You are currently on the new version of our website. Access the old version .
BuildingsBuildings
  • Article
  • Open Access

29 September 2024

Tensile Performance and Aging Increase Factor Constitutive Model of High-Strength Engineered Cementitious Composites under Sulfate Salt Attack

,
,
and
School of Civil Engineering, Architecture and Environment, Hubei University of Technology, Wuhan 430068, China
*
Author to whom correspondence should be addressed.
This article belongs to the Special Issue Advanced Research on Functional Cement-Based Composites

Abstract

This study investigates the uniaxial tensile behavior of high-strength engineered cementitious composites (HS-ECCs) in sulfate erosion environments. Five different sulfate erosion ages were established (0 days, 30 days, 60 days, 90 days, and 120 days), and the development of the macro-mechanical properties of HS-ECCs was revealed from a microscopic perspective using scanning electron microscopy (SEM). The results indicate that, under the influence of sulfate erosion, the strength of HS-ECCs exhibits a trend of initial increase followed by a decrease, while ductility shows a continuous decline. This phenomenon is primarily attributed to changes in the microstructure and reaction products. Based on the test results, an aging growth factor was introduced to fit the stress–strain curve, demonstrating that the model can effectively predict the tensile performance of HS-ECCs with greater accuracy compared to traditional models. This study not only provides data references for the engineering application of HS-ECCs in sulfate environments but also offers a novel approach for constructing predictive models in other environmental contexts.

1. Introduction

The durability of concrete is adversely affected by various factors, including reinforcement corrosion, carbonation, freeze-thaw damage, and erosion from aggressive media. Among these, a sulfate attack is one of the primary causes of deteriorating concrete durability. Due to the porous nature of concrete, when sulfate solutions penetrate through the pores into the matrix, they undergo physicochemical reactions with the hydration products of cement, generating deleterious compounds that cause an expansion and cracking. This significantly compromises the performance and integrity of concrete structures [1,2], leading to increased maintenance costs. Concrete structures face particularly severe challenges in sulfate-rich regions, such as areas with acidic groundwater, inland salt lakes, and saline–alkali soils. Therefore, enhancing the durability of buildings and structures has become an urgent global imperative. Previous studies have generally concluded that the brittle cracking of concrete facilitates the ingress of corrosive ions, which further deteriorates the internal structure of the concrete and reduces its durability [3,4]. Furthermore, research has demonstrated a direct correlation between the rate of ion erosion and the width of cracks in the material [5]. Narrow cracks (less than 100 μm) lead to slower ion erosion rates, and in some cases, the effect of smaller cracks on ion erosion may be minimal. However, ordinary concrete materials inevitably develop cracks due to their inherent brittleness under environmental and load conditions. In practical engineering, even with the incorporation of reinforcements to enhance ductility, the width and frequency of cracks formed during the failure of ordinary concrete remain difficult to control [6]. In this context, developing materials with crack-control capabilities and superior mechanical properties presents a promising approach to addressing the durability issues of concrete.
Engineered cementitious composites (ECCs), developed in recent decades, represent a novel type of concrete characterized by unique properties, also known as strain-hardening cementitious composites (SHCCs) [7,8] or ultra-high-toughness cementitious composites (UHTCCs) [9,10]. An ECC demonstrates pseudo-strain-hardening behavior and multiple cracking characteristics, with a tensile strain capacity exceeding 3%, which is 300–500 times greater than traditional concrete [11,12], and an average crack width of less than 100 μm [13,14]. An ECC’s superior crack control and durability contribute to mitigating deterioration in construction and structural integrity [15,16], making it highly promising for hydraulic engineering applications. However, conventional ECCs, compared to rapidly advancing fiber-reinforced concretes like ultra-high-performance concrete (UHPC) [17,18,19,20,21], suffer from lower strength, which limits their practical engineering applications. To enhance the strength of conventional ECCs, Ranade et al. [22,23] proposed high-strength engineered cementitious composites (HS-ECCs) based on micromechanical principles. An HS-ECC integrates high-strength properties similar to UHPC, with excellent ductility and crack-control capabilities comparable to conventional ECCs. As illustrated in Figure 1, an HS-ECC [24,25,26,27,28] exhibits superior overall performance compared to ordinary concrete [29,30,31], normal-strength ECCs [32,33,34,35,36,37], and UHPCs [17,18,19,20,21]. Many studies have also focused on the effects of sulfate environments on concrete materials. For instance, Xiang et al. [38] explored the impact of sulfate solution erosion on the mechanical properties of recycled aggregate engineered cementitious composites (RAECCs). They found that the uniaxial tensile strength and flexural strength of RAECC specimens initially increased and then decreased with prolonged exposure to the corrosive solution. Kou et al. [39] conducted experiments on high-toughness concrete subjected to sulfate solutions of varying concentrations and discovered that an increasing sulfate concentration exacerbated damage to the concrete. Over time, the compressive strength and mass of specimens at different concentrations initially increased before declining. Cang et al. [40] studied the mechanical properties and damage evolution of high-performance concrete (HPC) with different fly ash contents in magnesium sulfate environments. They reported that sulfate erosion increased the porosity of HPC, with the HPC containing 20% fly ash exhibiting the strongest resistance to magnesium sulfate attacks. While these studies provide valuable insights into the performance of ordinary-strength ECCs and other concrete materials under sulfate erosion, research specifically focused on the behavior of HS-ECCs in sulfate environments remains relatively scarce. Furthermore, there is limited literature addressing the development of constitutive models for the tensile stress–strain relationship of HS-ECCs under sulfate exposure.
Figure 1. A comparison of the mechanical properties of UHPC, HS-ECCs, ECCs, and ordinary concrete: (a) Ultimate tensile strength, (b) Tensile strain capacity, (c) Compressive strength.
An ECC’s uniaxial tensile stress–strain relationship reflects the failure process and deformation characteristics at various loading stages, representing ECCs’ most fundamental constitutive relationship and serving as a crucial basis for studying their structural capacity and deformation. Kanda et al. [41] proposed a bilinear model for PVA fiber-reinforced ECCs (PVA/ECCs), focusing on the elastic and strain-hardening stages. Li et al. [42] developed a trilinear model for the tensile stress–strain behavior of PVA/ECCs. While these simplify the complexity, they effectively capture the stress–strain relationship of ECCs. Many studies have utilized bilinear or trilinear models to establish stress–strain relationships for various ECC materials [43,44,45], with parameters being fit using experimental data. However, the limited sample size in most studies for model fitting may lead to insufficient accuracy and reliability of the models. To address this issue, this study introduces an Aging Increase Factor (AIF) based on the concept of dynamic constitutive models, establishing a mathematical relationship between the aging period and a specific model parameter through AIF (referred to as the AIF fitting method in the following text). Similar to the Dynamic Increase Factor (DIF) [46], the AIF is used to describe the ratio of a parameter value at a specific aging period to its value in an unaged state. Compared to directly using this model parameter as the dependent variable and aging time as the independent variable for fitting (referred to as the direct fitting method in the following text), employing AIF allows for a greater number of fitting samples under the same sample size conditions. This is because the ratio values from the samples significantly exceed the sample count, thereby enhancing the accuracy and precision of the parameter models within the constitutive model.
This study aimed to investigate the uniaxial tensile performance of HS-ECCs in sulfate-attack environments by designing five sulfate-exposure durations (0, 30, 60, 90, and 120 days). A comprehensive analysis was conducted on the effects of sulfate attacks on micro-cracking formation, tensile properties, erosion resistance, and the microstructure of HS-ECCs. Finally, based on the experimental results of tensile performance, two model-construction methods (i.e., direct fitting and AIF fitting) were employed to establish a tensile stress–strain constitutive model suitable for HS-ECCs, and a comparative analysis of both approaches was performed.

2. Materials and Methods

2.1. Materials

In this experiment, the preparation of HS-ECC specimens primarily involved P·O 52.5 Portland cement and silica fume, both produced by Hengyuan New Materials Co., Ltd., Changyuan, China. The chemical compositions of the Portland cement and silica fume are presented in Table 1. The microscopic morphology of the Portland cement and silica fume is depicted in Figure 2. Silica sand with a specification of 70~110 mesh (140~210 μm) was used. A highly effective polycarboxylic acid water reducer, produced by Hengchuang Chemical Co., Ltd., Shanghai, China, was employed, achieving a water-reduction effect greater than 25%. After referencing other studies on HS-ECCs [24,47], it was found that, at the same fiber volume fraction, a higher aspect ratio can create a larger fiber–matrix interfacial area, thereby enhancing the fiber bridging capacity, tensile strength, and strain capacity. Consequently, this study employed ultra-high-molecular-weight polyethylene (PE) fibers, produced by Tongyan Construction Technology Co., Ltd., Shanghai, China. The performance indicators of the PE fibers are listed in Table 2, and their specific morphology is illustrated in Figure 3. Analytical pure sodium sulfate (Na2SO4) was sourced from Dingshengxin Chemical Co., Ltd., Tianjin, China. The sulfate solution used in the experiment and the water for preparing the HS-ECCs were both sourced from Wuhan tap water.
Table 1. Chemical composition of raw materials (wt%).
Figure 2. SEM images of (a) cement and (b) silica fume.
Table 2. Performance index of PE fibers.
Figure 3. Morphology of PE fibers.

2.2. Specimen-Preparation and Tensile Testing Methods

The mixture proportions for the HS-ECC specimens are shown in Table 3, with the ratio of water/cementitious materials and the ratio of sand/cementitious materials set to 0.17 and 0.24, respectively. The PE fibers constitute 2.0% of the specimen volume, and the water reducer dosage was 1.0% of the cementitious materials. The preparation method for the HS-ECC specimens followed CECS 13-2009 [48]. Cement, silica fume, and silica sand were mixed dry in a mixer for 2 min. Subsequently, the water reducer and water were introduced, and mixing continued until a flowable slurry was formed. Following this, the PE fibers were incrementally incorporated, with mixing continuing for an additional 3 min to complete the final mixture. For each set of specimens and each aging period, 3 tensile specimens were prepared. After casting, the specimens were de-molded after 1 day and placed in a standard curing room (with a temperature of 20 ± 1 °C and at 96% humidity) for 28 days of curing.
Table 3. Mix proportions of HS-ECCs.
After the curing period was concluded, the specimens were tested for sulfate ion erosion by immersing them in a Na2SO4 solution with a mass fraction of 3.5%. The periods of sulfate ion erosion were set to 0 days, 30 days, 60 days, 90 days, and 120 days. (In the subsequent figures and tables, “days” will be abbreviated as “d”). To maintain a stable solution temperature and ensure the proper dissolution of the sulfate ions, a constant temperature curing tank was used, set to 30 °C. The erosion environment of the specimens is depicted in Figure 4. To maintain the concentration of the Na2SO4 solution, it was replaced every 7 days throughout the experiment. Once the specified sulfate erosion age was reached, the specimens were prepared for subsequent DIC testing. Digital Image Correlation (DIC) was primarily employed to monitor and measure the local strain distribution throughout the tensile process, allowing for the identification of strain in critical areas and providing corresponding strain maps. Prior to the uniaxial tensile test, the specimens were dried and uniformly sprayed with a layer of white paint, followed by a speckle pattern of black paint; the prepared specimens are shown in Figure 5. The entire tensile testing process was recorded using a high-definition camera and analyzed using MATLAB’s ncorr algorithm for DIC [49]. The uniaxial tensile testing followed the guidelines of GB/T 50081-2019 [50], utilizing a WDW-100C microcomputer-controlled electronic universal testing machine, produced by Shanghai Hualong Testing Instruments Co., Ltd. (Shanghai, China). The testing apparatus was set to control displacements at a rate of 0.4 mm/min. An electronic extensometer was positioned on the left side of the specimen, with a gauge length configured to 60 mm. The loading device used for uniaxial tensile testing and the dimensions of specimens are illustrated in Figure 6.
Figure 4. The erosion environment of the specimens.
Figure 5. Spray painting process for DIC specimens: (1) Initial state, (2) After treatment with White paint, (3) After treatment with black paint.
Figure 6. Tensile testing apparatus and dimensions of specimens.

2.3. Microscopic Experiments

SEM is used for the high-resolution analysis of microstructures by scanning samples with a focused beam of high-energy electrons, capturing physical data through material interactions. This information is gathered, magnified, and re-imaged to characterize material microstructures [51]. A TESCAN MIRA LMS SEM, from the Czech Republic, was used to analyze the HS-ECC microstructures. The samples, which were block-shaped with diameters and thicknesses of ≤5 mm, were dried at 60 °C for 24 h to prevent blurry images from moisture. The samples were then affixed with a conductive adhesive to the stage, vacuum-treated, and metal-coated for better conductivity, producing clearer, more precise microstructure images. The focal points of this experiment were the microstructure of the interface transition zone between PE fibers and the matrix, as well as the morphology of the matrix of an HS-ECC after a sulfate attack. Magnification ranged from 50× to 5000× for a detailed analysis.

3. Results

This section primarily analyzes the results of the uniaxial tensile tests and microstructural examinations conducted on the HS-ECCs. Tensile stress–strain curves were derived from tests on HS-ECC samples subjected to varying durations of sulfate erosion (0, 30, 60, 90, and 120 days). To further assess the tensile performance of HS-ECCs, the discussion focuses on the impact of sulfate erosion on the specimen’s failure morphology, tensile cracking strength, ultimate tensile strength, tensile strain capacity, strain energy density, and microstructural morphology. The test results and subsequent analysis provide valuable insights into the application of HS-ECCs in sulfate environments.

3.1. Tensile Failure Mode and Fracture Morphology

Under axial tensile loading, conventional concrete materials experience brittle failure due to their inherent brittleness, exhibiting failure modes only during the linear elastic and failure stages. In contrast, HS-ECCs, due to the bridging effect of PE fibers within the matrix, can continue to bear tensile loads even after reaching the cracking strength, resulting in a pseudo-strain-hardening phenomenon similar to that of metallic materials. Therefore, on a macroscopic level, an HS-ECC exhibits a longer failure duration, greater failure strain and stress, and generates more cracks. As shown in Figure 7, the tensile failure mode of HS-ECCs presents three stages. (1) The linear elastic stage: During this stage, the HS-ECC follows Hooke’s law, exhibiting a linear relationship between tensile stress and strain, with the axial tensile load being primarily supported by the cement-based matrix. At this point, no visible cracks appear on the surface of the specimen. As the axial tensile load continues to increase, reaching the tensile cracking strength of the material, the appearance of the first microcrack on the specimen’s surface marks the conclusion of the linear elastic phase. (2) The strain-hardening stage: As initial cracks form, multiple cracking begins in the tensile region of the specimen, accompanied by cracking sounds from the matrix, resulting in the formation of several microcracks. During this stage, the PE fibers primarily function to redistribute stress across the crack surfaces through their bridging effect, dissipating energy via pullout or rupture failure modes, thereby limiting further crack propagation. This strain-hardening stage continues until the crack density reaches saturation, which not only signifies the end of the bridging effect of the PE fibers and the attainment of the ultimate load-bearing capacity of HS-ECCs but also reflects the excellent crack control and energy absorption capabilities of HS-ECCs. (3) The softening stage: During this stage, the toughening effect of the PE fibers ceases to inhibit crack growth as the axial tensile stress approaches the ultimate tensile stress. The main crack forms and develops into a through crack during this stage, leading to specimen failure, as it can no longer sustain the load.
Figure 7. Tensile failure modes of HS-ECCs.
At the same time, as shown in Figure 7, we recorded the failure morphology of the HS-ECCs when it reached the ultimate tensile strain. The tensile failure morphology of the HS-ECCs is shown in Figure 8. Based on the relationship between the ultimate tensile strain and the number of cracks, we calculated the crack width (Wa) for the bone-shaped specimens at the ultimate tensile strain using Equation (1) [52,53]. The relationship curves depicting the changes in the average crack width and the average number of cracks with varying periods of sulfate exposure are illustrated in Figure 8.
Wa = L × εu/N
Figure 8. The failure morphology of HS-ECCs.
In the above equations, L represents the gauge length between the displacement sensors on the left side of the bone-shaped tensile specimen in the uniaxial tensile test, specifically, 60 mm; N denotes the average number of cracks on both faces of the specimen within the gauge length of the displacement sensors; and εu stands for the ultimate tensile strain.
According to Figure 8 and Figure 9, significant changes in the crack formations in the HS-ECCs were observed as the duration of sulfate erosion increased, particularly in terms of a reduction in the crack number and width. The average crack number in the HS-ECCs exhibited a decreasing trend after sulfate exposure; compared to the specimens without sulfate erosion (0 days), the average crack numbers decreased by 15.4% (30 days), 25.0% (60 days), 38.5% (90 days), and 50.0% (120 days) in the respective groups. Conversely, the average crack width showed an increasing trend following sulfate erosion; when compared to the 0-day specimens, the average crack widths increased by 1.8% (30 days), 5.0% (60 days), 15.5% (90 days), and 26.0% (120 days) in the respective groups. The formation of cracks was largely influenced by the bridging effect of the PE fibers. The primary reason for these phenomena is the sensitivity of HS-ECCs to sulfate-induced embrittlement. Sulfate ions infiltrate the matrix and react with the hydration products of cement, generating expansive erosive products. These products accumulate and expand over time, filling the interfacial regions between the fibers and the matrix. This leads to an excessive bonding strength between the PE fibers and the matrix, shifting the failure mode of the fibers from a pullout failure to a fracture failure. At the microscopic level, while a fracture failure maximizes the performance of fibers, its energy absorption and stress redistribution efficiency are lower than that of a pullout failure. Consequently, the macro results indicate that the embrittlement caused by sulfate erosion led to a reduction in material ductility [54], resulting in a decrease in the crack number and an increase in the crack width. A detailed description and analysis of the microstructure between the PE fibers and the cementitious matrix will be provided in Section 3.3.
Figure 9. Average crack width and average number of cracks.
Using the ncorr algorithm in MATLAB, the damage morphology under various strain levels of the specimens was analyzed and processed to obtain DIC strain cloud maps for each group of HS-ECCs, as shown in Figure 10. The first strain level represents the strain corresponding to the elastic limit, uniformly set to 0.5%. The second strain level indicates half of the ultimate tensile strain, while the third strain level corresponds to the strain at the ultimate load-carrying capacity state. At the first strain level, initial cracks were observed in all groups of HS-ECCs, along with two lighter-colored strain bands. At this stage, no substantial differences were observed among the groups. However, as the load increased, the fibers in each group of HS-ECCs began to exhibit bridging effects, absorbing energy and causing stress redistributions. Notably, the HS-ECC specimens aged for 120 days show significant deterioration, with noticeable decreases in ductility and toughness and less distinct features of multiple crack formations. In contrast, specimens from the 0-day and 60-day age groups exhibited larger areas of cracking, with the 0-day specimens being uniformly occupied by strain fields and the 60-day specimens displaying deeper strain colors, indicating a superior energy absorption capacity. These DIC results indicate that with increasing sulfate-attack aging periods, the number of matrix cracks in HS-ECCs increases while ductility decreases, although toughness initially increases and then decreases. A sulfate attack induces embrittlement in HS-ECCs, while the hydration products generated within a certain aging period can enhance the matrix’s density, thereby improving the tensile strength and energy absorption capacity. However, when the aging period reaches 120 days, an excessive product expansion disrupts the microstructure of the matrix, further deteriorating the mechanical performance.
Figure 10. DIC strain maps.

3.2. Stress–Strain Curves and Tensile Performance Analysis

The stress–strain curves of the HS-ECC specimens under different aging periods of sulfate attacks are shown in Figure 11, and the variation trends of the average tensile properties with the aging periods are illustrated in Figure 12. The results indicate that with increasing sulfate-attack aging periods, the ultimate tensile strength and strain energy density of HS-ECCs exhibited the trend of an initial increase followed by a decrease, reaching their maximum values at 90 days of aging. Compared to the non-attacked HS-ECC, the ultimate tensile strength increased by approximately 22.41% (30 days), 43.01% (60 days), 65.67% (90 days), and 40.29% (120 days), while the strain energy density increased by about 4.88% (30 days), 9.75% (60 days), and 10.12% (90 days) and decreased by −15.15% (120 days). In contrast to the variations in the ultimate tensile strength and strain energy density, the ultimate tensile strain of the HS-ECCs decreased gradually with increasing aging periods. Compared to the non-attacked HS-ECC, each group experienced reductions of approximately 13.91% (30 days), 21.25% (60 days), 28.84% (90 days), and 36.97% (120 days) in the ultimate tensile strain. Several factors contributed to these phenomena: initially (0 to 60 days of aging), the HS-ECCs continued to undergo hydration reactions in sulfate solutions, allowing for the incomplete hydration of the cementitious materials which filled the pores, thus increasing the matrix density. During this period, with regard to tensile strength, the positive effects of hydration reactions outweighed the negative effects of the sulfate attack. Concerning the strain capacity, the continuous formation of hydration products enhanced the interfacial bond strength between the PE fibers and the matrix, reducing the average fiber pullout displacements beneficial for ductility and instead favoring fracture failures, leading to an increased tensile strength but decreased ductility. However, as the aging progressed (90 to 120 days), the accumulation of expansive hydration products like gypsum and ettringite, due to the sulfate attack, led to pore and microcrack developments, damaging the microstructure of the HS-ECCs. Consequently, both the tensile strength and strain capacity decreased, exacerbating the embrittlement without exhibiting desirable multiple cracking properties. Additionally, Figure 12a shows an overall increasing trend in the tensile cracking strength of the HS-ECCs. Compared to 0 days, each group increased by approximately 35.45% (30 days), 29.47% (60 days), 14.18% (90 days), and 39.85% (120 days). The change pattern and mechanism of the tensile cracking strength were similar to those of the ultimate tensile strength. However, in contrast to other tensile performance indicators, the tensile cracking strength in this study exhibited greater variability and more errors, likely due to unavoidable issues such as initial eccentricity and torque during the uniaxial tensile testing. The HS-ECC materials possessed a strain capacity exceeding 3%, enabling adaptations and a slight adjustment to the initial eccentricity and torque, which influenced the determination of the cracking-point parameters. To address this issue, the subsequent development of a constitutive model in this study incorporated nominal cracking points to replace the test cracking points, aiming to facilitate the construction of a more accurate model, as described in Section 4.
Figure 11. HS-ECC stress–strain curves at different erosion ages: (a) 0d, (b) 30d, (c) 60d, (d) 90d, (e) 120d, (f) Comparison of different corrosion ages.
Figure 12. Tensile performance of HS-ECCs under different corrosion ages: (a) Tensile cracking strength, Ultimate tensile strength, Ultimate tensile strain, (b) Strain energy density.
Finally, based on the tensile test results of the HS-ECCs after sulfate erosion, a corrosion resistance coefficient was defined. This coefficient uses the ultimate tensile strength and the ultimate strain as the primary tensile parameters to evaluate the specimen’s resistance to sulfate erosion. This coefficient was calculated according to Equation (2), and the computed results are shown in Figure 13.
K = σ u * σ u × ε u * ε u
Figure 13. Corrosion resistance coefficient of HS-ECCs.
In the above equation, K represents the corrosion resistance coefficient of the HS-ECC material. σu* denotes the ultimate tensile strength of the specimen after sulfate erosion, σu denotes the ultimate tensile strength of the specimen without erosion, εu* denotes the ultimate tensile strain of the specimen after sulfate erosion, and εu denotes the ultimate tensile strain of the specimen without erosion. As shown in Figure 13, the corrosion resistance coefficient (K) of the HS-ECCs demonstrated an initial increase followed by a decrease when analyzing both the ultimate tensile strength and the ultimate tensile strain. The material exhibited its highest corrosion resistance coefficient at an erosion cycle of 90 days, after which degradation began. How to optimize performance to further enhance its long-term durability and mechanical properties can be considered a topic for future research.

3.3. Microstructural Morphology Analysis

Figure 14 shows micrographs of the fiber/matrix interface of the HS-ECC specimens aged at 0 days, 60 days, and 120 days. Generally, fibers in the ECC matrix mainly fail in two ways, a pullout failure and a fracture failure, corresponding to an increase in the tensile strain and tensile strength, respectively [27]. The cracks at the fiber roots indicate a significant bond strength between the fibers and the matrix, allowing the fibers to utilize their properties effectively and to redistribute stress as the load increases, thereby enhancing the load-bearing capacity. However, this failure mode contributes little to the material’s tensile strain capability [55], and its energy absorption and stress redistribution efficiency are inferior to that of a pullout failure [56]. As shown in Figure 14, with an increasing exposure time, the width and length of the cracks at the roots of the PE fibers gradually increased. In the 0-day group, only subtle, difficult-to-observe microcracks existed at the fiber roots, while in the 60-day and 120-day groups, more pronounced fracture cracks appeared, and there were no significant transition zones between the fibers and the matrix. This phenomenon resulted from a reaction of the sulfate ions with the hydration products of cement, leading to the formation of expansive corrosive products that filled the fiber/matrix interface transition zone. This resulted in an excessively high fiber/matrix bond strength, causing the failure mode of the fibers to shift from a pullout failure to a fracture failure, characterized by small pullout displacements and noticeable fracture marks [56]. In terms of the macroscopic mechanical properties of the HS-ECCs, as the sulfate erosion age increased, the ductility and crack number of the HS-ECCs decreased, while the tensile strength and crack width increased. It is also important to note that the developmental trend of the macroscopic mechanical properties of the HS-ECCs was influenced by the combined changes in the fiber/matrix interface transition zone and the internal microstructure of the matrix. The decline in strength observed in the later stages of sulfate erosion (from 90 to 120 days) was primarily due to the degradation occurring within the matrix, which outweighed the effects at the fiber/matrix interface transition zone. We further analyzed changes in the internal microstructure of the matrix, as will be discussed below.
Figure 14. Fiber/matrix interface morphology.
Figure 15 illustrates the surface morphology of the PE fibers under different sulfate erosion periods. It can be observed that when the erosion period is 0 days, the pulled-out PE fibers from the substrate appear relatively intact, without obvious peeling or flaking. This demonstrates that, under this aging period, the PE fibers exhibited minimal pullout slip resistance, which resulted in a lower macroscopic tensile strength but provided higher deformability. This is also a crucial factor contributing to the tensile ductility of ECCs. As the erosion period increases, significant fiber peeling becomes evident, with the most severe occurrence being observed at 120 days. This indicates an increase in slip resistance at the fiber/substrate interface, significantly reducing the energy dissipation capacity during fiber pullout. As depicted in Figure 12b, the strain energy density of the HS-ECCs showed a pronounced decrease at 120 days.
Figure 15. Fibers’ surface morphology.
Figure 16 illustrates the substrate morphology under different sulfate erosion periods.
Figure 16. Substrate morphology.
The internal components and products of the material matrix underwent significant changes as the duration of the sulfate erosion increased. This was the main microstructural change we observed. Prior to exposure to erosion (at a 0-day erosion age), the internal matrix revealed a well-crystallized hydrated calcium silicate (C-S-H) gel, along with a small amount of unhydrated cement particles and spherical fly ash, indicating a relatively dense microstructure of the HS-ECCs at this stage, with the hydration process of the substrate not yet being fully complete. During the initial stage of sulfate erosion (0 to 60 days), the continuous hydration of the unhydrated cement and the pozzolanic reaction of the fly ash led to an increase in hydration products (primarily hydrated calcium silicate and hydrated calcium aluminate gels), further enhancing the density of the internal structure of the HS-ECCs. However, at the same time, sulfate ions infiltrating the material reacted with the calcium hydroxide and hydrated calcium aluminate in the cement paste to produce deleterious compounds, primarily AFt. As the erosion time extended (from 60 to 90 days), the amount of AFt continuously increased, filling existing pores and microcracks, thereby further enhancing the material’s density, peaking at around 90 days. At this point, the growth of the erosion products reached a critical threshold, with the expansion pressure induced by fiber restraints approaching the damage threshold. In the late stage of sulfate erosion (from 90 to 120 days), the accumulation of erosion products (primarily gypsum and AFt) due to sulfate ions led to an expansion that damaged the microstructure, resulting in additional microscopic defects [57]. Corresponding to the macro-mechanical performance of the HS-ECCs, the tensile strength showed an increasing trend during the early to mid-erosion stages (0 to 90 days) but began to deteriorate in the late erosion stage (90 to 120 days). Meanwhile, the tensile strain capacity of the HS-ECCs continued to decline due to the embrittlement effects of sulfate erosions.

4. Constitutive Model of Aging Tensile of HS-ECCs under Sulfate Erosion

In this section, two methods (direct fitting and AIF fitting) are utilized to develop and compare the tensile constitutive model of HS-ECCs under sulfate environments. The proposed constitutive model of aging is based on the construction theory of dynamic tensile constitutive models. To account for changes in the mechanical performance over different aging periods, an Aging Increase Factor (AIF) is introduced. The AIF, analogous to the Dynamic Increase Factor (DIF) in dynamic tensile constitutive models, is defined as the ratio of the mechanical performance value at a specific aging period (Γa) to that at the unaged state (Γu), as detailed in Equation (3).
A I F = Γ a Γ u
In general, there is a defined mathematical relationship between the AIF value and the aging period (A). Therefore, one can first determine the parameters of the tensile constitutive model in the unaged (or the baseline) state and then use the AIF values to obtain the corresponding parameters for different aging periods. For instance, if the parameter in the baseline state is a and the parameter is at a given aging period, for example, if the number of parameters in the baseline state is a, and the number of parameters at a certain aging period is b, as illustrated in Figure 17, a × b AIF values can be obtained. Traditional direct fitting methods can only provide parameter values for a specific quantity (either a or b). By incorporating AIF values, the number of parameters in the fitting process can be increased, thereby enhancing the accuracy and reliability of the model.
Figure 17. Method for determining AIF values.
Additionally, as mentioned earlier, unavoidable errors in the uniaxial tensile testing, such as initial eccentricity and torque, affected the determination of the crack-initiation parameters. Therefore, considering the influence of experimental errors on the tensile cracking points, the intersection of the linear regression lines obtained from the linear elastic stage and strain-hardening stage defines the nominal tensile cracking point. The corresponding stress is termed the nominal tensile cracking stress (σmk), and the corresponding strain is the nominal tensile cracking strain (εmk). The tensile constitutive model of HS-ECCs in the unaged state can be expressed as Equation (4):
σ ε = E t ε 0 ε < σ mk E t σ mk + k ε σ mk E t σ mk E t ε < ε p
In the above equation, Et denotes the tensile elastic modulus, expressed as Et = σmk/εmk; σmk represents the nominal cracking stress; εmk denotes the nominal cracking strain; εp stands for the tensile peak strain; k is the enhancement coefficient, defined as k = (σp − σmk)/(εpεmk/Et). The tensile constitutive model of HS-ECCs under a sulfate attack was constructed using both the direct fitting and AIF fitting methods, based on Equation (4). The fitting results for each parameter under the two fitting methods are shown in Figure 18 and Figure 19. The expression is given by Equations (5) and (6).
E t = 10.663 + 0.277 A 0 A < 90 63.493 0.310 A   90 A 120 σ mk = 5.812 + 0.0310 A   0 A < 60 8.648 0.0163 A   60 A 120 k = 0.417 + 0.00225 A + 1.099 10 4 A 2 0 A < 90   2.745 0.0137 A 90 A 120 ε p = 7.617 0.0311 A + 6.926 10 5 A 2         0 A 120  
A I F E t = 1 0 . 964 + 0 . 0251 A 5 . 721 - 0 . 0280 A A = 0   0 < A < 90   90 A 120 A I F σ mk = 1 0 . 994 + 0 . 00533 A 1 . 497 - 0 . 00278 A A = 0   0 < A < 90   90 A 120 A I F k = 1 1 . 00046 + 0 . 00611 A + 0 . 000263 A 2 6 . 694 - 0 . 0335 A A = 0   0 < A < 90   90 A 120 A I F ε p = 1 0 . 992 - 0 . 00405 A + 0 . 00000902 A 2   A = 0   0 < A 120
Figure 18. The fitting results for each parameter through the direct fitting method: (a) Elastic modulus, (b) Nominal cracking stress, (c) Strengthening coefficient k, (d) Ultimate tensile strain.
Figure 19. The fitting results for each parameter through the AIF fitting method: (a) Elastic modulus, (b) Nominal cracking stress, (c) Strengthening coefficient k, (d) Ultimate tensile strain.
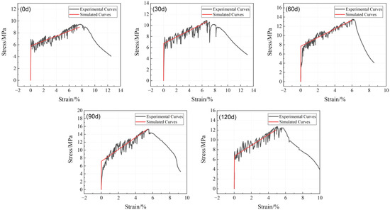
To validate and compare the accuracy of two fitting methods for the HS-ECC tensile constitutive model under sulfate erosion, the experimental values (denoted as T) for the elastic modulus, tensile cracking strength, ultimate tensile strength, and tensile strain capacity were compared with the calculated values (denoted as C). The accuracy was evaluated by analyzing the coefficient of variation of the ratio R (R = T/C). Detailed results are presented in Table 4 and Table 5. It can be observed that, although the coefficients of variation for all parameters (R) under both fitting methods are below 10%, the coefficients of variation for all parameters using the AIF fitting method are lower than those obtained with the direct fitting method. Additionally, based on the constructed model, we simulated the stress–strain curves at different ages and compared them with the experimental curves, as shown in Figure 20. The simulated curves exhibit a good fit with the experimental curves, indicating that increasing the number of fitting parameters through the introduction of AIF can enhance the accuracy of the model to some extent, demonstrating a relatively accurate simulation capability.
Table 4. Comparison of experimental values and calculated values (direct fitting).
Table 5. Comparison of experimental values and calculated values (AIF fitting).
Figure 20. Experimental curves compared to simulated curves.

5. Conclusions

This study conducted uniaxial tensile experiments on HS-ECCs at five different aging periods and analyzed the impact of a sulfate attack on various properties at the microstructural level using SEM. Based on the experimental results, we proposed a model-construction method with a higher fitting accuracy. The following is a summary of the key insights of our experimental findings:
(1)
With an increase in the sulfate-attack age, the average number of cracks in the groups compared to the non-attacked HS-ECC (0 days) decreased by 15.4% (30 days), 25.0% (60 days), 38.5% (90 days), and 50.0% (120 days), while the average crack width increased by 1.8% (30 days), 5.0% (60 days), 15.5% (90 days), and 26.0% (120 days), respectively. The primary reason for these phenomena is the gradual embrittlement of the HS-ECC matrix due to the sulfate attack, leading to a shift in the failure mode of the PE fibers from a pullout failure to a fracture failure.
(2)
As the sulfate-attack age increased, the ultimate tensile strength, strain energy density, and resistance to erosion of the HS-ECCs exhibited a trend of an initial increase followed by a decrease, reaching a peak at 90 days. In contrast, the tensile strain capacity showed a downward trend with an increasing exposure time; compared to the non-attacked HS-ECC (0 days), the other groups experienced reductions of 13.91% (30 days), 21.25% (60 days), 28.84% (90 days), and 36.97% (120 days). The primary reason for this phenomenon is the reaction between the sulfate ions and the hydration products within the matrix, which generated expansive products such as AFt and gypsum. These products accumulated and expanded over time, damaging the microstructure of the matrix and leading to a decrease in the mechanical properties.
(3)
The accuracy of the model can be enhanced by increasing the number of parameters through the introduction of the AIF value. Compared to the direct fitting method, the AIF fitting approach demonstrates greater accuracy, as the simulated curves closely aligned with the experimental curves, effectively reflecting the stress–strain development trends of HS-ECCs.

Author Contributions

Conceptualization, Y.L. and J.W.; methodology, Y.L.; software, Y.L.; validation, Y.L. and Y.Y.; formal analysis, Y.L.; investigation, Y.L. and T.T.; resources, J.W.; data curation, Y.L.; writing—original draft preparation, Y.L.; writing—review and editing, J.W. and Y.Y.; visualization, Y.L.; supervision, Y.L.; project administration, Y.L.; funding acquisition, J.W. All authors have read and agreed to the published version of the manuscript.

Funding

This research received no external funding.

Data Availability Statement

The data that support the findings of this study are available from the corresponding author upon reasonable request.

Conflicts of Interest

The authors declare no conflicts of interest.

References

  1. Liu, H.; Zhang, Q.; Li, V.; Su, H.; Gu, C. Durability study on engineered cementitious composites (ECC) under sulfate and chloride environment. Constr. Build. Mater. 2017, 133, 171–181. [Google Scholar] [CrossRef]
  2. Jin, Z.Q.; Sun, W.; Zhang, Y.S.; Jiang, J.Y.; Lai, J.Z. Interaction between sulfate and chloride solution attack of concretes with and without fly ash. Cem. Concr. Res. 2007, 37, 1223–1232. [Google Scholar]
  3. Wang, K.; Jansen, D.C.; Shah, S.P.; Karr, A.F. Permeability study of cracked concrete. Cem. Concr. Res. 1997, 27, 381–393. [Google Scholar] [CrossRef]
  4. Li, K.; Ma, M.; Wang, X. Experimental study of water flow behaviour in narrow fractures of cementitious materials. Cem. Concr. Compos. 2011, 33, 1009–1013. [Google Scholar] [CrossRef]
  5. Li, V.C.; Stang, H. Elevating FRC material ductility to infrastructure durability. In Proceedings of the 6th RILEM Symposium on Fiber-Reinforced Concretes (FRC)—BEFIB 2004, Varenna, Italy, 20–22 September 2004; pp. 171–186. [Google Scholar]
  6. Li, M.; Li, V.C. Cracking and healing of engineered cementitious composites under chloride environment. ACI Mater. J. 2011, 108, 333–340. [Google Scholar]
  7. Yu, J.; Yao, J.; Lin, X.; Li, H.; Lam, J.Y.; Leung, C.K.; Sham, I.M.; Shih, K. Tensile performance of sustainable Strain-Hardening Cementitious Composites with hybrid PVA and recycled PET fibers. Cem. Concr. Res. 2018, 107, 110–123. [Google Scholar] [CrossRef]
  8. Huang, B.-T.; Li, Q.-H.; Xu, S.-L.; Zhang, L. Static and fatigue performance of reinforced concrete beam strengthened with strain-hardening fiber-reinforced cementitious composite. Eng. Struct. 2019, 199, 109576. [Google Scholar] [CrossRef]
  9. Huang, B.-T.; Li, Q.-H.; Xu, S.-L.; Zhou, B.-M. Frequency Effect on the Compressive Fatigue Behavior of Ultrahigh Toughness Cementitious Composites: Experimental Study and Probabilistic Analysis. J. Struct. Eng. 2017, 143, 8. [Google Scholar] [CrossRef]
  10. Huang, B.-T.; Li, Q.-H.; Xu, S.-L.; Liu, W.; Wang, H.-T. Fatigue deformation behavior and fiber failure mechanism of ultra-high toughness cementitious composites in compression. Mater. Des. 2018, 157, 457–468. [Google Scholar] [CrossRef]
  11. Li, V.C. Engineered cementitious composites (ECC)—Material, structural, and durability performance. In Concrete Construction Engineering Handbook; CRC Press: Boca Raton, FL, USA, 2008; Volume 78. [Google Scholar]
  12. Li, V.C.; Wang, S.; Wu, C. Tensile strain-hardening behavior of polyvinyl alcohol engineered cementitious composite (PVA-ECC). Mater. J. 2001, 98, 483–492. [Google Scholar]
  13. Li, V.C.; Mishra, D.K.; Wu, H.-C. Matrix design for pseudo-strain-hardening fibre reinforced cementitious composites. Mater. Struct. 1995, 28, 586–595. [Google Scholar] [CrossRef]
  14. Singh, M.; Saini, B.; Chalak, H. Performance and composition analysis of engineered cementitious composite (ECC)—A review. J. Build. Eng. 2019, 26, 100851. [Google Scholar] [CrossRef]
  15. Li, V.C. Advances in ECC research. Symp. Pap. 2002, 206, 373–400. [Google Scholar]
  16. Li, V.C. On engineered cementitious composites (ECC) a review of the material and its applications. J. Adv. Concr. Technol. 2003, 1, 215–230. [Google Scholar] [CrossRef]
  17. Shafieifar, M.; Farzad, M.; Azizinamini, A. Experimental and numerical study on mechanical properties of Ultra High Performance Concrete (UHPC). Constr. Build. Mater. 2017, 156, 402–411. [Google Scholar] [CrossRef]
  18. Bajaber, M.A.; Hakeem, I.Y. UHPC evolution, development, and utilization in construction: A review. J. Mater. Res. Technol. 2021, 10, 1058–1074. [Google Scholar] [CrossRef]
  19. Zhu, Y.; Zhang, Y.; Hussein, H.H.; Chen, G. Flexural strengthening of reinforced concrete beams or slabs using ultra-high perfor-mance concrete (UHPC): A state of the art review. Eng. Struct. 2020, 205, 110035. [Google Scholar] [CrossRef]
  20. Yoo, S.-J.; Hong, S.-H.; Yoon, Y.-S. Bonding behavior and prediction of helically ribbed CFRP bar embedded in ultra high-performance concrete (UHPC). Case Stud. Constr. Mater. 2023, 19, e02253. [Google Scholar] [CrossRef]
  21. Shafighfard, T.; Kazemi, F.; Asgarkhani, N.; Yoo, D.-Y. Machine-learning methods for estimating compressive strength of high-performance alkali-activated concrete. Eng. Appl. Artif. Intell. 2024, 136, 109053. [Google Scholar] [CrossRef]
  22. Ranade, R.; Li, V.C.; Stults, M.D.; Heard, W.F.; Rushing, T.S. Composite Properties of High-Strength, High-Ductility Concrete. ACI Mater. J. 2013, 1, 110. [Google Scholar]
  23. Ranade, R.; Li, V.C.; Stults, M.D.; Rushing, T.S.; Roth, J.; Heard, W.F. Micromechanics of high-strength, high-ductility concrete. ACI Mater. J. 2013, 110, 375. [Google Scholar]
  24. Yu, K.-Q.; Yu, J.-T.; Dai, J.-G.; Lu, Z.-D.; Shah, S.P. Development of ultra-high performance engineered cementitious composites using polyethylene (PE) fibers. Constr. Build. Mater. 2018, 158, 217–227. [Google Scholar] [CrossRef]
  25. He, S.; Qiu, J.S.; Li, J.X.; Yang, E.H. Strain hardening ultra-high performance concrete (SHUHPC) incorporating CNF-coated polyethylene fibers. Cem. Concr. Res. 2017, 98, 50–60. [Google Scholar] [CrossRef]
  26. Huang, B.-T.; Yu, J.; Wu, J.-Q.; Dai, J.-G.; Leung, C.K. Seawater sea-sand Engineered Cementitious Composites (SS-ECC) for marine and coastal applications. Compos. Commun. 2020, 20, 100353. [Google Scholar] [CrossRef]
  27. Xu, L.-Y.; Huang, B.-T.; Lao, J.-C.; Yao, J.; Li, V.C.; Dai, J.-G. Tensile over-saturated cracking of Ultra-High-Strength Engineered Cementitious Composites (UHS-ECC) with artificial geopolymer aggregates. Cem. Concr. Compos. 2023, 136, 104896. [Google Scholar] [CrossRef]
  28. Xu, L.-Y.; Huang, B.-T.; Lao, J.-C.; Dai, J.-G. Tailoring strain-hardening behavior of high-strength Engineered Cementitious Composites (ECC) using hybrid silica sand and artificial geopolymer aggregates. Mater. Des. 2022, 220, 110876. [Google Scholar] [CrossRef]
  29. Zhu, H.; Fu, Z.; Wang, Y.; Zhang, N. Study on splitting tensile strength of interface between the full lightweight ceramsite concrete and ordinary concrete. Case Stud. Constr. Mater. 2023, 18, e01829. [Google Scholar] [CrossRef]
  30. Amhudo, R.L.; Tavio, T.; Raka, I.G.P. Comparison of Compressive and Tensile Strengths of Dry-Cast Concrete with Ordinary Portland and Portland Pozzolana Cements. Civ. Eng. J. 2018, 4, 1760–1771. [Google Scholar] [CrossRef]
  31. Iskhakov, I.; Ribakov, Y. Structural phenomenon based theoretical model of concrete tensile behavior at different stress-strain conditions. J. Build. Eng. 2021, 33, 101594. [Google Scholar] [CrossRef]
  32. Zhou, J.; Pan, J.; Leung, C.K.Y. Mechanical Behavior of Fiber-Reinforced Engineered Cementitious Composites in Uniaxial Compression. J. Mater. Civ. Eng. 2015, 27, 04014111. [Google Scholar] [CrossRef]
  33. Yu, J.; Li, H.; Leung, C.K.; Lin, X.; Lam, J.Y.; Sham, I.M.; Shih, K. Matrix design for waterproof Engineered Cementitious Composites (ECCs). Constr. Build. Mater. 2017, 139, 438–446. [Google Scholar] [CrossRef]
  34. Alrefaei, Y.; Rahal, K.; Maalej, M. Shear Strength of Beams Made Using Hybrid Fiber–Engineered Cementitious Composites. J. Struct. Eng. 2018, 144, 1. [Google Scholar] [CrossRef]
  35. Zhao, X.; Yu, X.; Cai, L.; Peng, Q.; Wu, H.; Zhou, F. The effects of tensile strain rate on the dynamic tensile behavior of ultra high toughness cementitious composite. J. Build. Eng. 2023, 68, 106199. [Google Scholar] [CrossRef]
  36. Li, H.; Xu, S.; Leung, C.K.Y. Tensile and flexural properties of ultra high toughness cemontious composite. J. Wuhan Univ. Technol. Sci. Ed. 2009, 24, 677–683. [Google Scholar] [CrossRef]
  37. Kan, L.; Kong, N.; Wang, F. Effects of thickener on macro- and meso-mechanical properties of ECC. Case Stud. Constr. Mater. 2023, 19, e02292. [Google Scholar] [CrossRef]
  38. Xiang, Y.; Han, F.; Liu, Q. Effect of Salt Solution Erosion on Mechanical Properties and Micropore Structure of Recycled Fine Ag-gregate ECC. Materials 2024, 17, 2498. [Google Scholar] [CrossRef]
  39. Kou, J.; Li, L.; Shi, J. Experimental Study on Durability and Mechanical Properties of High Ductile Concrete under Long-Term Sulfate Attack. KSCE J. Civ. Eng. 2022, 26, 1793–1802. [Google Scholar] [CrossRef]
  40. Cang, S.; Ge, X.; Bao, Y. Assessment of Mechanical Properties and Damage of High Performance Concrete Subjected to Magnesium Sulfate Environment. Adv. Mater. Sci. Eng. 2017, 2017, 1–12. [Google Scholar] [CrossRef]
  41. Kanda, T.; Lin, Z.; Li, V.C. Tensile Stress-Strain Modeling of Pseudostrain Hardening Cementitious Composites. J. Mater. Civ. Eng. 2000, 12, 147–156. [Google Scholar] [CrossRef]
  42. Li, V.C. Performance driven design of fiber reinforced cementitious composites. In Fibre Reinforced Cement and Concrete; CRC Press: Boca Raton, FL, USA, 1992; pp. 12–30. [Google Scholar]
  43. Shabakhty, N.; Karimi, H.R.; Bakhtiary, A.Y. Effect of short to long hybrid elastic/hyperelastic (Glass/PP) fibers on high-strength engineered cementitious composites (ECC), along with presenting a constitutive model. J. Build. Eng. 2024, 89, 109215. [Google Scholar] [CrossRef]
  44. Yang, Z.; Li, J.; Zhong, Y.; Qi, X. Mechanical Properties of SMA/PVA-ECC under Uniaxial Tensile Loading. Buildings 2023, 13, 2116. [Google Scholar] [CrossRef]
  45. Deng, L.; Lei, L.; Lai, S.; Liao, L.; Zhou, Z. Experimental Study on the Axial Tensile Properties of FRP Grid-Reinforced ECC Composites. Materials 2021, 14, 3936. [Google Scholar] [CrossRef] [PubMed]
  46. Eltayeb, E.; Ma, X.; Zhuge, Y.; Xiao, J.; Youssf, O. Dynamic performance of rubberised concrete and its structural applications—An overview. Eng. Struct. 2021, 234, 111990. [Google Scholar] [CrossRef]
  47. Huang, B.-T.; Wu, J.-Q.; Yu, J.; Dai, J.-G.; Leung, C.K.; Li, V.C. Seawater sea-sand engineered/strain-hardening cementitious composites (ECC/SHCC): Assessment and modeling of crack characteristics. Cem. Concr. Res. 2021, 140, 106292. [Google Scholar] [CrossRef]
  48. CECS 13-2009; China Engineering Construction Association Standard, Fiber Concrete Test Method Standard. China Planning Press: Beijing, China, 2009.
  49. Khan, R.M.A.; Shafighfard, T.; Ali, H.Q.; Mieloszyk, M.; Yildiz, M. Strength prediction and experimental damage investigations of plain woven CFRPs with interacting holes using multi-instrument measurements. Polym. Compos. 2023, 44, 3594–3609. [Google Scholar] [CrossRef]
  50. GB/T 50081-2019; Standard for Test Methods of Concrete Physical and Mechanical Properties. China Architecture and Building Press: Beijing, China, 2019.
  51. Yang, D.S.; Mohammed, O.F.; Zewail, A.H. Scanning ultrafast electron microscopy. Proc. Natl. Acad. Sci. USA 2010, 107, 14993–14998. [Google Scholar] [CrossRef]
  52. Liang, L.; Zhang, X.; Liu, Q.L. Effect of Rheology on Properties of Ultra-High Ductility Cementitious Composites. Mater. Rep. 2023, 37, 101–107. (In Chinese) [Google Scholar]
  53. Wang, Z.B. Studies on Mechanical Performance of Polyvinyl Alcohol-Steel Hybrid Fiber Reinforced Cementitious Composites; Tsinghua University: Beijing, China, 2016. (In Chinese) [Google Scholar]
  54. Su, J.; Fan, Z.K.; Cai, X.H.; Xiao, S. Study on sulfate resistance of PVA fiber reinforced steel slag powdercement composite. J. Chang. River Sci. Res. Inst. 2024, 1–10. (In Chinese). Available online: http://kns.cnki.net/kcms/detail/42.1171.TV.20231130.1346.006.html (accessed on 12 July 2024).
  55. Xu, L.-Y.; Huang, B.-T.; Li, V.C.; Dai, J.-G. High-strength high-ductility Engineered/Strain- Hardening Cementitious Composites (ECC/S-HCC) incorporating geopoly-mer fine aggregates. Cem. Concr. Compos. 2022, 125, 104296. [Google Scholar] [CrossRef]
  56. Su, J.; Zhong, Z.L.; Cai, Y.Q.; Zheng, W.J.; Cai, X.H. Mechanical properties and tensile constitutive model of engineered cementitious composites based on geopolymer aggregates. Acta Materiae Compositae Sinica. 2024, 1–18. (In Chinese) [Google Scholar] [CrossRef]
  57. Wang, Z.B.; Sun, P.; Liu, W.K.; Han, Y.D. Tensile performance and microstructure of ECC under sulfate attack. J. Huazhong Univ. Sci. Technol. 2021, 49, 31–36. (In Chinese) [Google Scholar] [CrossRef]
Disclaimer/Publisher’s Note: The statements, opinions and data contained in all publications are solely those of the individual author(s) and contributor(s) and not of MDPI and/or the editor(s). MDPI and/or the editor(s) disclaim responsibility for any injury to people or property resulting from any ideas, methods, instructions or products referred to in the content.

Article Metrics

Citations

Article Access Statistics

Multiple requests from the same IP address are counted as one view.