Damage Identification of Concrete Arch Dams Based on Wavelet Packets and Neural Networks
Abstract
1. Introduction
2. Damage Location Identification
2.1. Damage Index Calculation
2.1.1. Curvature Mode
2.1.2. Wavelet Packet Energy Curvature
2.2. No Water Level
2.2.1. Modulus of Curvature
2.2.2. Wavelet Coefficient
2.2.3. Wavelet Packet Energy
2.3. With Water Level
2.3.1. Modal Curvature
2.3.2. Wavelet Packet Energy
2.4. Data Fusion Damage Identification of Arch Dam
3. Identification of Damage Degree of Arch Dam
3.1. Defect Introduction
3.2. Single Damage
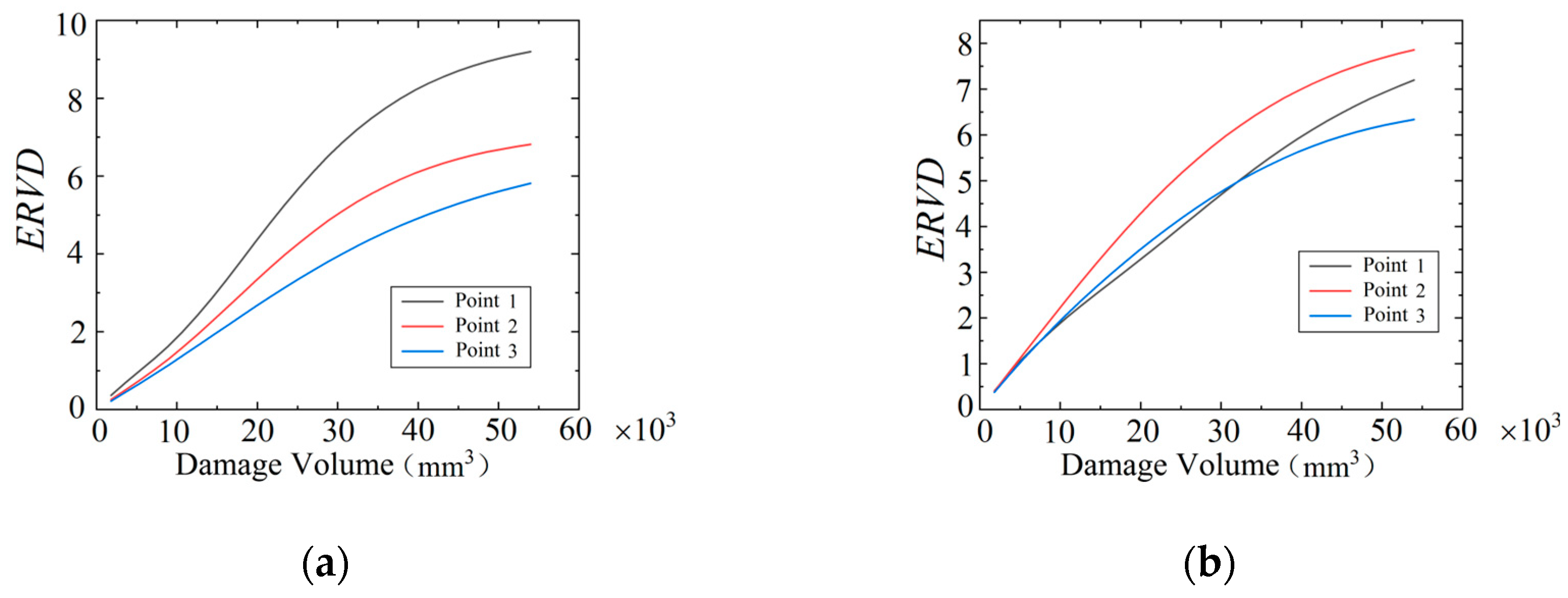
3.2.1. ERVD Calculation Results
3.2.2. BP Neural Network Fitting Prediction
3.3. Double Damage
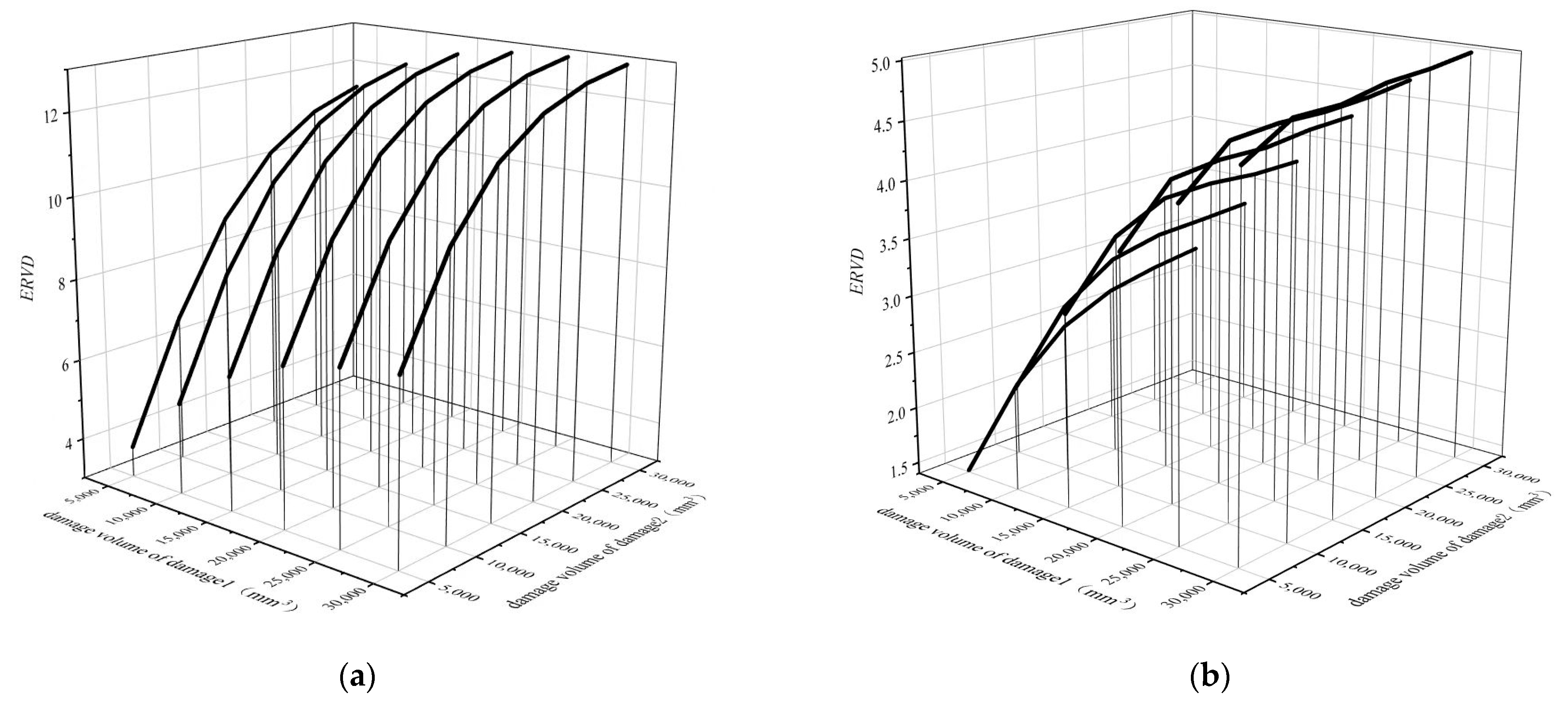
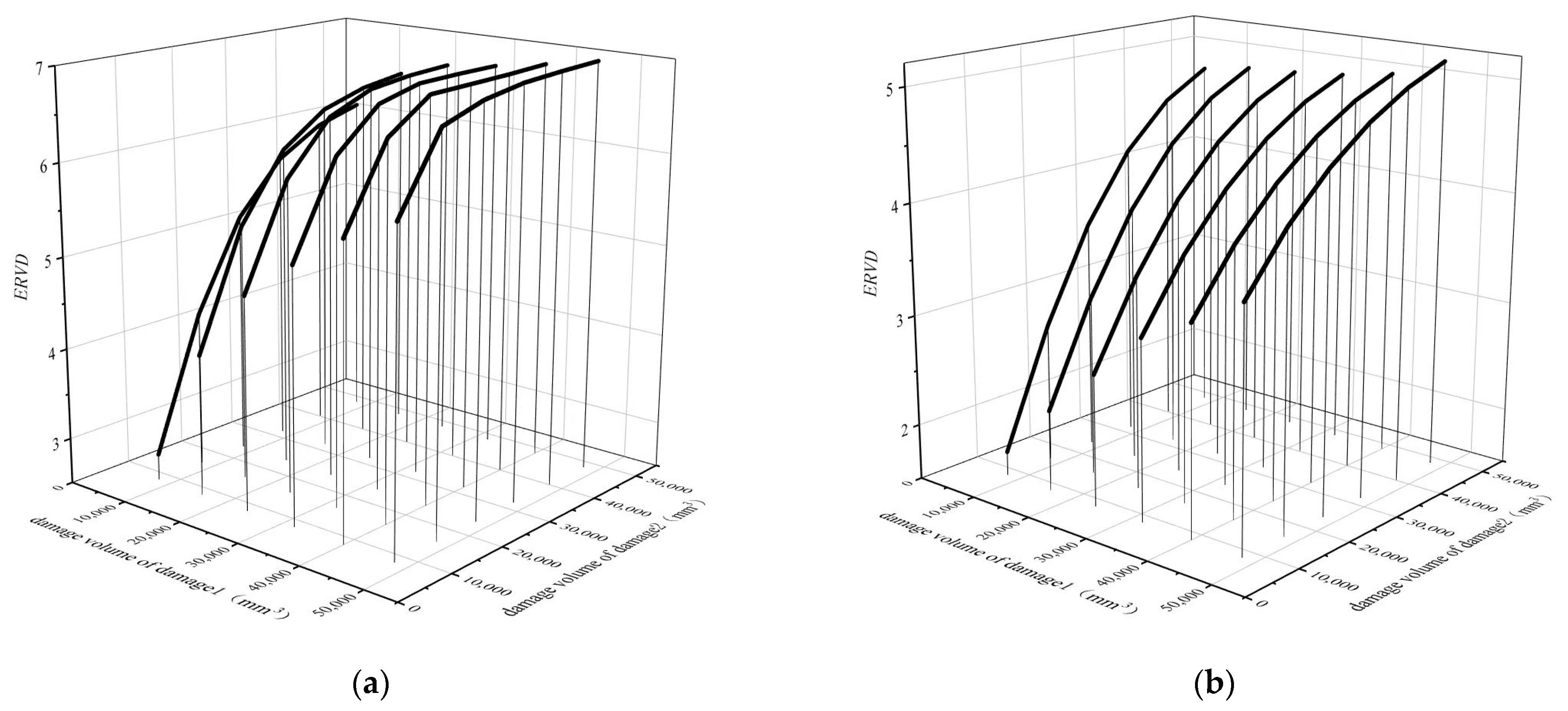
3.3.1. ERVD Calculation Results
3.3.2. BP Neural Network Fitting Prediction
4. Experiment Method
4.1. Damage Location Identification
4.1.1. No Water Level
4.1.2. With Water Level
4.2. Multi-Source Data Fusion
4.3. Identification of Damage Degree
5. Conclusions
- When there are enough measuring points, , and can all effectively identify the damage location. When the method is used for damage identification, the damage identification effect of the first mode of the four modes the best. When using the method for damage identification, it is found that this method needs enough measuring points to be able to carry out effective damage identification; the number of measuring points should be no less than 64, and the edge effect of this method is obvious. When the method is used for damage identification, the effect of damage identification is better than the first two types when the number of measuring points is the same, and the three wavelet bases of db, coif and sym can be used for effective identification. When the number of wavelet base decomposition layers is increased, the effect of damage identification using db and sym is improved, but the improvement effect is not obvious after more than seven layers.
- After the D-S evidence theory data fusion method is applied to the arch dam structure, the damage probability of the non-damaged position is close to 0 after fusion, which eliminates the misjudgment of the single-damage recognition method and improves the damage recognition effect.
- ERVD is sensitive to the damage degree of the arch dam structure, and the ERVD value increases with the increase of the damage degree. When there is a single damage, the trained BP neural network can identify the degree of damage. In the case of double damage, only one measuring point’s data are used for neural network training, and the recognition effect of the trained neural network is very poor. In the case of double damage, using data from two test points is better than using one test point’s data for neural network training and recognition. In addition, the BP neural network based on ERVD has good anti-noise robustness.
- and can effectively identify the damage location in a concrete arch dam. After the and obtained from the test are fused with multiple data using D-S evidence theory, the influence of misjudgment is reduced compared with the single-damage recognition method, and the damage recognition ability is improved. The method imports the ERVD obtained from the test data into the neural network trained by the numerical simulation data and conducts qualitative analysis on the identification of the damage degree. As the actual damage degree increases, the ERVD increases, and the prediction results of the neural network also improve.
Author Contributions
Funding
Data Availability Statement
Conflicts of Interest
References
- Sun, X.D.; Ou, J.P. Damage index evaluation method based on dynamic detection. Vib. Shock 2009, 28, 9–13+191. [Google Scholar]
- Wang, Z.J.; Han, X.; Zhong, L. Damage identification method for civil engineering structures based on structural dynamic parameters. J. Chongqing Jianzhu Univ. 2003, 4, 128–132. [Google Scholar]
- Wang, B.Y. Structural Damage Detection Based on Wavelet Analysis. Noise Vib. Control 2006, 6, 43–45. [Google Scholar]
- Sun, Z.S.; Han, J.G.; Ren, W.X. Research Progress of Structural Damage Detection Based on Wavelet Analysis. Earthq. Eng. Eng. Vib. 2005, 2, 93–99. [Google Scholar]
- Li, S.J.; Suzuki, X.Z. Application of wavelet analysis in structural health diagnosis. J. Huazhong Univ. Sci. Technol. Urban Sci. Ed. 2003, 2, 20, 32–35+46. [Google Scholar]
- Han, J.G.; Ren, W.X.; Sun, Z.S. Experimental Research on Wavelet Packet Analysis for Structural Damage Identification. Vib. Shock 2006, 1, 47–50+57+164. [Google Scholar]
- Sun, P.; Li, A.Q.; Ding, Y.L. Study on Parameters for Identification of Wavelet Packet Energy Spectrum for Structural Damage Alarming. Adv. Mater. Res. 2010, 163, 2693–2698. [Google Scholar] [CrossRef]
- Wen, L.M.; Huang, Y.H. Research on Several Key Issues of Neural Network for Structural Damage Identification. Ind. Archit. 2002, 8, 39–40+49. [Google Scholar]
- Cui, P.F.; Li, F.C.; Zhang, L.N. Research Progress in Structural Damage Identification Based on Neural Network. Eng. Qual. 2014, 32, 28–31. [Google Scholar]
- Du, D.R.; Qiu, D.L.; Li, A.Q. Application of Neural Network Technology in Civil Structure Health Monitoring. Nondestruct. Test. 2004, 8, 383–387. [Google Scholar]
- Guo, H.Y.; Zhang, L.; Zhou, J.X. Structural Multiple Damage Location Recognition Based on Improved Weighted D-S Information Fusion. Eng. Mech. 2005, 1, 235–240. [Google Scholar]
- Lotfollahi-Yaghin, M.A.; Hesari, M.A. Using wavelet analysis in crack detection at the arch concrete dam under frequency analysis with FEM. World Appl. Sci. J. 2008, 3, 691–704. [Google Scholar]
- Han, D.; Jing, D.Q.; Cui, Y.J. Crack damage identification of high arch dam based on wavelet analysis. J. Hydraul. Archit. Eng. 2012, 10, 69–72. [Google Scholar]
- Wang, B.S.; He, G.B. Preliminary study on the feasibility of vibration-based damage detection of concrete dams. Hydropower 2003, 4, 72–75. [Google Scholar]
- Zhang, J.W. Research on Theoretical Methods of Hydraulic Structure Damage Diagnosis and Safety Monitoring; North China Institute of Water Resources and Hydropower: Zhengzhou, China, 2011. [Google Scholar]
- Zhu, X.; Cao, M.; Ostachowicz, W. Damage identification in bridges by processing dynamic responses to moving loads: Features and evaluation. Sensors 2019, 19, 463. [Google Scholar] [CrossRef]
- Lee, J.; Kim, S. Structural damage detection in the frequency domain using neural networks. J. Intell. Mater. Syst. Struct. 2007, 18, 785–792. [Google Scholar] [CrossRef]
- Zhang, J.C.; Zhou, S.P.; Li, Y. Improved DS evidence theory for pipeline damage identification. J. Vibroeng. 2015, 17, 3527–3537. [Google Scholar]
- Karalar, M.; Cavusli, M. Three dimensional seismic deformation-shear strain-swelling performance of America-California Oroville Earth-Fill Dam. Geomech. Eng. 2021, 24, 443–456. [Google Scholar] [CrossRef]
- Karalar, M.; Cavusli, M. Seismic effects of epicenter distance of earthquake on 3D damage performance of CG dams. Earthq. Struct. 2020, 18, 201–213. [Google Scholar] [CrossRef]
- He, Z.C. Experimental Research on Failure Recognition of Mixed Soil Arch Dam Based on Vibration; Zhejiang University: Hangzhou, China, 2006. [Google Scholar]
- Cao, Z.Y.; Zhang, L.J. Finite element numerical research on hydrodynamic fluid-solid coupling effect of arch dam-reservoir. Hydro. Energy Sci. 2013, 31, 58–61. [Google Scholar]
- Peng, H.; You, C.H.; Meng, Y. Damage diagnosis of beam structures by modal curvature difference method. Eng. Mech. 2006, 7, 49–53+7. [Google Scholar]
- Tao, X.K. Research on Damage Identification of Beam Bridges Based on Wavelet Packet Energy Method; Tianjin University: Tianjin, China, 2019. [Google Scholar]
- Li, S.J.; Wu, Y.F.; Qiu, Y. Research on edge effects of wavelet modal parameter identification. Noise Vib. Control 2009, 29, 93–96+133. [Google Scholar]
- Yu, Y.F.; Zhou, D.Y.; Zhang, C.X. Detection of sleeve grouting defects in prefabricated shear walls based on wavelet packet analysis. Struct. Eng. 2022, 38, 53–56. [Google Scholar]
- Ding, Y.L.; Li, A.Q.; Miu, C.Q. Research on structural damage early warning method based on wavelet packet energy spectrum. Eng. Mech. 2006, 8, 42–48. [Google Scholar]






















































| Decomposition layers | 7 | 8 | 9 | 10 | 11 | 12 | 13 | 14 |
| Total energy (E) × 1011 | 8.018 | 7.270 | 6.875 | 6.952 | 7.217 | 7.516 | 7.894 | 8.032 |
| calculation time (s) | 0.154 | 0.183 | 0.335 | 0.832 | 1.428 | 2.698 | 6.069 | 16.310 |
| Noise Level | MSE | R | Noise Level | MSE | R | ||
|---|---|---|---|---|---|---|---|
| No water level | No noise | 20,615.434 | 0.999995 | With water level | No noise | 13,339.757 | 0.999992 |
| 1% | 65,534.425 | 0.99993 | 1% | 40,239.335 | 0.99997 | ||
| 5% | 604,031.522 | 0.99981 | 5% | 455,460.701 | 0.99938 | ||
| 10% | 1,648,201.216 | 0.99972 | 10% | 1,732,941.843 | 0.99945 |
| Number of Damage | Water Level | |
|---|---|---|
| First group | Single damage | 0 |
| Second Group | Single damage | 300 mm |
| Third group | Double damage | 0 |
| Fourth group | Double damage | 300 mm |
| Damage Volume (mm3) | Small Damage | Moderate Damage | Major Damage | |
|---|---|---|---|---|
| No water level | ERVD | 3.42 | 3.88 | 4.04 |
| Predictive value | 21,039.03 | 24,277.18 | 25,416.17 | |
| With water level | ERVD | 4.97 | 7.19 | 7.98 |
| Predictive value | 22,395.78 | 32,285.29 | 37,705.88 | |
| Damage 1 Damage Degree (mm3) | Small Damage | Small Damage | Moderate Damage | Moderate Damage | Major Damage | Major Damage |
|---|---|---|---|---|---|---|
| Damage 2 Damage Degree (mm3) | 0 | Small Damage | Small Damage | Moderate Damage | Moderate Damage | Major Damage |
| No water level | 10.889 | 1.763 | 4.479 | 4.608 | 6.385 | 11.265 |
| With water level | 1.325 | 1.398 | 3.099 | 4.361 | 17.154 | 15.891 |
| Damage 1 Damage Degree (mm3) | Small Damage | Small Damage | Moderate Damage | Moderate Damage | Major Damage | Major Damage |
|---|---|---|---|---|---|---|
| Damage 2 Damage Degree (mm3) | 0 | Small Damage | Small Damage | Moderate Damage | Moderate Damage | Major Damage |
| No water level | 1.622 | 2.063 | 2.452 | 2.544 | 2.588 | 3.069 |
| With water level | 0.569 | 1.138 | 2.463 | 3.478 | 3.124 | 5.443 |
Disclaimer/Publisher’s Note: The statements, opinions and data contained in all publications are solely those of the individual author(s) and contributor(s) and not of MDPI and/or the editor(s). MDPI and/or the editor(s) disclaim responsibility for any injury to people or property resulting from any ideas, methods, instructions or products referred to in the content. |
© 2023 by the authors. Licensee MDPI, Basel, Switzerland. This article is an open access article distributed under the terms and conditions of the Creative Commons Attribution (CC BY) license (https://creativecommons.org/licenses/by/4.0/).
Share and Cite
Si, Z.; Pan, J.; Yang, X. Damage Identification of Concrete Arch Dams Based on Wavelet Packets and Neural Networks. Buildings 2023, 13, 1417. https://doi.org/10.3390/buildings13061417
Si Z, Pan J, Yang X. Damage Identification of Concrete Arch Dams Based on Wavelet Packets and Neural Networks. Buildings. 2023; 13(6):1417. https://doi.org/10.3390/buildings13061417
Chicago/Turabian StyleSi, Zhihao, Jianwu Pan, and Xi Yang. 2023. "Damage Identification of Concrete Arch Dams Based on Wavelet Packets and Neural Networks" Buildings 13, no. 6: 1417. https://doi.org/10.3390/buildings13061417
APA StyleSi, Z., Pan, J., & Yang, X. (2023). Damage Identification of Concrete Arch Dams Based on Wavelet Packets and Neural Networks. Buildings, 13(6), 1417. https://doi.org/10.3390/buildings13061417

