Sign in to use this feature.

Years

Between: -

Subjects

remove_circle_outline
remove_circle_outline
remove_circle_outline
remove_circle_outline
remove_circle_outline
remove_circle_outline
remove_circle_outline

Journals

Article Types

Countries / Regions

Search Results (158)

Search Parameters:
Keywords = recycled steel fibers

Order results
Result details
Results per page
Select all
Export citation of selected articles as:
20 pages, 936 KB  
Article
Residual Flexural Performance and Performance-Normalized Embodied Carbon of Recycled and Commercial Steel Fibers in Slag-Blended Concrete
by Cansu Colak and Ozkan Sengul
J. Compos. Sci. 2025, 9(12), 656; https://doi.org/10.3390/jcs9120656 (registering DOI) - 1 Dec 2025
Abstract
This study introduces a decision-oriented framework integrating fresh-state rheology, standardized post-cracking performance, and cradle-to-gate embodied carbon for steel-fiber-reinforced concretes incorporating recycled and commercial fibers. The motivation lies in achieving mechanical efficiency while reducing the environmental burden of cementitious composites. Mixtures were produced with [...] Read more.
This study introduces a decision-oriented framework integrating fresh-state rheology, standardized post-cracking performance, and cradle-to-gate embodied carbon for steel-fiber-reinforced concretes incorporating recycled and commercial fibers. The motivation lies in achieving mechanical efficiency while reducing the environmental burden of cementitious composites. Mixtures were produced with water-to-binder ratios between 0.40 and 0.60, fiber dosages of 15–45 kg/m3, and 50% GGBS replacement to mitigate binder-related carbon emissions. Equal-workability comparisons were conducted at 15 kg/m3 using ICAR-based static yield stress measurements, whereas higher dosages were evaluated without rheology-based adjustment. Post-cracking performance was assessed through residual flexural strengths at CMOD = 0.5 and 2.5 mm (fR1, fR3) and CMOD-based toughness indices. Embodied performance was quantified using the embodied-carbon-per-performance (ECP) index, normalized by fR3. Results indicate that recycled fibers exhibit greater fresh-state resistance but slightly lower residual capacities under equal workability, while commercial fibers achieve competitive ECP at 15 kg/m3. Increasing fiber dosage improved toughness yet intensified the trade-off between ECP and mechanical gain. The framework highlights that optimized binder composition and fiber type selection can yield carbon-efficient, structurally resilient composite systems. Full article
(This article belongs to the Section Fiber Composites)
30 pages, 6675 KB  
Article
Synergistic Role of Recycled Concrete Aggregates and Hybrid Steel Fibers in Roller-Compacted Concrete Pavements: A Multi-Criteria Assessment for Eco-Efficiency Optimization
by Omid Hassanshahi, Shaghayegh Karimzadeh, Mohammad Bakhshi and Nima Azimi
Buildings 2025, 15(23), 4279; https://doi.org/10.3390/buildings15234279 - 26 Nov 2025
Viewed by 78
Abstract
This study examines the synergistic influence of recycled concrete aggregates (RCAs), industrial steel fibers (ISFs), recycled steel fibers (RSFs), and hybrid ISF/RSF (HSF) on the structural, durability, and environmental performance of roller-compacted concrete pavement (RCCP). Twenty mixtures were prepared with 0 and 50% [...] Read more.
This study examines the synergistic influence of recycled concrete aggregates (RCAs), industrial steel fibers (ISFs), recycled steel fibers (RSFs), and hybrid ISF/RSF (HSF) on the structural, durability, and environmental performance of roller-compacted concrete pavement (RCCP). Twenty mixtures were prepared with 0 and 50% RCA and fiber dosages of 0–0.9%, including plain, single-fiber, and HSF systems. Compressive, splitting tensile, and flexural strengths, as well as freeze–thaw resistance up to 300 cycles, were experimentally evaluated. Environmental performance was quantified through a cradle-to-gate life cycle assessment (LCA) covering nine impact categories and integrated with a multi-criteria decision analysis (MCDA) using the weighted sum method (WSM) and technique for order of preference by similarity to ideal solution (TOPSIS). Results indicate that 50% RCA replacement reduced compressive strength by ~21% but decreased global warming potential (GWP) by 15%. Hybrid fiber reinforcement significantly improved mechanical and durability properties, achieving up to 51% higher tensile strength and >85% strength retention after 300 freeze–thaw cycles compared with the control mix. The LCA showed notable reductions in GWP, acidification potential, and non-renewable energy demand when ISF and natural aggregates were partially substituted with RSF and RCA. The MCDA identified N50_R50_ISF0.3_RSF0.3 (50% RCA with 0.6% HSF) as the optimal mixture, achieving the highest eco-efficiency index (WSM = 0.80; TOPSIS = 0.73). These findings confirm that integrating RCA with hybrid steel fibers enhances the mechanical and durability performance of RCCP while substantially reducing environmental burdens, providing a viable strategy for low-carbon and circular pavement construction. Full article
Show Figures

Figure 1

31 pages, 3464 KB  
Article
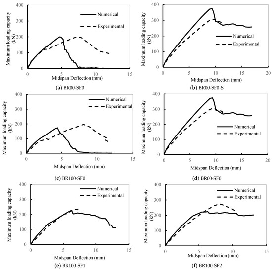
Finite Element Models on Shear Behavior of Deep Beams Prepared Using Steel Fiber-Reinforced Recycled Coarse Aggregate Concrete
by Said Elkholy, Mohamed Salem and Ahmed Godat
Fibers 2025, 13(12), 160; https://doi.org/10.3390/fib13120160 - 26 Nov 2025
Viewed by 84
Abstract
Numerous experimental and numerical studies have extensively investigated the performance of reinforced deep beams made with natural coarse aggregate concrete. However, limited research has been carried out on reinforced deep beams made of concrete with coarse aggregate from recycled materials and steel fibers. [...] Read more.
Numerous experimental and numerical studies have extensively investigated the performance of reinforced deep beams made with natural coarse aggregate concrete. However, limited research has been carried out on reinforced deep beams made of concrete with coarse aggregate from recycled materials and steel fibers. The main goal of this research is to create an accurate finite element model that can mimic the behavior of deep beams using concrete with recycled coarse aggregate and different ratios of steel fibers. The suggested model represents the pre-peak, post-peak, confinement, and concrete-to-steel fiber bond behavior of steel fiber concrete, reinforcing steel, and loading plates by incorporating the proper structural components and constitutive laws. The deep beams’ nonlinear load–deformation behavior is simulated in displacement-controlled settings. In order to verify the model’s correctness, the ultimate loading capacity, load–deflection relationships, and failure mechanisms are compared between numerical predictions and experimental findings. The comparison outcomes of the performance of the beams demonstrate that the numerical model effectively predicts the behavior of deep beams constructed with recycled coarse aggregate concrete. The findings of the experiment and the numerical analysis exhibit a high degree of convergence, affirming the model’s capability to accurately simulate the performance of such beams. In light of how accurately the numerical predictions match the experimental results, an extensive parametric study is conducted to examine the impact of parameters on the performance of deep beams with different ratios of steel fibers, concrete compressive strength, type of steel fibers (short or long), and effective span-to-effective depth ratio. The effect of each parameter is examined relative to its effect on the fracture energy. Full article
Show Figures

Figure 1

28 pages, 8126 KB  
Article
Hybrid Steel Fibers and RCA in RCC Pavements: Mechanical Recovery, Freeze–Thaw Durability, and Eco-Efficiency
by Omid Hassanshahi, Maryam Salati, Nima Azimi and Mohammad Bakhshi
Infrastructures 2025, 10(12), 321; https://doi.org/10.3390/infrastructures10120321 - 25 Nov 2025
Cited by 1 | Viewed by 191
Abstract
This study investigates the combined use of recycled concrete aggregate (RCA) and steel fibers—industrial (ISF), recycled (RSF), and hybrid ISF/RSF (HSF)—to enhance the mechanical performance, freeze–thaw durability, and environmental efficiency of roller-compacted concrete pavement (RCCP). Twenty mixtures incorporating two RCA levels (0% and [...] Read more.
This study investigates the combined use of recycled concrete aggregate (RCA) and steel fibers—industrial (ISF), recycled (RSF), and hybrid ISF/RSF (HSF)—to enhance the mechanical performance, freeze–thaw durability, and environmental efficiency of roller-compacted concrete pavement (RCCP). Twenty mixtures incorporating two RCA levels (0% and 25%) and different fiber systems were tested. The results showed that, although RCA slightly reduced strength, hybrid fibers effectively compensated for this loss, improving toughness, tensile capacity, and resistance to freeze–thaw degradation. A life-cycle assessment demonstrated that substituting natural aggregates and industrial fibers with RCA and RSF lowers the embodied carbon and energy demand. A multi-criteria decision analysis identified mixtures with 25% RCA and hybrid fibers (0.9% HSF) as the most balanced solutions, combining an improved performance with a reduced environmental burden. The findings highlight hybrid fiber-reinforced, RCA-based RCCP as a practical and eco-efficient option for sustainable pavement infrastructure. Full article
(This article belongs to the Section Sustainable Infrastructures)
Show Figures

Figure 1

18 pages, 3312 KB  
Article
Experimental Study of Timber Composite Beam Elements Using Hardwood Mechanically Inserted and Welded Dowels
by Jure Barbalić, Bruno Zadravec, Nikola Perković and Vlatka Rajčić
Forests 2025, 16(11), 1748; https://doi.org/10.3390/f16111748 - 19 Nov 2025
Viewed by 185
Abstract
This paper presents results from an extensive study on laminated timber beams manufactured without adhesives or metal fasteners. The use of such elements enables the implementation of the 4R principles in construction (Reduce, Reuse, Recycle, Repair). Prior to the testing of beam elements, [...] Read more.
This paper presents results from an extensive study on laminated timber beams manufactured without adhesives or metal fasteners. The use of such elements enables the implementation of the 4R principles in construction (Reduce, Reuse, Recycle, Repair). Prior to the testing of beam elements, tests were conducted on embedment strength of wooden dowels in comparison with conventional steel ones. The specimens varied in dowel diameter and in the angle of applied load relative to the grain direction. In addition to mechanically inserted dowels, an innovative dowel-welding method was examined. Welding enhances the bonding between lamellas, thereby improving overall mechanical performance. Further investigations involved beams with lamellas joined by dowels of different diameters, spacing, orientation, and installation methods. Experimental results were compared with analytical models for composite beams. The study showed that, except through the entire height of the beam section, it is possible to use dowels that connect only two lamellas, which is important for production. Dowels placed at 45° in relation to the lamella fibers showed approximately 20% greater capacity. It is also important to mention that study shows how welded dowels are only useful when they have larger diameters because then they achieve a significant level of cohesion. Full article
(This article belongs to the Special Issue Advanced Numerical and Experimental Methods for Timber Structures)
Show Figures

Figure 1

26 pages, 4253 KB  
Article
Enhancing Shear Performance of Concrete Beams Using Layered Rubberized and Steel Fiber-Reinforced Composites
by Abdulaziz S. Alsaif and Abdulrahman S. Albidah
Materials 2025, 18(22), 5076; https://doi.org/10.3390/ma18225076 - 7 Nov 2025
Viewed by 313
Abstract
Recycling rubber and steel fibers from end-of-life tires for use in structural concrete presents a sustainable pathway to improve resource efficiency and reduce environmental impact. This study assesses the shear performance of reinforced concrete beams in which shredded tire rubber substitutes 20 vol.% [...] Read more.
Recycling rubber and steel fibers from end-of-life tires for use in structural concrete presents a sustainable pathway to improve resource efficiency and reduce environmental impact. This study assesses the shear performance of reinforced concrete beams in which shredded tire rubber substitutes 20 vol.% of both fine and coarse natural aggregates. The effect of including recycled tire steel fibers (RSF) and industrial steel fibers (ISF), each at a dosage of 20 kg/m3, is also examined. The experimental program involved testing twenty-four cylindrical specimens and seven reinforced concrete beams to evaluate the mechanical and structural behavior of the proposed mixtures. A novel layered concrete configuration is also evaluated, in which rubberized (RU) concrete or steel fiber reinforced rubberized (RUSF) concrete is placed in the tensile zone, and plain (P) concrete is placed in the compressive zone. The results indicate that rubber incorporation alone reduces shear strength by 30.9% compared to P concrete. However, the inclusion of steel fibers not only compensates for this reduction but significantly improves strength and ductility. Beams fully cast with RUSF concrete exhibit a 31.9% increase in shear strength compared to P concrete. In contrast, layered beams with RUSF concrete in the bottom and P concrete in the top show a comparable performance. These findings highlight the potential of integrating steel fiber reinforced rubberized concrete and functional layering to enable the use of substantial quantities of recycled tire materials without compromising structural performance, offering a promising solution for eco-efficient construction. Full article
(This article belongs to the Section Construction and Building Materials)
Show Figures

Figure 1

26 pages, 6742 KB  
Article
Sustainable Concrete with Waste Tire Rubber and Recycled Steel Fibers: Experimental Insights and Hybrid PINN–CatBoost Prediction
by Ali Serdar Ecemiş, Sadik Alper Yildizel, Alexey N. Beskopylny, Sergey A. Stel’makh, Evgenii M. Shcherban’, Ceyhun Aksoylu, Emrah Madenci and Yasin Onuralp Özkılıç
Polymers 2025, 17(21), 2910; https://doi.org/10.3390/polym17212910 - 30 Oct 2025
Viewed by 762
Abstract
The growing environmental concern over waste tire accumulation necessitates innovative recycling strategies in construction materials. Therefore, this study aims to develop and evaluate sustainable concrete by integrating waste tire rubber (WTR) aggregates of different sizes and recycled waste tire steel fibers (WTSFs), assessing [...] Read more.
The growing environmental concern over waste tire accumulation necessitates innovative recycling strategies in construction materials. Therefore, this study aims to develop and evaluate sustainable concrete by integrating waste tire rubber (WTR) aggregates of different sizes and recycled waste tire steel fibers (WTSFs), assessing their combined effects on the mechanical and microstructural performance of concrete through experimental and analytical approaches. WTR aggregates, consisting of fine (0–4 mm), small coarse (5–8 mm), and large coarse (11–22 mm) particles, were used at substitution rates of 0–20%; WTSF was used at volumetric dosages of 0–2%, resulting in a total of 40 mixtures. Mechanical performance was evaluated using density and pressure resistance tests, while microstructural properties were assessed using scanning electron microscopy (SEM) and energy-dispersive X-ray spectroscopy (EDS). The findings indicate systematic decreases in density and compressive strength with increasing WTR ratio; the average strength losses were approximately 12%, 20%, and 31% at 5%, 10%, and 20% for WTR substitution, respectively. Among the WTR types, the most negative effect occurred in fine particles (FWTR), while the least negative effect occurred in coarse particles (LCWTR). The addition of WTSF compensated for losses at low/medium dosages (0.5–1.0%) and increased strength by 2–10%. However, high dosages (2.0%) reduced strength by 20–40% due to workability issues, fiber clumping, and void formation. The highest strength was achieved in the 5LCWTR–1WTSF mixture at 36.98 MPa (≈6% increase compared to the reference/control concrete), while the lowest strength was measured at 16.72 MPa in the 20FWTR–2WTSF mixture (≈52% decrease compared to the reference/control). A strong positive correlation was found between density and strength (r, Pearson correlation coefficient, ≈0.77). SEM and EDX analyses confirmed the weak matrix–rubber interface and the crack-bridging effect of steel fibers in mixtures containing fine WTR. Additionally, a hybrid prediction model combining physics-informed neural networks (PINNs) and CatBoost, supported by data augmentation strategies, accurately estimated compressive strength. Overall, the results highlight that optimized integration of WTR and WTSF enables sustainable concrete production with acceptable mechanical and microstructural performance. Full article
(This article belongs to the Special Issue Recycling of Plastic and Rubber Wastes, 2nd Edition)
Show Figures

Figure 1

25 pages, 6415 KB  
Article
Microscopic Numerical Simulation of Compressive Performance of Steel-Recycled PET Hybrid Fiber Recycled Concrete
by Shaolong Guo, Qun Lu, Krzysztof Robert Czech and Julita Krassowska
Buildings 2025, 15(21), 3893; https://doi.org/10.3390/buildings15213893 - 28 Oct 2025
Viewed by 330
Abstract
Numerical simulations, unlike experimental studies, eliminate material and setup costs while significantly reducing testing time. In this study, a random distribution program for steel-recycled polyethylene terephthalate hybrid fiber recycled concrete (SRPRAC) was developed in Python (3.11), enabling direct generation in Abaqus. Mesoscopic simulation [...] Read more.
Numerical simulations, unlike experimental studies, eliminate material and setup costs while significantly reducing testing time. In this study, a random distribution program for steel-recycled polyethylene terephthalate hybrid fiber recycled concrete (SRPRAC) was developed in Python (3.11), enabling direct generation in Abaqus. Mesoscopic simulation parameters were calibrated through debugging and sensitivity analysis. The simulations examined the compressive failure mode of SRPRAC and the influence of different factors. Results indicate that larger recycled coarse aggregate particle sizes intensify tensile and compressive damage in the interfacial transition zone between the coarse aggregate and mortar. Loading rate strongly affects outcomes, while smaller mesh sizes yield more stable results. Stronger boundary constraints at the top and bottom surfaces lead to higher peak stress, peak strain, and residual stress. Failure was mainly distributed within the specimen, forming a distinct X-shaped damage zone. Increasing fiber content reduced the equivalent plastic strain area above the compressive failure threshold, though the effect diminished beyond 1% total fiber volume. During initial loading, steel fibers carried higher tensile stresses, whereas recycled polyethylene terephthalate fibers (rPETF) contributed less. After peak load, tensile stress in rPETF increased significantly, complementing the gradual stress increase in steel fibers. The mesoscopic model effectively captured the stress–strain damage behavior of SRPRAC under compression. Full article
Show Figures

Figure 1

23 pages, 4969 KB  
Article
Experimental Study on Mechanical Properties of Hybrid Fiber Desert Sand Recycled Aggregate Concrete
by Yanlin Guan, Yaqiang Yang, Jianzhe Shi, Daochuan Zhou, Bitao Wu, Wenping Du, Shanshan Yu and Jing Cui
Buildings 2025, 15(21), 3857; https://doi.org/10.3390/buildings15213857 - 24 Oct 2025
Viewed by 447
Abstract
In response to the issues of microcrack susceptibility, high brittleness, and unstable mechanical properties of desert sand recycled aggregate concrete (DSRAC), this study experimentally investigated the mechanical performance of DSRAC reinforced with hybrid steel–FERRO fibers. By testing macroscopic properties (compressive, splitting tensile, and [...] Read more.
In response to the issues of microcrack susceptibility, high brittleness, and unstable mechanical properties of desert sand recycled aggregate concrete (DSRAC), this study experimentally investigated the mechanical performance of DSRAC reinforced with hybrid steel–FERRO fibers. By testing macroscopic properties (compressive, splitting tensile, and flexural strengths) under different desert sand replacement ratios and fiber dosages, combined with microscopic analysis, the fiber-matrix interfacial behavior and toughening mechanism were clarified. The results showed that (1) DSRAC achieved optimal compressive strength when desert sand replaced 30% natural sand, with an obvious early strength enhancement; (2) both steel fibers and FERRO fibers independently improved DSRAC’s mechanical properties, while their hybrid combination (especially F0.15-S0.5 group) exhibited a superior synergistic strengthening effect, significantly outperforming single-fiber groups; (3) the established constitutive model accurately described the stress–strain response of hybrid fiber-reinforced DSRAC; (4) microscopic observations confirmed fibers inhibited crack propagation via bridging and stress dispersion, with hybrid fibers exerting multi-scale synergistic effects. This study provided theoretical–technical support for resource utilization of desert sand and recycled aggregates, and offered practical references for localized infrastructure materials (e.g., rural road subgrades and small-span culverts) in desert-rich regions and high-value reuse of construction waste in prefabricated components, advancing eco-friendly concrete in sustainable construction. Full article
Show Figures

Figure 1

26 pages, 5508 KB  
Article
Assessing Avoided Burden and Net Environmental Impact by Recycling and Repurposing of Retiring Wind Turbines
by Mrittika Kabir, Michael H. Young, Gürcan Gülen and Shweta Singh
Environments 2025, 12(11), 396; https://doi.org/10.3390/environments12110396 - 22 Oct 2025
Viewed by 944
Abstract
Wind turbines are reaching end-of-life in increasing volumes, presenting a growing sustainability challenge. In the United States, prevailing waste management practices, primarily landfilling, undermine circular economy objectives by discarding recoverable materials and energy. This study applies life cycle assessment (LCA) to quantify 16 [...] Read more.
Wind turbines are reaching end-of-life in increasing volumes, presenting a growing sustainability challenge. In the United States, prevailing waste management practices, primarily landfilling, undermine circular economy objectives by discarding recoverable materials and energy. This study applies life cycle assessment (LCA) to quantify 16 midpoint environmental impacts across three end-of-life pathways—landfilling, recycling, and repurposing—of major turbine components (steel, concrete, and composite blades). An avoided burden approach is used to quantify environmental credits from substituting recovered materials for virgin equivalents. Results show that nearly all recycling and repurposing pathways outperform landfilling across most impact categories. Mechanical recycling of both glass and carbon fiber blades performed better than landfilling in all 16 categories, while pyrolysis and solvolysis improved outcomes in 14–15 of 16 categories (CO2 eq emissions were higher for pyrolysis and solvolysis than for the landfilling option). Repurposing blades likewise showed broad advantages (15 of 16 categories; ozone depletion was slightly higher), extending material lifetimes before waste treatment. For conventional materials, steel and concrete recycling reduced impacts in most categories, with concrete outperforming landfilling in 15 of 16 categories (marine eutrophication was nearly equal to the landfilling option). The only mixed pathway was cement co-processing of GFRP, which split evenly between benefits and burdens. Sensitivity analysis underscores that improving the quality of recovered materials is critical to maximizing environmental benefits. Overall, both recycling and repurposing offer substantial environmental advantages over landfilling, reinforcing the importance of circular end-of-life strategies in sustaining wind energy across its full life cycle. Full article
Show Figures

Graphical abstract

24 pages, 5442 KB  
Article
Electro-Spun Waste Polystyrene/Steel Slag Composite Membrane for Water Desalination: Modelling and Photothermal Activity Evaluation
by Salma Tarek Ghaly, Usama Nour Eldemerdash and Ahmed H. El-Shazly
Membranes 2025, 15(10), 294; https://doi.org/10.3390/membranes15100294 - 28 Sep 2025
Viewed by 1496
Abstract
Plastic waste and industrial residues like steel slag pose significant environmental challenges, with limited recycling solutions. This study investigates a sustainable approach by repurposing waste polystyrene and steel slag into composite membranes via electrospinning for membrane distillation applications. Steel slag incorporation enhanced membrane [...] Read more.
Plastic waste and industrial residues like steel slag pose significant environmental challenges, with limited recycling solutions. This study investigates a sustainable approach by repurposing waste polystyrene and steel slag into composite membranes via electrospinning for membrane distillation applications. Steel slag incorporation enhanced membrane porosity, hydrophobicity, and thermal stability, with process optimization performed through response surface methodology by varying slag content (0–10 wt%), voltage (15–30 kV), and feed rate (0.18–10 mL·h−1). Optimized membranes achieved a reduced fiber diameter (1.172 µm), high porosity (82.3%), and superior hydrophobicity (contact angle 102.2°). Mechanical performance improved with a 12% increase in tensile strength and a threefold rise in liquid entry pressure over pure polystyrene membranes, indicating greater durability and wetting resistance. In direct contact membrane distillation, water flux improved by 15% while maintaining salt rejection above 98%. Under photothermal membrane distillation, evaporation rates rose by 69% and solar-to-thermal conversion efficiency by 60% compared to standard PVDF membranes. These results demonstrate the feasibility of transforming waste materials into high-performance, durable membranes, offering a scalable and eco-friendly solution for sustainable desalination. Full article
(This article belongs to the Section Membrane Applications for Water Treatment)
Show Figures

Figure 1

23 pages, 6000 KB  
Article
Performance Analysis of Stainless Steel Fiber Recycled Aggregate Concrete Under Dry and Wet Cycles Based on Response Surface Methodology
by Chuheng Zhong, Changlong Chen, Shuai Wang, Jianan Shi, Weiqi Mao, Sijia Xing, Jinhui Chen, Yuan Xiao and Jinzhi Zhou
Coatings 2025, 15(9), 1100; https://doi.org/10.3390/coatings15091100 - 19 Sep 2025
Viewed by 474
Abstract
Recycled aggregate concrete refers to concrete made by using recycled aggregates produced from construction waste to replace natural aggregates. The performance of recycled aggregate concrete is extremely unstable. Internal factors such as water–cement ratio, porosity, and the properties of recycled aggregates, as well [...] Read more.
Recycled aggregate concrete refers to concrete made by using recycled aggregates produced from construction waste to replace natural aggregates. The performance of recycled aggregate concrete is extremely unstable. Internal factors such as water–cement ratio, porosity, and the properties of recycled aggregates, as well as external factors like temperature, humidity, environmental erosion, and the addition of improvement materials, may all have an impact on its mechanical properties. The response surface analysis method was employed to investigate the impact of three key factors—the number of dry–wet cycles, the content of stainless steel fibers, and the concentration of Na2SO4—on the mechanical properties of stainless steel fiber recycled aggregate concrete (SSFRAC) under dry–wet cycling conditions in the study. By incorporating stainless steel fibers into the cementitious gel network, SSFRAC is conceptualized as a composite material where the metal fibers are integrated into the gel matrix, forming a hybrid system akin to metallogels. The response models for compressive strength durability coefficient Sc and flexural strength durability coefficient Sf are established using Design-Expert software to evaluate the significance of these factors and their interactions. The version of Design-Expert used in this study is Design Expert 13.0. The results demonstrated that both Sc and Sf models exhibit high fitting accuracy, effectively capturing the relationships among the factors. The number of dry–wet cycles exhibit the highest significance, followed by Na2SO4 concentration and stainless steel fiber content. The interaction between dry–wet cycle number and Na2SO4 concentration has a particularly significant impact on Sc. For Sf, stainless steel fiber content is the most significant factor, followed by dry–wet cycle number and Na2SO4 concentration, with the interaction between fiber content and Na2SO4 concentration exerting a notably strong influence. This study highlights the potential of cement-based gels as raw materials for synthesizing functional composite materials, where the incorporation of metal fibers enhances mechanical performance and durability under aggressive environmental conditions. The findings provide insights into the design and optimization of hybrid gel–metal systems for advanced construction applications. Full article
(This article belongs to the Section Environmental Aspects in Colloid and Interface Science)
Show Figures

Figure 1

31 pages, 2951 KB  
Article
Mechanical, Durability, and Environmental Impact Properties of Natural and Recycled Fiber Geopolymer with Zero Waste Approach: Alternative to Traditional Building Materials
by Haluk Görkem Alcan
Polymers 2025, 17(17), 2432; https://doi.org/10.3390/polym17172432 - 8 Sep 2025
Viewed by 991
Abstract
This study evaluates the physical, mechanical, durability, and environmental properties of geopolymer mortars (GMs) produced using waste tire steel fibers (WTSFs), hemp fibers (HFs), waste marble powder (WMP), and recycled fine aggregates (RFAs). Within the scope of this study, fibers were incorporated as [...] Read more.
This study evaluates the physical, mechanical, durability, and environmental properties of geopolymer mortars (GMs) produced using waste tire steel fibers (WTSFs), hemp fibers (HFs), waste marble powder (WMP), and recycled fine aggregates (RFAs). Within the scope of this study, fibers were incorporated as single and hybrid types at 0.5% and 1% by volume. The addition of HFs generally reduced dry unit weight, as well as compressive and flexural strength but increased fracture energy by nearly three times. The addition of WTSFs improved compressive and flexural strengths by up to 42% and enhanced fracture energy by 840%. Hybrid fibers increased the strength values by 21% and the fracture energy by up to four times, demonstrating a clear synergistic effect between HFs and WTSFs in enhancing crack resistance and structural stability. In the durability tests conducted within the scope of this study, HFs burnt at 600 °C, while WTSFs showed signs of corrosion under freeze–thaw and acid conditions; however, hybrid fibers combined the benefits of both materials, resulting in an effective preservation of internal structure. The fact that the materials used in the production of GM samples were waste or recycled products reduced the total cost to 188 USD/m3, and thanks to these materials and the carbon-negative properties of HFs, CO2 emissions were reduced to 338 kg CO2/m3. The presented study demonstrates the potential of using recycled and waste materials to create sustainable building materials in the construction industry. Full article
(This article belongs to the Special Issue Sustainable Polymeric Materials in Building and Construction)
Show Figures

Graphical abstract

21 pages, 10515 KB  
Article
Comprehensive Study on Mechanical Properties of Rubberized Geopolymer Concrete Reinforced with Steel Fibers
by Xiaoping Wang, Feng Liu, Lei Luo, Baifa Zhang and Lijuan Li
Buildings 2025, 15(17), 3175; https://doi.org/10.3390/buildings15173175 - 4 Sep 2025
Viewed by 789
Abstract
To address challenges posed by waste tires and greenhouse gas emissions associated with ordinary Portland cement, exploring eco-friendly construction materials is critical for sustainability. This study examines the workability and mechanical properties of straight steel fiber-reinforced rubberized geopolymer concrete (SFRRGC), where rubber powder [...] Read more.
To address challenges posed by waste tires and greenhouse gas emissions associated with ordinary Portland cement, exploring eco-friendly construction materials is critical for sustainability. This study examines the workability and mechanical properties of straight steel fiber-reinforced rubberized geopolymer concrete (SFRRGC), where rubber powder is derived from recycled waste tires. The experimental variables included rubber powder (RP) content (0%, 6%, 12%, and 20% by volume of fine aggregate) and steel fiber (SF) content (0%, 0.5%, 1.0%, and 1.5% by volume). The results show that incorporating RP and SFs reduced the workability of SFRRGC but increased its peak strain. Specifically, RP addition decreased the elastic modulus, compressive strength, and toughness; increasing the SF content enhanced energy dissipation, while the effects of SF and RP contents on Poisson’s ratio were negligible. The specimens showed that a higher RP content would weaken the crack-bridging effect of SF. For example, specimens with 1.0% SF and 6% RP achieved 49.56 MPa compressive strength and 4.04 × 10−3 maximum peak strain; those with 0.5% SF and 20% RP had 118.40 J compressive toughness, which was 5.53% lower than that of the reference specimens (125.33 J). Furthermore, a constitutive model for SFRRGC was proposed, and its theoretical curves aligned well with the experimental results. This proposed model can reliably predict the stress–strain curves of geopolymer concrete with different SF and RP mixture proportions. Full article
(This article belongs to the Special Issue Next-Gen Cementitious Composites for Sustainable Construction)
Show Figures

Figure 1

18 pages, 7353 KB  
Article
Low-Carbon Concrete Reinforced with Waste Steel Rivet Fibers Utilizing Steel Slag Powder, and Processed Recycled Concrete Aggregate—Engineering Insights
by Dilan Dh. Awla, Bengin M. A. Herki and Aryan Far H. Sherwani
Fibers 2025, 13(8), 109; https://doi.org/10.3390/fib13080109 - 14 Aug 2025
Viewed by 758
Abstract
The construction industry is a major source of environmental degradation as it is responsible for a significant share of global CO2 emissions, especially from cement and aggregate consumption. This study fills the need for sustainable construction materials by developing and evaluating a [...] Read more.
The construction industry is a major source of environmental degradation as it is responsible for a significant share of global CO2 emissions, especially from cement and aggregate consumption. This study fills the need for sustainable construction materials by developing and evaluating a low-carbon fiber-reinforced concrete (FRC) made of steel slag powder (SSP), processed recycled concrete aggregates (PRCAs), and waste steel rivet fibers (WSRFs) derived from industrial waste. The research seeks to reduce dependency on virgin materials while maintaining high values of mechanical performance and durability in structural applications. Sixteen concrete mixes were used in the experimental investigations with control, SSP, SSP+RCA, and RCA, reinforced with various fiber dosages (0%, 0.2%, 0.8%, 1.4%) by concrete volume. Workability, density, compressive strength, tensile strength, and water absorption were measured according to the appropriate standards. Compressive and tensile strength increased in all mixes and the 1.4% WSRF mix had the best performance. However, it was found that a fiber content of 0.8% was optimal, which balanced the improvement in strength, durability, and workability by sustainable reuse of recycled materials and demolition waste. It was found by failure mode analysis that the transition was from brittle to ductile behavior as the fiber content increased. The relationship between compressive, tensile strength, and fiber content was visualized as a 3D response surface in order to support these mechanical trends. It is concluded in this study that 15% SSP, 40% PRCA, and 0.8% WSRF are feasible, specific solutions to improve concrete performance and advance the circular economy. Full article
Show Figures

Figure 1

Back to TopTop