The Influence of Aeroelastic Effects on Wind Load and Wind-Induced Response of a Super-Tall Building: An Experimental Study
Abstract
1. Introduction
2. Test Methods
2.1. Wind Field Parameters
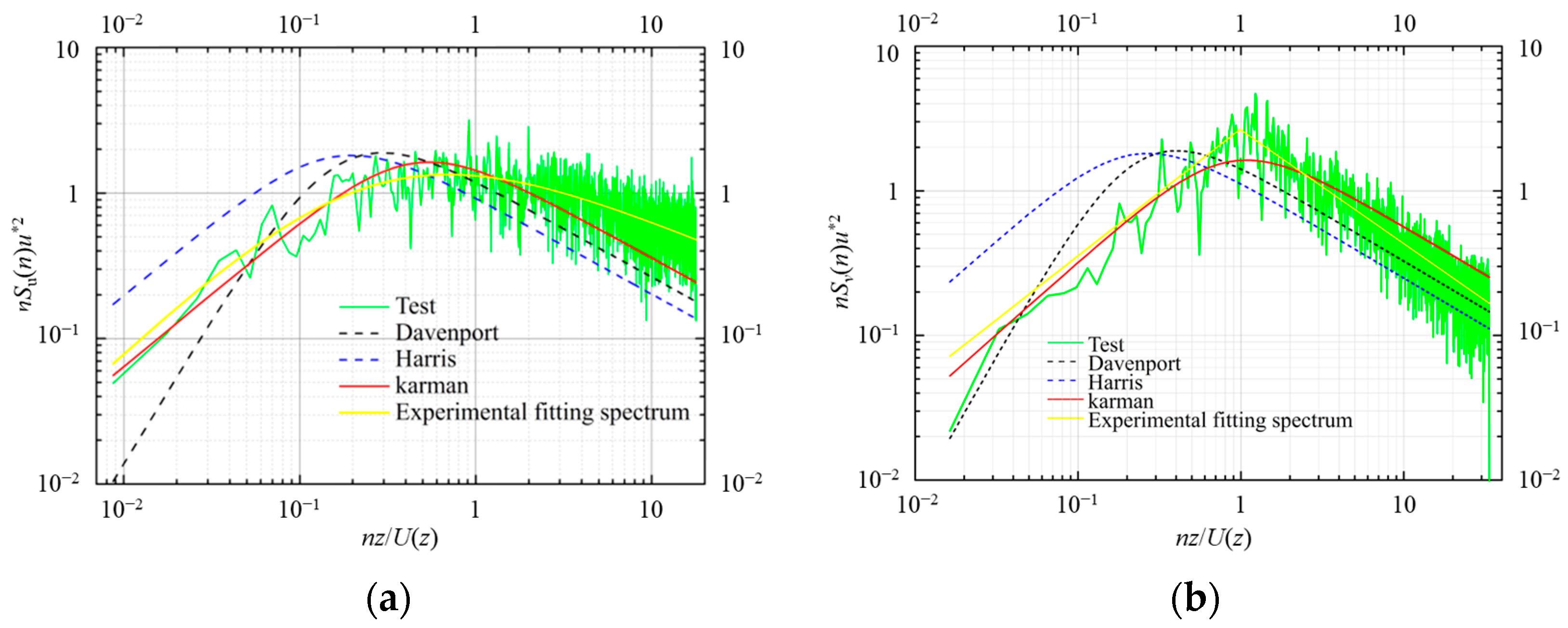
2.2. Validation of Wind Fields
2.3. Measurement Equipment
2.4. Aeroelastic Model
3. Analysis of Displacement Response under Different Wind Attack Angles
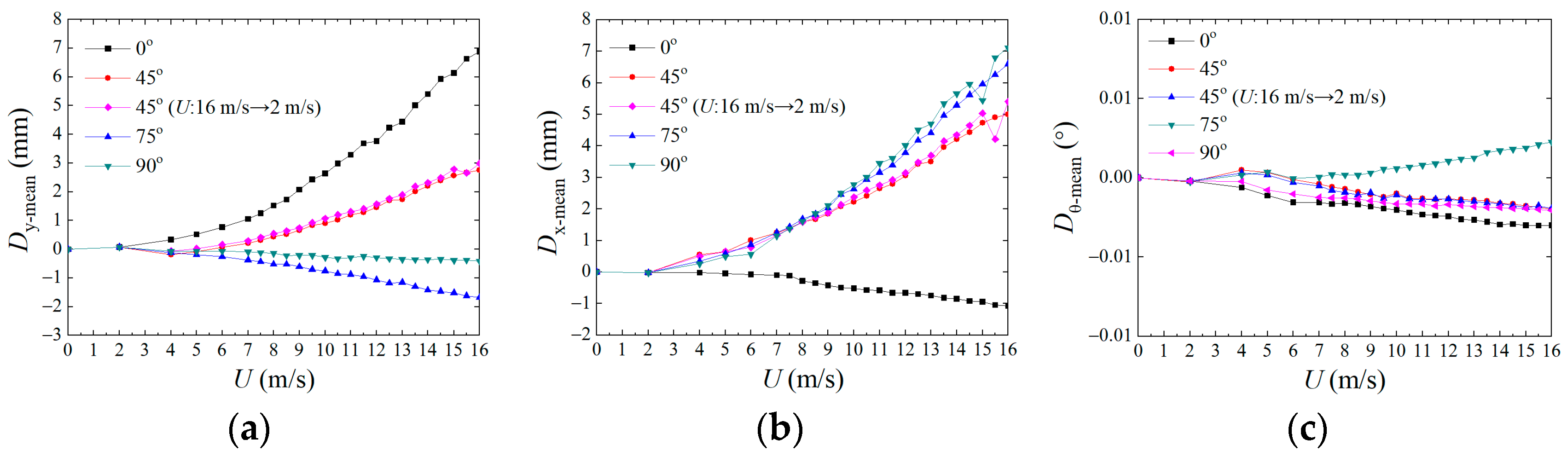
3.1. Mean Displacement Response Analysis
3.2. Fluctuating Displacement Response Analysis
3.3. Displacement Time-History Response Spectrum Analysis
4. Wind Load Characteristics
4.1. Surface Wind Pressure
4.2. Comparative Analysis of Aerodynamic Spectrum
5. Conclusions
Author Contributions
Funding
Data Availability Statement
Conflicts of Interest
References
- Lavôr, T.F.A.; de Brito, J.L.V.; Loredo-Souza, A.M. Interference effects mapping on the static wind loading of a tall building. Lat. Am. J. Solids Struct. 2023, 20, e484. [Google Scholar] [CrossRef]
- Kwok KC, S.; Hitchcock, P.A.; Burton, M.D. Perception of vibration and occupant comfort in wind-excited tall buildings. J. Wind. Eng. Ind. Aerodyn. 2009, 97, 368–380. [Google Scholar] [CrossRef]
- Elshaer, A.; Gairola, A.; Adamek, K.; Bitsuamlak, G. Variations in wind load on tall buildings due to urban development. Sustain. Cities Soc. 2017, 34, 264–277. [Google Scholar] [CrossRef]
- Salehinejad, M.M.; Flay, R.G.J. A review of approaches to generate equivalent static and synthetic wind loads on tall buildings for the preliminary stage of design. J. Wind. Eng. Ind. Aerodyn. 2021, 219, 104823. [Google Scholar] [CrossRef]
- Hou, F.; Jafari, M. Investigation approaches to quantify wind-induced load and response of tall buildings: A review. Sustain. Cities Soc. 2020, 62, 102376. [Google Scholar] [CrossRef]
- Sharma, A.; Mittal, H.; Gairola, A. Mitigation of wind load on tall buildings through aerodynamic modifications: Review. J. Build. Eng. 2018, 18, 180–194. [Google Scholar] [CrossRef]
- Kim, Y.-M.; You, K.-P. Dynamic responses of a tapered tall building to wind loads. J. Wind. Eng. Ind. Aerodyn. 2002, 90, 1771–1782. [Google Scholar] [CrossRef]
- Gu, M.; Quan, Y. Across-wind loads of typical tall buildings. J. Wind. Eng. Ind. Aerodyn. 2004, 92, 1147–1165. [Google Scholar] [CrossRef]
- Zhou, Y.; Kijewski, T.; Kareem, A. Along-Wind Load Effects on Tall Buildings: Comparative Study of Major International Codes and Standards. J. Struct. Eng. 2002, 128, 788–796. [Google Scholar] [CrossRef]
- Isyumov, N.; Case, P.C. Wind-induced torsional loads and responses of buildings. In Advanced Technology in Structural Engineering; ASCE Library: Philadelphia, PA, USA, 2000; pp. 1–8. [Google Scholar]
- Picozzi, V.; Malasomma, A.; Avossa, A.M.; Ricciardelli, F. The Relationship between Wind Pressure and Pressure Coefficients for the Definition of Wind Loads on Buildings. Buildings 2022, 12, 225. [Google Scholar] [CrossRef]
- Wang, Q.-A.; Zhang, C.; Ma, Z.-G.; Ni, Y.-Q. Modelling and forecasting of SHM strain measurement for a large-scale suspension bridge during typhoon events using variational heteroscedastic Gaussian process. Eng. Struct. 2022, 251, 113554. [Google Scholar] [CrossRef]
- Wang, Q.-A.; Wang, C.-B.; Ma, Z.-G.; Chen, W.; Ni, Y.-Q.; Wang, C.-F.; Yan, B.-G.; Guan, P.-X. Bayesian dynamic linear model framework for structural health monitoring data forecasting and missing data imputation during typhoon events. Struct. Health Monit. 2022, 21, 2933–2950. [Google Scholar] [CrossRef]
- Yan, B.; Li, Y.; Li, X.; Zhou, X.; Wei, M.; Yang, Q.; Zhou, X. Wind Tunnel Investigation of Twisted Wind Effect on a Typical Super-Tall Building. Buildings 2022, 12, 2260. [Google Scholar] [CrossRef]
- Wang, Q.; Zhang, B. Wind-Induced Responses and Wind Loads on a Super High-Rise Building with Various Cross-Sections and High Side Ratio—A Case Study. Buildings 2023, 13, 485. [Google Scholar] [CrossRef]
- Taniike, Y.; Inaoka, H. Aeroelastic behavior of tall buildings in wakes. J. Wind. Eng. Ind. Aerodyn. 1988, 28, 317–327. [Google Scholar] [CrossRef]
- Kim, W.; Tamura, Y.; Yoshida, A. Interference effects on aerodynamic wind forces between two buildings. J. Wind. Eng. Ind. Aerodyn. 2015, 147, 186–201. [Google Scholar] [CrossRef]
- Thepmongkorn, S.; Wood, G.; Kwok, K. Interference effects on wind-induced coupled motion of a tall building. J. Wind. Eng. Ind. Aerodyn. 2002, 90, 1807–1815. [Google Scholar] [CrossRef]
- Mara, T.; Terry, B.; Ho, T.; Isyumov, N. Aerodynamic and peak response interference factors for an upstream square building of identical height. J. Wind. Eng. Ind. Aerodyn. 2014, 133, 200–210. [Google Scholar] [CrossRef]
- Wijesooriya, K.; Mohotti, D.; Amin, A.; Chauhan, K. Wind loads on a super-tall slender structure: A validation of an uncoupled fluid-structure interaction (FSI) analysis. J. Build. Eng. 2020, 35, 102028. [Google Scholar] [CrossRef]
- Wan, J.-W.; Li, Q.-S.; Han, X.-L.; Xu, K. Investigation of structural responses and dynamic characteristics of a supertall building during Typhoon Kompasu. J. Wind. Eng. Ind. Aerodyn. 2022, 230, 105209. [Google Scholar] [CrossRef]
- Huang, D.; Wu, T.; He, S. Experimental investigation of vortex-induced aeroelastic effects on a square cylinder in uniform flow. Wind. Struct. 2020, 30, 37–54. [Google Scholar]
- Ke, S.; Ge, Y. The influence of self-excited forces on wind loads and wind effects for super-large cooling towers. J. Wind. Eng. Ind. Aerodyn. 2014, 132, 125–135. [Google Scholar] [CrossRef]
- Huang, G.; Chen, X. Wind load effects and equivalent static wind loads of tall buildings based on synchronous pressure measurements. Eng. Struct. 2007, 29, 2641–2653. [Google Scholar] [CrossRef]
- He, Y.; Cheung, J.; Li, Q.; Fu, J. Accurate determination of reference wind speed and reference static pressure in wind tunnel tests. Adv. Struct. Eng. 2020, 23, 578–583. [Google Scholar] [CrossRef]
- Shao, J.; Liu, J.; Zhao, J. Evaluation of various non-linear k–ɛ models for predicting wind flow around an isolated high-rise building within the surface boundary layer. Build. Environ. 2012, 57, 145–155. [Google Scholar] [CrossRef]
- Huang, D.; Zhu, L.; Ding, Q.; Zhu, X.; Chen, W. Aeroelastic and aerodynamic interference effects on a high-rise building. J. Fluids Struct. 2017, 69, 355–381. [Google Scholar]
- Rizzo, F. Investigation of the Time Dependence of Wind-Induced Aeroelastic Response on a Scale Model of a High-Rise Building. Appl. Sci. 2021, 11, 3315. [Google Scholar] [CrossRef]
- Su, N.; Li, Z.; Peng, S.; Uematsu, Y. Interference effects on aeroelastic responses and design wind loads of twin high-rise reinforced concrete chimneys. Eng. Struct. 2021, 233, 111925. [Google Scholar] [CrossRef]
- GB 50009-2019; Load Code for the Design of Building Structures. China Architecture & Building Press: Beijing, China, 2019.
- Huang, D.; Zhu, L.; Ren, W.; Ding, Q. A harmonic piecewise linearisation-wavelet transforms method for identification of non-linear vibration “black box” systems: Application in wind-induced vibration of a high-rise building. J. Fluids Struct. 2018, 78, 239–262. [Google Scholar] [CrossRef]



















Disclaimer/Publisher’s Note: The statements, opinions and data contained in all publications are solely those of the individual author(s) and contributor(s) and not of MDPI and/or the editor(s). MDPI and/or the editor(s) disclaim responsibility for any injury to people or property resulting from any ideas, methods, instructions or products referred to in the content. |
© 2023 by the authors. Licensee MDPI, Basel, Switzerland. This article is an open access article distributed under the terms and conditions of the Creative Commons Attribution (CC BY) license (https://creativecommons.org/licenses/by/4.0/).
Share and Cite
Xu, Z.; Yin, J. The Influence of Aeroelastic Effects on Wind Load and Wind-Induced Response of a Super-Tall Building: An Experimental Study. Buildings 2023, 13, 1871. https://doi.org/10.3390/buildings13071871
Xu Z, Yin J. The Influence of Aeroelastic Effects on Wind Load and Wind-Induced Response of a Super-Tall Building: An Experimental Study. Buildings. 2023; 13(7):1871. https://doi.org/10.3390/buildings13071871
Chicago/Turabian StyleXu, Ze, and Jiangjiang Yin. 2023. "The Influence of Aeroelastic Effects on Wind Load and Wind-Induced Response of a Super-Tall Building: An Experimental Study" Buildings 13, no. 7: 1871. https://doi.org/10.3390/buildings13071871
APA StyleXu, Z., & Yin, J. (2023). The Influence of Aeroelastic Effects on Wind Load and Wind-Induced Response of a Super-Tall Building: An Experimental Study. Buildings, 13(7), 1871. https://doi.org/10.3390/buildings13071871
