The Mechanical Behavior and Constitutive Model Study of Coarse-Grained Soil under Cyclic Loading–Unloading in Large-Scale Plane Strain Conditions
Abstract
1. Introduction
2. Coarse-Grained Soil, Apparatus, and Scheme
2.1. Physical Properties of Coarse-Grained Soil
2.2. The Test Instruments and Plans
3. Test Results and Discussion
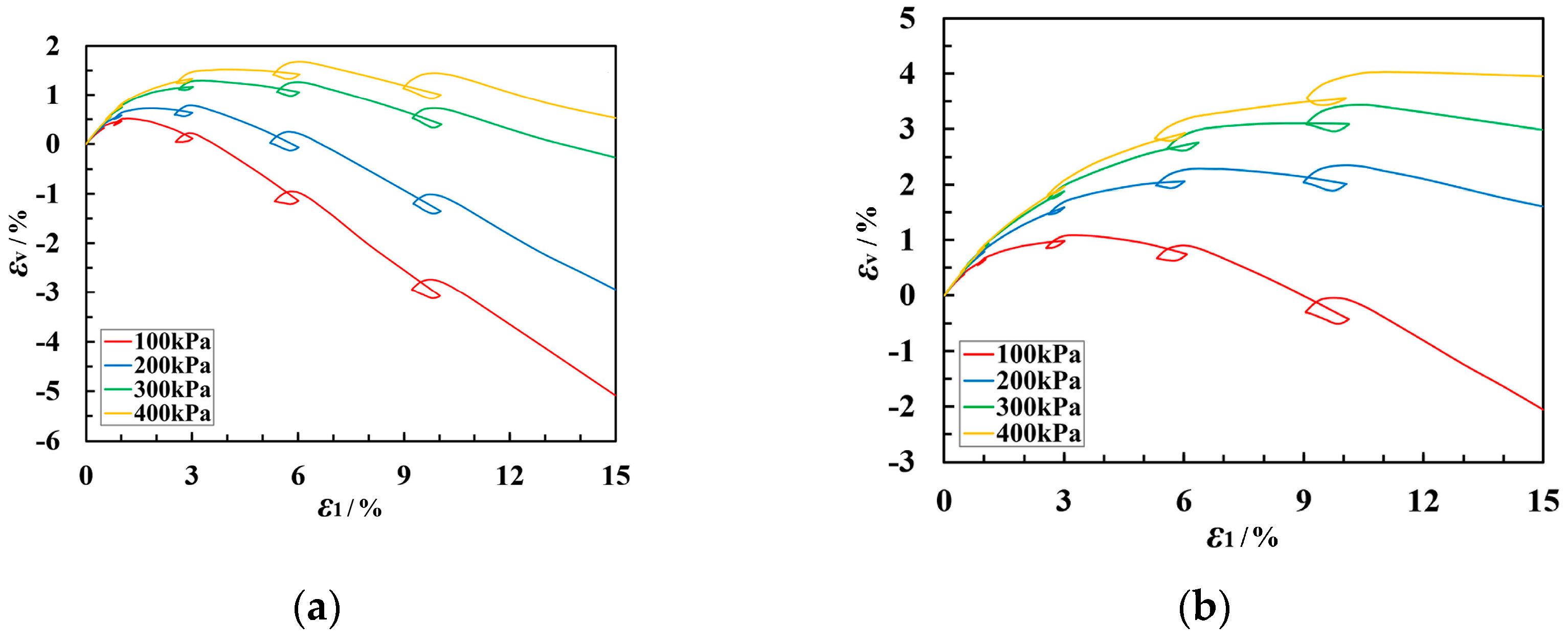
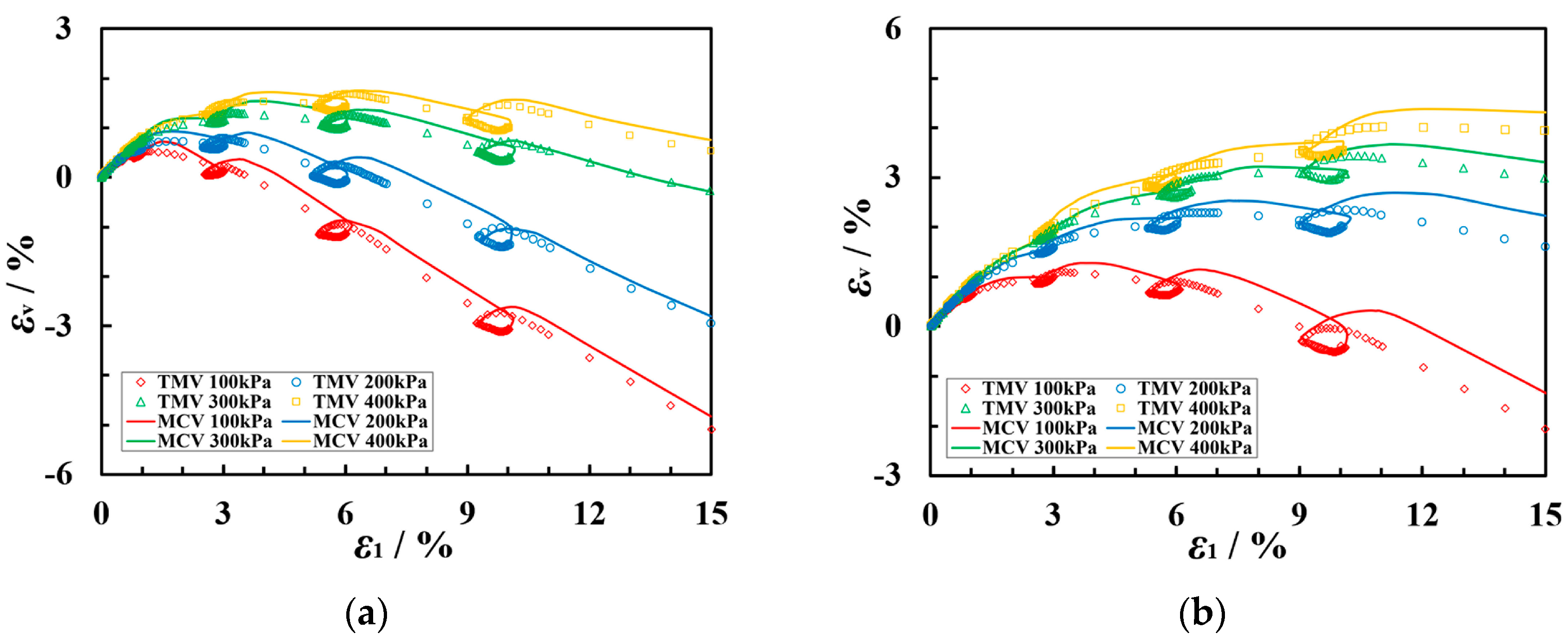
3.1. The Volumetric Strain
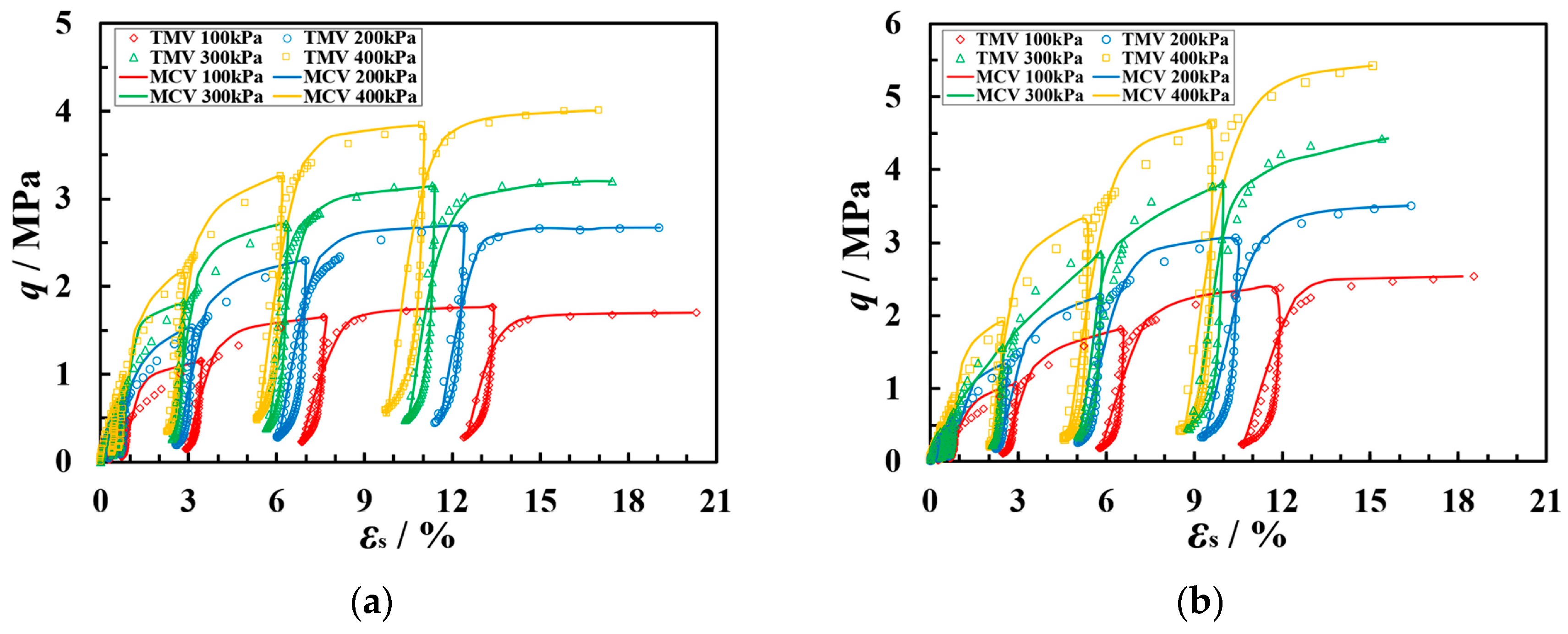
3.2. The Shear Stress–Strain Behavior
3.3. Modulus in Cyclic Loading–Unloading Stress Path
4. A Cyclic Loading–Unloading Constitutive Model
4.1. The Idea of Establishing the Model
4.2. The Loading (Reloading) Constitutive Model
4.2.1. Elastic Strain of the Loading Section
4.2.2. The Hardening Parameter k and Plastic Work Wp
4.2.3. The Correction of Plastic Potential Parameter k1
4.2.4. The Plastic Multiplier dλ
4.3. The Unloading Constitutive Model
4.3.1. The Unloading Tangent Modulus (Eut)
4.3.2. The Unloading Tangent Poisson’s Ratio (νtu)
5. Validation of the Model
6. Conclusions
Author Contributions
Funding
Data Availability Statement
Conflicts of Interest
References
- Zhai, Q.; Rahardjo, H.; Satyanaga, A.; Dai, G. Estimation of the soil-water characteristic curve from the grain size distribution of coarse-grained soils. Eng. Geol. 2020, 267, 105502. [Google Scholar] [CrossRef]
- Wang, S.Y.; Zhan, Y.J.; Qu, T.M.; Qiu, T.; Wang, H.B. Effect of Gradation on Undrained Compressibility of Foam-Conditioned Coarse-Grained Soils. Int. J. Geomech. 2023, 23, 04023089. [Google Scholar] [CrossRef]
- Guo, Q.G. Engineering Characteristics and Application of Coarse-Grained Soil; The Yellow River Water Conservancy Press: Zhengzhou, China, 1998. [Google Scholar]
- Pan, X.D.; Hudson, J.A. Plane strain analysis in modelling three-dimensional tunnel excavations. Int. J. Rock Mech. Min. 1988, 25, 331–337. [Google Scholar] [CrossRef]
- Guo, H.J.; Ji, M.; Zhao, W.S. Roadway support design based on in-situ stress and its asymmetrical distributions in a coal mine. Arch. Min. Sci. 2020, 65, 299–315. [Google Scholar]
- Zhang, C.P.; Han, K.H. Collapsed shape of shallow unlined tunnels based on functional catastrophe theory. Math. Probl. Eng. 2015, 2015, 681257. [Google Scholar] [CrossRef]
- Wilson, D.W.; Abbo, A.J.; Sloan, S.W.; Yamamoto, K. Undrained stability of rectangular tunnels where shear strength increases linearly with depth. Can. Geotech. J. 2017, 54, 469–480. [Google Scholar] [CrossRef]
- Huang, M.S.; Wang, H.Y.; Yu, J.; Tang, Z. Undrained stability analysis of a plane strain circular tunnel using streamline velocity fields. Int. J. Geomech. 2019, 19, 1–7. [Google Scholar] [CrossRef]
- Zlatanović, E.; Trajković-Milenković, M.; Lukić, D.; Brčić, S.; Šešov, V. A comparison of linear and nonlinear seismic tunnel-ground interaction analyses. Acta Geotech. Slov. 2016, 13, 27–42. [Google Scholar]
- Shi, W.C.; Zhu, J.G.; Zhang, B.; Yu, T. Strength characteristics of coarse-grained soil under plane strain condition. Chin. J. Geotech. Eng. 2011, 33, 1974–1979. [Google Scholar]
- Shi, W.C.; Zhu, J.G.; Zhang, K.Y.; Yu, T. Experimental study of deformation characteristics of coarse-grained soil under plane strain condition. Rock Soil Mech. 2013, 34, 101–108. [Google Scholar]
- Lu, D.C.; Du, X.L.; Zhou, A.N.; Yao, Y.P. The principal stresses of soil mass in the direction of plane strain. Adv. Mater. Res. 2011, 243–249, 2657–2665. [Google Scholar] [CrossRef]
- Pan, J.J.; Jiang, J.W.; Cheng, Z.L.; Xu, H.; Zuo, Y.Z. Large-Scale True Triaxial Test on Stress-Strain and Strength Properties of Rockfill. Int. J. Geomech. 2020, 20. [Google Scholar] [CrossRef]
- Jiang, J.W.; Pan, J.J.; Cheng, Z.L.; Xu, H.; Tan, F. Experimental Study on the Applicability of Failure Criteria for Rockfill in Three-Dimensional Stress Conditions. Int. J. Geomech. 2021, 21. [Google Scholar] [CrossRef]
- Liu, W.; Liang, J.W.; Xu, T. Tunnelling-induced ground deformation subjected to the behavior of tail grouting materials. Tunn. Undergr. Space Technol. 2023, 140, 105253. [Google Scholar] [CrossRef]
- Dong, C.L.; Zhao, G.M.; Lu, X.Y.; Meng, X.R.; Li, Y.M.; Cheng, X. Similar simulation device for unloading effect of deep roadway excavation and its application. J. Mt. Sci.-Engl. 2018, 15, 1115–1128. [Google Scholar]
- Sun, Y.G.; Gao, Y.F.; Liu, J.M.; Cao, J.T.; Huang, S.J. Experimental study on the softening of saturated clay of zhuhai tunnel under cyclic loading. J. Yangtze River Sci. Res. Inst. 2014, 31, 52–55. [Google Scholar]
- Zhang, Y.W.; Xie, Y.L.; Weng, M.S. Centrifugal test on influence of asymmetric foundation excavation to an underlying subway tunnel. Rock Soil Mech. 2018, 39, 2555–2562. [Google Scholar]
- Ji, F.; Shi, Y.; Li, R.; Zhou, H.; Wang, D.; Zhang, J. Progressive geomorphic evolution of reservoir bank in coarse-grained soil in East China–Insights from long-term observations and physical model test. Eng. Geol. 2021, 281, 105966. [Google Scholar] [CrossRef]
- Zhu, J.G.; Wang, Y.L.; Jia, H.; Zhang, B. Experimental study on resilience behaviour of coarse-grained soils. Chin. J. Geotech. Eng. 2011, 33, 950–954. [Google Scholar]
- Chu, F.Y.; Zhu, J.G.; Jia, H.; An, S.H. Experimental study of mechanical behaviour of coarse-grained soil in unloading and reloading. Rock Soil Mech. 2012, 33, 1061–1066. [Google Scholar]
- Yu, H.; Shen, X.M.; Ye, Y.C.; Yang, J.; Zhu, C.H. Large-scale triaxial tests on dilatancy characteristics of lean cemented sand and gravel. Front. Earth Sci. 2021, 9, 799215. [Google Scholar] [CrossRef]
- Zhang, P.F.; Liu, H.; Feng, Z.T.; Jia, C.F.; Zhou, R. A constitutive model of sandy gravel soil under large-sized loading/unloading triaxial tests. Adv. Civ. Eng. 2021, 7, 4998351. [Google Scholar] [CrossRef]
- Ling, H.; Chen, S.S.; Zhai, Y.C.; Fu, H.; Shi, B.X. Experimental study on strength and deformation of filling materials of super-high dams with wide confining pressures under loading and unloading conditions. Chin. J. Geotech. Eng. 2021, 43, 27–33. [Google Scholar]
- Wang, Y.M.; Wang, Y.Q.; Luo, S.; Liu, H.; Yi, G.S.; Peng, K. Influence of the Crack Angle on the Deformation and Failure Characteristics of Sandstone under Stepped Cyclic Uniaxial Compression with a Constant Lower Limit. Mathematics 2023, 11, 2187. [Google Scholar] [CrossRef]
- Long, Y.; Sun, L.; Cai, Z.; Jiang, Z.; Wang, Z.; He, Q.; Bai, Z. Cyclic Loading and Unloading of Weakly Consolidated Sandstone with Various Water Contents. Sustainability 2023, 15, 13866. [Google Scholar] [CrossRef]
- Tao, Z.F.; Wang, Z.Y.; Ling, J.M.; Tian, Y.; Cai, J.W.; Shi, R. Anisotropic resilient modulus model of granular materials based on particle characteristics. Transp. Res. Rec. 2021, 2675, 970–984. [Google Scholar] [CrossRef]
- Wang, Y.; Du, W.; Zhang, D.; Yu, B. Effect of Loading and Unloading Rates on Sandstone Deformation and Dilatancy under True Triaxial Condition. Sustainability 2023, 15, 5105. [Google Scholar] [CrossRef]
- Wang, S.; Wang, L.G.; Tian, J.S.; Fan, H.; Jiang, C.Y.; Ding, K. An experimental study on the effects of true triaxial loading and unloading stress paths on the mechanical properties of red sandstone. Minerals 2022, 12, 204. [Google Scholar] [CrossRef]
- Liu, B.H.; Kong, L.W.; Xu, G.F.; Sun, Z.L. Effects of three-dimensional cyclic stresses on permanent deformation of natural undisturbed clay. Int. J. Geomech. 2022, 12, 04022220. [Google Scholar] [CrossRef]
- Wang, Y.X.; Shao, S.J.; Wang, Z.; Liu, A.G. Experimental study on the unloading characteristics of coarse aggregate under true triaxial shear loading. Chin. J. Rock Mech. Eng. 2020, 39, 1503–1512. [Google Scholar]
- Ministry of Water Resources of the PRC. GB/T50123-2019; Standard for Geotechnical Testing Method. China Planning Press: Beijing, China, 2019.
- Shao, S.J.; Wang, Y.X.; Shao, S. A large-scale true triaxial apparatus with rigid-flexible-flexible boundary for granular materials. Geotech. Test J. 2021, 44, 1179–1196. [Google Scholar] [CrossRef]
- Zheng, Y.R.; Kong, L. Geotechnical Plastic Mechanics; China Architecture & Building Press: Beijing, China, 2010. [Google Scholar]



















| Soil Sample | Sample Dry Density ρd (g·cm−3) | Specific Gravity Gs | Void Ratio e | Relative Density Dr |
|---|---|---|---|---|
| Soil A | 1.96 | 2.64 | 0.344 | 0.89 |
| Soil B | 1.80 | 2.68 | 0.487 | 0.89 |
| Soil Sample | Soil A | Soil B | ||||||
|---|---|---|---|---|---|---|---|---|
| σ3 (kPa) | 100 | 200 | 300 | 400 | 100 | 200 | 300 | 400 |
| Ei (MPa) | 54 | 78 | 111 | 135 | 61 | 92 | 128 | 157 |
| Eir (MPa) | 87 | 115 | 163 | 186 | 94 | 141 | 184 | 216 |
| Eur (MPa) | 193 | 256 | 324 | 397 | 191 | 282 | 356 | 411 |
| Eiu (MPa) | 1049 | 1286 | 1573 | 1729 | 1139 | 1532 | 1731 | 2139 |
| Modulus Parameters | Soil A | Soil B |
|---|---|---|
| Ki | 52,784 | 60,187 |
| Kiu | 1,037,528 | 1,134,488 |
| Kir | 84,742 | 94,275 |
| Kur | 145,044 | 163,042 |
| ni | 0.6678 | 0.6855 |
| niu | 0.3673 | 0.4336 |
| nir | 0.5647 | 0.6046 |
| nur | 0.6202 | 0.5908 |
| Model Parameter | Soil A | Soil B |
|---|---|---|
| ν | 0.2000 | 0.2100 |
| lil | 0.5750 | 0.5183 |
| mil | 114.5510 | 60.1866 |
| lrl | 0.6785 | 0.6871 |
| mrl | 708.2719 | 649.0826 |
| c | −0.8935 | −0.9913 |
| d | 0.0075 | 0.0053 |
| f | 0.4395 | 0.4593 |
| Gu | 0.8137 | 0.6076 |
| Fu | −0.2016 | −0.1822 |
| Du | 0.3961 | 0.4692 |
Disclaimer/Publisher’s Note: The statements, opinions and data contained in all publications are solely those of the individual author(s) and contributor(s) and not of MDPI and/or the editor(s). MDPI and/or the editor(s) disclaim responsibility for any injury to people or property resulting from any ideas, methods, instructions or products referred to in the content. |
© 2024 by the authors. Licensee MDPI, Basel, Switzerland. This article is an open access article distributed under the terms and conditions of the Creative Commons Attribution (CC BY) license (https://creativecommons.org/licenses/by/4.0/).
Share and Cite
Wang, Z.; Shao, S.; Shao, S.; Yang, L. The Mechanical Behavior and Constitutive Model Study of Coarse-Grained Soil under Cyclic Loading–Unloading in Large-Scale Plane Strain Conditions. Buildings 2024, 14, 200. https://doi.org/10.3390/buildings14010200
Wang Z, Shao S, Shao S, Yang L. The Mechanical Behavior and Constitutive Model Study of Coarse-Grained Soil under Cyclic Loading–Unloading in Large-Scale Plane Strain Conditions. Buildings. 2024; 14(1):200. https://doi.org/10.3390/buildings14010200
Chicago/Turabian StyleWang, Zhi, Shuai Shao, Shengjun Shao, and Liguo Yang. 2024. "The Mechanical Behavior and Constitutive Model Study of Coarse-Grained Soil under Cyclic Loading–Unloading in Large-Scale Plane Strain Conditions" Buildings 14, no. 1: 200. https://doi.org/10.3390/buildings14010200
APA StyleWang, Z., Shao, S., Shao, S., & Yang, L. (2024). The Mechanical Behavior and Constitutive Model Study of Coarse-Grained Soil under Cyclic Loading–Unloading in Large-Scale Plane Strain Conditions. Buildings, 14(1), 200. https://doi.org/10.3390/buildings14010200

