block factors, such as the local climate zones adjacent to the study block, warrants further investigation.
Author Contributions
Conceptualization, H.W.; methodology, Q.W.; software, Q.W.; validation, H.W.; resources, Y.X.; writing—original draft preparation, Y.X.; writing—review and editing, Q.W.; funding acquisition, L.R. All authors have read and agreed to the published version of the manuscript.
Funding
This research was financially supported by the National Natural Science Foundation of China (No. 52208019).
Data Availability Statement
Data will be made available upon request.
Acknowledgments
The authors would like to thank the editors and the anonymous reviewer whose constructive comments will help to improve the presentation of this paper.
Conflicts of Interest
The authors declare no conflicts of interest.
Appendix A
Table A1.
Abbreviation list.
Table A2.
Multiple linear regression results before and after the deletion of redundant predictor variables on the basis of VIF values.
Table A3.
Model list.
References
- Oke, T.R. The energetic basis of the urban heat island. Q. J. R. Meteorol. Soc. 1982, 108, 1–24. [Google Scholar] [CrossRef]
- Ho, J.Y.; Shi, Y.; Lau, K.K.L.; Ng, E.Y.Y.; Ren, C.; Goggins, W.B. Urban heat island effect-related mortality under extreme heat and non-extreme heat scenarios: A 2010–2019 case study in Hong Kong. Sci. Total Environ. 2023, 858, 159791. [Google Scholar] [CrossRef] [PubMed]
- Masson-Delmotte, V.; Zhai, P.; Pirani, A.; Connors, S.L.; Péan, C.; Berger, S.; Caud, N.; Chen, Y.; Goldfarb, L.; Gomis, M.I. Climate change 2021: The physical science basis. In Contribution of Working Group I to the Sixth Assessment Report of the Intergovernmental Panel on Climate Change; Cambridge University Press: Cambridge, UK; New York, NY, USA, 2021; p. 2. [Google Scholar] [CrossRef]
- Santamouris, M.; Cartalis, C.; Synnefa, A.; Kolokotsa, D. On the impact of urban heat island and global warming on the power demand and electricity consumption of buildings—A review. Energy Build. 2015, 98, 119–124. [Google Scholar] [CrossRef]
- Manoli, G.; Fatichi, S.; Schläpfer, M.; Yu, K.; Crowther, T.W.; Meili, N.; Burlando, P.; Katul, G.G.; Bou-Zeid, E. Magnitude of urban heat islands largely explained by climate and population. Nature 2019, 573, 55–60. [Google Scholar] [CrossRef] [PubMed]
- Nejat, P.; Jomehzadeh, F.; Taheri, M.M.; Gohari, M.; Abd Majid, M.Z. A global review of energy consumption, CO2 emissions and policy in the residential sector (with an overview of the top ten CO2 emitting countries). Renew. Sustain. Energy Rev. 2015, 43, 843–862. [Google Scholar] [CrossRef]
- Logan, T.M.; Zaitchik, B.; Guikema, S.; Nisbet, A. Night and day: The influence and relative importance of urban characteristics on remotely sensed land surface temperature. Remote Sens. Environ. 2020, 247, 111861. [Google Scholar] [CrossRef]
- Battista, G.; Evangelisti, L.; Guattari, C.; De Cristo, E.; De Lieto Vollaro, R.; Asdrubali, F. An Extensive Study of the Urban Heat Island Phenomenon in Rome, Italy: Implications for Building Energy Performance through Data from Multiple Meteorological Stations. Int. J. Sustain. Dev. Plan. 2023, 18, 3357–3362. [Google Scholar] [CrossRef]
- Li, Y.; Yang, T.; Zhao, G.; Ma, C.; Yan, Y.; Xu, Y.; Wang, L.; Wang, L. A Systematic Review of Studies Involving Canopy Layer Urban Heat Island: Monitoring and Associated Factors. Ecol. Indic. 2024, 158, 111424. [Google Scholar] [CrossRef]
- Cheela, V.R.S.; John, M.; Biswas, W.; Sarker, P. Combating Urban Heat Island Effect—A Review of Reflective Pavements and Tree Shading Strategies. Buildings 2021, 11, 93. [Google Scholar] [CrossRef]
- Eludoyin, O.M.; Adelekan, I.O.; Webster, R.; Eludoyin, A.O. Air temperature, relative humidity, climate regionalization and thermal comfort of Nigeria. Int. J. Climatol. 2014, 34, 2000–2018. [Google Scholar] [CrossRef]
- Scott, A.A.; Zaitchik, B.; Waugh, D.W.; O’Meara, K. Intraurban Temperature Variability in Baltimore. J. Appl. Meteorol. Climatol. 2017, 56, 159–171. [Google Scholar] [CrossRef]
- Peng, J.; Jia, J.; Liu, Y.; Li, H.; Wu, J. Seasonal contrast of the dominant factors for spatial distribution of land surface temperature in urban areas. Remote Sens. Environ. 2018, 215, 255–267. [Google Scholar] [CrossRef]
- Ayanlade, A. Seasonality in the daytime and night-time intensity of land surface temperature in a tropical city area. Sci. Total Environ. 2016, 557–558, 415–424. [Google Scholar] [CrossRef] [PubMed]
- Li, T.; Huang, X.; Guo, H.; Hong, T. Contribution and Marginal Effects of Landscape Patterns on Thermal Environment: A Study Based on the BRT Model. Buildings 2024, 14, 2388. [Google Scholar] [CrossRef]
- Han, D.; An, H.; Wang, F.; Xu, X.; Qiao, Z.; Wang, M.; Sui, X.; Liang, S.; Hou, X.; Cai, H.; et al. Understanding seasonal contributions of urban morphology to thermal environment based on boosted regression tree approach. Build. Environ. 2022, 226, 109770. [Google Scholar] [CrossRef]
- Li, J.; Song, C.; Cao, L.; Zhu, F.; Meng, X.; Wu, J. Impacts of landscape structure on surface urban heat islands: A case study of Shanghai, China. Remote Sens. Environ. 2011, 115, 3249–3263. [Google Scholar] [CrossRef]
- Sun, Y.; Gao, C.; Li, J.; Wang, R.; Liu, J. Quantifying the Effects of Urban Form on Land Surface Temperature in Subtropical High-Density Urban Areas Using Machine Learning. Remote Sens. 2019, 11, 959. [Google Scholar] [CrossRef]
- Yuan, F.; Bauer, M.E. Comparison of impervious surface area and normalized difference vegetation index as indicators of surface urban heat island effects in Landsat imagery. Remote Sens. Environ. 2007, 106, 375–386. [Google Scholar] [CrossRef]
- Zhou, D.; Zhao, S.; Liu, S.; Zhang, L.; Zhu, C. Surface urban heat island in China’s 32 major cities: Spatial patterns and drivers. Remote Sens. Environ. 2014, 152, 51–61. [Google Scholar] [CrossRef]
- Estoque, R.C.; Murayama, Y.; Myint, S.W. Effects of landscape composition and pattern on land surface temperature: An urban heat island study in the megacities of Southeast Asia. Sci. Total Environ. 2017, 577, 349–359. [Google Scholar] [CrossRef]
- Zhou, W.; Qian, Y.; Li, X.; Li, W.-J.; Li, W.; Han, L. Relationships between land cover and the surface urban heat island: Seasonal variability and effects of spatial and thematic resolution of land cover data on predicting land surface temperatures. Landsc. Ecol. 2014, 29, 153–167. [Google Scholar] [CrossRef]
- Chen, A.; Yao, L.; Sun, R.; Chen, L. How many metrics are required to identify the effects of the landscape pattern on land surface temperature. Ecol. Indic. 2014, 45, 424–433. [Google Scholar] [CrossRef]
- Zhou, W.; Wang, J.; Cadenasso, M.L. Effects of the spatial configuration of trees on urban heat mitigation: A comparative study. Remote Sens. Environ. 2017, 195, 1–12. [Google Scholar] [CrossRef]
- Liu, Y.; Liu, Y.; Peng, J.; Wang, Y. Efficiency of landscape metrics characterizing urban land surface temperature. Landsc. Urban Plan. 2018, 180, 36–53. [Google Scholar] [CrossRef]
- Zhou, L.; Hu, F.; Wang, B.; Wei, C.; Sun, D.; Wang, S. Relationship between urban landscape structure and land surface temperature: Spatial hierarchy and interaction effects. Sustain. Cities Soc. 2022, 80, 103795. [Google Scholar] [CrossRef]
- Zeng, P.; Sun, F.; Liu, Y.; Tian, T.; Wu, J.; Dong, Q.; Peng, S.; Che, Y. The influence of the landscape pattern on the urban land surface temperature varies with the ratio of land components: Insights from 2D/3D building/vegetation metrics. Sustain. Cities Soc. 2022, 78, 103599. [Google Scholar] [CrossRef]
- Wu, W.-B.; Yu, Z.-W.; Ma, J.; Zhao, B. Quantifying the influence of 2D and 3D urban morphology on the thermal environment across climatic zones. Landsc. Urban Plan. 2022, 226, 104499. [Google Scholar] [CrossRef]
- Yu, S.; Chen, Z.; Yu, B.; Wang, L.; Wu, B.; Wu, J.; Zhao, F. Exploring the relationship between 2D/3D landscape pattern and land surface temperature based on explainable eXtreme Gradient Boosting tree: A case study of Shanghai, China. Sci. Total Environ. 2020, 725, 138229. [Google Scholar] [CrossRef]
- Yuan, B.; Zhou, L.; Dang, X.; Sun, D.; Hu, F.; Mu, H. Separate and combined effects of 3D building features and urban green space on land surface temperature. J. Environ. Manag. 2021, 295, 113116. [Google Scholar] [CrossRef]
- Wang, Q.; Wang, X.; Zhou, Y.; Liu, D.; Wang, H. The Dominant Factors and Influence of Urban Characteristics on Land Surface Temperature Using Random Forest Algorithm. Sustain. Cities Soc. 2022, 79, 103722. [Google Scholar] [CrossRef]
- Sun, F.; Liu, M.; Wang, Y.; Wang, H.; Che, Y. The effects of 3D architectural patterns on the urban surface temperature at a neighborhood scale: Relative contributions and marginal effects. J. Clean. Prod. 2020, 258, 120706. [Google Scholar] [CrossRef]
- Lu, H.; Li, F.; Yang, G.; Sun, W. Multi-scale impacts of 2D/3D urban building pattern in intra-annual thermal environment of Hangzhou, China. Int. J. Appl. Earth Obs. Geoinf. 2021, 104, 102558. [Google Scholar] [CrossRef]
- Feyisa, G.L.; Dons, K.; Meilby, H. Efficiency of parks in mitigating urban heat island effect: An example from Addis Ababa. Landsc. Urban Plan. 2014, 123, 87–95. [Google Scholar] [CrossRef]
- Peng, J.; Dan, Y.; Qiao, R.; Liu, Y.; Dong, J.; Wu, J. How to quantify the cooling effect of urban parks? Linking maximum and accumulation perspectives. Remote Sens. Environ. 2021, 252, 112135. [Google Scholar] [CrossRef]
- Zhou, Y.; Zhao, H.; Mao, S.; Zhang, G.; Jin, Y.; Luo, Y.; Huo, W.; Pan, Z.; An, P.; Lun, F. Studies on urban park cooling effects and their driving factors in China: Considering 276 cities under different climate zones. Build. Environ. 2022, 222, 109441. [Google Scholar] [CrossRef]
- Cao, B.; Chen, Q.; Du, M.; Cheng, Q.; Li, Y.; Liu, R. Simulation Analysis of the Cooling Effect of Urban Water Bodies on the Local Thermal Environment. Water 2022, 14, 3091. [Google Scholar] [CrossRef]
- Cheng, L.; Guan, D.; Zhou, L.; Zhao, Z.; Zhou, J. Urban cooling island effect of main river on a landscape scale in Chongqing, China. Sustain. Cities Soc. 2019, 47, 101501. [Google Scholar] [CrossRef]
- Zhou, W.; Huang, G.; Cadenasso, M.L. Does spatial configuration matter? Understanding the effects of land cover pattern on land surface temperature in urban landscapes. Landsc. Urban Plan. 2011, 102, 54–63. [Google Scholar] [CrossRef]
- Buyantuyev, A.; Wu, J. Urban heat islands and landscape heterogeneity: Linking spatiotemporal variations in surface temperatures to land-cover and socioeconomic patterns. Landsc. Ecol. 2010, 25, 17–33. [Google Scholar] [CrossRef]
- Guo, F.; Wu, Q.; Schlink, U. 3D building configuration as the driver of diurnal and nocturnal land surface temperatures: Application in Beijing’s old city. Build. Environ. 2021, 206, 108354. [Google Scholar] [CrossRef]
- Li, H.; Li, Y.; Wang, T.; Wang, Z.; Gao, M.; Shen, H. Quantifying 3D building form effects on urban land surface temperature and modeling seasonal correlation patterns. Build. Environ. 2021, 204, 108132. [Google Scholar] [CrossRef]
- Han, D.; An, H.; Cai, H.; Wang, F.; Xu, X.; Qiao, Z.; Jia, K.; Sun, Z.; An, Y. How do 2D/3D urban landscapes impact diurnal land surface temperature: Insights from block scale and machine learning algorithms. Sustain. Cities Soc. 2023, 99, 104933. [Google Scholar] [CrossRef]
- Li, Z.; Hu, D. Exploring the relationship between the 2D/3D architectural morphology and urban land surface temperature based on a boosted regression tree: A case study of Beijing, China. Sustain. Cities Soc. 2022, 78, 103392. [Google Scholar] [CrossRef]
- Lu, L.; Fu, P.; Dewan, A.; Li, Q. Contrasting determinants of land surface temperature in three megacities: Implications to cool tropical metropolitan regions. Sustain. Cities Soc. 2023, 92, 104505. [Google Scholar] [CrossRef]
- Wang, Q.; Wang, X.; Meng, Y.; Zhou, Y.; Wang, H. Exploring the impact of urban features on the spatial variation of land surface temperature within the diurnal cycle. Sustain. Cities Soc. 2023, 91, 104432. [Google Scholar] [CrossRef]
- Al-Rbaihat, R.; Saleh, K.; Malpress, R.; Buttsworth, D.; Alahmer, H.; Alahmer, A. Performance Evaluation of Supersonic Flow for Variable Geometry Radial Ejector through CFD Models Based on DES-Turbulence Models, GPR Machine Learning, and MPA Optimization. Int. J. Thermofluids 2023, 20, 100487. [Google Scholar] [CrossRef]
- Li, Z.; Zhang, C.; Liu, H.; Zhang, C.; Zhao, M.; Gong, Q.; Fu, G. Developing stacking ensemble models for multivariate contamination detection in water distribution systems. Sci. Total Environ. 2022, 828, 154284. [Google Scholar] [CrossRef]
- van der Laan, M.J.; Polley, E.C.; Hubbard, A.E. Super Learner. Stat. Appl. Genet. Mol. Biol. 2007, 6. [Google Scholar] [CrossRef]
- Peel, M.C.; Finlayson, B.L.; McMahon, T.A. Updated world map of the Köppen-Geiger climate classification. Hydrol. Earth Syst. Sci. 2007, 11, 1633–1644. [Google Scholar] [CrossRef]
- Landsat 8–9 Collection 2 Level 2 Science Product Guide | U.S. Geological Survey. (n.d.). Available online: https://www.usgs.gov/media/files/landsat-8-9-collection-2-level-2-science-product-guide (accessed on 24 August 2022).
- Ni, W.; Sun, G.; Ranson, K.J.; Pang, Y.; Zhang, Z.; Yao, W. Extraction of ground surface elevation from ZY-3 winter stereo imagery over deciduous forested areas. Remote Sens. Environ. 2015, 159, 194–202. [Google Scholar] [CrossRef]
- Bhandari, A.K.; Kumar, A.; Singh, G.K. Feature Extraction using Normalized Difference Vegetation Index (NDVI): A Case Study of Jabalpur City. Procedia Technol. 2012, 6, 612–621. [Google Scholar] [CrossRef]
- Chen, D.; Zhang, F.; Zhang, M.; Meng, Q.; Jim, C.Y.; Shi, J.; Tan, M.L.; Ma, X. Landscape and vegetation traits of urban green space can predict local surface temperature. Sci. Total Environ. 2022, 825, 154006. [Google Scholar] [CrossRef] [PubMed]
- Daoud, J.I. Multicollinearity and regression analysis. J. Phys. Conf. Ser. 2017, 949, 012009. [Google Scholar] [CrossRef]
- Nelder, J.A.; Wedderburn, R.W. Generalized linear models. J. R. Stat. Soc. Ser. A (General) 1972, 135, 370–384. [Google Scholar] [CrossRef]
- Breiman, L. Random Forests. Mach. Learn. 2001, 45, 5–32. [Google Scholar] [CrossRef]
- Friedman, J.H. Greedy Function Approximation: A Gradient Boosting Machine. Ann. Stat. 2001, 29, 1189–1232. [Google Scholar] [CrossRef]
- Montavon, G.; Samek, W.; Müller, K.-R. Methods for interpreting and understanding deep neural networks. Digit. Signal Process. 2018, 73, 1–15. [Google Scholar] [CrossRef]
- Trost, J.E. Statistically nonrepresentative stratified sampling: A sampling technique for qualitative studies. Qual. Sociol. 1986, 9, 54–57. [Google Scholar] [CrossRef]
- Refaeilzadeh, P.; Tang, L.; Liu, H. Cross-Valid. Encycl. Database Syst. 2009, 5, 532–538. [Google Scholar]
- Petch, J.; Di, S.; Nelson, W. Opening the Black Box: The Promise and Limitations of Explainable Machine Learning in Cardiology. Can. J. Cardiol. 2022, 38, 204–213. [Google Scholar] [CrossRef]
- Molnar, C. Interpretable machine learning. Lulu. com. 2020. Available online: https://www.amazon.com/Interpretable-Machine-Learning-Making-Explainable/dp/B09TMWHVB4 (accessed on 24 August 2022).
- Yang, C.; Zhu, W.; Sun, J.; Xu, X.; Wang, R.; Lu, Y.; Zhang, S.; Zhou, W. Assessing the effects of 2D/3D urban morphology on the 3D urban thermal environment by using multi-source remote sensing data and UAV measurements: A case study of the snow-climate city of Changchun, China. J. Clean. Prod. 2021, 321, 128956. [Google Scholar] [CrossRef]
- Liu, Y.; Xu, Y.; Weng, F.; Zhang, F.; Shu, W. Impacts of urban spatial layout and scale on local climate: A case study in Beijing. Sustain. Cities Soc. 2021, 68, 102767. [Google Scholar] [CrossRef]
- Stewart, I.D.; Oke, T.R. Local climate zones for urban temperature studies. Bull. Am. Meteorol. Soc. 2012, 93, 1879–1900. [Google Scholar] [CrossRef]
- Qi, J.-D.; He, B.-J.; Wang, M.; Zhu, J.; Fu, W.-C. Do grey infrastructures always elevate urban temperature? No, utilizing grey infrastructures to mitigate urban heat island effects. Sustain. Cities Soc. 2019, 46, 101392. [Google Scholar] [CrossRef]
- Oke, T.R.; Mills, G.; Christen, A.; Voogt, J.A. Urban Climates, 1st ed.; Cambridge University Press: Cambridge, UK, 2017. [Google Scholar] [CrossRef]
- Lai, D.; Liu, W.; Gan, T.; Liu, K.; Chen, Q. A review of mitigating strategies to improve the thermal environment and thermal comfort in urban outdoor spaces. Sci. Total Environ. 2019, 661, 337–353. [Google Scholar] [CrossRef]
- Tan, X.; Sun, X.; Huang, C.; Yuan, Y.; Hou, D. Comparison of cooling effect between green space and water body. Sustain. Cities Soc. 2021, 67, 102711. [Google Scholar] [CrossRef]
- Middel, A.; Lukasczyk, J.; Maciejewski, R.; Demuzere, M.; Roth, M. Sky View Factor footprints for urban climate modeling. Urban Clim. 2018, 25, 120–134. [Google Scholar] [CrossRef]
Disclaimer/Publisher’s Note: The statements, opinions and data contained in all publications are solely those of the individual author(s) and contributor(s) and not of MDPI and/or the editor(s). MDPI and/or the editor(s) disclaim responsibility for any injury to people or property resulting from any ideas, methods, instructions or products referred to in the content. |
© 2024 by the authors. Licensee MDPI, Basel, Switzerland. This article is an open access article distributed under the terms and conditions of the Creative Commons Attribution (CC BY) license (https://creativecommons.org/licenses/by/4.0/).






