The Study of the Effects of Supplementary Cementitious Materials (SCMs) on Concrete Compressive Strength at High Temperatures Using Artificial Neural Network Model
Abstract
1. Introduction
2. Developing Artificial Neural Network (ANN) Models
2.1. Database
2.2. Limitations, Assumptions, and the Orientations of This Study
- The database only contains air-cooled concrete after the heating period for the residual test method.
- The data covers concrete specimens containing no fibres.
- The heating rate was not included in the input parameters.
2.3. Modeling the Network
2.4. Performance of the ANN Models
2.5. Sensitivity Analysis
3. Parametric Studies
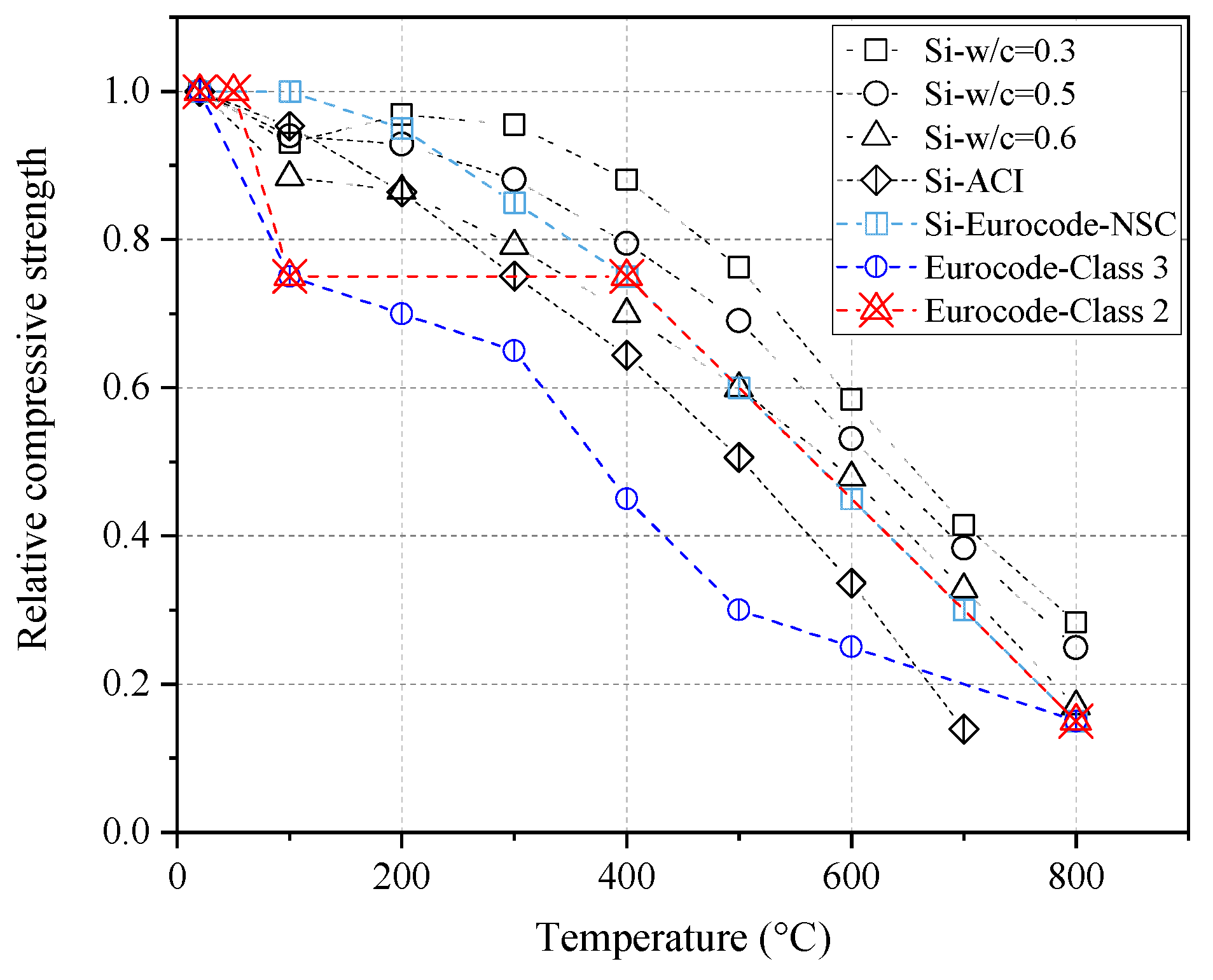
3.1. The Effects of Three High-Temperature Test Methods on Compressive Strength
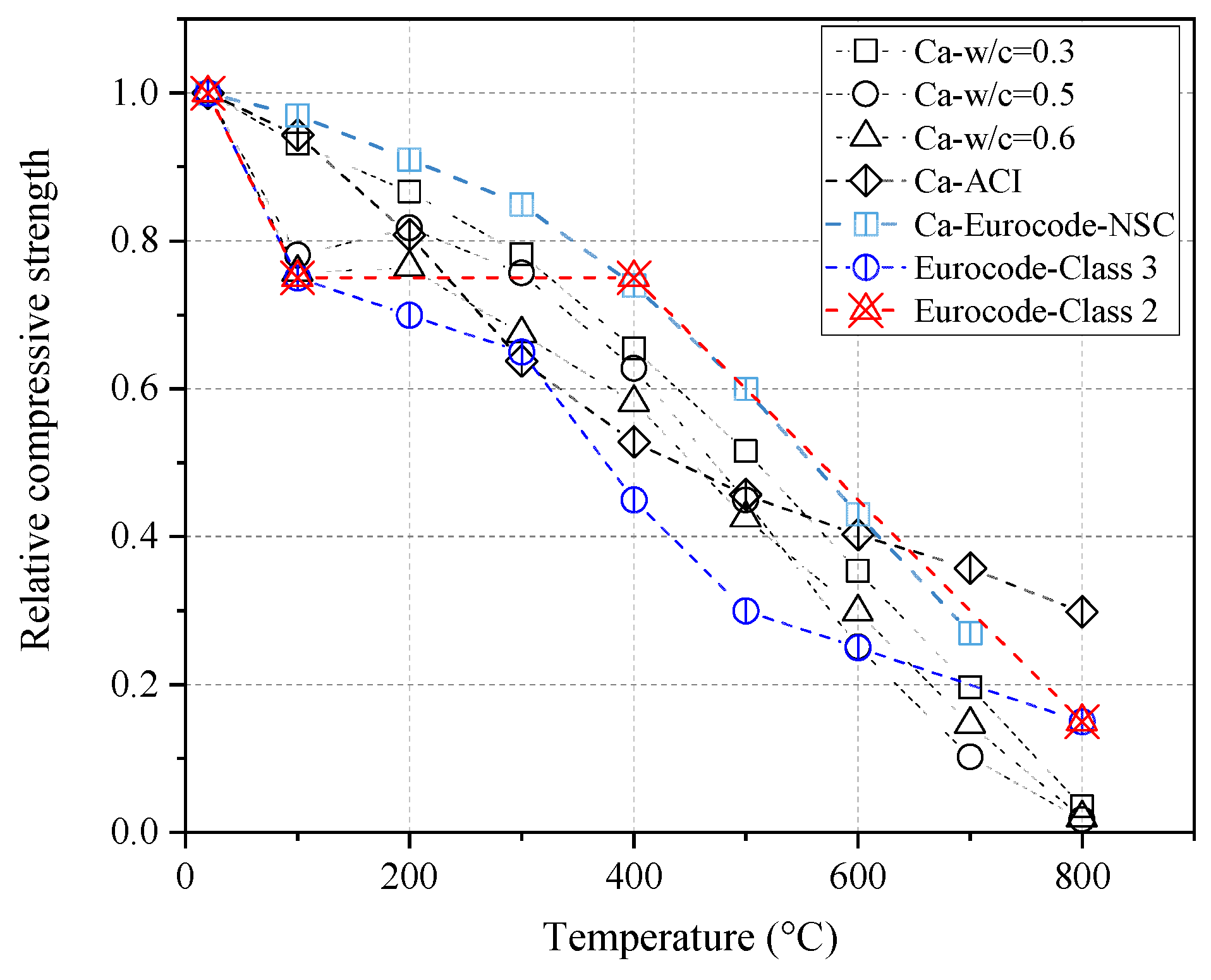
3.2. The Effects of Water-to-Cement Ratio on Residual Compressive Strength
3.3. The Effects of Supplementary Cementitious Materials on Residual Compressive Strength
3.3.1. The Effects of Silica Fume (SF)
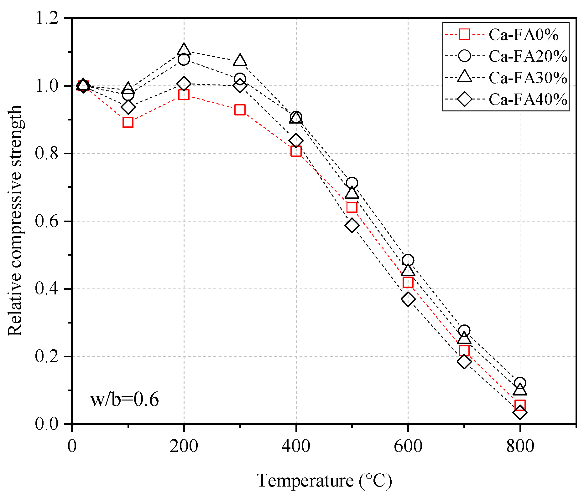
3.3.2. The Effects of Fly Ash (FA)
3.3.3. The Effects of Ground-Granulated Blast Furnace Slag (GGBFS)
3.3.4. Combined Effects of Aggregate Types and SCMs
4. Conclusions
- A network consisting of one hidden layer within twelve neurons was established to estimate the compressive strength of concrete exposed to high temperatures. The network has a mean-squared error (MSE) of 0.004 and a correlation coefficient (R) of 0.966.
- The database contained experimental test results from three common test protocols: transient temperature, steady-state temperature, and residual tests. It was found that the strength loss in transient tests is lower than in the steady-state and residual tests for all aggregate types.
- A higher w/c ratio for both siliceous- and calcareous-aggregate concrete results in more strength loss after exposure to high temperatures.
- The better thermal performance of silicious aggregates was observed in various concrete mixes containing different SCMs. Chemical reactions between quartz and Ca(OH)2, as well as a higher C-S-H formation rate in siliceous aggregates, resulted in a stronger bond with cement paste rather than calcareous aggregates. However, the bond strength completely depends on the chemical composition of aggregates and SCMs.
- For all concrete, regardless of SCM type and aggregate type, the maximum residual compressive strength is around 100–300 °C. This may be attributed to the possibility of steam curing resulting in additional hydration of unhydrated cement particles at temperatures 100–300 °C.
- The optimum amount of SCMs depends on factors such as aggregate types, which are not fully studied experimentally, and the data lack exists. The optimum amount of SCMs may differ based on the aggregate type; for instance, the optimum silica fume (SF) content for concrete with a w/b ratio of 0.6 subjected to high temperatures is 8% and 3% for siliceous and calcareous concrete, respectively.
- In siliceous-aggregate concrete, adding FA increases the relative compressive strength by over 15%. For calcareous aggregate and temperatures below 400 °C, adding FA results in a 10% higher strength. In calcareous concrete, FA replacement over 40% results in more strength loss at all temperatures.The residual compressive strength decreased continuously for slag (GGBFS)-containing silicious and calcareous concrete. However, the compressive strength reduction was more significant in GGBFS calcareous concrete.
Author Contributions
Funding
Data Availability Statement
Conflicts of Interest
Appendix A. Data Set Table
| Paper | Temperature (°C) | Coarse-Aggregate Type | Coarse Aggregate (kg/m3) | Fine Aggregate (kg/m3) | SF% | FA% | GGBS% | Cement (kg/m3) | Water (kg/m3) | fcT/fc20 | Test Method | |
|---|---|---|---|---|---|---|---|---|---|---|---|---|
| 1 | [38] | 200 | S | 1142 | 615 | 10 | 20 | 0 | 350 | 150 | 1.09 | R |
| 2 | 400 | S | 1142 | 615 | 10 | 20 | 0 | 350 | 150 | 0.94 | R | |
| 3 | 600 | S | 1142 | 615 | 10 | 20 | 0 | 350 | 150 | 0.51 | R | |
| 4 | 800 | S | 1142 | 615 | 10 | 20 | 0 | 350 | 150 | 0.19 | R | |
| 5 | 200 | S | 1151 | 620 | 10 | 0 | 0 | 450 | 150 | 0.98 | R | |
| 6 | 400 | S | 1151 | 620 | 10 | 0 | 0 | 450 | 150 | 0.87 | R | |
| 7 | 600 | S | 1151 | 620 | 10 | 0 | 0 | 450 | 150 | 0.44 | R | |
| 8 | 800 | S | 1151 | 620 | 10 | 0 | 0 | 450 | 150 | 0.16 | R | |
| 9 | 200 | S | 1066 | 710 | 5 | 0 | 0 | 475 | 150 | 0.99 | R | |
| 10 | 400 | S | 1066 | 710 | 5 | 0 | 0 | 475 | 150 | 0.93 | R | |
| 11 | 600 | S | 1066 | 710 | 5 | 0 | 0 | 475 | 150 | 0.52 | R | |
| 12 | 800 | S | 1066 | 710 | 5 | 0 | 0 | 475 | 150 | 0.21 | R | |
| 13 | 200 | S | 1139 | 613 | 0 | 40 | 0 | 300 | 150 | 1.22 | R | |
| 14 | 400 | S | 1139 | 613 | 0 | 40 | 0 | 300 | 150 | 1.04 | R | |
| 15 | 600 | S | 1139 | 613 | 0 | 40 | 0 | 300 | 150 | 0.57 | R | |
| 16 | 800 | S | 1139 | 613 | 0 | 40 | 0 | 300 | 150 | 0.30 | R | |
| 17 | 200 | S | 1139 | 625 | 0 | 40 | 0 | 234 | 195 | 1.06 | R | |
| 18 | 400 | S | 1139 | 625 | 0 | 40 | 0 | 234 | 195 | 0.84 | R | |
| 19 | 600 | S | 1139 | 625 | 0 | 40 | 0 | 234 | 195 | 0.45 | R | |
| 20 | 800 | S | 1139 | 625 | 0 | 40 | 0 | 234 | 195 | 0.18 | R | |
| 21 | 200 | S | 1143 | 615 | 0 | 30 | 0 | 350 | 150 | 1.21 | R | |
| 22 | 400 | S | 1143 | 615 | 0 | 30 | 0 | 350 | 150 | 0.98 | R | |
| 23 | 600 | S | 1143 | 615 | 0 | 30 | 0 | 350 | 150 | 0.67 | R | |
| 24 | 800 | S | 1143 | 615 | 0 | 30 | 0 | 350 | 150 | 0.32 | R | |
| 25 | 200 | S | 1133 | 626 | 0 | 30 | 0 | 273 | 195 | 1.02 | R | |
| 26 | 400 | S | 1133 | 626 | 0 | 30 | 0 | 273 | 195 | 0.86 | R | |
| 27 | 600 | S | 1133 | 626 | 0 | 30 | 0 | 273 | 195 | 0.37 | R | |
| 28 | 800 | S | 1133 | 626 | 0 | 30 | 0 | 273 | 195 | 0.16 | R | |
| 29 | 200 | S | 1147 | 618 | 0 | 20 | 0 | 400 | 150 | 1.14 | R | |
| 30 | 400 | S | 1147 | 618 | 0 | 20 | 0 | 400 | 150 | 0.96 | R | |
| 31 | 600 | S | 1147 | 618 | 0 | 20 | 0 | 400 | 150 | 0.62 | R | |
| 32 | 800 | S | 1147 | 618 | 0 | 20 | 0 | 400 | 150 | 0.28 | R | |
| 33 | 200 | S | 1142 | 615 | 0 | 0 | 40 | 300 | 150 | 1.15 | R | |
| 34 | 400 | S | 1142 | 615 | 0 | 0 | 40 | 300 | 150 | 0.99 | R | |
| 35 | 600 | S | 1142 | 615 | 0 | 0 | 40 | 300 | 150 | 0.61 | R | |
| 36 | 800 | S | 1142 | 615 | 0 | 0 | 40 | 300 | 150 | 0.29 | R | |
| 37 | 200 | S | 1132 | 625 | 0 | 0 | 40 | 234 | 195 | 0.92 | R | |
| 38 | 400 | S | 1132 | 625 | 0 | 0 | 40 | 234 | 195 | 0.81 | R | |
| 39 | 600 | S | 1132 | 625 | 0 | 0 | 40 | 234 | 195 | 0.54 | R | |
| 40 | 800 | S | 1132 | 625 | 0 | 0 | 40 | 234 | 195 | 0.20 | R | |
| 41 | 200 | S | 1145 | 616 | 0 | 0 | 30 | 350 | 150 | 1.13 | R | |
| 42 | 400 | S | 1145 | 616 | 0 | 0 | 30 | 350 | 150 | 0.97 | R | |
| 43 | 600 | S | 1145 | 616 | 0 | 0 | 30 | 350 | 150 | 0.53 | R | |
| 44 | 800 | S | 1145 | 616 | 0 | 0 | 30 | 350 | 150 | 0.24 | R | |
| 45 | 200 | S | 1135 | 626 | 0 | 0 | 30 | 273 | 195 | 0.98 | R | |
| 46 | 400 | S | 1135 | 626 | 0 | 0 | 30 | 273 | 195 | 0.85 | R | |
| 47 | 600 | S | 1135 | 626 | 0 | 0 | 30 | 273 | 195 | 0.51 | R | |
| 48 | 800 | S | 1135 | 626 | 0 | 0 | 30 | 273 | 195 | 0.21 | R | |
| 49 | 200 | S | 927 | 758 | 0 | 0 | 0 | 500 | 150 | 0.96 | R | |
| 50 | 400 | S | 927 | 758 | 0 | 0 | 0 | 500 | 150 | 0.89 | R | |
| 51 | 600 | S | 927 | 758 | 0 | 0 | 0 | 500 | 150 | 0.58 | R | |
| 52 | 800 | S | 927 | 758 | 0 | 0 | 0 | 500 | 150 | 0.24 | R | |
| 53 | 200 | S | 917 | 768 | 0 | 0 | 0 | 390 | 195 | 0.93 | R | |
| 54 | 400 | S | 917 | 768 | 0 | 0 | 0 | 390 | 195 | 0.74 | R | |
| 55 | 600 | S | 917 | 768 | 0 | 0 | 0 | 390 | 195 | 0.30 | R | |
| 56 | 800 | S | 917 | 768 | 0 | 0 | 0 | 390 | 195 | 0.10 | R | |
| 57 | [95] | 100 | S | 955 | 634 | 7 | 15 | 0 | 452 | 170 | 0.76 | TR |
| 58 | 200 | S | 955 | 634 | 7 | 15 | 0 | 452 | 170 | 0.99 | TR | |
| 59 | 300 | S | 955 | 634 | 7 | 15 | 0 | 452 | 170 | 1.00 | TR | |
| 60 | 400 | S | 955 | 634 | 7 | 15 | 0 | 452 | 170 | 0.91 | TR | |
| 61 | 500 | S | 955 | 634 | 7 | 15 | 0 | 452 | 170 | 0.72 | TR | |
| 62 | 600 | S | 955 | 634 | 7 | 15 | 0 | 452 | 170 | 0.58 | TR | |
| 63 | 700 | S | 955 | 634 | 7 | 15 | 0 | 452 | 170 | 0.47 | TR | |
| 64 | 100 | S | 972 | 537 | 7 | 15 | 0 | 515 | 165 | 0.80 | TR | |
| 65 | 200 | S | 972 | 537 | 7 | 15 | 0 | 515 | 165 | 0.93 | TR | |
| 66 | 300 | S | 972 | 537 | 7 | 15 | 0 | 515 | 165 | 0.89 | TR | |
| 67 | 400 | S | 972 | 537 | 7 | 15 | 0 | 515 | 165 | 0.74 | TR | |
| 68 | 500 | S | 972 | 537 | 7 | 15 | 0 | 515 | 165 | 0.63 | TR | |
| 69 | 600 | S | 972 | 537 | 7 | 15 | 0 | 515 | 165 | 0.59 | TR | |
| 70 | 700 | S | 972 | 537 | 7 | 15 | 0 | 515 | 165 | 0.52 | TR | |
| 71 | 100 | S | 919 | 793 | 0 | 10 | 0 | 344 | 176 | 0.78 | TR | |
| 72 | 200 | S | 919 | 793 | 0 | 10 | 0 | 344 | 176 | 1.10 | TR | |
| 73 | 300 | S | 919 | 793 | 0 | 10 | 0 | 344 | 176 | 1.10 | TR | |
| 74 | 400 | S | 919 | 793 | 0 | 10 | 0 | 344 | 176 | 0.98 | TR | |
| 75 | 500 | S | 919 | 793 | 0 | 10 | 0 | 344 | 176 | 0.75 | TR | |
| 76 | 600 | S | 919 | 793 | 0 | 10 | 0 | 344 | 176 | 0.60 | TR | |
| 77 | 700 | S | 919 | 793 | 0 | 10 | 0 | 344 | 176 | 0.44 | TR | |
| 78 | [6] | 100 | C | 1168 | 615 | 10 | 0 | 0 | 450 | 149 | 0.84 | R |
| 79 | 200 | C | 1168 | 615 | 10 | 0 | 0 | 450 | 149 | 0.86 | R | |
| 80 | 300 | C | 1168 | 615 | 10 | 0 | 0 | 450 | 149 | 0.69 | R | |
| 81 | 600 | C | 1168 | 615 | 10 | 0 | 0 | 450 | 149 | 0.27 | R | |
| 82 | 100 | C | 1115 | 653 | 6 | 0 | 0 | 441 | 164 | 0.85 | R | |
| 83 | 200 | C | 1115 | 653 | 6 | 0 | 0 | 441 | 164 | 0.88 | R | |
| 84 | 300 | C | 1115 | 653 | 6 | 0 | 0 | 441 | 164 | 0.76 | R | |
| 85 | 600 | C | 1115 | 653 | 6 | 0 | 0 | 441 | 164 | 0.29 | R | |
| 86 | 100 | C | 1168 | 615 | 6 | 0 | 0 | 465 | 149 | 0.85 | R | |
| 87 | 200 | C | 1168 | 615 | 6 | 0 | 0 | 465 | 149 | 0.86 | R | |
| 88 | 300 | C | 1168 | 615 | 6 | 0 | 0 | 465 | 149 | 0.71 | R | |
| 89 | 600 | C | 1168 | 615 | 6 | 0 | 0 | 465 | 149 | 0.29 | R | |
| 90 | 100 | C | 1030 | 687 | 0 | 0 | 0 | 430 | 172 | 0.87 | R | |
| 91 | 200 | C | 1030 | 687 | 0 | 0 | 0 | 430 | 172 | 0.90 | R | |
| 92 | 300 | C | 1030 | 687 | 0 | 0 | 0 | 430 | 172 | 0.75 | R | |
| 93 | 600 | C | 1030 | 687 | 0 | 0 | 0 | 430 | 172 | 0.33 | R | |
| 94 | 100 | C | 1168 | 615 | 0 | 0 | 0 | 495 | 149 | 0.85 | R | |
| 95 | 200 | C | 1168 | 615 | 0 | 0 | 0 | 495 | 149 | 0.89 | R | |
| 96 | 300 | C | 1168 | 615 | 0 | 0 | 0 | 495 | 149 | 0.73 | R | |
| 97 | 600 | C | 1168 | 615 | 0 | 0 | 0 | 495 | 149 | 0.31 | R | |
| 98 | [39] | 200 | S | 1143 | 615 | 0 | 60 | 0 | 180 | 135 | 1.09 | R |
| 99 | 400 | S | 1143 | 615 | 0 | 60 | 0 | 180 | 135 | 0.93 | R | |
| 100 | 600 | S | 1143 | 615 | 0 | 60 | 0 | 180 | 135 | 0.57 | R | |
| 101 | 200 | S | 1161 | 625 | 0 | 40 | 0 | 270 | 135 | 0.92 | R | |
| 102 | 400 | S | 1161 | 625 | 0 | 40 | 0 | 270 | 135 | 0.88 | R | |
| 103 | 600 | S | 1161 | 625 | 0 | 40 | 0 | 270 | 135 | 0.62 | R | |
| 104 | 800 | S | 1161 | 625 | 0 | 40 | 0 | 270 | 135 | 0.23 | R | |
| 105 | 200 | S | 1179 | 634 | 0 | 20 | 0 | 360 | 135 | 0.90 | R | |
| 106 | 400 | S | 1179 | 634 | 0 | 20 | 0 | 360 | 135 | 0.85 | R | |
| 107 | 600 | S | 1179 | 634 | 0 | 20 | 0 | 360 | 135 | 0.59 | R | |
| 108 | 800 | S | 1179 | 634 | 0 | 20 | 0 | 360 | 135 | 0.28 | R | |
| 109 | 200 | S | 1196 | 643 | 0 | 0 | 0 | 450 | 135 | 1.06 | R | |
| 110 | 400 | S | 1196 | 643 | 0 | 0 | 0 | 450 | 135 | 0.81 | R | |
| 111 | 600 | S | 1196 | 643 | 0 | 0 | 0 | 450 | 135 | 0.55 | R | |
| 112 | 800 | S | 1196 | 643 | 0 | 0 | 0 | 450 | 135 | 0.28 | R | |
| 113 | [46] | 250 | S | 1132 | 536 | 0 | 55 | 0 | 184.5 | 250 | 1.12 | R |
| 114 | 450 | S | 1132 | 536 | 0 | 55 | 0 | 184.5 | 250 | 0.97 | R | |
| 115 | 650 | S | 1132 | 536 | 0 | 55 | 0 | 184.5 | 250 | 0.63 | R | |
| 116 | 800 | S | 1132 | 536 | 0 | 55 | 0 | 184.5 | 250 | 0.26 | R | |
| 117 | 250 | S | 1086 | 634 | 0 | 55 | 0 | 225 | 150 | 1.23 | R | |
| 118 | 450 | S | 1086 | 634 | 0 | 55 | 0 | 225 | 150 | 0.99 | R | |
| 119 | 650 | S | 1086 | 634 | 0 | 55 | 0 | 225 | 150 | 0.65 | R | |
| 120 | 800 | S | 1086 | 634 | 0 | 55 | 0 | 225 | 150 | 0.27 | R | |
| 121 | 250 | S | 1132 | 576 | 0 | 25 | 0 | 410 | 205 | 1.15 | R | |
| 122 | 450 | S | 1132 | 576 | 0 | 25 | 0 | 307.5 | 205 | 0.86 | R | |
| 123 | 650 | S | 1132 | 576 | 0 | 25 | 0 | 307.5 | 205 | 0.51 | R | |
| 124 | 800 | S | 1132 | 576 | 0 | 25 | 0 | 307.5 | 205 | 0.27 | R | |
| 125 | 250 | S | 1086 | 683 | 0 | 25 | 0 | 375 | 150 | 1.14 | R | |
| 126 | 450 | S | 1086 | 683 | 0 | 25 | 0 | 375 | 150 | 0.86 | R | |
| 127 | 650 | S | 1086 | 683 | 0 | 25 | 0 | 375 | 150 | 0.56 | R | |
| 128 | 800 | S | 1086 | 683 | 0 | 25 | 0 | 375 | 150 | 0.30 | R | |
| 129 | 250 | S | 1132 | 609 | 0 | 0 | 0 | 410 | 205 | 1.10 | R | |
| 130 | 450 | S | 1132 | 609 | 0 | 0 | 0 | 410 | 205 | 0.86 | R | |
| 131 | 650 | S | 1132 | 609 | 0 | 0 | 0 | 410 | 205 | 0.52 | R | |
| 132 | 800 | S | 1132 | 609 | 0 | 0 | 0 | 410 | 205 | 0.24 | R | |
| 133 | 250 | S | 1086 | 724 | 0 | 0 | 0 | 500 | 150 | 1.09 | R | |
| 134 | 450 | S | 1086 | 724 | 0 | 0 | 0 | 500 | 150 | 0.83 | R | |
| 135 | 650 | S | 1086 | 724 | 0 | 0 | 0 | 500 | 150 | 0.52 | R | |
| 136 | 800 | S | 1086 | 724 | 0 | 0 | 0 | 500 | 150 | 0.21 | R | |
| 137 | [92] | 100 | LWA | 601 | 730 | 10 | 0 | 0 | 387 | 202 | 0.75 | R |
| 138 | 400 | LWA | 601 | 730 | 10 | 0 | 0 | 387 | 202 | 0.39 | R | |
| 139 | 800 | LWA | 601 | 730 | 10 | 0 | 0 | 387 | 202 | 0.16 | R | |
| 140 | 100 | LWA | 601 | 730 | 5 | 0 | 0 | 408.5 | 202 | 1.04 | R | |
| 141 | 400 | LWA | 601 | 730 | 5 | 0 | 0 | 408.5 | 202 | 0.90 | R | |
| 142 | 800 | LWA | 601 | 730 | 5 | 0 | 0 | 408.5 | 202 | 0.33 | R | |
| 143 | 100 | LWA | 602 | 729 | 0 | 0 | 0 | 430 | 199 | 0.99 | R | |
| 144 | 400 | LWA | 602 | 729 | 0 | 0 | 0 | 430 | 199 | 0.79 | R | |
| 145 | 800 | LWA | 602 | 729 | 0 | 0 | 0 | 430 | 199 | 0.28 | R | |
| 146 | [37] | 95 | C | 1050 | 699 | 0 | 0 | 0 | 354 | 195 | 0.94 | R |
| 147 | 205 | C | 1050 | 699 | 0 | 0 | 0 | 354 | 195 | 0.84 | R | |
| 148 | 315 | C | 1050 | 699 | 0 | 0 | 0 | 354 | 195 | 0.70 | R | |
| 149 | 425 | C | 1050 | 699 | 0 | 0 | 0 | 354 | 195 | 0.62 | R | |
| 150 | 535 | C | 1050 | 699 | 0 | 0 | 0 | 354 | 195 | 0.49 | R | |
| 151 | 650 | C | 1050 | 699 | 0 | 0 | 0 | 354 | 195 | 0.34 | R | |
| 152 | 95 | S | 1050 | 699 | 0 | 0 | 0 | 354 | 195 | 0.91 | R | |
| 153 | 205 | S | 1050 | 699 | 0 | 0 | 0 | 354 | 195 | 0.82 | R | |
| 154 | 315 | S | 1050 | 699 | 0 | 0 | 0 | 354 | 195 | 0.74 | R | |
| 155 | 425 | S | 1050 | 699 | 0 | 0 | 0 | 354 | 195 | 0.62 | R | |
| 156 | 535 | S | 1050 | 699 | 0 | 0 | 0 | 354 | 195 | 0.49 | R | |
| 157 | 650 | S | 1050 | 699 | 0 | 0 | 0 | 354 | 195 | 0.35 | R | |
| 158 | 95 | S | 1050 | 699 | 0 | 0 | 0 | 354 | 195 | 0.95 | R | |
| 159 | 205 | S | 1050 | 699 | 0 | 0 | 0 | 354 | 195 | 0.87 | R | |
| 160 | 315 | S | 1050 | 699 | 0 | 0 | 0 | 354 | 195 | 0.80 | R | |
| 161 | 425 | S | 1050 | 699 | 0 | 0 | 0 | 354 | 195 | 0.70 | R | |
| 162 | 535 | S | 1050 | 699 | 0 | 0 | 0 | 354 | 195 | 0.61 | R | |
| 163 | 650 | S | 1050 | 699 | 0 | 0 | 0 | 354 | 195 | 0.54 | R | |
| 164 | [42] | 100 | C | 1168 | 615 | 10 | 0 | 0 | 450 | 149 | 0.84 | R |
| 165 | 200 | C | 1168 | 615 | 10 | 0 | 0 | 450 | 149 | 0.85 | R | |
| 166 | 300 | C | 1168 | 615 | 10 | 0 | 0 | 450 | 149 | 0.68 | R | |
| 167 | 600 | C | 1168 | 615 | 10 | 0 | 0 | 450 | 149 | 0.27 | R | |
| 168 | 100 | C | 1115 | 653 | 6 | 0 | 0 | 441 | 164 | 0.85 | R | |
| 169 | 200 | C | 1115 | 653 | 6 | 0 | 0 | 441 | 164 | 0.88 | R | |
| 170 | 300 | C | 1115 | 653 | 6 | 0 | 0 | 441 | 164 | 0.77 | R | |
| 171 | 600 | C | 1115 | 653 | 6 | 0 | 0 | 441 | 164 | 0.29 | R | |
| 172 | 100 | C | 1168 | 615 | 0 | 0 | 0 | 500 | 149 | 0.86 | R | |
| 173 | 200 | C | 1168 | 615 | 0 | 0 | 0 | 500 | 149 | 0.88 | R | |
| 174 | 300 | C | 1168 | 615 | 0 | 0 | 0 | 500 | 149 | 0.73 | R | |
| 175 | 600 | C | 1168 | 615 | 0 | 0 | 0 | 500 | 149 | 0.31 | R | |
| 176 | 100 | C | 1030 | 687 | 0 | 0 | 0 | 430 | 172 | 0.85 | R | |
| 177 | 200 | C | 1030 | 687 | 0 | 0 | 0 | 430 | 172 | 0.88 | R | |
| 178 | 300 | C | 1030 | 687 | 0 | 0 | 0 | 430 | 172 | 0.74 | R | |
| 179 | 600 | C | 1030 | 687 | 0 | 0 | 0 | 430 | 172 | 0.33 | R | |
| 180 | [96] | 150 | LWA | 369 | 777 | 0 | 0 | 0 | 426 | 192 | 0.98 | R |
| 181 | 300 | LWA | 369 | 777 | 0 | 0 | 0 | 426 | 192 | 0.97 | R | |
| 182 | 450 | LWA | 369 | 777 | 0 | 0 | 0 | 426 | 192 | 0.73 | R | |
| 183 | 600 | LWA | 369 | 777 | 0 | 0 | 0 | 426 | 192 | 0.44 | R | |
| 184 | 150 | LWA | 585 | 777 | 0 | 0 | 0 | 426 | 192 | 0.96 | R | |
| 185 | 300 | LWA | 585 | 777 | 0 | 0 | 0 | 426 | 192 | 1.01 | R | |
| 186 | 450 | LWA | 585 | 777 | 0 | 0 | 0 | 426 | 192 | 0.72 | R | |
| 187 | 600 | LWA | 585 | 777 | 0 | 0 | 0 | 426 | 192 | 0.45 | R | |
| 188 | 150 | LWA | 547 | 777 | 0 | 0 | 0 | 426 | 192 | 0.91 | R | |
| 189 | 300 | LWA | 547 | 777 | 0 | 0 | 0 | 426 | 192 | 1.00 | R | |
| 190 | 450 | LWA | 547 | 777 | 0 | 0 | 0 | 426 | 192 | 0.82 | R | |
| 191 | 600 | LWA | 547 | 777 | 0 | 0 | 0 | 426 | 192 | 0.49 | R | |
| 192 | 150 | C | 1002 | 777 | 0 | 0 | 0 | 426 | 192 | 0.86 | R | |
| 193 | 300 | C | 1002 | 777 | 0 | 0 | 0 | 426 | 192 | 0.92 | R | |
| 194 | 450 | C | 1002 | 777 | 0 | 0 | 0 | 426 | 192 | 0.63 | R | |
| 195 | 600 | C | 1002 | 777 | 0 | 0 | 0 | 426 | 192 | 0.33 | R | |
| 196 | [45] | 100 | LWA | 676 | 687 | 0 | 0 | 0 | 432 | 155 | 0.76 | TR |
| 197 | 200 | LWA | 676 | 687 | 0 | 0 | 0 | 432 | 155 | 0.82 | TR | |
| 198 | 300 | LWA | 676 | 687 | 0 | 0 | 0 | 432 | 155 | 0.99 | TR | |
| 199 | 500 | LWA | 676 | 687 | 0 | 0 | 0 | 432 | 155 | 0.88 | TR | |
| 200 | 700 | LWA | 676 | 687 | 0 | 0 | 0 | 432 | 155 | 0.90 | TR | |
| 201 | 100 | LWA | 676 | 687 | 0 | 0 | 0 | 432 | 155 | 0.83 | TR | |
| 202 | 200 | LWA | 676 | 687 | 0 | 0 | 0 | 432 | 155 | 0.94 | TR | |
| 203 | 300 | LWA | 676 | 687 | 0 | 0 | 0 | 432 | 155 | 1.01 | TR | |
| 204 | 500 | LWA | 676 | 687 | 0 | 0 | 0 | 432 | 155 | 0.94 | TR | |
| 205 | 700 | LWA | 676 | 687 | 0 | 0 | 0 | 432 | 155 | 0.86 | TR | |
| 206 | 100 | LWA | 676 | 687 | 0 | 0 | 0 | 432 | 155 | 0.84 | SS | |
| 207 | 200 | LWA | 676 | 687 | 0 | 0 | 0 | 432 | 155 | 0.90 | SS | |
| 208 | 300 | LWA | 676 | 687 | 0 | 0 | 0 | 432 | 155 | 0.95 | SS | |
| 209 | 500 | LWA | 676 | 687 | 0 | 0 | 0 | 432 | 155 | 0.76 | SS | |
| 210 | 700 | LWA | 676 | 687 | 0 | 0 | 0 | 432 | 155 | 0.62 | SS | |
| 211 | 100 | S | 1071 | 692 | 0 | 0 | 0 | 470 | 165 | 0.66 | TR | |
| 212 | 200 | S | 1071 | 692 | 0 | 0 | 0 | 470 | 165 | 0.79 | TR | |
| 213 | 300 | S | 1071 | 692 | 0 | 0 | 0 | 470 | 165 | 0.96 | TR | |
| 214 | 500 | S | 1071 | 692 | 0 | 0 | 0 | 470 | 165 | 0.72 | TR | |
| 215 | 700 | S | 1071 | 692 | 0 | 0 | 0 | 470 | 165 | 0.11 | TR | |
| 216 | 100 | S | 1071 | 692 | 0 | 0 | 0 | 470 | 165 | 0.69 | TR | |
| 217 | 200 | S | 1071 | 692 | 0 | 0 | 0 | 470 | 165 | 0.72 | TR | |
| 218 | 300 | S | 1071 | 692 | 0 | 0 | 0 | 470 | 165 | 0.93 | TR | |
| 219 | 500 | S | 1071 | 692 | 0 | 0 | 0 | 470 | 165 | 0.68 | TR | |
| 220 | 700 | S | 1071 | 692 | 0 | 0 | 0 | 470 | 165 | 0.38 | TR | |
| 221 | 300 | S | 1071 | 692 | 0 | 0 | 0 | 470 | 165 | 0.88 | SS | |
| 222 | 500 | S | 1071 | 692 | 0 | 0 | 0 | 470 | 165 | 0.59 | SS | |
| 223 | 700 | S | 1071 | 692 | 0 | 0 | 0 | 470 | 165 | 0.27 | SS | |
| 224 | [41] | 204 | C | 1085 | 855 | 0 | 0 | 0 | 237 | 130 | 0.88 | SS |
| 225 | 482 | C | 1085 | 855 | 0 | 0 | 0 | 237 | 130 | 0.79 | SS | |
| 226 | 704 | C | 1085 | 855 | 0 | 0 | 0 | 237 | 130 | 0.63 | SS | |
| 227 | 871 | C | 1085 | 855 | 0 | 0 | 0 | 237 | 130 | 0.08 | SS | |
| 228 | 204 | C | 1085 | 855 | 0 | 0 | 0 | 237 | 130 | 0.98 | TR | |
| 229 | 482 | C | 1085 | 855 | 0 | 0 | 0 | 237 | 130 | 0.99 | TR | |
| 230 | 704 | C | 1085 | 855 | 0 | 0 | 0 | 237 | 130 | 0.88 | TR | |
| 231 | 204 | C | 1085 | 855 | 0 | 0 | 0 | 237 | 130 | 0.79 | R | |
| 232 | 482 | C | 1085 | 855 | 0 | 0 | 0 | 237 | 130 | 0.49 | R | |
| 233 | 704 | C | 1085 | 855 | 0 | 0 | 0 | 237 | 130 | 0.35 | R | |
| 234 | 760 | C | 1085 | 855 | 0 | 0 | 0 | 237 | 130 | 0.32 | R | |
| 235 | 204 | C | 955 | 870 | 0 | 0 | 0 | 317 | 134 | 0.86 | SS | |
| 236 | 482 | C | 955 | 870 | 0 | 0 | 0 | 317 | 134 | 0.78 | SS | |
| 237 | 704 | C | 955 | 870 | 0 | 0 | 0 | 317 | 134 | 0.78 | SS | |
| 238 | 871 | C | 955 | 870 | 0 | 0 | 0 | 317 | 134 | 0.14 | SS | |
| 239 | 204 | C | 955 | 870 | 0 | 0 | 0 | 317 | 134 | 0.98 | TR | |
| 240 | 482 | C | 955 | 870 | 0 | 0 | 0 | 317 | 134 | 0.96 | TR | |
| 241 | 704 | C | 955 | 870 | 0 | 0 | 0 | 317 | 134 | 0.96 | TR | |
| 242 | 204 | C | 955 | 870 | 0 | 0 | 0 | 317 | 134 | 0.79 | R | |
| 243 | 482 | C | 955 | 870 | 0 | 0 | 0 | 317 | 134 | 0.49 | R | |
| 244 | 704 | C | 955 | 870 | 0 | 0 | 0 | 317 | 134 | 0.35 | R | |
| 245 | 760 | C | 955 | 870 | 0 | 0 | 0 | 317 | 134 | 0.32 | R | |
| 246 | 204 | S | 1080 | 855 | 0 | 0 | 0 | 249 | 127 | 0.91 | SS | |
| 247 | 482 | S | 1080 | 855 | 0 | 0 | 0 | 249 | 127 | 0.73 | SS | |
| 248 | 704 | S | 1080 | 855 | 0 | 0 | 0 | 249 | 127 | 0.25 | SS | |
| 249 | 871 | S | 1080 | 855 | 0 | 0 | 0 | 249 | 127 | 0.22 | SS | |
| 250 | 204 | S | 1080 | 855 | 0 | 0 | 0 | 249 | 127 | 1.05 | TR | |
| 251 | 482 | S | 1080 | 855 | 0 | 0 | 0 | 249 | 127 | 0.93 | TR | |
| 252 | 649 | S | 1080 | 855 | 0 | 0 | 0 | 249 | 127 | 0.57 | TR | |
| 253 | 204 | S | 1080 | 855 | 0 | 0 | 0 | 249 | 127 | 0.86 | R | |
| 254 | 482 | S | 1080 | 855 | 0 | 0 | 0 | 249 | 127 | 0.58 | R | |
| 255 | 704 | S | 1080 | 855 | 0 | 0 | 0 | 249 | 127 | 0.15 | R | |
| 256 | 204 | S | 1000 | 880 | 0 | 0 | 0 | 330 | 132 | 0.90 | SS | |
| 257 | 482 | S | 1000 | 880 | 0 | 0 | 0 | 330 | 132 | 0.73 | SS | |
| 258 | 704 | S | 1000 | 880 | 0 | 0 | 0 | 330 | 132 | 0.26 | SS | |
| 259 | 871 | S | 1000 | 880 | 0 | 0 | 0 | 330 | 132 | 0.13 | SS | |
| 260 | 204 | S | 1000 | 880 | 0 | 0 | 0 | 330 | 132 | 0.99 | TR | |
| 261 | 482 | S | 1000 | 880 | 0 | 0 | 0 | 330 | 132 | 0.71 | TR | |
| 262 | 649 | S | 1000 | 880 | 0 | 0 | 0 | 330 | 132 | 0.41 | TR | |
| 263 | 204 | S | 1000 | 880 | 0 | 0 | 0 | 330 | 132 | 0.89 | R | |
| 264 | 482 | S | 1000 | 880 | 0 | 0 | 0 | 330 | 132 | 0.57 | R | |
| 265 | 649 | S | 1000 | 880 | 0 | 0 | 0 | 330 | 132 | 0.17 | R | |
| 266 | 204 | LWA | 493 | 762 | 0 | 0 | 0 | 264 | 206 | 0.95 | SS | |
| 267 | 482 | LWA | 493 | 762 | 0 | 0 | 0 | 264 | 206 | 0.83 | SS | |
| 268 | 704 | LWA | 493 | 762 | 0 | 0 | 0 | 264 | 206 | 0.69 | SS | |
| 269 | 871 | LWA | 493 | 762 | 0 | 0 | 0 | 264 | 206 | 0.23 | SS | |
| 270 | 204 | LWA | 493 | 762 | 0 | 0 | 0 | 264 | 206 | 0.94 | TR | |
| 271 | 482 | LWA | 493 | 762 | 0 | 0 | 0 | 264 | 206 | 0.85 | TR | |
| 272 | 704 | LWA | 493 | 762 | 0 | 0 | 0 | 264 | 206 | 0.70 | TR | |
| 273 | 204 | LWA | 493 | 762 | 0 | 0 | 0 | 264 | 206 | 0.88 | R | |
| 274 | 482 | LWA | 493 | 762 | 0 | 0 | 0 | 264 | 206 | 0.63 | R | |
| 275 | 704 | LWA | 493 | 762 | 0 | 0 | 0 | 264 | 206 | 0.44 | R | |
| 276 | 871 | LWA | 493 | 762 | 0 | 0 | 0 | 264 | 206 | 0.12 | R | |
| 277 | 204 | LWA | 482 | 678 | 0 | 0 | 0 | 350 | 206 | 0.95 | SS | |
| 278 | 482 | LWA | 482 | 678 | 0 | 0 | 0 | 350 | 206 | 0.83 | SS | |
| 279 | 704 | LWA | 482 | 678 | 0 | 0 | 0 | 350 | 206 | 0.69 | SS | |
| 280 | 871 | LWA | 482 | 678 | 0 | 0 | 0 | 350 | 206 | 0.23 | SS | |
| 281 | 204 | LWA | 482 | 678 | 0 | 0 | 0 | 350 | 206 | 0.94 | TR | |
| 282 | 482 | LWA | 482 | 678 | 0 | 0 | 0 | 350 | 206 | 0.85 | TR | |
| 283 | 704 | LWA | 482 | 678 | 0 | 0 | 0 | 350 | 206 | 0.70 | TR | |
| 284 | 204 | LWA | 482 | 678 | 0 | 0 | 0 | 350 | 206 | 0.91 | R | |
| 285 | 482 | LWA | 482 | 678 | 0 | 0 | 0 | 350 | 206 | 0.54 | R | |
| 286 | 704 | LWA | 482 | 678 | 0 | 0 | 0 | 350 | 206 | 0.39 | R | |
| 287 | 871 | LWA | 482 | 678 | 0 | 0 | 0 | 350 | 206 | 0.16 | R | |
| 288 | [43] | 100 | C | 1095.3 | 794.7 | 0 | 30 | 0 | 210 | 180 | 0.95 | R |
| 289 | 300 | C | 1095.3 | 794.7 | 0 | 30 | 0 | 210 | 180 | 0.92 | R | |
| 290 | 600 | C | 1095.3 | 794.7 | 0 | 30 | 0 | 210 | 180 | 0.41 | R | |
| 291 | 750 | C | 1095.3 | 794.7 | 0 | 30 | 0 | 210 | 180 | 0.19 | R | |
| 292 | 100 | S | 1040.4 | 807.6 | 0 | 30 | 0 | 210 | 180 | 1.19 | R | |
| 293 | 300 | S | 1040.4 | 807.6 | 0 | 30 | 0 | 210 | 180 | 1.32 | R | |
| 294 | 600 | S | 1040.4 | 807.6 | 0 | 30 | 0 | 210 | 180 | 0.49 | R | |
| 295 | 750 | S | 1040.4 | 807.6 | 0 | 30 | 0 | 210 | 180 | 0.22 | R | |
| 296 | 100 | C | 1095.3 | 794.7 | 0 | 30 | 0 | 210 | 180 | 1.05 | R | |
| 297 | 300 | C | 1095.3 | 794.7 | 0 | 30 | 0 | 210 | 180 | 1.06 | R | |
| 298 | 600 | C | 1095.3 | 794.7 | 0 | 30 | 0 | 210 | 180 | 0.40 | R | |
| 299 | 750 | C | 1095.3 | 794.7 | 0 | 30 | 0 | 210 | 180 | 0.07 | R | |
| 300 | 100 | S | 1040.4 | 807.6 | 0 | 30 | 0 | 210 | 180 | 0.97 | R | |
| 301 | 300 | S | 1040.4 | 807.6 | 0 | 30 | 0 | 210 | 180 | 1.16 | R | |
| 302 | 600 | S | 1040.4 | 807.6 | 0 | 30 | 0 | 210 | 180 | 0.32 | R | |
| 303 | 750 | S | 1040.4 | 807.6 | 0 | 30 | 0 | 210 | 180 | 0.12 | R | |
| 304 | 100 | C | 1095.3 | 794.7 | 0 | 30 | 0 | 210 | 180 | 1.03 | R | |
| 305 | 300 | C | 1095.3 | 794.7 | 0 | 30 | 0 | 210 | 180 | 1.11 | R | |
| 306 | 600 | C | 1095.3 | 794.7 | 0 | 30 | 0 | 210 | 180 | 0.34 | R | |
| 307 | 750 | C | 1095.3 | 794.7 | 0 | 30 | 0 | 210 | 180 | 0.24 | R | |
| 308 | 100 | S | 1040.4 | 807.6 | 0 | 30 | 0 | 210 | 180 | 1.24 | R | |
| 309 | 300 | S | 1040.4 | 807.6 | 0 | 30 | 0 | 210 | 180 | 1.24 | R | |
| 310 | 600 | S | 1040.4 | 807.6 | 0 | 30 | 0 | 210 | 180 | 0.47 | R | |
| 311 | 750 | S | 1040.4 | 807.6 | 0 | 30 | 0 | 210 | 180 | 0.25 | R | |
| 312 | 100 | C | 1095.3 | 794.7 | 0 | 10 | 0 | 270 | 180 | 0.91 | R | |
| 313 | 300 | C | 1095.3 | 794.7 | 0 | 10 | 0 | 270 | 180 | 0.92 | R | |
| 314 | 600 | C | 1095.3 | 794.7 | 0 | 10 | 0 | 270 | 180 | 0.50 | R | |
| 315 | 750 | C | 1095.3 | 794.7 | 0 | 10 | 0 | 270 | 180 | 0.23 | R | |
| 316 | 100 | S | 1040.4 | 807.6 | 0 | 10 | 0 | 270 | 180 | 0.95 | R | |
| 317 | 300 | S | 1040.4 | 807.6 | 0 | 10 | 0 | 270 | 180 | 1.06 | R | |
| 318 | 600 | S | 1040.4 | 807.6 | 0 | 10 | 0 | 270 | 180 | 0.50 | R | |
| 319 | 750 | S | 1040.4 | 807.6 | 0 | 10 | 0 | 270 | 180 | 0.25 | R | |
| 320 | 100 | C | 1095.3 | 794.7 | 0 | 10 | 0 | 270 | 180 | 1.06 | R | |
| 321 | 300 | C | 1095.3 | 794.7 | 0 | 10 | 0 | 270 | 180 | 1.14 | R | |
| 322 | 600 | C | 1095.3 | 794.7 | 0 | 10 | 0 | 270 | 180 | 0.44 | R | |
| 323 | 750 | C | 1095.3 | 794.7 | 0 | 10 | 0 | 270 | 180 | 0.13 | R | |
| 324 | 100 | S | 1040.4 | 807.6 | 0 | 10 | 0 | 270 | 180 | 1.13 | R | |
| 325 | 300 | S | 1040.4 | 807.6 | 0 | 10 | 0 | 270 | 180 | 1.32 | R | |
| 326 | 600 | S | 1040.4 | 807.6 | 0 | 10 | 0 | 270 | 180 | 0.40 | R | |
| 327 | 750 | S | 1040.4 | 807.6 | 0 | 10 | 0 | 270 | 180 | 0.15 | R | |
| 328 | 100 | C | 1095.3 | 794.7 | 0 | 10 | 0 | 270 | 180 | 1.08 | R | |
| 329 | 300 | C | 1095.3 | 794.7 | 0 | 10 | 0 | 270 | 180 | 1.11 | R | |
| 330 | 600 | C | 1095.3 | 794.7 | 0 | 10 | 0 | 270 | 180 | 0.42 | R | |
| 331 | 750 | C | 1095.3 | 794.7 | 0 | 10 | 0 | 270 | 180 | 0.15 | R | |
| 332 | 100 | S | 1040.4 | 807.6 | 0 | 10 | 0 | 270 | 180 | 1.13 | R | |
| 333 | 300 | S | 1040.4 | 807.6 | 0 | 10 | 0 | 270 | 180 | 1.37 | R | |
| 334 | 600 | S | 1040.4 | 807.6 | 0 | 10 | 0 | 270 | 180 | 0.45 | R | |
| 335 | 750 | S | 1040.4 | 807.6 | 0 | 10 | 0 | 270 | 180 | 0.70 | R | |
| 336 | 100 | C | 1095.3 | 794.7 | 0 | 0 | 0 | 300 | 180 | 0.99 | R | |
| 337 | 300 | C | 1095.3 | 794.7 | 0 | 0 | 0 | 300 | 180 | 0.93 | R | |
| 338 | 600 | C | 1095.3 | 794.7 | 0 | 0 | 0 | 300 | 180 | 0.52 | R | |
| 339 | 750 | C | 1095.3 | 794.7 | 0 | 0 | 0 | 300 | 180 | 0.23 | R | |
| 340 | 100 | S | 1040.4 | 807.6 | 0 | 0 | 0 | 300 | 180 | 0.89 | R | |
| 341 | 300 | S | 1040.4 | 807.6 | 0 | 0 | 0 | 300 | 180 | 1.05 | R | |
| 342 | 600 | S | 1040.4 | 807.6 | 0 | 0 | 0 | 300 | 180 | 0.48 | R | |
| 343 | 750 | S | 1040.4 | 807.6 | 0 | 0 | 0 | 300 | 180 | 0.25 | R | |
| 344 | [44] | 200 | C | 1200 | 600 | 0 | 0 | 0 | 400 | 200 | 0.94 | R |
| 345 | 400 | C | 1200 | 600 | 0 | 0 | 0 | 400 | 200 | 0.84 | R | |
| 346 | 600 | C | 1200 | 600 | 0 | 0 | 0 | 400 | 200 | 0.56 | R | |
| 347 | 200 | S | 1200 | 600 | 0 | 0 | 0 | 400 | 200 | 0.96 | R | |
| 348 | 400 | S | 1200 | 600 | 0 | 0 | 0 | 400 | 200 | 0.83 | R | |
| 349 | 600 | S | 1200 | 600 | 0 | 0 | 0 | 400 | 200 | 0.61 | R | |
| 350 | 200 | S | 1200 | 600 | 0 | 0 | 0 | 400 | 200 | 0.89 | R | |
| 351 | 400 | S | 1200 | 600 | 0 | 0 | 0 | 400 | 200 | 0.81 | R | |
| 352 | 600 | S | 1200 | 600 | 0 | 0 | 0 | 400 | 200 | 0.63 | R | |
| 353 | [40] | 100 | C | 845.8 | 733.6 | 10 | 0 | 0 | 595.5 | 133 | 0.82 | R |
| 354 | 100 | C | 845.8 | 733.6 | 10 | 0 | 0 | 595.5 | 133 | 0.87 | R | |
| 355 | 100 | C | 845.8 | 733.6 | 10 | 0 | 0 | 595.5 | 133 | 0.93 | R | |
| 356 | 200 | C | 845.8 | 733.6 | 10 | 0 | 0 | 595.5 | 133 | 1.00 | R | |
| 357 | 200 | C | 845.8 | 733.6 | 10 | 0 | 0 | 595.5 | 133 | 0.95 | R | |
| 358 | 200 | C | 845.8 | 733.6 | 10 | 0 | 0 | 595.5 | 133 | 0.94 | R | |
| 359 | 300 | C | 845.8 | 733.6 | 10 | 0 | 0 | 595.5 | 133 | 0.90 | R | |
| 360 | 300 | C | 845.8 | 733.6 | 10 | 0 | 0 | 595.5 | 133 | 0.83 | R | |
| 361 | 300 | C | 845.8 | 733.6 | 10 | 0 | 0 | 595.5 | 133 | 0.89 | R | |
| 362 | 100 | C | 845.8 | 733.6 | 10 | 0 | 0 | 595.9 | 198.6 | 0.89 | R | |
| 363 | 100 | C | 845.8 | 733.6 | 10 | 0 | 0 | 595.9 | 198.6 | 0.90 | R | |
| 364 | 100 | C | 845.8 | 733.6 | 10 | 0 | 0 | 595.9 | 198.6 | 0.82 | R | |
| 365 | 200 | C | 845.8 | 733.6 | 10 | 0 | 0 | 595.9 | 198.6 | 0.77 | R | |
| 366 | 200 | C | 845.8 | 733.6 | 10 | 0 | 0 | 595.9 | 198.6 | 0.79 | R | |
| 367 | 200 | C | 845.8 | 733.6 | 10 | 0 | 0 | 595.9 | 198.6 | 0.81 | R | |
| 368 | 300 | C | 845.8 | 733.6 | 10 | 0 | 0 | 595.9 | 198.6 | 0.67 | R | |
| 369 | 100 | C | 846 | 734 | 10 | 0 | 0 | 596 | 133 | 0.77 | TR | |
| 370 | 100 | C | 846 | 734 | 10 | 0 | 0 | 596 | 133 | 0.76 | TR | |
| 371 | 100 | C | 846 | 734 | 10 | 0 | 0 | 596 | 133 | 0.85 | TR | |
| 372 | 100 | C | 846 | 734 | 10 | 0 | 0 | 596 | 133 | 0.81 | TR | |
| 373 | 100 | C | 846 | 734 | 10 | 0 | 0 | 596 | 133 | 0.73 | TR | |
| 374 | 200 | C | 846 | 734 | 10 | 0 | 0 | 596 | 133 | 0.77 | TR | |
| 375 | 200 | C | 846 | 734 | 10 | 0 | 0 | 596 | 133 | 0.82 | TR | |
| 376 | 200 | C | 846 | 734 | 10 | 0 | 0 | 596 | 133 | 0.74 | TR | |
| 377 | 300 | C | 846 | 734 | 10 | 0 | 0 | 596 | 133 | 0.79 | TR | |
| 378 | 300 | C | 846 | 734 | 10 | 0 | 0 | 596 | 133 | 0.79 | TR | |
| 379 | 300 | C | 846 | 734 | 10 | 0 | 0 | 596 | 133 | 0.88 | TR | |
| 380 | 450 | C | 846 | 734 | 10 | 0 | 0 | 596 | 133 | 0.81 | TR | |
| 381 | 450 | C | 846 | 734 | 10 | 0 | 0 | 596 | 133 | 0.76 | TR | |
| 382 | 450 | C | 846 | 734 | 10 | 0 | 0 | 596 | 133 | 0.82 | TR | |
| 383 | 600 | C | 846 | 734 | 10 | 0 | 0 | 596 | 133 | 0.73 | TR | |
| 384 | 600 | C | 846 | 734 | 10 | 0 | 0 | 596 | 133 | 0.67 | TR | |
| 385 | 600 | C | 846 | 734 | 10 | 0 | 0 | 596 | 133 | 0.59 | TR | |
| 386 | 100 | C | 846 | 734 | 10 | 0 | 0 | 596 | 199 | 0.69 | TR | |
| 387 | 100 | C | 846 | 734 | 10 | 0 | 0 | 596 | 199 | 0.60 | TR | |
| 388 | 100 | C | 846 | 734 | 10 | 0 | 0 | 596 | 199 | 0.72 | TR | |
| 389 | 200 | C | 846 | 734 | 10 | 0 | 0 | 596 | 199 | 0.75 | TR | |
| 390 | 200 | C | 846 | 734 | 10 | 0 | 0 | 596 | 199 | 0.74 | TR | |
| 391 | 200 | C | 846 | 734 | 10 | 0 | 0 | 596 | 199 | 0.73 | TR | |
| 392 | 300 | C | 846 | 734 | 10 | 0 | 0 | 596 | 199 | 0.78 | TR | |
| 393 | 300 | C | 846 | 734 | 10 | 0 | 0 | 596 | 199 | 0.71 | TR | |
| 394 | 300 | C | 846 | 734 | 10 | 0 | 0 | 596 | 199 | 0.81 | TR | |
| 395 | 450 | C | 846 | 734 | 10 | 0 | 0 | 596 | 199 | 0.70 | TR | |
| 396 | 450 | C | 846 | 734 | 10 | 0 | 0 | 596 | 199 | 0.77 | TR | |
| 397 | 100 | C | 846 | 734 | 10 | 0 | 0 | 596 | 133 | 0.71 | SS | |
| 398 | 100 | C | 846 | 734 | 10 | 0 | 0 | 596 | 133 | 0.63 | SS | |
| 399 | 100 | C | 846 | 734 | 10 | 0 | 0 | 596 | 133 | 0.71 | SS | |
| 400 | 200 | C | 846 | 734 | 10 | 0 | 0 | 596 | 133 | 0.81 | SS | |
| 401 | 200 | C | 846 | 734 | 10 | 0 | 0 | 596 | 133 | 0.63 | SS | |
| 402 | 200 | C | 846 | 734 | 10 | 0 | 0 | 596 | 133 | 0.78 | SS | |
| 403 | 300 | C | 846 | 734 | 10 | 0 | 0 | 596 | 133 | 0.71 | SS | |
| 404 | 300 | C | 846 | 734 | 10 | 0 | 0 | 596 | 133 | 0.95 | SS | |
| 405 | 300 | C | 846 | 734 | 10 | 0 | 0 | 596 | 133 | 0.70 | SS | |
| 406 | 300 | C | 846 | 734 | 10 | 0 | 0 | 596 | 133 | 0.80 | SS | |
| 407 | 100 | C | 846 | 734 | 10 | 0 | 0 | 596 | 199 | 0.66 | SS | |
| 408 | 100 | C | 846 | 734 | 10 | 0 | 0 | 596 | 199 | 0.64 | SS | |
| 409 | [40] | 100 | C | 846 | 734 | 10 | 0 | 0 | 596 | 199 | 0.62 | SS |
| 410 | 200 | C | 846 | 734 | 10 | 0 | 0 | 596 | 199 | 0.69 | SS | |
| 411 | 200 | C | 846 | 734 | 10 | 0 | 0 | 596 | 199 | 0.71 | SS | |
| 412 | 200 | C | 846 | 734 | 10 | 0 | 0 | 596 | 199 | 0.68 | SS | |
| 413 | 300 | C | 846 | 734 | 10 | 0 | 0 | 596 | 199 | 0.82 | SS | |
| 414 | 300 | C | 846 | 734 | 10 | 0 | 0 | 596 | 199 | 0.63 | SS | |
| 415 | 300 | C | 846 | 734 | 10 | 0 | 0 | 596 | 199 | 0.78 | SS | |
| 416 | 450 | C | 846 | 734 | 10 | 0 | 0 | 596 | 199 | 0.64 | SS | |
| 417 | 450 | C | 846 | 734 | 10 | 0 | 0 | 596 | 199 | 0.72 | SS | |
| 418 | 300 | C | 845.8 | 733.6 | 0 | 0 | 0 | 661.6 | 198.6 | 0.64 | R | |
| 419 | 300 | C | 845.8 | 733.6 | 0 | 0 | 0 | 661.6 | 198.6 | 0.70 | R | |
| 420 | 450 | C | 845.8 | 733.6 | 0 | 0 | 0 | 661.6 | 198.6 | 0.47 | R | |
| 421 | 450 | C | 845.8 | 733.6 | 0 | 0 | 0 | 661.6 | 198.6 | 0.50 | R | |
| 422 | 450 | C | 845.8 | 733.6 | 0 | 0 | 0 | 661.6 | 198.6 | 0.47 | R | |
| 423 | 100 | C | 845.8 | 733.6 | 0 | 0 | 0 | 661.6 | 198.6 | 0.77 | R | |
| 424 | 100 | C | 845.8 | 733.6 | 0 | 0 | 0 | 661.6 | 198.6 | 0.74 | R | |
| 425 | 100 | C | 845.8 | 733.6 | 0 | 0 | 0 | 661.6 | 198.6 | 0.78 | R | |
| 426 | 200 | C | 845.8 | 733.6 | 0 | 0 | 0 | 661.6 | 198.6 | 0.79 | R | |
| 427 | 200 | C | 845.8 | 733.6 | 0 | 0 | 0 | 661.6 | 198.6 | 0.70 | R | |
| 428 | 200 | C | 845.8 | 733.6 | 0 | 0 | 0 | 661.6 | 198.6 | 0.75 | R | |
| 429 | 300 | C | 845.8 | 733.6 | 0 | 0 | 0 | 661.6 | 198.6 | 0.74 | R | |
| 430 | 300 | C | 853.8 | 868.2 | 0 | 0 | 0 | 376.4 | 213 | 0.76 | R | |
| 431 | 300 | C | 853.8 | 868.2 | 0 | 0 | 0 | 376.4 | 213 | 0.71 | R | |
| 432 | 450 | C | 853.8 | 868.2 | 0 | 0 | 0 | 376.4 | 213 | 0.55 | R | |
| 433 | 450 | C | 853.8 | 868.2 | 0 | 0 | 0 | 376.4 | 213 | 0.49 | R | |
| 434 | 450 | C | 853.8 | 868.2 | 0 | 0 | 0 | 376.4 | 213 | 0.51 | R | |
| 435 | 100 | C | 853.8 | 868.2 | 0 | 0 | 0 | 376.4 | 213 | 0.70 | R | |
| 436 | 100 | C | 853.8 | 868.2 | 0 | 0 | 0 | 376.4 | 213 | 0.69 | R | |
| 437 | 100 | C | 853.8 | 868.2 | 0 | 0 | 0 | 376.4 | 213 | 0.72 | R | |
| 438 | 200 | C | 853.8 | 868.2 | 0 | 0 | 0 | 376.4 | 213 | 0.77 | R | |
| 439 | 200 | C | 853.8 | 868.2 | 0 | 0 | 0 | 376.4 | 213 | 0.72 | R | |
| 440 | 200 | C | 853.8 | 868.2 | 0 | 0 | 0 | 376.4 | 213 | 0.72 | R | |
| 441 | 300 | C | 853.8 | 868.2 | 0 | 0 | 0 | 376.4 | 213 | 0.69 | R | |
| 442 | 300 | C | 853.8 | 868.2 | 0 | 0 | 0 | 376.4 | 213 | 0.66 | R | |
| 443 | 300 | C | 853.8 | 868.2 | 0 | 0 | 0 | 376.4 | 213 | 0.65 | R | |
| 444 | 450 | C | 853.8 | 868.2 | 0 | 0 | 0 | 376.4 | 213 | 0.53 | R | |
| 445 | 450 | C | 853.8 | 868.2 | 0 | 0 | 0 | 376.4 | 213 | 0.50 | R | |
| 446 | 450 | C | 853.8 | 868.2 | 0 | 0 | 0 | 376.4 | 213 | 0.48 | R | |
| 447 | 100 | C | 846 | 734 | 0 | 0 | 0 | 662 | 194 | 0.70 | TR | |
| 448 | 100 | C | 846 | 734 | 0 | 0 | 0 | 662 | 194 | 0.67 | TR | |
| 449 | 100 | C | 846 | 734 | 0 | 0 | 0 | 662 | 194 | 0.67 | TR | |
| 450 | 200 | C | 846 | 734 | 0 | 0 | 0 | 662 | 194 | 0.71 | TR | |
| 451 | 200 | C | 846 | 734 | 0 | 0 | 0 | 662 | 194 | 0.71 | TR | |
| 452 | 200 | C | 846 | 734 | 0 | 0 | 0 | 662 | 194 | 0.78 | TR | |
| 453 | 300 | C | 846 | 734 | 0 | 0 | 0 | 662 | 194 | 0.72 | TR | |
| 454 | 300 | C | 846 | 734 | 0 | 0 | 0 | 662 | 194 | 0.76 | TR | |
| 455 | 300 | C | 846 | 734 | 0 | 0 | 0 | 662 | 194 | 0.79 | TR | |
| 456 | 450 | C | 846 | 734 | 0 | 0 | 0 | 662 | 194 | 0.71 | TR | |
| 457 | 450 | C | 846 | 734 | 0 | 0 | 0 | 662 | 194 | 0.85 | TR | |
| 458 | 450 | C | 846 | 734 | 0 | 0 | 0 | 662 | 194 | 0.71 | TR | |
| 459 | 100 | C | 854 | 868 | 0 | 0 | 0 | 376 | 213 | 0.74 | TR | |
| 460 | 100 | C | 854 | 868 | 0 | 0 | 0 | 376 | 213 | 0.72 | TR | |
| 461 | 100 | C | 854 | 868 | 0 | 0 | 0 | 376 | 213 | 0.72 | TR | |
| 462 | 200 | C | 854 | 868 | 0 | 0 | 0 | 376 | 213 | 0.77 | TR | |
| 463 | 200 | C | 854 | 868 | 0 | 0 | 0 | 376 | 213 | 0.81 | TR | |
| 464 | 200 | C | 854 | 868 | 0 | 0 | 0 | 376 | 213 | 0.76 | TR | |
| 465 | 300 | C | 854 | 868 | 0 | 0 | 0 | 376 | 213 | 0.77 | TR | |
| 466 | 300 | C | 854 | 868 | 0 | 0 | 0 | 376 | 213 | 0.89 | TR | |
| 467 | 300 | C | 854 | 868 | 0 | 0 | 0 | 376 | 213 | 0.79 | TR | |
| 468 | [40] | 450 | C | 854 | 868 | 0 | 0 | 0 | 376 | 213 | 0.85 | TR |
| 469 | 450 | C | 854 | 868 | 0 | 0 | 0 | 376 | 213 | 0.75 | TR | |
| 470 | 450 | C | 854 | 868 | 0 | 0 | 0 | 376 | 213 | 0.72 | TR | |
| 471 | 600 | C | 854 | 868 | 0 | 0 | 0 | 376 | 213 | 0.46 | TR | |
| 472 | 600 | C | 854 | 868 | 0 | 0 | 0 | 376 | 213 | 0.44 | TR | |
| 473 | 600 | C | 854 | 868 | 0 | 0 | 0 | 376 | 213 | 0.45 | TR | |
| 474 | 450 | C | 846 | 734 | 0 | 0 | 0 | 662 | 194 | 0.58 | SS | |
| 475 | 100 | C | 846 | 734 | 0 | 0 | 0 | 662 | 194 | 0.67 | SS | |
| 476 | 100 | C | 846 | 734 | 0 | 0 | 0 | 662 | 194 | 0.69 | SS | |
| 477 | 100 | C | 846 | 734 | 0 | 0 | 0 | 662 | 194 | 0.71 | SS | |
| 478 | 200 | C | 846 | 734 | 0 | 0 | 0 | 662 | 194 | 0.67 | SS | |
| 479 | 200 | C | 846 | 734 | 0 | 0 | 0 | 662 | 194 | 0.79 | SS | |
| 480 | 200 | C | 846 | 734 | 0 | 0 | 0 | 662 | 194 | 0.65 | SS | |
| 481 | 300 | C | 846 | 734 | 0 | 0 | 0 | 662 | 194 | 0.92 | SS | |
| 482 | 300 | C | 846 | 734 | 0 | 0 | 0 | 662 | 194 | 0.88 | SS | |
| 483 | 300 | C | 854 | 868 | 0 | 0 | 0 | 376 | 213 | 0.70 | SS | |
| 484 | 450 | C | 854 | 868 | 0 | 0 | 0 | 376 | 213 | 0.69 | SS | |
| 485 | 450 | C | 854 | 868 | 0 | 0 | 0 | 376 | 213 | 0.82 | SS | |
| 486 | 450 | C | 854 | 868 | 0 | 0 | 0 | 376 | 213 | 0.75 | SS | |
| 487 | 100 | C | 854 | 868 | 0 | 0 | 0 | 376 | 213 | 0.75 | SS | |
| 488 | 100 | C | 854 | 868 | 0 | 0 | 0 | 376 | 213 | 0.73 | SS | |
| 489 | 100 | C | 854 | 868 | 0 | 0 | 0 | 376 | 213 | 0.71 | SS | |
| 490 | 200 | C | 854 | 868 | 0 | 0 | 0 | 376 | 213 | 0.79 | SS | |
| 491 | 200 | C | 854 | 868 | 0 | 0 | 0 | 376 | 213 | 0.71 | SS | |
| 492 | 200 | C | 854 | 868 | 0 | 0 | 0 | 376 | 213 | 0.75 | SS | |
| 493 | 300 | C | 854 | 868 | 0 | 0 | 0 | 376 | 213 | 0.74 | SS | |
| 494 | 300 | C | 854 | 868 | 0 | 0 | 0 | 376 | 213 | 0.79 | SS | |
| 495 | 300 | C | 854 | 868 | 0 | 0 | 0 | 376 | 213 | 0.73 | SS | |
| 496 | 450 | C | 854 | 868 | 0 | 0 | 0 | 376 | 213 | 0.62 | SS | |
| 497 | 450 | C | 854 | 868 | 0 | 0 | 0 | 376 | 213 | 0.73 | SS | |
| 498 | 450 | C | 854 | 868 | 0 | 0 | 0 | 376 | 213 | 0.71 | SS | |
| 499 | 600 | C | 854 | 868 | 0 | 0 | 0 | 376 | 213 | 0.30 | SS | |
| 500 | 600 | C | 854 | 868 | 0 | 0 | 0 | 376 | 213 | 0.34 | SS |
References
- Toutanji, H.A.; Bayasi, Z. Effect of curing procedures on properties of silica fume concrete. Cem. Concr. Res. 1999, 29, 497–501. [Google Scholar] [CrossRef]
- Yazıcı, Ş.; Sezer, G.İ.; Şengül, H. The effect of high temperature on the compressive strength of mortars. Constr. Build. Mater. 2012, 35, 97–100. [Google Scholar] [CrossRef]
- Ramzi, S.; Hajiloo, H. The Effects of Supplementary Cementitious Materials (SCMs) on the Residual Mechanical Properties of Concrete after Exposure to High Temperatures. Buildings 2023, 13, 103. [Google Scholar] [CrossRef]
- Lothenbach, B.; Scrivener, K.; Hooton, R.D. Supplementary cementitious materials. Cem. Concr. Res. 2011, 41, 1244–1256. [Google Scholar] [CrossRef]
- Sivakrishna, A.; Adesina, A.; Awoyera, P.; Kumar, K.R. Green concrete: A review of recent developments. Mater. Today Proc. 2020, 27, 54–58. [Google Scholar] [CrossRef]
- Behnood, A.; Ziari, H. Effects of silica fume addition and water to cement ratio on the properties of high-strength concrete after exposure to high temperatures. Cem. Concr. Compos. 2008, 30, 106–112. [Google Scholar] [CrossRef]
- Ibrahim, W.M.W.; Abdullah, M.M.A.B.; Ahmad, R.; Sandu, A.V.; Vizureanu, P.; Benjeddou, O.; Rahim, A.; Ibrahim, M.; Sauffi, A.S. Chemical distributions of different sodium hydroxide molarities on fly ash/dolomite-based geopolymer. Materials 2022, 15, 6163. [Google Scholar] [CrossRef]
- Supit, S.W.; Shaikh, F.U.; Sarker, P.K. Effect of ultrafine fly ash on mechanical properties of high volume fly ash mortar. Constr. Build. Mater. 2014, 51, 278–286. [Google Scholar] [CrossRef]
- Moon, G.D.; Oh, S.; Choi, Y.C. Effects of the physicochemical properties of fly ash on the compressive strength of high-volume fly ash mortar. Constr. Build. Mater. 2016, 124, 1072–1080. [Google Scholar] [CrossRef]
- Onn, C.C.; Mo, K.H.; Radwan, M.K.H.; Liew, W.H.; Ng, C.G.; Yusoff, S. Strength, Carbon Footprint and Cost Considerations of Mortar Blends with High Volume Ground Granulated Blast Furnace Slag. Sustainability 2019, 11, 7194. [Google Scholar] [CrossRef]
- Chidiac, S.; Panesar, D. Evolution of mechanical properties of concrete containing ground granulated blast furnace slag and effects on the scaling resistance test at 28 days. Cem. Concr. Compos. 2008, 30, 63–71. [Google Scholar] [CrossRef]
- Nadeem, A.; Memon, S.A.; Lo, T.Y. Qualitative and quantitative analysis and identification of flaws in the microstructure of fly ash and metakaolin blended high performance concrete after exposure to elevated temperatures. Constr. Build. Mater. 2013, 38, 731–741. [Google Scholar] [CrossRef]
- Mukherjee, A.; Biswas, S.N. Artificial neural networks in prediction of mechanical behavior of concrete at high temperature. Nucl. Eng. Des. 1997, 178, 1–11. [Google Scholar] [CrossRef]
- Tang, Y.; Wang, Y.; Wu, D.; Liu, Z.; Zhang, H.; Zhu, M.; Chen, Z.; Sun, J.; Wang, X. An experimental investigation and machine learning-based prediction for seismic performance of steel tubular column filled with recycled aggregate concrete. Rev. Adv. Mater. Sci. 2022, 61, 849–872. [Google Scholar] [CrossRef]
- Asteris, P.G.; Skentou, A.D.; Bardhan, A.; Samui, P.; Pilakoutas, K. Predicting concrete compressive strength using hybrid ensembling of surrogate machine learning models. Cem. Concr. Res. 2021, 145, 106449. [Google Scholar] [CrossRef]
- Ashteyat, A.M.; Ismeik, M. Predicting residual compressive strength of self-compacted concrete under various temperatures and relative humidity conditions by artificial neural networks. Comput. Concr. 2018, 21, 47–54. [Google Scholar]
- Vanluchene, R.D.; Sun, R. Neural networks in structural engineering. Comput.-Aided Civ. Infrastruct. Eng. 1990, 5, 207–215. [Google Scholar] [CrossRef]
- Moradi, M.; Khaleghi, M.; Salimi, J.; Farhangi, V.; Ramezanianpour, A. Predicting the compressive strength of concrete containing metakaolin with different properties using ANN. Measurement 2021, 183, 109790. [Google Scholar] [CrossRef]
- Özcan, F.; Atiş, C.D.; Karahan, O.; Uncuoğlu, E.; Tanyildizi, H. Comparison of artificial neural network and fuzzy logic models for prediction of long-term compressive strength of silica fume concrete. Adv. Eng. Softw. 2009, 40, 856–863. [Google Scholar] [CrossRef]
- Tang, Y.; Huang, Z.; Chen, Z.; Chen, M.; Zhou, H.; Zhang, H.; Sun, J. Novel visual crack width measurement based on backbone double-scale features for improved detection automation. Eng. Struct. 2023, 274, 115158. [Google Scholar] [CrossRef]
- Behnood, A.; Golafshani, E.M. Predicting the compressive strength of silica fume concrete using hybrid artificial neural network with multi-objective grey wolves. J. Clean. Prod. 2018, 202, 54–64. [Google Scholar] [CrossRef]
- Atici, U. Prediction of the strength of mineral admixture concrete using multivariable regression analysis and an artificial neural network. Expert Syst. Appl. 2011, 38, 9609–9618. [Google Scholar] [CrossRef]
- Chopra, P.; Sharma, R.K.; Kumar, M. Prediction of compressive strength of concrete using artificial neural network and genetic programming. Adv. Mater. Sci. Eng. 2016, 2016, 7648467. [Google Scholar] [CrossRef]
- Boğa, A.R.; Öztürk, M.; Topçu, I.B. Using ANN and ANFIS to predict the mechanical and chloride permeability properties of concrete containing GGBFS and CNI. Compos. Part B Eng. 2013, 45, 688–696. [Google Scholar] [CrossRef]
- Ahmad, A.; Ostrowski, K.A.; Maślak, M.; Farooq, F.; Mehmood, I.; Nafees, A. Comparative Study of Supervised Machine Learning Algorithms for Predicting the Compressive Strength of Concrete at High Temperature. Materials 2021, 14, 4222. [Google Scholar] [CrossRef] [PubMed]
- Anderberg, Y.; Thelandersson, S. Stress and Deformation Characteristics of Concrete at High Temperatures: Experimental Investigation and Material Behaviour Model; Lund Institute of Technology: Lund, Sweden, 1976. [Google Scholar]
- Abbas, H.; Al-Salloum, Y.A.; Elsanadedy, H.M.; Almusallam, T.H. ANN models for prediction of residual strength of HSC after exposure to elevated temperature. Fire Saf. J. 2019, 106, 13–28. [Google Scholar] [CrossRef]
- Moradi, M.; Daneshvar, K.; Ghazi-Nader, D.; Hajiloo, H. The prediction of fire performance of concrete-filled steel tubes (CFST) using artificial neural network. Thin-Walled Struct. 2021, 161, 107499. [Google Scholar] [CrossRef]
- Öztaş, A.; Pala, M.; Özbay, E.; Kanca, E.; Caglar, N.; Bhatti, M.A. Predicting the compressive strength and slump of high strength concrete using neural network. Constr. Build. Mater. 2006, 20, 769–775. [Google Scholar] [CrossRef]
- Haykin, S.; Lippmann, R. Neural networks, a comprehensive foundation. Int. J. Neural Syst. 1994, 5, 363–364. [Google Scholar]
- Topçu, İ.B.; Sarıdemir, M. Prediction of rubberized concrete properties using artificial neural network and fuzzy logic. Constr. Build. Mater. 2008, 22, 532–540. [Google Scholar] [CrossRef]
- Mansour, M.Y.; Dicleli, M.; Lee, J.-Y.; Zhang, J. Predicting the shear strength of reinforced concrete beams using artificial neural networks. Eng. Struct. 2004, 26, 781–799. [Google Scholar] [CrossRef]
- Demir, F. Prediction of elastic modulus of normal and high strength concrete by artificial neural networks. Constr. Build. Mater. 2008, 22, 1428–1435. [Google Scholar] [CrossRef]
- Çelik, Ö.; Teke, A.; Yıldırım, H.B. The optimized artificial neural network model with Levenberg–Marquardt algorithm for global solar radiation estimation in Eastern Mediterranean Region of Turkey. J. Clean. Prod. 2016, 116, 1–12. [Google Scholar] [CrossRef]
- Zhang, J.-R.; Zhang, J.; Lok, T.-M.; Lyu, M.R. A hybrid particle swarm optimization–back-propagation algorithm for feedforward neural network training. Appl. Math. Comput. 2007, 185, 1026–1037. [Google Scholar] [CrossRef]
- Silva, F.A.N.; Delgado, J.M.P.Q.; Cavalcanti, R.S.; Azevedo, A.C.; Guimarães, A.S.; Lima, A.G.B. Use of Nondestructive Testing of Ultrasound and Artificial Neural Networks to Estimate Compressive Strength of Concrete. Buildings 2021, 11, 44. [Google Scholar] [CrossRef]
- Tufail, M.; Shahzada, K.; Gencturk, B.; Wei, J. Effect of elevated temperature on mechanical properties of limestone, quartzite and granite concrete. Int. J. Concr. Struct. Mater. 2017, 11, 17–28. [Google Scholar] [CrossRef]
- Poon, C.-S.; Azhar, S.; Anson, M.; Wong, Y.-L. Comparison of the strength and durability performance of normal- and high-strength pozzolanic concretes at elevated temperatures. Cem. Concr. Res. 2001, 31, 1291–1300. [Google Scholar] [CrossRef]
- Nadeem, A.; Memon, S.A.; Lo, T.Y. The performance of fly ash and metakaolin concrete at elevated temperatures. Constr. Build. Mater. 2014, 62, 67–76. [Google Scholar] [CrossRef]
- Phan, L.T.; Carino, N.J. Effects of Test Conditions and Mixture Proportions on Behavior of High-Strength Concrete Exposed to High Temperatures. Mater. J. 2002, 99, 54–56. [Google Scholar]
- Abrams, M.S. Compressive strength of concrete at temperatures to 1600F. Spec. Publ. 1971, 25, 33–58. [Google Scholar]
- Ghandehari, M.; Behnood, A.; Khanzadi, M. Residual mechanical properties of high-strength concretes after exposure to elevated temperatures. J. Mater. Civ. Eng. 2010, 22, 59–64. [Google Scholar] [CrossRef]
- Savva, A.; Manita, P.; Sideris, K. Influence of elevated temperatures on the mechanical properties of blended cement concretes prepared with limestone and siliceous aggregates. Cem. Concr. Compos. 2005, 27, 239–248. [Google Scholar] [CrossRef]
- Masood, A.; Shariq, M.; Alam, M.M.; Ahmad, T.; Beg, A. Effect of Elevated Temperature on the Residual Properties of Quartzite, Granite and Basalt Aggregate Concrete. J. Inst. Eng. (India) Ser. A 2018, 99, 485–494. [Google Scholar] [CrossRef]
- Yoon, M.; Kim, G.; Choe, G.C.; Lee, Y.; Lee, T. Effect of coarse aggregate type and loading level on the high temperature properties of concrete. Constr. Build. Mater. 2015, 78, 26–33. [Google Scholar] [CrossRef]
- Xu, Y.; Wong, Y.L.; Poon, C.S.; Anson, M. Influence of PFA on cracking of concrete and cement paste after exposure to high temperatures. Cem. Concr. Res. 2003, 33, 2009–2016. [Google Scholar] [CrossRef]
- Kim, S.S.; Qudoos, A.; Jakhrani, S.H.; Lee, J.B.; Kim, H.G. Influence of coarse aggregates and Silica Fume on the mechanical properties, durability, and microstructure of concrete. Materials 2019, 12, 3324. [Google Scholar] [CrossRef]
- Pliya, P.; Cree, D.; Hajiloo, H.; Beaucour, A.-L.; Green, M.F.; Noumowé, A. High-strength concrete containing recycled coarse aggregate subjected to elevated temperatures. Fire Technol. 2019, 55, 1477–1494. [Google Scholar] [CrossRef]
- Elsanadedy, H.M. Residual compressive strength of high-strength concrete exposed to elevated temperatures. Adv. Mater. Sci. Eng. 2019, 2019, 6039571. [Google Scholar] [CrossRef]
- Gupta, T.; Patel, K.; Siddique, S.; Sharma, R.K.; Chaudhary, S. Prediction of mechanical properties of rubberised concrete exposed to elevated temperature using ANN. Measurement 2019, 147, 106870. [Google Scholar] [CrossRef]
- Liu, Q.-f.; Iqbal, M.F.; Yang, J.; Lu, X.-y.; Zhang, P.; Rauf, M. Prediction of chloride diffusivity in concrete using artificial neural network: Modelling and performance evaluation. Constr. Build. Mater. 2021, 268, 121082. [Google Scholar] [CrossRef]
- Ramadan Suleiman, A.; Nehdi, M.L. Modeling Self-Healing of Concrete Using Hybrid Genetic Algorithm–Artificial Neural Network. Materials 2017, 10, 135. [Google Scholar] [CrossRef]
- Šipoš, T.K.; Miličević, I.; Siddique, R. Model for mix design of brick aggregate concrete based on neural network modelling. Constr. Build. Mater. 2017, 148, 757–769. [Google Scholar] [CrossRef]
- Getahun, M.A.; Shitote, S.M.; Abiero Gariy, Z.C. Artificial neural network based modelling approach for strength prediction of concrete incorporating agricultural and construction wastes. Constr. Build. Mater. 2018, 190, 517–525. [Google Scholar] [CrossRef]
- Tran, V.-L.; Thai, D.-K.; Nguyen, D.-D. Practical artificial neural network tool for predicting the axial compression capacity of circular concrete-filled steel tube columns with ultra-high-strength concrete. Thin-Walled Struct. 2020, 151, 106720. [Google Scholar] [CrossRef]
- Roshani, M.M.; Kargar, S.H.; Farhangi, V.; Karakouzian, M. Predicting the effect of fly ash on concrete’s mechanical properties by ann. Sustainability 2021, 13, 1469. [Google Scholar] [CrossRef]
- Yüzer, N.; Akbaş, B.; Kızılkanat, A.B. Predicting the compressive strength of concrete exposed to high temperatures with a neural network model. In Proceedings of the TÇMB, 3rd International Symposium Sustainability in Cement and Concrete, İstanbul, Turkey, 21–23 May 2007. [Google Scholar]
- Goh, A.T. Back-propagation neural networks for modeling complex systems. Artif. Intell. Eng. 1995, 9, 143–151. [Google Scholar] [CrossRef]
- Benardos, P.G.; Vosniakos, G.-C. Optimizing feedforward artificial neural network architecture. Eng. Appl. Artif. Intell. 2007, 20, 365–382. [Google Scholar] [CrossRef]
- Mousavi, A.; Hajiloo, H.; Green, M.F. Bond Performance of GFRP Reinforcing Bars under Uniform or Gradient Temperature Distributions. J. Compos. Constr. 2021, 25, 04021056. [Google Scholar] [CrossRef]
- Yusuf, M.; Sarhat, S.; Hajiloo, H.; Green, M.F. Bond strength between steel reinforcement and RCA concrete during and after exposure to elevated temperatures. Constr. Build. Mater. 2022, 345, 128362. [Google Scholar] [CrossRef]
- ACI 216.1-14; Code Requirements for Determing Fire Resistance of Concrete and Masonry Construction Assemblies. American Concrete Institute: Farmington Hills, MI, USA, 2014.
- EN 1992-1-2 (2004); Design of Concrete Structures-Part 1–2: General Rules-Structural Fire Design. European Committee for Standardization: Brussels, Belgium, 2004; Volume 1, p. 1.
- Ma, Q.; Guo, R.; Zhao, Z.; Lin, Z.; He, K. Mechanical properties of concrete at high temperature—A review. Constr. Build. Mater. 2015, 93, 371–383. [Google Scholar] [CrossRef]
- Fu, Y.F.; Wong, Y.L.; Poon, C.S.; Tang, C.A. Stress-strain behaviour of high-strength concrete at elevated temperatures. Mag. Concr. Res. 2005, 57, 535–544. [Google Scholar] [CrossRef]
- Pliya, P.; Hajiloo, H.; Romagnosi, S.; Cree, D.; Sarhat, S.; Green, M. The compressive behaviour of natural and recycled aggregate concrete during and after exposure to elevated temperatures. J. Build. Eng. 2021, 38, 102214. [Google Scholar] [CrossRef]
- Felicetti, R.; Gambarova, P.G. Effects of high temperature on the residual compressive strength of high-strength siliceous concretes. ACI Mater. J. 1998, 95, 395–406. [Google Scholar]
- Chan, S.Y.N.; Peng, G.-f.; Chan, J.K.W. Comparison between high strength concrete and normal strength concrete subjected to high temperature. Mater. Struct. 1996, 29, 616. [Google Scholar] [CrossRef]
- Aydın, S.; Baradan, B. Effect of pumice and fly ash incorporation on high temperature resistance of cement based mortars. Cem. Concr. Res. 2007, 37, 988–995. [Google Scholar] [CrossRef]
- Karahan, O. Transport properties of high volume fly ash or slag concrete exposed to high temperature. Constr. Build. Mater. 2017, 152, 898–906. [Google Scholar] [CrossRef]
- Suzuki, M.; Mizukami, K. Bond strength between cement paste and aggregate. In Proceedings of the Review 30th General Meeting, Japan, Tokyo, June 1976; pp. 211–213. [Google Scholar]
- Lyubimova, T.Y.; Pinus, E. Crystallization structure in the contact zone between aggregate and cement in concrete. Colloid J. USSR 1962, 24, 491–498. [Google Scholar]
- Patten, B.J.F. The effects of adhesive bond between coarse aggregate and mortar on the physical properties of concrete. Inst. Eng. (Aust.) Civ. Eng. Trans. 1973, CE15, 58–62. [Google Scholar]
- Lee, W.; Van Deventer, J. Chemical interactions between siliceous aggregates and low-Ca alkali-activated cements. Cem. Concr. Res. 2007, 37, 844–855. [Google Scholar] [CrossRef]
- Khedmati, M.; Kim, Y.-R. Multiscale characterization to examine the effects of aggregate properties on aggregate-paste interphase in cement concrete mixtures. J. Mater. Civ. Eng. 2020, 32, 04020059. [Google Scholar] [CrossRef]
- Perry, C.; Gillott, J.E. The influence of silica fume on the strength of the cement-aggregate bond. Spec. Publ. 1995, 156, 191–212. [Google Scholar]
- Chatterji, S.; Jeffery, J.W. The nature of the bond between different types of aggregates and Portland cement. Indian Concr. J. 1971, 45, 346–349. [Google Scholar]
- Struble, L.; Skalny, J.; Mindess, S. A review of the cement-aggregate bond. Cem. Concr. Res. 1980, 10, 277–286. [Google Scholar] [CrossRef]
- Ahmad, S.; Sallam, Y.S.; Al-Hawas, M.A. Effects of key factors on compressive and tensile strengths of concrete exposed to elevated temperatures. Arab. J. Sci. Eng. 2014, 39, 4507–4513. [Google Scholar] [CrossRef]
- Sarhat, S.R.; Sherwood, E.G. Residual mechanical response of recycled aggregate concrete after exposure to elevated temperatures. J. Mater. Civ. Eng. 2013, 25, 1721–1730. [Google Scholar] [CrossRef]
- Xu, Y.; Wong, Y.; Poon, C.S.; Anson, M. Impact of high temperature on PFA concrete. Cem. Concr. Res. 2001, 31, 1065–1073. [Google Scholar] [CrossRef]
- Tai, Y.-S.; Pan, H.-H.; Kung, Y.-N. Mechanical properties of steel fiber reinforced reactive powder concrete following exposure to high temperature reaching 800 °C. Nucl. Eng. Des. 2011, 241, 2416–2424. [Google Scholar] [CrossRef]
- Castillo, C. Effect of Transient High Temperature on High-Strength Concrete; Rice University: Houston, TX, USA, 1987. [Google Scholar]
- Piasta, J.; Sawicz, Z.; Rudzinski, L. Changes in the structure of hardened cement paste due to high temperature. Matériaux Constr. 1984, 17, 291–296. [Google Scholar] [CrossRef]
- Vedalakshmi, R.; Raj, A.S.; Srinivasan, S.; Babu, K.G. Quantification of hydrated cement products of blended cements in low and medium strength concrete using TG and DTA technique. Thermochim. Acta 2003, 407, 49–60. [Google Scholar] [CrossRef]
- Ukrainczyk, N.; Ukrainczyk, M.; Šipušić, J.; Matusinović, T. XRD and TGA investigation of hardened cement paste degradation. In Proceedings of the Conference on Materials, Processes, Friction and Wear, Vela Luka, Croatia, 22–24 June 2006; pp. 22–24. [Google Scholar]
- Jennings, H.M. Refinements to colloid model of C-S-H in cement: CM-II. Cem. Concr. Res. 2008, 38, 275–289. [Google Scholar] [CrossRef]
- Ohno, I.; Harada, K.; Yoshitomi, C. Temperature variation of elastic constants of quartz across the α-β transition. Phys. Chem. Miner. 2006, 33, 1–9. [Google Scholar] [CrossRef]
- Razafinjato, R.N.; Beaucour, A.-L.; Hebert, R.L.; Ledesert, B.; Bodet, R.; Noumowe, A. High temperature behaviour of a wide petrographic range of siliceous and calcareous aggregates for concretes. Constr. Build. Mater. 2016, 123, 261–273. [Google Scholar] [CrossRef]
- Hager, I. Behaviour of cement concrete at high temperature. Bull. Pol. Acad. Sci. Tech. Sci. 2013, 61, 145–154. [Google Scholar] [CrossRef]
- Ozguven, A.; Ozcelik, Y. Effects of high temperature on physico-mechanical properties of Turkish natural building stones. Eng. Geol. 2014, 183, 127–136. [Google Scholar] [CrossRef]
- Sancak, E.; Sari, Y.D.; Simsek, O. Effects of elevated temperature on compressive strength and weight loss of the light-weight concrete with silica fume and superplasticizer. Cem. Concr. Compos. 2008, 30, 715–721. [Google Scholar] [CrossRef]
- Terro, M.J.; Sawan, J.S. Compressive strength of concrete made with silica fume at elevated temperatures. Kuwait J. Sci. Eng. 1998, 25, 129–144. [Google Scholar]
- Liu, J.-C.; Tan, K.H.; Yao, Y. A new perspective on nature of fire-induced spalling in concrete. Constr. Build. Mater. 2018, 184, 581–590. [Google Scholar] [CrossRef]
- Gyu-Yong, K.; Young-Sun, K.; Tae-Gyu, L. Mechanical properties of high-strength concrete subjected to high temperature by stressed test. Trans. Nonferrous Met. Soc. China 2009, 19, s128–s133. [Google Scholar]
- Roufael, G.; Beaucour, A.-L.; Eslami, J.; Hoxha, D.; Noumowé, A. Influence of lightweight aggregates on the physical and mechanical residual properties of concrete subjected to high temperatures. Constr. Build. Mater. 2021, 268, 121221. [Google Scholar] [CrossRef]


















| Attribute | Unit | Max | Min | Average | Standard Deviation |
|---|---|---|---|---|---|
| Temperature | °C | 870 | 95 | 391.5 | 224.8 |
| Coarse aggregate | kg/m3 | 1200 | 369 | 950 | 187.1 |
| Fine aggregate | kg/m3 | 880 | 536 | 732.2 | 90.1 |
| Cement | kg/m3 | 662 | 180 | 406 | 131.1 |
| Water | kg/m3 | 250 | 127 | 174.8 | 28 |
| Silica fume | % | 10 | 5 | 8.91 | 1.76 |
| Fly ash | % | 60 | 10 | 25 | 14.02 |
| ground-granulated blast furnace slag | % | 40 | 30 | 35 | 5.16 |
| Relative compressive strength | 1.37 | 0.07 | 0.7 | 0.026 |
| Dataset | Performance Metric | ||
|---|---|---|---|
| R | MSE | RMSE | |
| Training | 0.98 | 0.0019 | 0.0436 |
| Validation | 0.94 | 0.0048 | 0.0693 |
| Testing | 0.95 | 0.0042 | 0.0648 |
| All data | 0.97 | 0.0027 | 0.0164 |
| Number | Coarse-Aggregate Type | Coarse Aggregate (kg/m3) | Fine Aggregate (kg/m3) | SF% | FA% | GGBFS% | Cement (kg/m3) | Water (kg/m3) | w/c | Used in |
|---|---|---|---|---|---|---|---|---|---|---|
| 1 | Si | 1080 | 855 | 0 | 0 | 0 | 249 | 127 | 0.50 | Test method |
| 2 | Ca | 1095 | 795 | 0 | 0 | 0 | 320 | 160 | 0.50 | |
| 3 | LWA | 482 | 678 | 0 | 0 | 0 | 370 | 185 | 0.50 |
| Number | Coarse-Aggregate Type | Coarse Aggregate (kg/m3) | Fine Aggregate (kg/m3) | SF% | FA% | GGBFS% | Cement (kg/m3) | Water (kg/m3) | w/c | Used in |
|---|---|---|---|---|---|---|---|---|---|---|
| 1 | Si | 1086 | 724 | 0 | 0 | 0 | 500 | 150 | 0.3 | |
| 2 | Si | 1132 | 609 | 0 | 0 | 0 | 410 | 205 | 0.5 | |
| 3 | Si | 1050 | 699 | 0 | 0 | 0 | 343 | 205 | 0.6 | Effect of w/c |
| 4 | Ca | 1168 | 615 | 0 | 0 | 0 | 495 | 149 | 0.3 | |
| 5 | Ca | 854 | 868 | 0 | 0 | 0 | 392 | 196 | 0.5 | |
| 6 | Ca | 854 | 868 | 0 | 0 | 0 | 368 | 221 | 0.6 |
| Number | Coarse-Aggregate Type | Coarse Aggregate (kg/m3) | Fine Aggregate (kg/m3) | SF% | FA% | GGBFS% | Cement (kg/m3) | Water (kg/m3) | w/b | Used in |
|---|---|---|---|---|---|---|---|---|---|---|
| 1 | Ca | 1168 | 615 | 0 | 0 | 0 | 495 | 149 | 0.30 | Effects of SF |
| 2 | Ca | 1168 | 615 | 5 | 0 | 0 | 470 | 149 | 0.30 | |
| 3 | Ca | 1168 | 615 | 10 | 0 | 0 | 445.5 | 149 | 0.30 | |
| 4 | Si | 1066 | 710 | 0 | 0 | 0 | 500 | 150 | 0.30 | |
| 5 | Si | 1066 | 710 | 5 | 0 | 0 | 475 | 150 | 0.30 | |
| 6 | Si | 1066 | 710 | 10 | 0 | 0 | 450 | 150 | 0.30 | |
| 7 | Si | 1196 | 643 | 0 | 0 | 0 | 450 | 135 | 0.30 | Effects of FA |
| 8 | Si | 1196 | 643 | 0 | 20 | 0 | 360 | 135 | 0.30 | |
| 9 | Si | 1196 | 643 | 0 | 30 | 0 | 315 | 135 | 0.30 | |
| 10 | Si | 1196 | 643 | 0 | 40 | 0 | 270 | 135 | 0.30 | |
| 11 | Si | 1095 | 795 | 0 | 0 | 0 | 300 | 180 | 0.60 | |
| 12 | Si | 1095 | 795 | 0 | 20 | 0 | 240 | 180 | 0.60 | |
| 13 | Si | 1095 | 795 | 0 | 30 | 0 | 210 | 180 | 0.60 | |
| 14 | Si | 1095 | 795 | 0 | 40 | 0 | 180 | 180 | 0.60 | |
| 15 | Ca | 846 | 734 | 0 | 0 | 0 | 662 | 199 | 0.60 | |
| 16 | Ca | 846 | 734 | 0 | 20 | 0 | 530 | 199 | 0.60 | |
| 17 | Ca | 846 | 734 | 0 | 30 | 0 | 463 | 199 | 0.60 | |
| 18 | Ca | 846 | 734 | 0 | 40 | 0 | 397 | 199 | 0.60 | |
| 19 | Si | 1145 | 616 | 0 | 0 | 0 | 500 | 150 | 0.30 | Effect of GGBFS |
| 20 | Si | 1145 | 616 | 0 | 0 | 30 | 350 | 150 | 0.30 | |
| 21 | Si | 1145 | 616 | 0 | 0 | 40 | 300 | 150 | 0.30 | |
| 22 | Si | 1135 | 626 | 0 | 0 | 0 | 390 | 195 | 0.50 | |
| 23 | Si | 1135 | 626 | 0 | 0 | 30 | 273 | 195 | 0.50 | |
| 24 | Si | 1135 | 626 | 0 | 0 | 40 | 234 | 195 | 0.50 |
Disclaimer/Publisher’s Note: The statements, opinions and data contained in all publications are solely those of the individual author(s) and contributor(s) and not of MDPI and/or the editor(s). MDPI and/or the editor(s) disclaim responsibility for any injury to people or property resulting from any ideas, methods, instructions or products referred to in the content. |
© 2023 by the authors. Licensee MDPI, Basel, Switzerland. This article is an open access article distributed under the terms and conditions of the Creative Commons Attribution (CC BY) license (https://creativecommons.org/licenses/by/4.0/).
Share and Cite
Ramzi, S.; Moradi, M.J.; Hajiloo, H. The Study of the Effects of Supplementary Cementitious Materials (SCMs) on Concrete Compressive Strength at High Temperatures Using Artificial Neural Network Model. Buildings 2023, 13, 1337. https://doi.org/10.3390/buildings13051337
Ramzi S, Moradi MJ, Hajiloo H. The Study of the Effects of Supplementary Cementitious Materials (SCMs) on Concrete Compressive Strength at High Temperatures Using Artificial Neural Network Model. Buildings. 2023; 13(5):1337. https://doi.org/10.3390/buildings13051337
Chicago/Turabian StyleRamzi, Sanaz, Mohammad Javad Moradi, and Hamzeh Hajiloo. 2023. "The Study of the Effects of Supplementary Cementitious Materials (SCMs) on Concrete Compressive Strength at High Temperatures Using Artificial Neural Network Model" Buildings 13, no. 5: 1337. https://doi.org/10.3390/buildings13051337
APA StyleRamzi, S., Moradi, M. J., & Hajiloo, H. (2023). The Study of the Effects of Supplementary Cementitious Materials (SCMs) on Concrete Compressive Strength at High Temperatures Using Artificial Neural Network Model. Buildings, 13(5), 1337. https://doi.org/10.3390/buildings13051337

