Evolution of Structure and Properties of SBS-Modified Asphalt during Aging Process
Abstract
1. Introduction
2. Materials and Methods
2.1. Materials
2.2. Aging Method for SBS Modifier and SBS-Modified Bitumen
2.3. FTIR Test
2.4. Mass Change Measurement
2.5. GPC Test
2.6. Conventional Physical Properties Test
2.7. Rheological Properties Test
2.8. Multi-Stress Creep and Recovery Property Test
3. Results and Discussions
3.1. Effect of Aging on Chemical Structure and Molecular Weight of SBS Modifier
3.1.1. Chemical Structure
3.1.2. Mass Change
3.1.3. Molecular Weight
3.2. Effect of Aging on Chemical Structure and Properties of SBS-Modified Bitumen
3.2.1. Chemical Structure
3.2.2. Molecular Weight
3.2.3. Physical Properties
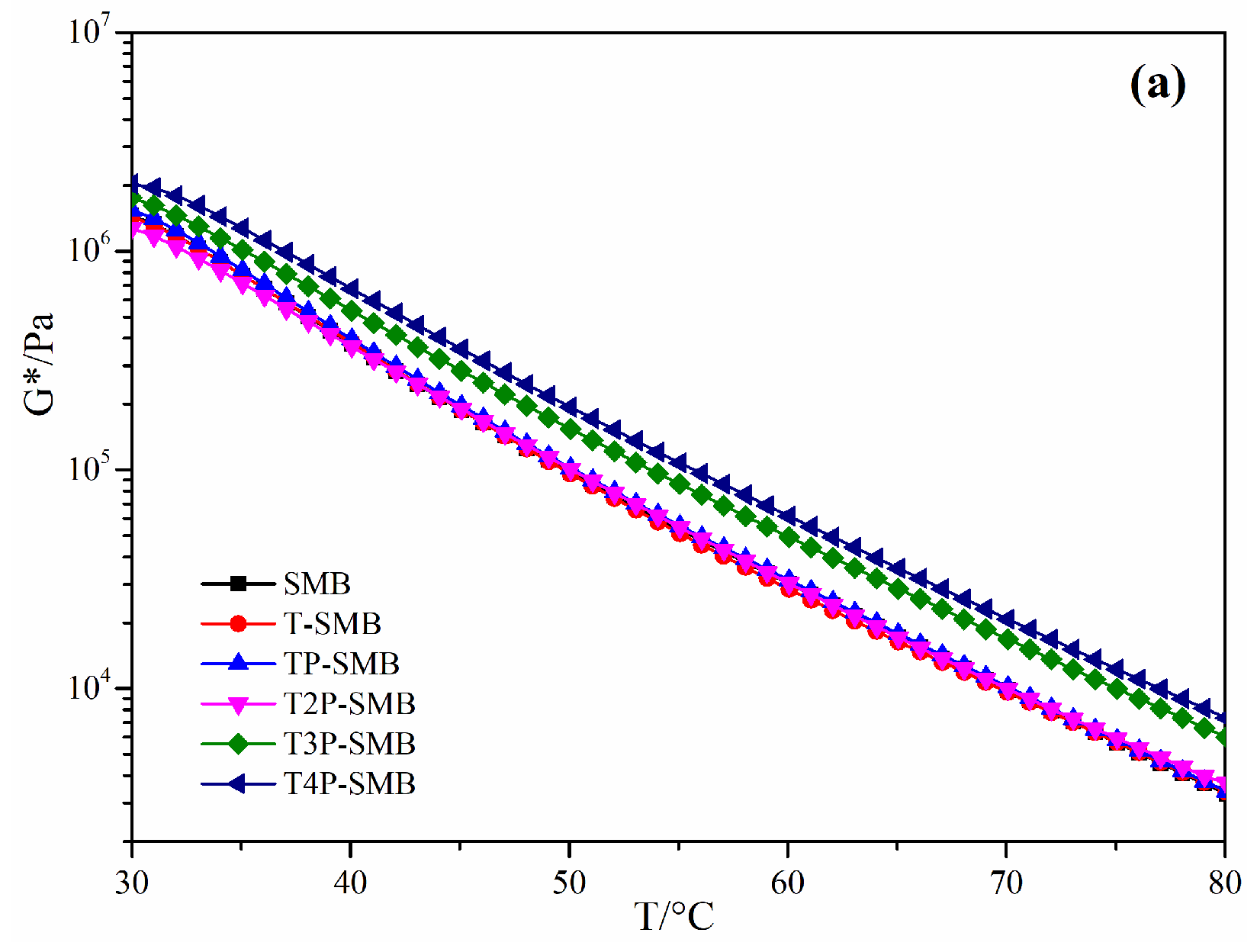
3.2.4. Rheological Properties
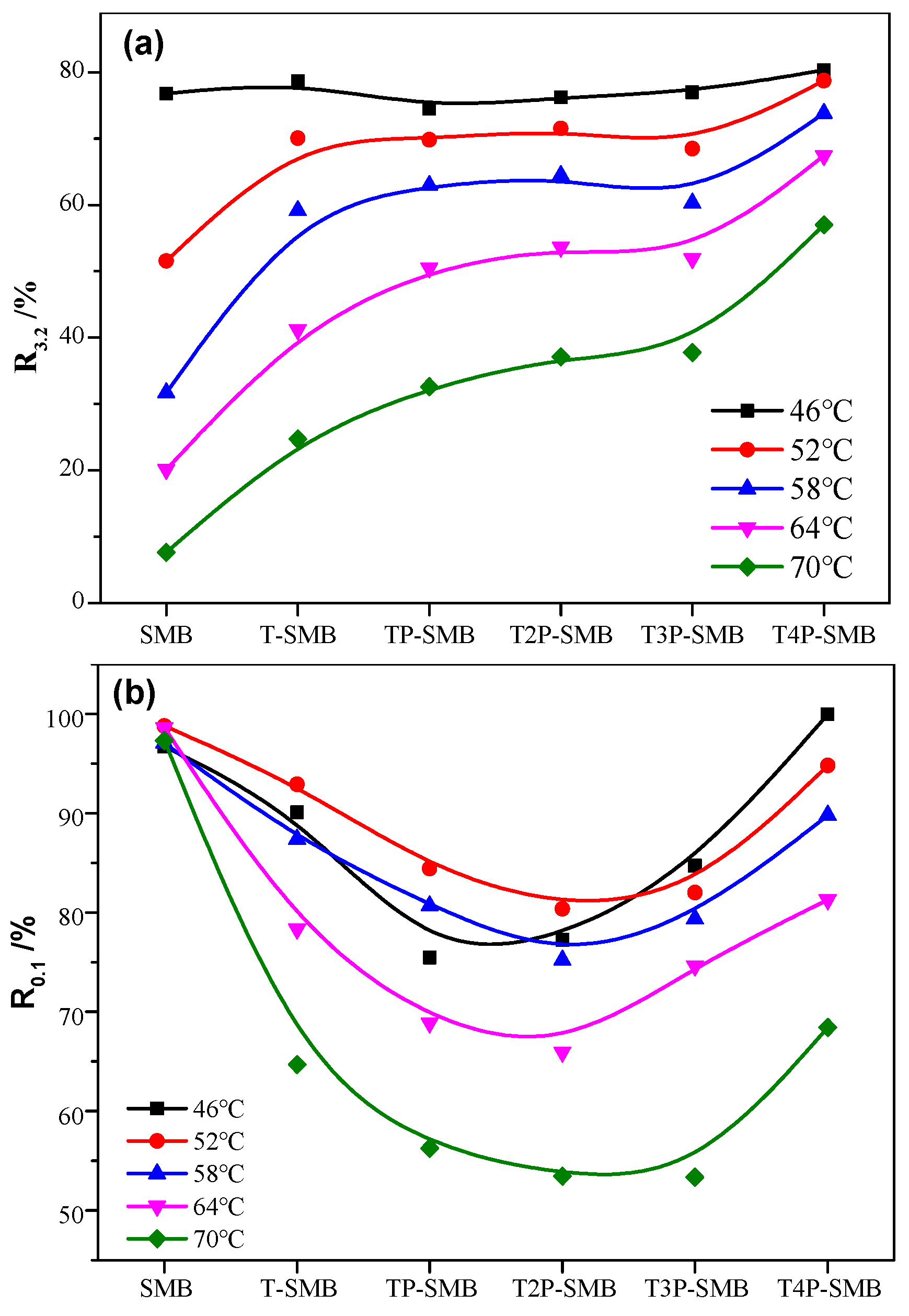
3.2.5. Multi-Stress Creep and Recovery Property
Percentage Recovery and Non-Recoverable Creep Compliance
Percentage Recovery Temperature Sensitivity
3.2.6. Fluorescence Micrograph
4. Conclusions
- [1]
- Severe oxygen absorption reactions occur in the aging process of SBS, the polybutadiene segments in SBS are more susceptible to oxidative degradation as compared with polystyrene segments, and their molecular weight decreases rapidly at the early aging stage;
- [2]
- IC=O and IS=O of SMB increase gradually with the deepening of aging; the structure index of the PB segment in SBS and its molecular weight decrease. The change rate of aging indexes and molecular weight for SMB during the aging process is far less than that of SBS in direct aging, which indicates the aging resistance of the SBS modifier inside asphalt is better than that of the SBS modifier;
- [3]
- The effect of aging on the creep recovery behavior of SMB under high and low shear stresses is quite different; it is due to the combined effect of SBS oxidation degradation and asphalt oxidation hardening;
- [4]
- SBS modifier endows the asphalt with entropy elasticity and reduces its temperature sensitivity. SBS undergoes oxidative degradation as aging progresses, resulting in a gradual weakening of entropy elasticity and an increase in stiffness elasticity;
- [5]
- FM analysis shows the distribution of SBS in SMB gradually becomes sparse and uneven and gradually disappears as aging progresses. It implies that SBS has been completely oxidized and degraded, and the viscoelastic properties of SMB have gradually transformed to those of aged matrix asphalt.
Author Contributions
Funding
Data Availability Statement
Conflicts of Interest
References
- Alsolieman, H.A.; Babalghaith, A.M.; Memon, Z.A.; Al-Suhaibani, A.S.; Milad, A. Evaluation and comparison of mechanical properties of polymer-modified asphalt mixtures. Polymers 2021, 13, 2282. [Google Scholar] [CrossRef] [PubMed]
- Chen, Q.; Wang, C.H.; Song, L. Prediction of low-temperature rheological properties of SBS modified asphalt. Adv. Civ. Eng. 2020, 2020, 8864766. [Google Scholar] [CrossRef]
- Milad, A.; Ahmeda, A.G.F.; Taib, A.M.; Rahmad, S.; Solla, M.; Yusoff, N.I.M. A review of the feasibility of using crumb rubber derived from end-of-life tire as asphalt binder modifier. J. Rubber Res. 2020, 23, 203–216. [Google Scholar] [CrossRef]
- Yan, K.; Tian, S.; Chen, J.; Liu, J. High temperature rheological properties of APAO and EVA compound modified asphalt. Constr. Build. Mater. 2020, 233, 117246. [Google Scholar] [CrossRef]
- Cheng, Y.L.; Han, H.Z.; Fang, C.Q.; Li, H.; Huang, Z.; Su, J. Preparation and properties of nano CaCO3/waste polyethylene/styrene-butadiene-styrene block polymer-modified asphalt. Polym. Composite 2019, 41, 614–623. [Google Scholar] [CrossRef]
- Fang, C.Q.; Qiao, X.T.; Yu, R.E. Influence of modification process parameters on the properties of crumb rubber/EVA modified asphalt. J. Appl. Polym. Sci. 2016, 133, 43598. [Google Scholar] [CrossRef]
- Cuciniello, G.; Leandri, P.; Filippi, S.; Presti, D.L.; Losa, M.; Airey, G. Effect of ageing on the morphology and creep and recovery of polymer-modified bitumens. Mater. Struct. 2018, 51, 136. [Google Scholar] [CrossRef]
- Saboo, N.; Kumar, R.; Kumar, P.; Gupta, A. Ranking the rheological response of SBS- and EVA-Modified Bitumen Using MSCR and LAS Tests. J. Mater. Civil. Eng. 2018, 30, 04018165. [Google Scholar] [CrossRef]
- Mashaan, N.S.; Chegenizadeh, A.; Nikraz, H.; Rezagholilou, A. Investigating the engineering properties of asphalt binder modified with waste plastic polymer. Ain Shams Eng. J. 2021, 12, 1569–1574. [Google Scholar] [CrossRef]
- Behnood, A.; Olek, J. Rheological properties of asphalt binders modified with styrene-butadiene-styrene (SBS), ground tire rubber (GTR), or polyphosphoric acid (PPA). Constr. Build. Mater. 2017, 151, 464–478. [Google Scholar] [CrossRef]
- Song, R.; Sha, A.; Shi, K.; Li, J.; Li, X.; Zhang, F. Polyphosphoric acid and plasticizer modified asphalt: Rheological properties and modification mechanism. Constr. Build. Mater. 2021, 309, 125158. [Google Scholar] [CrossRef]
- Ma, F.; Chen, L.; Zhen, F.; Huang, Y.; Dai, J.; Feng, Q. Evaluation of high temperature rheological performance of polyphosphoric acid-SBS and polyphosphoric acid-crumb rubber modified asphalt. Constr. Build. Mater. 2021, 306, 124926. [Google Scholar] [CrossRef]
- Wang, H.P.; Liu, X.Y.; Zhang, H.; Apostolidis, P.; Erkens, S.; Skarpas, A. Micromechanical modelling of complex shear modulus of crumb rubber modified bitumen. Mater. Des. 2020, 188, 108467. [Google Scholar] [CrossRef]
- Duan, H.; Zhu, C.; Zhang, H.; Zhang, S.; Xiao, F.; Amirkhanian, S. Investigation on rheological characteristics of low-emissions crumb rubber modified asphalt. Int. J. Pavement Eng. 2023, 24, 2164891. [Google Scholar] [CrossRef]
- Zhang, W.; Ma, T.; Xu, G.; Huang, X.; Ling, M.; Chen, X.; Xue, J. Fatigue resistance evaluation of modified asphalt using a multiple stress creep and recovery (MSCR) test. Appl. Sci. 2018, 8, 417. [Google Scholar] [CrossRef]
- Xiong, J.; Xuan, W.; Feng, M.; Ma, F. The performance of SBS modified asphalt binder base on the MSCR test. IOP Conf. Ser. Mater. Sci. Eng. 2019, 631, 022018. [Google Scholar] [CrossRef]
- Babagoli, R.; Vamegh, M.; Mirzababaei, P. Laboratory evaluation of the effect of SBS and Lucobite on performance properties of bitumen. Petrol. Sci. Technol. 2018, 30, 255–260. [Google Scholar] [CrossRef]
- Joohari, I.B.; Giustozzi, F. Oscillatory shear rheometry of hybrid polymer-modified bitumen using multiple stress creep and recovery and linear amplitude sweep tests. Constr. Build. Mater. 2022, 315, 125791. [Google Scholar] [CrossRef]
- Luo, X.; Ling, J.; Li, H.; Zhang, Y.; Li, Y. Nonlinear viscoelastoplastic kinetics for high-temperature performance of modified asphalt binders. Mech. Mater. 2023, 180, 104612. [Google Scholar] [CrossRef]
- Yang, Z.; Zhang, X.; Yu, J.; Xu, W. Effects of aging on the multiscale properties of SBS-modified asphalt. Arab. J. Sci. Eng. 2019, 44, 4349–4358. [Google Scholar] [CrossRef]
- Xu, G.; Yao, Y.; Wu, M.; Zhao, Y. Molecular simulation and experimental analysis on co-aging behaviors of SBS modifier and asphalt in SBS-modified asphalt. Mol. Simulat. 2023, 49, 629–642. [Google Scholar] [CrossRef]
- Yu, H.; Bai, X.; Qian, G.; Wei, H.; Gong, X.; Jin, J.; Li, Z. Impact of ultraviolet radiation on the aging properties of SBS-modified asphalt binders. Polymers 2019, 11, 1111. [Google Scholar] [CrossRef] [PubMed]
- Chen, H.; Qiu, H.; Wu, Y.; Kuang, D.; Xing, M. Aging resistance of SBS-SBR composite modified asphalt materials for high altitude and cold regions. Mater. Struct. 2022, 55, 187. [Google Scholar] [CrossRef]
- Eltwati, A.; Al-Saffar, Z.; Mohamed, A.; Hainin, M.R.; Elnihum, A.; Enieb, M. Synergistic effect of SBS copolymers and aromatic oil on the characteristics of asphalt binders and mixtures containing reclaimed asphalt pavement. Constr. Build. Mater. 2022, 327, 127026. [Google Scholar] [CrossRef]
- Wang, F.; Zhang, L.; Zhang, X.; Li, H.; Wu, S. Aging mechanism and rejuvenating possibility of SBS copolymers in asphalt binders. Polymers 2020, 12, 92. [Google Scholar] [CrossRef]
- ASTM Standard D36; Standard Test Method for Softening Point of Bitumen (Ring-and-Ball Apparatus). American Society for Testing and Materials: West Conshohocken, PA, USA, 2006.
- ASTM Standard D113; Standard Test Method for Ductility of Asphalt Materials. American Society for Testing and Materials: West Conshohocken, PA, USA, 2007.
- ASTM Standard D5; Standard Test Method for Penetration of Bituminous Materials. American Society for Testing and Materials: West Conshohocken, PA, USA, 2013.
- ASTM Standard D4402; Standard Test Method for Viscosity Determination of Asphalt at Elevated Temperatures Using a Rotational Viscometer. American Society for Testing and Materials: West Conshohocken, PA, USA, 2015.
- Liu, H.; Zeiada, W.; Al-Khateeb, G.G.; Shanableh, A.; Samarai, M. Use of the multiple stress creep recovery (MSCR) test to characterize the rutting potential of asphalt binders: A literature review. Constr. Build. Mater. 2021, 269, 121320. [Google Scholar] [CrossRef]
- Yan, C.; Huang, W.; Xiao, F.; Wang, L.; Li, Y. Proposing a new infrared index quantifying the aging extent of SBS-modified asphalt. Road Mater. Pavement. 2017, 19, 1406–1421. [Google Scholar] [CrossRef]
- Xu, X.; Yu, J.; Zhang, C.; Xu, S.; Xue, L.; Xie, D. Investigation of aging behavior and thermal stability of styrene-butadiene-styrene tri-block copolymer in blends. Polymers 2016, 40, 947–953. [Google Scholar] [CrossRef]
- Lamontagne, J. Comparison by Fourier transform infrared (FTIR) spectroscopy of different ageing techniques: Application to road bitumens. Fuel 2001, 80, 483–488. [Google Scholar] [CrossRef]
- Cao, Z.L.; Chen, M.Z.; Yu, J.Y.; Han, X.B. Preparation and characterization of active rejuvenated SBS modified bitumen for the sustainable development of high-grade asphalt pavement. J. Clean Prod. 2020, 273, 123012. [Google Scholar] [CrossRef]
- Zhou, T.; Cao, L.; Fini, E.H.; Li, L.; Liu, Z.; Dong, Z. Behaviors of asphalt under certain aging levels and effects of rejuvenation. Constr. Build. Mater. 2020, 249, 118748. [Google Scholar] [CrossRef]
- Cao, Z.L.; Chen, M.Z.; He, B.Y.; Han, X.; Yu, J.; Xue, L. Investigation of ultraviolet aging resistance of bitumen modified by layered double hydroxides with different particle sizes. Constr. Build. Mater. 2019, 196, 166–174. [Google Scholar] [CrossRef]
- Johnson, C.M.; Bahia, H.; Wen, H.F. Practical application of viscoelastic continuum damage theory to asphalt binder fatigue characterization. Asph. Paving Technol.-Proc. 2009, 78, 597–638. [Google Scholar]




















| Penetration 25 °C/0.1 mm | Ductility/cm | Softening Point/°C | Viscosity 135 °C/Pa⸱s | |
|---|---|---|---|---|
| Asphalt | 71 | 13.5 (10 °C) | 49.5 | 0.49 |
| SMB | 51 | 32.5 (5 °C) | 69.5 | 2.68 |
| Sample | Aging Method | Sample | Aging Method |
|---|---|---|---|
| SMB | No aging | SBS | No aging |
| T-SMB | TFOT | T-SBS | TFOT |
| TP-SMB | TFOT + PAV | TP-SBS | TFOT + PAV |
| T2P-SMB | TFOT + 2PAV | T2P-SBS | TFOT + 2PAV |
| T3P-SMB | TFOT + 3PAV | T3P-SBS | TFOT + 3PAV |
| T4P-SMB | TFOT + 4PAV | T4P-SBS | TFOT + 4PAV |
| Temperature/°C | Plates Gap/mm | Plates Diameter/mm | Scanning Frequency/rad/s | Heating Rate/°C/min |
|---|---|---|---|---|
| −10~30 | 2 | 8 | 10 | 2 |
| 30~80 | 1 | 25 | 10 | 2 |
| Wavenumber/cm−1 | Group | Structure | Vibration Type |
|---|---|---|---|
| 699 | styrene | Ph-H | Out-of-plane bending vibration of monosubstituted benzene |
| 969 | butadiene | (trans)-CH=CH | Out-of-plane bending vibration |
| 1450 | methylene | -CH2- | Out-of-plane bending vibration |
| 1495 | benzene | ![]() | Benzene ring skeleton vibration |
| 1720 | carbonyl | C=O | Stretching vibration |
| 2845 | methylene | -CH2- | Symmetric stretching vibration |
| 2870 | methyl | -CH3 | Symmetric stretching vibration |
| 2923 | methylene | -CH2- | Asymmetrical stretching vibration |
| 2952 | methyl | -CH3 | Asymmetrical stretching vibration |
| Sample | LogG* = KT + B |
|---|---|
| SMB | LogG* = −0.05301T + 7.69565 |
| T-SMB | LogG* = −0.05316T + 7.69777 |
| TP-SMB | LogG* = −0.05327T + 7.72873 |
| T2P-SMB | LogG* = −0.05182T + 7.63042 |
| T3P-SMB | LogG* = −0.04995T + 7.72096 |
| T4P-SMB | LogG* = −0.05003T + 7.82036 |
| R3.2 = KT + B | |K| | R0.1 = KT + B | |K| | |
|---|---|---|---|---|
| SMB | R3.2 = −2.829T + 201.71 | 2.829 | R0.1 = 0.017T + 96.66 | 0.017 |
| T-SMB | R3.2 = −2.278T + 186.89 | 2.278 | R0.1 = −1.089T + 145.87 | 1.089 |
| TP-SMB | R3.2 = −1.718T + 157.73 | 1.718 | R0.1 = −0.899T + 125.32 | 0.899 |
| T2P-SMB | R3.2 = −1.601T + 153.47 | 1.601 | R0.1 = −1.033T + 130.36 | 1.033 |
| T3P-SMB | R3.2 = −1.584T + 150.97 | 1.584 | R0.1 = −1.168T + 142.61 | 1.168 |
| T4P-SMB | R3.2 = −0.965T + 127.48 | 0.965 | R0.1 = −1.276T + 160.88 | 1.276 |
Disclaimer/Publisher’s Note: The statements, opinions and data contained in all publications are solely those of the individual author(s) and contributor(s) and not of MDPI and/or the editor(s). MDPI and/or the editor(s) disclaim responsibility for any injury to people or property resulting from any ideas, methods, instructions or products referred to in the content. |
© 2024 by the authors. Licensee MDPI, Basel, Switzerland. This article is an open access article distributed under the terms and conditions of the Creative Commons Attribution (CC BY) license (https://creativecommons.org/licenses/by/4.0/).
Share and Cite
Cao, Z.; Hao, Q.; Qu, X.; Qiu, K.; Zhao, R.; Liu, Q. Evolution of Structure and Properties of SBS-Modified Asphalt during Aging Process. Buildings 2024, 14, 291. https://doi.org/10.3390/buildings14010291
Cao Z, Hao Q, Qu X, Qiu K, Zhao R, Liu Q. Evolution of Structure and Properties of SBS-Modified Asphalt during Aging Process. Buildings. 2024; 14(1):291. https://doi.org/10.3390/buildings14010291
Chicago/Turabian StyleCao, Zhilong, Qianlong Hao, Xin Qu, Kexin Qiu, Ruiqi Zhao, and Qianyu Liu. 2024. "Evolution of Structure and Properties of SBS-Modified Asphalt during Aging Process" Buildings 14, no. 1: 291. https://doi.org/10.3390/buildings14010291
APA StyleCao, Z., Hao, Q., Qu, X., Qiu, K., Zhao, R., & Liu, Q. (2024). Evolution of Structure and Properties of SBS-Modified Asphalt during Aging Process. Buildings, 14(1), 291. https://doi.org/10.3390/buildings14010291

