Physicomechanical Behavior of High-Performance Concrete Reinforced with Recycled Steel Fibers from Twisted Cables in the Brittle State—Experimentation and Statistics
Abstract
1. Introduction
2. Materials and Methods
2.1. Materials
2.2. Experimental Procedure
3. Results and Discussion
3.1. Physicomechanical Properties of HPFRC
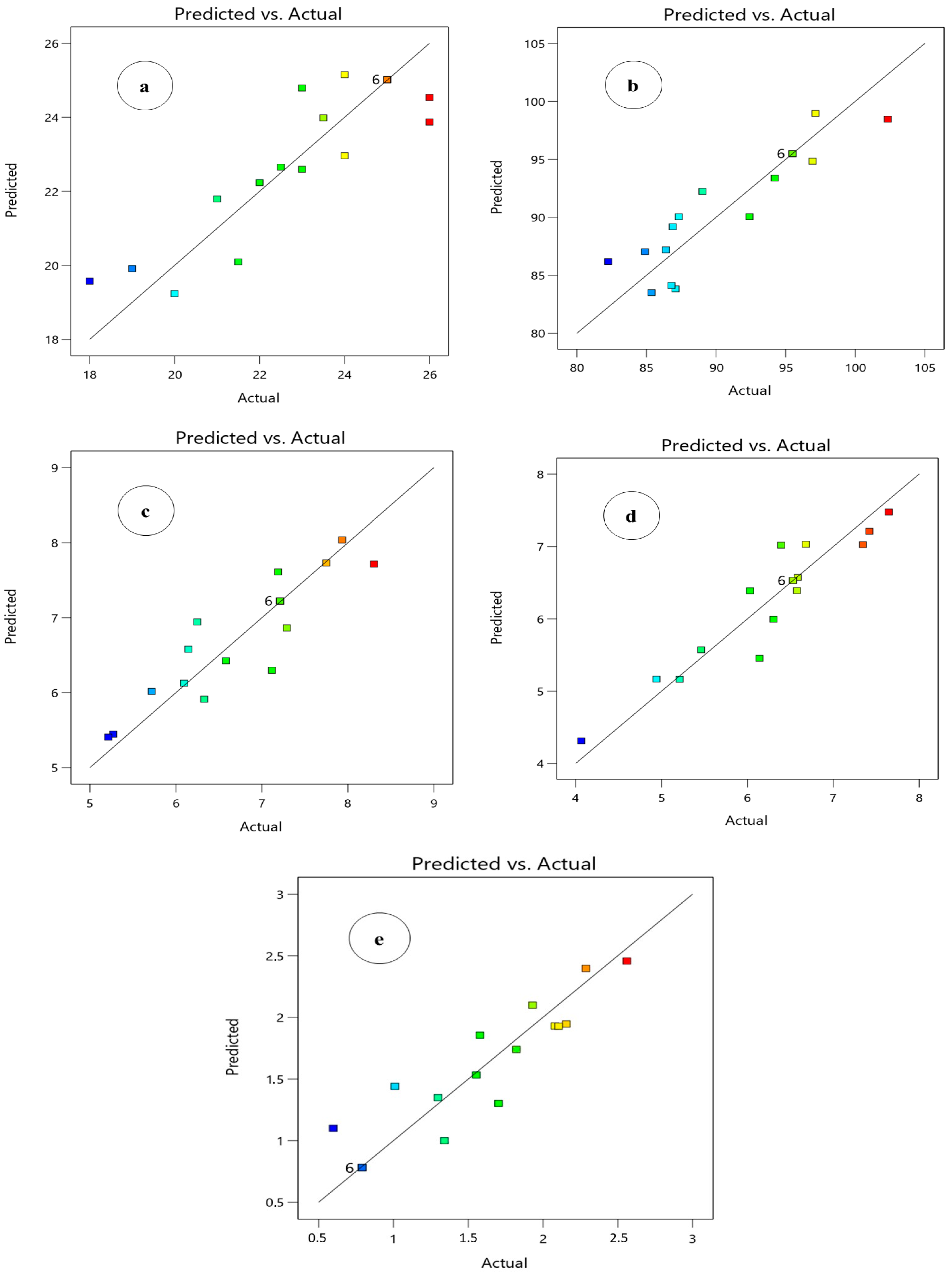
3.2. Modeling and Analysis
3.3. RSM Optimization
3.4. Experimental Validation
3.5. Microstructure of HPFRCs
4. Conclusions
- The RSM effectively predicted the different HPFRC properties. ANOVA analysis highlighted the generated models’ ability to capture the link between independent variables and responses. Probability distribution analysis further verified the model’s accuracy in predicting HPFRC properties.
- Optimal slump performance was achieved for an L/d ratio of 63 (L = 22 mm and d = 0.35 mm), a W/B ratio around 0.28, and an SFC of approximately 22 kg/m³. Conversely, the lowest slump values appeared for high W/B ratio and SFC.
- Compressive strength notably increased for an L/d ratio of around 70, a W/B ratio of about 0.28, and a maximum SFC of 29 kg/m³. Higher flexural strength was achieved for high L/d ratio and SFC, irrespective of W/B variations. In contrast, lower flexural strength values were found for a low fiber content and a high W/B ratio.
- The split tensile strength was improved by increasing both L/d ratio and SFC content with a low W/B ratio. Conversely, a weak split tensile strength was observed for high W/B ratios and low SFC and L/d ratios.
- HPFRC mixes featuring an L/d ratio of about 65, an SFC content of around 25 kg/m³, and a W/B ratio ranging from 0.28 to 0.29 exhibited reduced WA compared to other blends. Conversely, mixes with low SFC content and L/d ratio showed significantly higher WA.
- Scanning electron microscopy (SEM) images confirmed a strong bond between the cementitious matrix and recycled fibers with an aspect ratio (L/d) of 63, enhancing overall HPFRC performance. Additionally, X-ray Diffraction (XRD) analysis proved valuable in identifying mineral compounds within samples, providing insights into material composition and crystalline structure through diffraction patterns and peak intensities.
- Utilizing steel fibers extracted from cable waste in concrete proves to be an excellent approach and an effective solution for enhancing the properties of both fresh and hardened concrete. Moreover, this method contributes to waste reduction and environmental protection and reduces energy consumption during the recycling of industrial fibers.
Author Contributions
Funding
Data Availability Statement
Conflicts of Interest
References
- Fallah-Valukolaee, S.; Hashemi, S.K.; Nematzadeh, M. Effect of Steel Fiber on Flexural Performance of Bilayer Concrete Beams with Steel and GFRP Rebars: Experiments and Predictions. In Proceedings of the Structures; Elsevier: Amsterdam, The Netherlands, 2022; Volume 39, pp. 405–418. [Google Scholar]
- Fang, B.; Hu, Z.; Shi, T.; Liu, Y.; Wang, X.; Yang, D.; Zhu, K.; Zhao, X.; Zhao, Z. Research progress on the properties and applications of magnesium phosphate cement. Ceram. Int. 2022, 49, 4001–4016. [Google Scholar] [CrossRef]
- Shi, T.; Liu, Y.; Hu, Z.; Cen, M.; Zeng, C.; Xu, J.; Zhao, Z. Deformation Performance and Fracture Toughness of Carbon Nanofiber Modified Cement-Based Materials. ACI Mater. J. 2022, 119, 119–128. [Google Scholar]
- Abdolpour, H.; Niewiadomski, P.; Sadowski, Ł. Recycling of Steel Fibres and Spent Equilibrium Catalyst in Ultra-High Performance Concrete: Literature Review, Research Gaps, and Future Development. Constr. Build. Mater. 2021, 309, 125147. [Google Scholar] [CrossRef]
- Li, D.; Nie, J.H.; Wang, H.; Yan, J.B.; Hu, C.X.; Shen, P. Damage location, quantification and characterization of steel-concrete composite beams using acoustic emission. Eng. Struct. 2023, 283, 115866. [Google Scholar] [CrossRef]
- Onuaguluchi, O.; Banthia, N. Scrap Tire Steel Fiber as a Substitute for Commercial Steel Fiber in Cement Mortar: Engineering Properties and Cost-Benefit Analyses. Resour. Conserv. Recycl. 2018, 134, 248–256. [Google Scholar] [CrossRef]
- Cai, J.; Pan, J.; Li, G.; Elchalakani, M. Behaviors of eccentrically loaded ECC-encased CFST columns after fire exposure. Eng. Struct. 2023, 289, 116258. [Google Scholar] [CrossRef]
- Centonze, G.; Leone, M.; Aiello, M.A. Steel Fibers from Waste Tires as Reinforcement in Concrete: A Mechanical Characterization. Constr. Build. Mater. 2012, 36, 46–57. [Google Scholar] [CrossRef]
- Awolusi, T.F.; Oke, L.O.; Akinkurolere, O.O.; Ubani, D.P.; Bamisaye, R.T.; Aluko, O.G. The Application of Response Surface Methodology in Understanding the Compressive Strength and Water Absorption Capacity of Sandcrete Blocks. Silicon 2021, 13, 4123–4132. [Google Scholar] [CrossRef]
- Jin, M.; Ma, Y.; Li, W.; Huang, J.; Yan, Y.; Zeng, H.; Lu, C.; Liu, J. Multi-scale investigation on composition-structure of C-(A)-S-H with different Al/Si ratios under attack of decalcification action. Cem. Concr. Res. 2023, 172, 107251. [Google Scholar] [CrossRef]
- Zhou, S.; Lu, C.; Zhu, X.; Li, F. Preparation and Characterization of High-Strength Geopolymer Based on BH-1 Lunar Soil Simulant with Low Alkali Content. Engineering 2021, 7, 1631–1645. [Google Scholar] [CrossRef]
- Fakoor, M.; Nematzadeh, M. Evaluation of Post-Fire Pull-Out Behavior of Steel Rebars in High-Strength Concrete Containing Waste PET and Steel Fibers: Experimental and Theoretical Study. Constr. Build. Mater. 2021, 299, 123917. [Google Scholar] [CrossRef]
- Sun, L.; Wang, C.; Zhang, C.; Yang, Z.; Li, C.; Qiao, P. Experimental investigation on the bond performance of sea sand coral concrete with FRP bar reinforcement for marine environments. Adv. Struct. Eng. 2022, 26, 533–546. [Google Scholar] [CrossRef]
- Dieng, L.; Périer, V.; Gaillet, L.; Tessier, C. Mécanismes de Dégradation et Moyens de Protection des Câbles du Génie Civil: Exemple des Câbles de Haubanage. Mech. Ind. 2009, 10, 33–42. [Google Scholar] [CrossRef]
- Becker, K. La Resistance a la Fatigue des Cables D’acier-Influence sur la Duree de vie des Cables D’extraction; Le tréfilé; MEISENBACH KG: Fischbachtal, Germany, 1979; pp. 212–215. Available online: https://trid.trb.org/view/1045369 (accessed on 17 July 2023).
- Zhang, W.; Kang, S.; Liu, X.; Lin, B.; Huang, Y. Experimental study of a composite beam externally bonded with a carbon fiber-reinforced plastic plate. J. Build. Eng. 2023, 71, 106522. [Google Scholar] [CrossRef]
- As’ad, S.; Gunawan, P.; Alaydrus, M.S. Fresh State Behavior of Self Compacting Concrete Containing Waste Material Fibres. Procedia Eng. 2011, 14, 797–804. [Google Scholar] [CrossRef][Green Version]
- Denzin Tonoli, G.H.; de Souza Almeida, A.E.F.; Pereira-da-Silva, M.A.; Bassa, A.; Oyakawa, D.; Savastano, H., Jr. Surface Properties of Eucalyptus Pulp Fibres as Reinforcement of Cement-Based Composites. Holzforschung 2010, 64, 595–601. [Google Scholar] [CrossRef]
- Bayramov, F.; Taşdemir, C.; Taşdemir, M. Optimisation of Steel Fibre Reinforced Concretes by Means of Statistical Response surface Method. Cem. Concr. Compos. 2004, 26, 665–675. [Google Scholar] [CrossRef]
- Yazıcı, Ş.; İnan, G.; Tabak, V. Effect of Aspect Ratio and Volume Fraction of Steel Fiber on the Mechanical Properties of SFRC. Constr. Build. Mater. 2007, 21, 1250–1253. [Google Scholar] [CrossRef]
- Qu, D.; Cai, X.; Chang, W. Evaluating the Effects of Steel Fibers on Mechanical Properties of Ultra-High Performance Concrete Using Artificial Neural Networks. Appl. Sci. 2018, 8, 1120. [Google Scholar] [CrossRef]
- Mohtasham Moein, M.; Saradar, A.; Rahmati, K.; Hatami Shirkouh, A.; Sadrinejad, I.; Aramali, V.; Karakouzian, M. Investigation of Impact Resistance of High-Strength Portland Cement Concrete Containing Steel Fibers. Materials 2022, 15, 7157. [Google Scholar] [CrossRef]
- Kytinou, V.K.; Chalioris, C.E.; Karayannis, C.G.; Elenas, A. Effect of Steel Fibers on the Hysteretic Performance of Concrete beams with Steel Reinforcement—Tests and Analysis. Materials 2020, 13, 2923. [Google Scholar] [CrossRef]
- Holschemacher, K.; Mueller, T.; Ribakov, Y. Effect of Steel Fibres on Mechanical Properties of High-Strength Concrete. Mater. Des. 2010, 31, 2604–2615. [Google Scholar] [CrossRef]
- Huang, H.; Yuan, Y.; Zhang, W.; Zhu, L. Property Assessment of High-Performance Concrete Containing Three Types of Fibers. Int. J. Concr. Struct. Mater. 2021, 15, 39. [Google Scholar] [CrossRef]
- Chun, B.; Yoo, D.-Y. Hybrid Effect of Macro and Micro Steel Fibers on the Pullout and Tensile Behaviors of Ultra-High-Performance Concrete. Compos. Part B Eng. 2019, 162, 344–360. [Google Scholar] [CrossRef]
- Park, J.-J.; Yoo, D.-Y.; Park, G.-J.; Kim, S.-W. Feasibility of Reducing the Fiber Content in Ultra-High-Performance Fiber-Reinforced Concrete under Flexure. Materials 2017, 10, 118. [Google Scholar] [CrossRef] [PubMed]
- Basser, H.; Shaghaghi, T.M.; Afshin, H.; Ahari, R.S.; Mirrezaei, S.S. An Experimental Investigation and Response Surface Methodology-Based Modeling for Predicting and Optimizing the Rheological and Mechanical Properties of Self-Compacting Concrete Containing Steel Fiber and PET. Constr. Build. Mater. 2022, 315, 125370. [Google Scholar] [CrossRef]
- Tang, H.; Yang, Y.; Li, H.; Xiao, L.; Ge, Y. Effects of chloride salt erosion and freeze–thaw cycle on interface shear behavior between ordinary concrete and self-compacting concrete. Structures 2023, 56, 104990. [Google Scholar] [CrossRef]
- Altun, F.; Haktanir, T.; Ari, K. Effects of Steel Fiber Addition on Mechanical Properties of Concrete and RC Beams. Constr. Build. Mater. 2007, 21, 654–661. [Google Scholar] [CrossRef]
- Ahmad, J.; Manan, A.; Ali, A.; Khan, M.W.; Asim, M.; Zaid, O. A Study on Mechanical and Durability Aspects of Concrete Modified with Steel Fibers (SFs). Civ. Eng. Arch. 2020, 8, 814–823. [Google Scholar] [CrossRef]
- Park, S.H.; Ryu, G.S.; Koh, K.T.; Kim, D.J. Effect of Shrinkage Reducing Agent on Pullout Resistance of High-Strength Steel Fibers Embedded in Ultra-High-Performance Concrete. Cem. Concr. Compos. 2014, 49, 59–69. [Google Scholar] [CrossRef]
- Viktorovich, T.V.; Serov, S.; Konstantinovich, N.V.; Dutov, A.S.; Rozhok, A. The Impact of Fiber Reinforcement on the Strength Characteristics of Concrete Used For the Construction of Hydraulic Structures. In Proceedings of the 4th International Youth Conference on Radio Electronics, Electrical and Power Engineering (REEPE), Moscow, Russia, 17–19 March 2022; pp. 1–5. [Google Scholar]
- Eik, M.; Puttonen, J. Challenges of Steel Fibre Reinforced Concrete in Load Bearing Structures. Raken. Mek. 2011, 44, 44–64. [Google Scholar]
- Rahim, N.I.; Mohammed, B.S.; Abdulkadir, I.; Dahim, M. Effect of Crumb Rubber, Fly Ash, and Nanosilica on the Properties of Self-Compacting Concrete Using Response Surface Methodology. Materials 2022, 15, 1501. [Google Scholar] [CrossRef] [PubMed]
- Alyamac, K.E.; Ghafari, E.; Ince, R. Development of Eco-Efficient Self-Compacting Concrete with Waste Marble Powder Using the Response Surface Method. J. Clean. Prod. 2017, 144, 192–202. [Google Scholar] [CrossRef]
- Uche, O.A.; Kelechi, S.E.; Adamu, M.; Ibrahim, Y.E.; Alanazi, H.; Okokpujie, I.P. Modelling and Optimizing the Durability Performance of Self Consolidating Concrete Incorporating Crumb Rubber and Calcium Carbide Residue Using Response Surface Methodology. Buildings 2022, 12, 398. [Google Scholar] [CrossRef]
- Adamu, M.; Ibrahim, Y.E.; Alanazi, H. Evaluating the Influence of Elevated Temperature on Compressive Strength of Date-Palm-Fiber-Reinforced Concrete Using Response Surface Methodology. Materials 2022, 15, 8129. [Google Scholar] [CrossRef] [PubMed]
- Ren, G.; Gao, X.; Zhang, H. Utilization of Hybrid Sisal and Steel Fibers to Improve Elevated Temperature Resistance of Ultra-High Performance Concrete. Cem. Concr. Compos. 2022, 130, 104555. [Google Scholar] [CrossRef]
- de la Rosa, Á.; Ruiz, G.; Poveda, E. Study of the Compression Behavior of Steel-Fiber Reinforced Concrete by Means of the Response Surface Methodology. Appl. Sci. 2019, 9, 5330. [Google Scholar] [CrossRef]
- Kostrzanowska-Siedlarz, A.; Gołaszewski, J. Statistical Models Supporting the High-Performance Self-Compacting Concrete (HPSCC) Design Process for High Strength. Materials 2022, 15, 690. [Google Scholar] [CrossRef]
- Akbar, M.; Umar, T.; Hussain, Z.; Pan, H.; Ou, G. Effect of Human Hair Fibers on the Performance of Concrete Incorporating High Dosage of Silica Fume. Appl. Sci. 2022, 13, 124. [Google Scholar] [CrossRef]
- Khan, M.B.; Shafiq, N.; Waqar, A.; Radu, D.; Cismaș, C.; Imran, M.; Almujibah, H.; Benjeddou, O. Effects of Jute Fiber on Fresh and Hardened Characteristics of Concrete with Environmental Assessment. Buildings 2023, 13, 1691. [Google Scholar] [CrossRef]
- Khan, M.B.; Waqar, A.; Bheel, N.; Shafiq, N.; Hamah Sor, N.; Radu, D.; Benjeddou, O. Optimization of Fresh and Mechanical Characteristics of Carbon Fiber-Reinforced Concrete Composites Using Response Surface Technique. Buildings 2023, 13, 852. [Google Scholar] [CrossRef]
- Mohammed, B.S.; Khed, V.C.; Liew, M.S. Optimization of Hybrid Fibres in Engineered Cementitious Composites. Constr. Build. Mater. 2018, 190, 24–37. [Google Scholar] [CrossRef]
- Aegerter, J.; Kühn, H.-J.; Frenz, H.; Weißmüller, C. EN ISO 6892-1:2009 Tensile Testing: Initial Experience from the Practical Implementation of the New Standard*. Mater. Test. 2011, 53, 595–603. [Google Scholar] [CrossRef]
- Mohammed, B.S.; Khed, V.C.; Nuruddin, M.F. Rubbercrete Mixture Optimization Using Response Surface Methodology. J. Clean. Prod. 2018, 171, 1605–1621. [Google Scholar] [CrossRef]
- Ghafari, E.; Costa, H.; Júlio, E. RSM-Based Model to Predict the Performance of Self-Compacting UHPC Reinforced with Hybrid Steel Micro-Fibers. Constr. Build. Mater. 2014, 66, 375–383. [Google Scholar] [CrossRef]
- Gong, Y.; Song, J.; Lin, S.; Yang, J.; He, Y.; Tan, G. Design Optimization of Rubber-Basalt Fiber-Modified Concrete Mix Ratios Based on a Response Surface Method. Appl. Sci. 2020, 10, 6753. [Google Scholar] [CrossRef]
- Chong, B.W.; Othman, R.; Putra Jaya, R.; Mohd Hasan, M.R.; Sandu, A.V.; Nabiałek, M.; Jeż, B.; Pietrusiewicz, P.; Kwiatkowski, D.; Postawa, P. Design of Experiment on Concrete Mechanical Properties Prediction: A Critical Review. Materials 2021, 14, 1866. [Google Scholar] [CrossRef]
- Montgomery, D.C. Design and Analysis of Experiments, 9th ed.; John Wiley & Sons: Hoboken, NJ, USA, 2017. [Google Scholar]
- Cornell, J.A. Response Surfaces: Designs and Analyses; Marcel Dekker, Inc.: New York, NY, USA, 1987; ISBN 0824776534. [Google Scholar]
- Dahmoune, F.; Remini, H.; Dairi, S.; Aoun, O.; Moussi, K.; Bouaoudia-Madi, N.; Adjeroud, N.; Kadri, N.; Lefsih, K.; Boughani, L. Ultrasound Assisted Extraction of Phenolic Compounds from P. Lentiscus L. Leaves: Comparative Study of Artificial Neural Network (ANN) versus Degree of Experiment for Prediction Ability of Phenolic Compounds Recovery. Ind. Crops Prod. 2015, 77, 251–261. [Google Scholar] [CrossRef]
- Wang, C.; Zhou, L.; Ma, J.; Shi, A.; Li, X.; Liu, L.; Zhang, Z.; Zhang, D. GB-RAR Deformation Information Estimation of High-Speed Railway Bridge in Consideration of the Effects of Colored Noise. Appl. Sci. 2022, 12, 10504. [Google Scholar] [CrossRef]
- Behnisch, M.; Poglitsch, H.; Krüger, T. Soil Sealing and the Complex Bundle of Influential Factors: Germany as a Case Study. ISPRS Int. J. Geo-Inf. 2016, 5, 132. [Google Scholar] [CrossRef]
- Guo, P.; Meng, W.; Xu, M.; Li, V.C.; Bao, Y. Predicting Mechanical Properties of High-Performance Fiber-Reinforced Cementitious Composites by Integrating Micromechanics and Machine Learning. Materials 2021, 14, 3143. [Google Scholar] [CrossRef] [PubMed]
- Dixon, D.E.; Prestrera, J.R.; Burg, G.R.; Chairman, S.A.; Abdun-Nur, E.A.; Barton, S.G.; Bell, L.W.; Blas, S.J., Jr.; Carrasquillo, R.L.; Carrasquillo, P.M. Standard Practice for Selecting Proportions for Normal, Heavyweight, and Mass Concrete (ACI 211.1-91); ACI: Farmingt, MI, USA, 1991. [Google Scholar]
- Dreux, G.; Festa, J. Nouveau Guide du Béton et de ses Constitutants; Eyrolles: Paris, France, 1998; ISBN 2212102313. [Google Scholar]
- Rossi, P. Le Développement Industriel des BÉtons de Fibres Métalliques: Projet National BEFIM: Conclusions et Recommandations; Presses de l’Ecole Nationale des Ponts et Chaussées: Paris, France, 2002; ISBN 2859783571. [Google Scholar]
- Hu, H.; Papastergiou, P.; Angelakopoulos, H.; Guadagnini, M.; Pilakoutas, K. Mechanical Properties of SFRC Using Blended Manufactured and Recycled Tyre Steel Fibres. Constr. Build. Mater. 2018, 163, 376–389. [Google Scholar] [CrossRef]
- Salmons, J. Doing Qualitative Research Online; SAGE Publications Ltd.: Newbury Park, CA, USA, 2021; pp. 1–100. [Google Scholar]
- BS EN 12350-2:2019; Testing Fresh Concrete. British Standard Institute: London, UK, 2019.
- BS EN 12390-3:2009; Testing Hardened Concrete. Part 3: Compressive Strength of Test Specimens. British Standard Institute: London, UK, 2009.
- UNE-EN 12390-5:2009; Testing Hardened Concrete—Part 5: Flexural Strength of Test Specimens. Asociación Española de Normalización: Madrid, Spain, 2009.
- CEN EN 12390-6:2009; Testing Hardened Concrete-Part 6: Tensile Splitting Strength of Test Specimens. British Standard Institute: London, UK, 2009.
- ASTM C642-06; Standard Test Method for Density, Absorption, and Voids in Hardened Concrete. ASTM International: West Conshohocken, PA, USA, 2006.
- Sahraoui, M.; Bouziani, T. Effect of Coarse Aggregates and Sand Contents on Workability and Static Stability of Self-Compacting Concrete. Adv. Concr. Constr. 2019, 7, 97. [Google Scholar]
- Pan, Y.; Kang, J.; Ichimaru, S.; Bolander, J.E. Multi-Field Models of Fiber Reinforced Concrete for Structural Applications. Appl. Sci. 2020, 11, 184. [Google Scholar] [CrossRef]
- Martinie, L.; Rossi, P.; Roussel, N. Rheology of Fiber Reinforced Cementitious Materials: Classification and Prediction. Cem. Concr. Res. 2010, 40, 226–234. [Google Scholar] [CrossRef]
- Bayraktar, O.Y.; Kaplan, G.; Shi, J.; Benli, A.; Bodur, B.; Turkoglu, M. The Effect of Steel Fiber Aspect-Ratio and Content on the Fresh, Flexural, and Mechanical Performance of Concrete Made with Recycled Fine Aggregate. Constr. Build. Mater. 2023, 368, 130497. [Google Scholar] [CrossRef]
- Pikus, G.A. Steel Fiber Concrete Mixture Workability. Procedia Eng. 2016, 150, 2119–2123. [Google Scholar] [CrossRef]
- Wu, Z.; Shi, C.; He, W.; Wu, L. Effects of Steel Fiber Content and Shape on Mechanical Properties of Ultra High Performance Concrete. Constr. Build. Mater. 2016, 103, 8–14. [Google Scholar] [CrossRef]
- Yu, R.; Spiesz, P.; Brouwers, H.J.H. Mix Design and Properties Assessment of Ultra-High Performance Fibre Reinforced Concrete (UHPFRC). Cem. Concr. Res. 2014, 56, 29–39. [Google Scholar] [CrossRef]
- Yardimci, M.Y.; Baradan, B.; Taşdemir, M.A. Effect of Fine to Coarse Aggregate Ratio on the Rheology and Fracture Energy of Steel Fibre Reinforced Self-Compacting Concretes. Sadhana 2014, 39, 1447–1469. [Google Scholar] [CrossRef]
- Dong, W.; Li, W.; Tao, Z. A Comprehensive Review on Performance of Cementitious and Geopolymeric Concretes with Recycled Waste Glass as Powder, Sand or Cullet. Resour. Conserv. Recycl. 2021, 172, 105664. [Google Scholar] [CrossRef]
- Su, J.H.; Cheng, Y.F.; Wu, N.J. Mixture Proportioning Design of Pervious Concrete Using the Paste Content Ratio Method (Aggregate Gradation 19 mm~9.5 mm and 9.5 mm~4.75 mm). In Proceedings of the Materials Science Forum; Trans Tech Publications: Stafa-Zurich, Switzerland, 2019; Volume 947, pp. 207–211. Available online: https://www.ijoi-online.org/attachments/article/146/0953%20Final.pdf (accessed on 17 July 2023).
- Kou, Y.; Jiang, H.; Ren, L.; Yilmaz, E.; Li, Y. Rheological Properties of Cemented Paste Backfill with Alkali-Activated Slag. Minerals 2020, 10, 288. [Google Scholar] [CrossRef]
- Tekle, B.H.; Hertwig, L.; Holschemacher, K. Rheology of Alkali-Activated Blended Binder Mixtures. Materials 2021, 14, 5405. [Google Scholar] [CrossRef] [PubMed]
- Khayat, K.H.; Meng, W.; Vallurupalli, K.; Teng, L. Rheological Properties of Ultra-High-Performance Concrete—An Overview. Cem. Concr. Res. 2019, 124, 105828. [Google Scholar] [CrossRef]
- Yu, R.; Spiesz, P.; Brouwers, H.J.H. Development of Ultra-High Performance Fibre Reinforced Concrete (UHPFRC): Towards an Efficient Utilization of Binders and Fibres. Constr. Build. Mater. 2015, 79, 273–282. [Google Scholar] [CrossRef]
- Jagadesh, P.; Juan-Valdés, A.; Guerra-Romero, M.I.; Morán-del Pozo, J.M.; García-González, J.; Martínez-García, R. Effect of Design Parameters on Compressive and Split Tensile Strength of Self-Compacting Concrete with Recycled Aggregate: An Overview. Appl. Sci. 2021, 11, 6028. [Google Scholar] [CrossRef]
- Sanjay, R.; Aswath, M.U.; Singh, S. An Experimental Study on Flexural Behaviour of Reinforced Geopolymer Concrete Beams with Recycled Aggregate in Bending. Int. J. Emerg. Trends Eng. Dev. 2012, 6, 186–199. Available online: http://www.rspublication.com/ijeted/ijeted_index.htm (accessed on 17 July 2023).
- Chachar, K.H.; Oad, M.; Memon, B.A.; Siyal, Z.A.; Siyal, K.F. Workability and Flexural Strength of Recycled Aggregate Concrete with Steel Fibers. Eng. Technol. Appl. Sci. Res. 2023, 13, 11051–11057. [Google Scholar] [CrossRef]
- Kim, S.; Park, C.; Kim, Y. Effect of SIFRCCs with Varying Steel Fiber Volume Fractions on Flexural Behavior. Appl. Sci. 2020, 10, 2072. [Google Scholar] [CrossRef]
- Simalti, A.; Singh, A.P. Comparative Study on Performance of Manufactured Steel Fiber and Shredded Tire Recycled Steel Fiber Reinforced Self-Consolidating Concrete. Constr. Build. Mater. 2021, 266, 121102. [Google Scholar] [CrossRef]
- Arunakanthi, E.; Kumar, J.D.C. Experimental Studies on Fiber Reinforced Concrete (FRC). Int. J. Civ. Eng. Technol. 2016, 7, 329–336. [Google Scholar]
- Ahmedin, A. Experimental Investigation on the Effects of Macro Steel Fibers on the Behavior of Concrete. Ph.D. Thesis, Hawassa University, Awasa, Ethiopia, 2019. [Google Scholar]
- Miloud, B. Permeability and Porosity Characteristics of Steel Fiber Reinforced Concrete. Asian J. Civ. Eng. Build. Hous. 2005, 6, 317–330. [Google Scholar]
- Rahmani, T.; Kiani, B.; Sami, F.; Fard, B.N.; Farnam, Y.; Shekarchizadeh, M. Durability of Glass, Polypropylene and Steel Fiber Reinforced Concrete. In Proceedings of the International Conference on Durability of Building Materials and Components, Porto, Portugal, 12–15 August 2011; pp. 12–15. [Google Scholar]
- Pilkington, J.L.; Preston, C.; Gomes, R.L. Comparison of Response Surface Methodology (RSM) and Artificial Neural Networks (ANN) towards Efficient Extraction of Artemisinin from Artemisia Annua. Ind. Crops Prod. 2014, 58, 15–24. [Google Scholar] [CrossRef]
- Botis, M.; Imre, L.; Conțiu, M. Numerical Method of Increasing the Critical Buckling Load for Straight Beam-Type Elements with Variable Cross-Sections. Appl. Sci. 2023, 13, 1460. [Google Scholar] [CrossRef]
- Hong, W.C.; Mohammed, B.S.; Abdulkadir, I.; Liew, M.S. Modeling and Optimizing the Effect of Palm Oil Fuel Ash on the Properties of Engineered Cementitious Composite. Buildings 2023, 13, 628. [Google Scholar] [CrossRef]
- Jun, H.-M.; Seo, D.-J.; Lim, D.-Y.; Park, J.-G.; Heo, G.-H. Effect of Carbon and Steel Fibers on the Strength Properties and Electrical Conductivity of Fiber-Reinforced Cement Mortar. Appl. Sci. 2023, 13, 3522. [Google Scholar] [CrossRef]
- Kaïkea, A.; Achoura, D.; Duplan, F.; Rizzuti, L. Effect of Mineral Admixtures and Steel Fiber Volume Contents on the Behavior of High Performance Fiber Reinforced Concrete. Mater. Des. 2014, 63, 493–499. [Google Scholar] [CrossRef]
- Khameneh Asl, S.; Sadeghian, A. Strength and Toughness of Reinforced Concrete with Coated Steel Fibers. Adv. Ceram. Prog. 2019, 5, 9–14. [Google Scholar]
- Bahmani, H.; Mostofinejad, D. Microstructure of Ultra-High-Performance Concrete (UHPC)—A Review Study. J. Build. Eng. 2022, 50, 104118. [Google Scholar] [CrossRef]
- Al-Attar, T.S.; Taha, A.A. Performance of High-Volume Fly Ash Self-Compacting Concrete Exposed to External Sulfate Attack. In Proceedings of the Proceedings of the 6th International Conference on Durability of Concrete Structures, ICDCS, Leeds, UK, 18–20 July 2018; pp. 18–20. [Google Scholar]
- Uzbas, B.; Aydin, A.C. Microstructural Analysis of Silica Fume Concrete with Scanning Electron Microscopy and X-ray Diffraction. Eng. Technol. Appl. Sci. Res. 2020, 10, 5845–5850. [Google Scholar] [CrossRef]
- Wu, J.; Liao, H.; Ma, Z.; Song, H.; Cheng, F. Effect of Different Initial CaO/SiO2 Molar Ratios and Curing Times on the Preparation and Formation Mechanism of Calcium Silicate Hydrate. Materials 2023, 16, 717. [Google Scholar] [CrossRef] [PubMed]
- Ma, Y.; Li, W.; Jin, M.; Liu, J.; Zhang, J.; Huang, J.; Lu, C.; Zeng, H.; Wang, J.; Zhao, H. Influences of Leaching on the Composition, Structure and Morphology of Calcium Silicate Hydrate (C–S–H) with Different Ca/Si Ratios. J. Build. Eng. 2022, 58, 105017. [Google Scholar] [CrossRef]















| Elements | Cement (%) | Sand (%) | Silica Fume (%) |
|---|---|---|---|
| CaO | 63.46 | 4.05 | 2.43 |
| SiO2 | 21.42 | 84.7 | 85.75 |
| Al2O3 | 4.22 | 4.73 | 0.99 |
| Fe2O3 | 3.48 | 0.93 | 2.25 |
| SO3 | 3.63 | 2.31 | 0.91 |
| MgO | 2.53 | 0.57 | 3.61 |
| K2O | 0.83 | 2.35 | 2.47 |
| Na2O | 0.41 | 0.71 | 1.58 |
| Cl | 0.02 | 0.01 | 0.01 |
| PAF | 1.30 | - | 5.03 |
| Mineralogical composition of cement | |||
| C3S | 62.15 | C3A | 5.30 |
| C2S | 14.85 | C4AF | 10.57 |
| Designation | Unit | G 3/8 | G 8/16 |
|---|---|---|---|
| Absolute density | g/cm3 | 2.60 | 2.60 |
| Apparent density | g/cm3 | 1.33 | 1.35 |
| Compactness | % | 49 | 49 |
| Los Angeles (LA) abrasion value | % | 15.16 | 15.16 |
| Water absorption | % | 3.10 | 0.92 |
| Length L (mm) | Diameter d (mm) | Fiber Aspect Ratio (L/d) |
|---|---|---|
| 23 | 0.50 | 46 |
| 49 | 0.92 | 53 |
| 22 | 0.35 | 63 |
| 49 | 0.67 | 73 |
| 40 | 0.50 | 80 |
| Variables | Unit | Symbol | Coded Factor Levels | ||||
|---|---|---|---|---|---|---|---|
| −1.68 | −1 | 0 | +1 | +1.68 | |||
| Water/binder (W/B) | / | A | 0.27 | 0.28 | 0.29 | 0.3 | 0.31 |
| Fiber aspect ratio (L/d) | / | B | 46 | 53 | 63 | 73 | 80 |
| Steel fiber content (SFC) | (kg/m3) | C | 19 | 21 | 24 | 27 | 29 |
| Mixture | Type | W/B | L/d | SFC (kg/m3) | Water (kg/m3) | Binder (kg/m3) | Cement (kg/m3) | SF (kg/m3) | SP (kg/m3) | Gravel (3/8) (kg/m3) | Gravel (8/16) (kg/m3) | Dune Sand (kg/m3) |
|---|---|---|---|---|---|---|---|---|---|---|---|---|
| HPFRC1 | Factorial | 0.28 (−1) | 53 (−1) | 21 (−1) | 140 | 500 | 454.54 | 45.45 | 19.99 | 367.5 | 682.5 | 739.81 |
| HPFRC2 | Factorial | 0.28 (−1) | 53 (−1) | 27 (+1) | 140 | 500 | 454.54 | 45.45 | 19.99 | 367.5 | 682.5 | 737.81 |
| HPFRC3 | Factorial | 0.28 (−1) | 73 (+1) | 21 (−1) | 140 | 500 | 454.54 | 45.45 | 19.99 | 367.5 | 682.5 | 739.81 |
| HPFRC4 | Factorial | 0.28 (−1) | 73 (+1) | 27 (+1) | 140 | 500 | 454.54 | 45.45 | 19.99 | 367.5 | 682.5 | 737.81 |
| HPFRC5 | Factorial | 0.30 (+1) | 53 (−1) | 21 (−1) | 140 | 466.66 | 424.24 | 42.42 | 18.66 | 367.5 | 682.5 | 769.09 |
| HPFRC6 | Factorial | 0.30 (+1) | 53 (−1) | 27 (+1) | 140 | 466.66 | 424.24 | 42.42 | 18.66 | 367.5 | 682.5 | 767.09 |
| HPFRC7 | Factorial | 0.30 (+1) | 73 (+1) | 21 (−1) | 140 | 466.66 | 424.24 | 42.42 | 18.66 | 367.5 | 682.5 | 769.09 |
| HPFRC8 | Factorial | 0.30 (+1) | 73 (+1) | 27 (+1) | 140 | 466.66 | 424.24 | 42.42 | 18.66 | 367.5 | 682.5 | 767.09 |
| HPFRC9 | Axial | 0.27 (−1.68) | 63 (0) | 24 (0) | 140 | 518.51 | 471.38 | 47.13 | 20.73 | 367.5 | 682.5 | 722.54 |
| HPFRC10 | Axial | 0.31 (+1.68) | 63 (0) | 24 (0) | 140 | 451.61 | 410.55 | 41.05 | 18.06 | 367.5 | 682.5 | 781.31 |
| HPFRC11 | Axial | 0.29 (0) | 46 (−1.68) | 24 (0) | 140 | 482.75 | 438.87 | 43.88 | 19.30 | 367.5 | 682.5 | 753.96 |
| HPFRC12 | Axial | 0.29 (0) | 80 (+1.68) | 24 (0) | 140 | 482.75 | 438.87 | 43.88 | 19.30 | 367.5 | 682.5 | 753.96 |
| HPFRC13 | Axial | 0.29 (0) | 63 (0) | 19 (−1.68) | 140 | 482.75 | 438.87 | 43.88 | 19.30 | 367.5 | 682.5 | 755.62 |
| HPFRC14 | Axial | 0.29 (0) | 63 (0) | 29 (+1.68) | 140 | 482.75 | 438.87 | 43.88 | 19.30 | 367.5 | 682.5 | 752.29 |
| HPFRC15 | Central | 0.29 (0) | 63 (0) | 24 (0) | 140 | 482.75 | 438.87 | 43.88 | 19.30 | 367.5 | 682.5 | 753.96 |
| HPFRC16 | Central | 0.29 (0) | 63 (0) | 24 (0) | 140 | 482.75 | 438.87 | 43.88 | 19.30 | 367.5 | 682.5 | 753.96 |
| HPFRC17 | Central | 0.29 (0) | 63 (0) | 24 (0) | 140 | 482.75 | 438.87 | 43.88 | 19.30 | 367.5 | 682.5 | 753.96 |
| HPFRC18 | Central | 0.29 (0) | 63 (0) | 24 (0) | 140 | 482.75 | 438.87 | 43.88 | 19.30 | 367.5 | 682.5 | 753.96 |
| HPFRC19 | Central | 0.29 (0) | 63 (0) | 24 (0) | 140 | 482.75 | 438.87 | 43.88 | 19.30 | 367.5 | 682.5 | 753.96 |
| HPFRC20 | Central | 0.29 (0) | 63 (0) | 24 (0) | 140 | 482.75 | 438.87 | 43.88 | 19.30 | 367.5 | 682.5 | 753.96 |
| Mixture | W/B | L/d | SFC (kg/m3) | Slump (cm) | CS 28 Days (MPa) | FS 28 Days (MPa) | STS 28 Days (MPa) | WA (%) |
|---|---|---|---|---|---|---|---|---|
| HPFRC1 | 0.28 (−1) | 53 (−1) | 21 (−1) | 23 | 86.394 | 5.719 | 4.940 | 2.156 |
| HPFRC2 | 0.28 (−1) | 53 (−1) | 27 (+1) | 22 | 89.028 | 6.247 | 6.680 | 1.703 |
| HPFRC3 | 0.28 (−1) | 73 (+1) | 21 (−1) | 24 | 92.404 | 6.581 | 7.345 | 1.822 |
| HPFRC4 | 0.28 (−1) | 73 (+1) | 27 (+1) | 23 | 97.144 | 7.933 | 7.419 | 1.341 |
| HPFRC5 | 0.30 (+1) | 53 (−1) | 21 (−1) | 21 | 85.365 | 5.271 | 4.064 | 2.287 |
| HPFRC6 | 0.30 (+1) | 53 (−1) | 27 (+1) | 20 | 86.892 | 6.145 | 6.030 | 2.080 |
| HPFRC7 | 0.30 (+1) | 73 (+1) | 21 (−1) | 22.5 | 87.084 | 6.329 | 6.304 | 1.930 |
| HPFRC8 | 0.30 (+1) | 73 (+1) | 27 (+1) | 21.5 | 94.226 | 7.749 | 6.577 | 1.554 |
| HPFRC9 | 0.27 (−1.68) | 63 (0) | 24 (0) | 26 | 96.935 | 7.290 | 6.586 | 0.598 |
| HPFRC10 | 0.31 (+1.68) | 63 (0) | 24 (0) | 19 | 84.895 | 6.096 | 5.210 | 2.104 |
| HPFRC11 | 0.29 (0) | 46 (−1.68) | 24 (0) | 24 | 86.794 | 7.117 | 6.140 | 1.579 |
| HPFRC12 | 0.29 (0) | 80 (+1.68) | 24 (0) | 23.5 | 87.327 | 7.188 | 6.393 | 1.298 |
| HPFRC13 | 0.29 (0) | 63 (0) | 19 (−1.68) | 26 | 82.258 | 5.214 | 5.460 | 2.561 |
| HPFRC14 | 0.29 (0) | 63 (0) | 29 (+1.68) | 18 | 102.339 | 8.304 | 7.645 | 1.010 |
| HPFRC15 | 0.29 (0) | 63 (0) | 24 (0) | 25 | 95.494 | 7.212 | 6.530 | 0.791 |
| HPFRC16 | 0.29 (0) | 63 (0) | 24 (0) | 25 | 95.494 | 7.212 | 6.530 | 0.791 |
| HPFRC17 | 0.29 (0) | 63 (0) | 24 (0) | 25 | 95.494 | 7.212 | 6.530 | 0.791 |
| HPFRC18 | 0.29 (0) | 63 (0) | 24 (0) | 25 | 95.494 | 7.212 | 6.530 | 0.791 |
| HPFRC19 | 0.29 (0) | 63 (0) | 24 (0) | 25 | 95.494 | 7.212 | 6.530 | 0.791 |
| HPFRC20 | 0.29 (0) | 63 (0) | 24 (0) | 25 | 95.494 | 7.212 | 6.530 | 0.791 |
| Slump, cm | Water Absorption, % | |||||||
|---|---|---|---|---|---|---|---|---|
| Degrees of Freedom | Sum of Squares | F-Value | p-Value (Prob > F) | Degrees of Freedom | Sum of Squares | F-Value | p-Value (Prob > F) | |
| Model | 9 | 81.88 | 4.72 | 0.0117 | 9 | 6.33 | 7.40 | 0.0022 |
| A | 1 | 25.80 | 13.40 | 0.0044 | 1 | 0.83 | 8.71 | 0.0145 |
| B | 1 | 1.27 | 0.66 | 0.4362 | 1 | 0.31 | 3.24 | 0.1018 |
| C | 1 | 22.31 | 11.58 | 0.0067 | 1 | 1.25 | 13.12 | 0.0047 |
| AB | 1 | 0.13 | 0.65 | 0.8041 | 1 | 4.371 × 10−3 | 0.046 | 0.8345 |
| AC | 1 | 0.000 | 0.000 | 1.0000 | 1 | 0.015 | 0.16 | 0.6957 |
| BC | 1 | 0.000 | 0.000 | 1.0000 | 1 | 4.851 × 10−3 | 0.051 | 0.8258 |
| A2 | 1 | 14.04 | 7.29 | 0.0223 | 1 | 0.97 | 10.19 | 0.0096 |
| B2 | 1 | 4.28 | 2.22 | 0.1668 | 1 | 1.21 | 12.76 | 0.0051 |
| C2 | 1 | 19.52 | 10.13 | 0.0098 | 1 | 2.45 | 25.84 | 0.0005 |
| Residual | 10 | 19.26 | 10 | 0.95 | ||||
| Lack of Fit | 5 | 19.26 | 5 | 0.95 | ||||
| Pure Error | 5 | 0.000 | 5 | 0.000 | ||||
| Cor Total | 19 | 101.14 | 19 | 7.28 | ||||
| Std. Dev | 1.39 | R2 | 0.8096 | Std. Dev | 0.31 | R2 | 0.8694 | |
| Mean | 23.18 | Adj-R2 | 0.6382 | Mean | 1.44 | Adj-R2 | 0.7519 | |
| C.V. % | 5.99 | Pred-R2 | −0.4462 | C.V. % | 21.43 | Pred-R2 | 0.0095 | |
| PRESS | 146.26 | Adeq Pr | 6.027 | PRESS | 7.21 | Adeq Pr | 7.688 | |
| Compressive Strength, MPa | Flexural Strength, MPa | Split Tensile Strength, MPa | ||||||||||
|---|---|---|---|---|---|---|---|---|---|---|---|---|
| Degrees of Freedom | Sum of Squares | F-Value | p-Value (Prob > F) | Degrees of Freedom | Sum of Squares | F-Value | p-Value (Prob > F) | Degrees of Freedom | Sum of Squares | F-Value | p-Value (Prob > F) | |
| Model | 9 | 467.91 | 5.54 | 0.0066 | 9 | 11.05 | 5.08 | 0.0091 | 9 | 12.08 | 8.67 | 0.0011 |
| A | 1 | 73.36 | 7.81 | 0.0189 | 1 | 0.66 | 2.71 | 0.1304 | 1 | 2.40 | 15.50 | 0.0028 |
| B | 1 | 42.44 | 4.52 | 0.0594 | 1 | 2.08 | 8.60 | 0.0150 | 1 | 2.96 | 19.12 | 0.0014 |
| C | 1 | 181.71 | 19.36 | 0.0013 | 1 | 6.43 | 26.59 | 0.0004 | 1 | 4.37 | 28.25 | 0.0003 |
| AB | 1 | 3.22 | 0.34 | 0.5713 | 1 | 1.625 × 10−3 | 6.719 × 10−3 | 0.9363 | 1 | 0.016 | 0.10 | 0.7549 |
| AC | 1 | 0.21 | 0.022 | 0.8842 | 1 | 0.021 | 0.089 | 0.7720 | 1 | 0.023 | 0.15 | 0.7105 |
| BC | 1 | 7.45 | 0.79 | 0.3939 | 1 | 0.23 | 0.97 | 0.3478 | 1 | 1.41 | 9.11 | 0.0129 |
| A2 | 1 | 37.25 | 3.97 | 0.0744 | 1 | 0.96 | 3.95 | 0.0749 | 1 | 0.79 | 5.11 | 0.0473 |
| B2 | 1 | 127.15 | 13.55 | 0.0042 | 1 | 0.13 | 0.54 | 0.4801 | 1 | 0.16 | 1.01 | 0.3392 |
| C2 | 1 | 18.03 | 1.92 | 0.1959 | 1 | 0.79 | 3.27 | 0.1008 | 1 | 1.218 × 10−4 | 7.869 × 10−4 | 0.9782 |
| Residual | 10 | 93.87 | 10 | 2.42 | 10 | 1.55 | ||||||
| Lack of Fit | 5 | 93.87 | 5 | 2.42 | 5 | 1.55 | ||||||
| Pure Error | 5 | 0.000 | 5 | 0.000 | 5 | 0.000 | ||||||
| Cor Total | 19 | 561.78 | 19 | 13.47 | 19 | 13.62 | ||||||
| Std. Dev | 3.06 | R2 | 0.8329 | Std. Dev | 0.49 | R2 | 0.8205 | Std. Dev | 0.39 | R2 | 0.8864 | |
| Mean | 91.60 | Adj-R2 | 0.6825 | Mean | 6.82 | Adj-R2 | 0.6589 | Mean | 6.30 | Adj-R2 | 0.7841 | |
| C.V. % | 3.34 | Pred-R2 | −0.2737 | C.V. % | 7.21 | Pred-R2 | −0.3636 | C.V. % | 6.25 | Pred-R2 | 0.1369 | |
| PRESS | 715.55 | Adeq Pr | 7.134 | PRESS | 18.36 | Adeq Pr | 7.565 | PRESS | 11.76 | Adeq Pr | 11.371 | |
| Parameters | Notation | Unit | Goal | Model Prediction | Laboratory Experiment | PE (%) | Desirability |
|---|---|---|---|---|---|---|---|
| Water/binder (W/B) | A | / | Target -> | 0.28 | 0.28 | - | - |
| Fiber aspect ratio (L/d) | B | / | Target -> | 63 | 63 | - | - |
| Steel fiber content (SFC) | C | kg/m3 | Target -> | 25 | 25 | - | - |
| Slump | Slump | cm | Maximum | 24.8481 | 23.5 | 5.73 | 0.962 |
| Compressive strength | CS | MPa | Maximum | 97.2399 | 96.513 | 0.75 | 0.929 |
| Flexural strength | FS | MPa | Maximum | 7.37054 | 7.631 | 3.41 | 0.914 |
| Split tensile strength | STS | MPa | Maximum | 6.88701 | 7.111 | 3.14 | 0.942 |
| Water absorption | WA | % | Minimum | 0.725127 | 0.764 | 5.08 | 0.983 |
Disclaimer/Publisher’s Note: The statements, opinions and data contained in all publications are solely those of the individual author(s) and contributor(s) and not of MDPI and/or the editor(s). MDPI and/or the editor(s) disclaim responsibility for any injury to people or property resulting from any ideas, methods, instructions or products referred to in the content. |
© 2023 by the authors. Licensee MDPI, Basel, Switzerland. This article is an open access article distributed under the terms and conditions of the Creative Commons Attribution (CC BY) license (https://creativecommons.org/licenses/by/4.0/).
Share and Cite
Chetbani, Y.; Zaitri, R.; Tayeh, B.A.; Hakeem, I.Y.; Dif, F.; Kellouche, Y. Physicomechanical Behavior of High-Performance Concrete Reinforced with Recycled Steel Fibers from Twisted Cables in the Brittle State—Experimentation and Statistics. Buildings 2023, 13, 2290. https://doi.org/10.3390/buildings13092290
Chetbani Y, Zaitri R, Tayeh BA, Hakeem IY, Dif F, Kellouche Y. Physicomechanical Behavior of High-Performance Concrete Reinforced with Recycled Steel Fibers from Twisted Cables in the Brittle State—Experimentation and Statistics. Buildings. 2023; 13(9):2290. https://doi.org/10.3390/buildings13092290
Chicago/Turabian StyleChetbani, Yazid, Rebih Zaitri, Bassam A. Tayeh, Ibrahim Y. Hakeem, Fodil Dif, and Yasmina Kellouche. 2023. "Physicomechanical Behavior of High-Performance Concrete Reinforced with Recycled Steel Fibers from Twisted Cables in the Brittle State—Experimentation and Statistics" Buildings 13, no. 9: 2290. https://doi.org/10.3390/buildings13092290
APA StyleChetbani, Y., Zaitri, R., Tayeh, B. A., Hakeem, I. Y., Dif, F., & Kellouche, Y. (2023). Physicomechanical Behavior of High-Performance Concrete Reinforced with Recycled Steel Fibers from Twisted Cables in the Brittle State—Experimentation and Statistics. Buildings, 13(9), 2290. https://doi.org/10.3390/buildings13092290

