Analytical Solution for the Steady Seepage Field of an Anchor Circular Pit in Layered Soil
Abstract
:1. Introduction
2. Problem Definition
2.1. Proposal for Seepage Model of Anchor Circular Pit
- (1)
- The seepage is in a stable state after the excavation and precipitation of the foundation pit.
- (2)
- The soil is incompressible, and the steady seepage is linear, in accordance with Darcy’s law.
- (3)
- The thickness of the retaining wall is ignored, and the effect of its contact with the soil on permeability is not considered.
- (4)
- The soil is assumed to be a layered non-homogeneous foundation. This means that each layer of soil is homogeneous and has an isotropic coefficient of permeability. The coefficients of permeability are different for each layer of soil.
- (5)
- The water recharge in the soil layer is mainly lateral, and vertical recharge can be ignored.
2.2. Governing Equations and Boundary Conditions
3. Analytical Solution
3.1. Solution for the Hydraulic Head
3.2. Solution for the Exit Hydraulic Gradient
3.3. Solution for Seepage Quantities
4. Verification of Proposed Solution
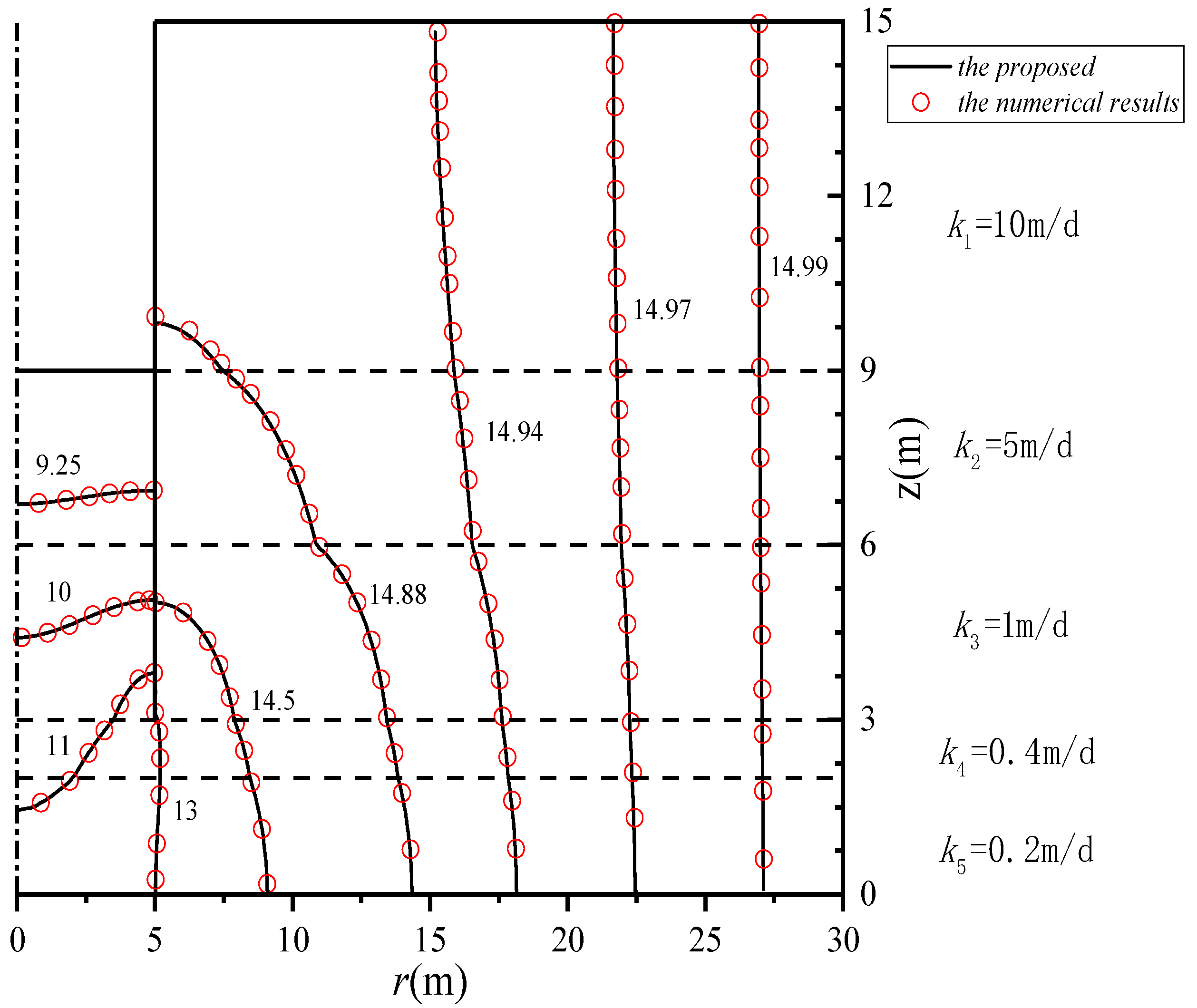
4.1. Verification of the Hydraulic Head Solution
4.2. Verification of Seepage in Excavation
5. Discussion
6. Conclusions
Author Contributions
Funding
Data Availability Statement
Conflicts of Interest
Nomenclature
Appendix A
References
- Navarro Carrasco, S.; Jiménez-Valera, J.A.; Alhama, I. A Universal Graphical Solution to Calculating Seepage in Excavation of Anisotropic Soils and Non-Limited Scenarios. Geotechnics 2023, 3, 719–730. [Google Scholar] [CrossRef]
- Huang, D.-Z.; Xie, K.-H.; Ying, H.-W. Semi-analytical solution for two-dimensional steady seepage around foundation pit in soil layer with anisotropic permeability. J. Zheiiang Univ. (Eng. Sci.) 2014, 48, 1802–1808. [Google Scholar]
- Fox, E.N.; Mcnamee, J., XXV. The two-dimensional potential problem of seepage into a cofferdam. J. Philos. Mag. 1948, 39, 165–203. [Google Scholar] [CrossRef]
- Bereslavskii, E.N. The flow of ground waters around a Zhukovskii sheet pile. J. Appl. Math. Mech. 2011, 75, 210–217. [Google Scholar] [CrossRef]
- Banerjee, S.; Muleshkov, A. Analytical solution of steady seepage into double-walled cofferdams. J. Eng. Mech. 1992, 118, 525–539. [Google Scholar] [CrossRef]
- Chen, Z. Groundwater Flow Analysis of Confined Aquifer under Foundation Pit with Waterproof Curtain. Master’s Thesis, Nanjing Tech University, Nanjing, China, 2015. [Google Scholar]
- Wang, J.H.; Tao, L.J.; Han, X. Effect of Suspended Curtain Depth into Stratum on Discharge Rate and Its Optimum Design. J. Beijing Univ. Technol. 2015, 41, 1390–1398. [Google Scholar]
- Lin, Z.-b.; Li, Y.-m.; Gui, C.-i.; Liu, J.q.; Qin, X.-l. Method for steady flow of partially penetrating well in phreatic aquifer under constant flow. Chin. J. Geotech. Eng. 2013, 35, 2290–2297. [Google Scholar]
- Cong, A.S. Discussion on several issues of seepage stability of deep foundation pit in multilayered formation. J. Chin. J. Rock Mech. Eng. 2009, 28, 2018–2023. [Google Scholar]
- Bear, J. Dynamics of Fluids in Porous Media; American Elsevier Publishing Company: Amsterdam, The Netherlands, 1988. [Google Scholar]
- Neuman, S.P. Effect of partial penetration on flow in unconfined aquifers considering delayed gravity response. Water Resour. Res. 1974, 10, 303–312. [Google Scholar] [CrossRef]
- Yu, J.; Li, D.; Zheng, J.; Zhang, Z.; He, Z.; Fan, Y. Analytical study on the seepage field of different drainage and pressure relief options for tunnels in high water-rich areas. Tunn. Undergr. Space Technol. 2023, 134, 105018. [Google Scholar] [CrossRef]
- Zhang, C. Anisotropic Mathematical Physics and Complex Special Functions; Scholastic Paperbacks: Beijing, China, 2014. [Google Scholar]
- Terzaghi, K.; Peck, R.B.; Mesri, G. Soil Mechanics in Engineering Practice; Wiley: New York, NY, USA, 1996. [Google Scholar]
- Shi, C.; Sun, X.; Liu, S.; Cao, C.; Liu, L.; Lei, M. Analysis of Seepage Characteristics of a Foundation Pit with Horizontal Waterproof Curtain in Highly Permeable Strata. Water 2021, 13, 1303. [Google Scholar] [CrossRef]







Disclaimer/Publisher’s Note: The statements, opinions and data contained in all publications are solely those of the individual author(s) and contributor(s) and not of MDPI and/or the editor(s). MDPI and/or the editor(s) disclaim responsibility for any injury to people or property resulting from any ideas, methods, instructions or products referred to in the content. |
© 2023 by the authors. Licensee MDPI, Basel, Switzerland. This article is an open access article distributed under the terms and conditions of the Creative Commons Attribution (CC BY) license (https://creativecommons.org/licenses/by/4.0/).
Share and Cite
Huang, J.; Gu, L.; He, Z.; Yu, J. Analytical Solution for the Steady Seepage Field of an Anchor Circular Pit in Layered Soil. Buildings 2024, 14, 74. https://doi.org/10.3390/buildings14010074
Huang J, Gu L, He Z, Yu J. Analytical Solution for the Steady Seepage Field of an Anchor Circular Pit in Layered Soil. Buildings. 2024; 14(1):74. https://doi.org/10.3390/buildings14010074
Chicago/Turabian StyleHuang, Jirong, Lixiong Gu, Zhen He, and Jun Yu. 2024. "Analytical Solution for the Steady Seepage Field of an Anchor Circular Pit in Layered Soil" Buildings 14, no. 1: 74. https://doi.org/10.3390/buildings14010074
APA StyleHuang, J., Gu, L., He, Z., & Yu, J. (2024). Analytical Solution for the Steady Seepage Field of an Anchor Circular Pit in Layered Soil. Buildings, 14(1), 74. https://doi.org/10.3390/buildings14010074
