Time-Varying Evolution Behaviors of Steel–Concrete Composite Girders with Differentiated Connectors
Abstract
1. Introduction
2. Elaborate FE Modeling
2.1. User Subroutine UMAT for Creep and Shrinkage Effects
2.2. Elaborate FE Modeling Considering the Construction Stages
2.3. Validation of the FE Modeling
- (1)
- Prediction model for concrete shrinkage and creep
- (2)
- Simulation of URSP connecters
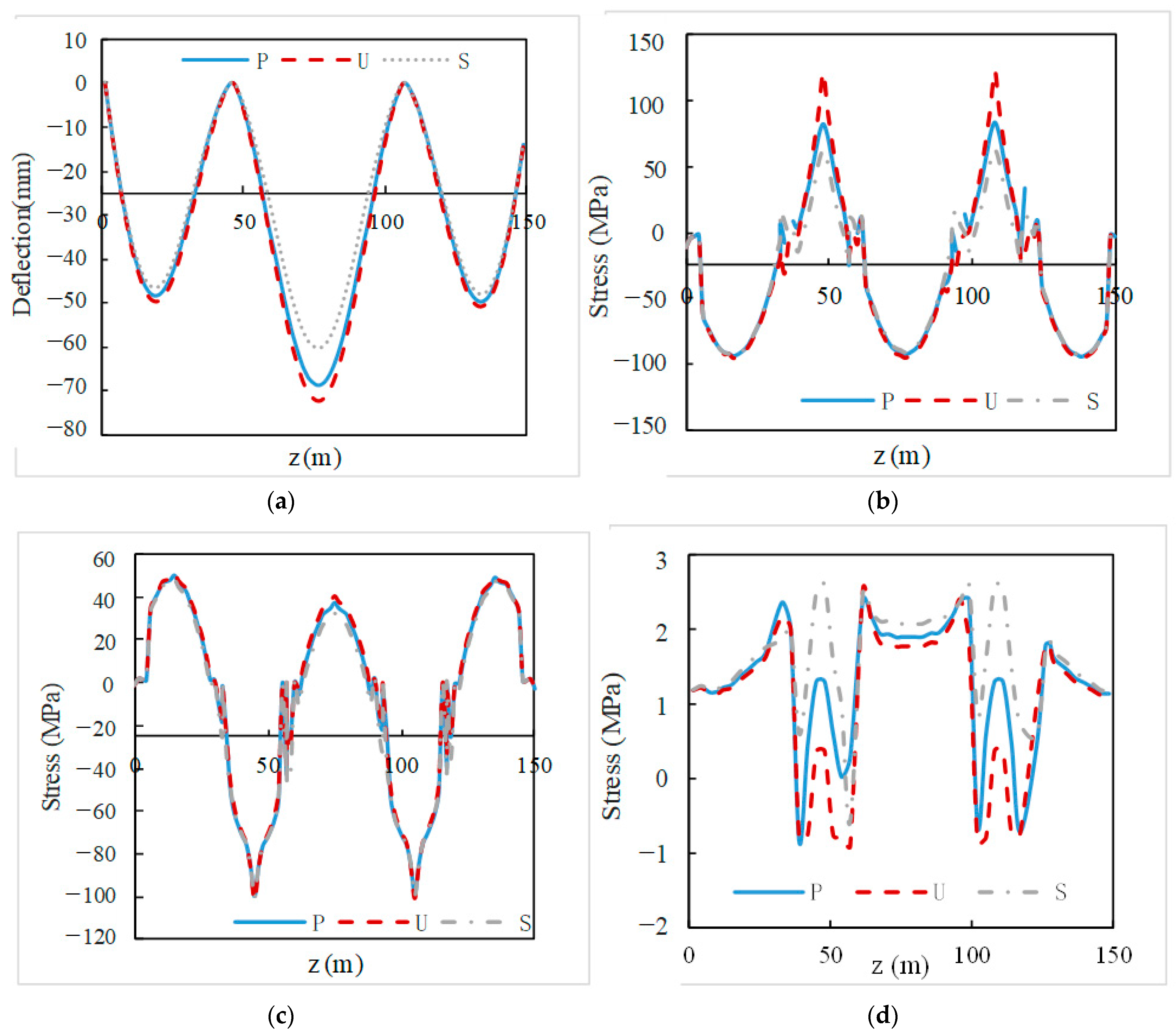
3. Performance of Composite Girders with Differentiated Connectors in Construction Stages
3.1. Concrete Stress
3.2. Steel Girder Stress
3.3. Deflection
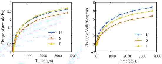
4. Performance of Composite Girders with Differentiated Connectors in the Service Stage
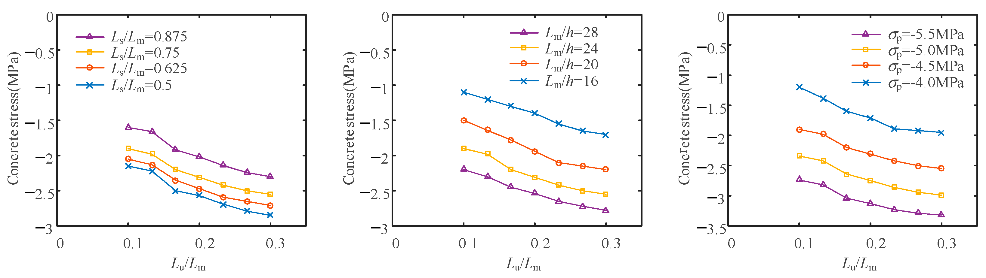
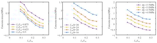
5. Parametric Analysis and Design Suggestions
6. Conclusions
- (1)
- The commonly used shrinkage and creep prediction models are in different agreements with the long-term performance tests of composite beams in the literature, and the CEP90 model was adopted in this study. In addition, the short-term behaviors of the specimens with URSP connecters predicted by the FE models were in good agreement with the test data, indicating that the modeling strategy was reliable.
- (2)
- Scheme U, where the URSP connection technique is applied in the hogging moment region can effectively increase the prestressing efficiency and decrease the tensile stress of the concrete induced by dead loads and vehicle loads. With an increasing service time, the concrete shrinkage effect will enhance the advantage of Scheme U, while the creep effect will reduce this advantage. In general, it was deduced that Scheme U was the most superior scheme from the perspective of concrete crack resistance in the hogging moment region, among the three schemes considered in this study.
- (3)
- The concrete shrinkage and creep effects can generate significant concrete stress redistribution in the transverse direction, and non-uniformity of the transverse distribution of the concrete stress is more significant after ten years of service. Meanwhile, the effective width of the concrete slab also varies along the longitudinal direction.
- (4)
- Compared to the traditional scheme, the applications of the post-connected construction method and URSP connectors in the hogging moment regions may lead to approximately 12% and 18% increases in deflection, respectively. Therefore, attention should be paid to this when the design is controlled by girder stiffness. The steel girder stress was also increased in these two innovative schemes, but a significant increase only occurred in the top flange near the middle supports, which may be eliminated by local strengthening measures.
- (5)
- The results of the parametric analyses indicate that with an increasing URSP length, the concrete stress decreased under various span length ratios, span–depth ratios, and prestress levels. The tensile stress induced by the concrete creep effect can reduce the influence of these factors. The increase in the URSP length ratio brought about increases in the deflection and steel stress, but the effect of the URSP length ratio on the concrete stress was more significant. Overall, a value of 0.2 is recommended as the URSP length ratio.
Author Contributions
Funding
Institutional Review Board Statement
Informed Consent Statement
Data Availability Statement
Acknowledgments
Conflicts of Interest
Appendix A
| ST | Size (mm) | L (m) | t0 (d) | T (°C) | Rh (%) | fcu 28 d (MPa) | SR | CM (kg/m3) | WM (kg/m3) | A/C | Load (kN/m) | Ec (GPa) | Es (GPa) | Fy (MPa) | F (MPa) | Remarks | ||
|---|---|---|---|---|---|---|---|---|---|---|---|---|---|---|---|---|---|---|
| Fan et al. [27] | LCB1 | S | 600 × 60 | 4 | 7 | 19 | 67 | 32.3 | 800/2400 | 288 | 236 | 1076/288 | 7.29 | Ec (7) = 27.6 | 206 | 303.6 | - | - |
| LCB2 | S | 600 × 60 | 4 | 7 | 19 | 67 | 44.7 | 776/2400 | 353 | 212 | 1059/353 | 7.29 | Ec (28) = 31.8 | 206 | 303.6 | - | - | |
| Ec (7) = 30.0 | ||||||||||||||||||
| Ec (28) = 34.7 | ||||||||||||||||||
| Xue et al. [38] | PCB1 | PS | 600 × 100 | 4.8 | - | - | - | - | 684/2416 | 520 | 188 | 1024/520 | 7.37 + 5.23 | - | 185 | 371.5 | 444.4 | Prestress: 783 MPa |
| PCB2 | PS | 600 × 100 | 4.8 | - | - | - | - | 684/2416 | 520 | 188 | 1024/520 | 7.37 + 5.23 | - | 185 | 371.5 | 444.4 | 888 MPa | |
| PCB3 | PS | 600 × 100 | 4.8 | - | - | - | - | 684/2416 | 260 | 188 | 1024/260 | 7.37 + 5.23 | - | 185 | 371.5 | 444.4 | 798 MPa | |
| CB-1 | S | 600 × 100 | 4.8 | - | - | - | - | 684/2416 | 520 | 188 | 1024/520 | 12.6 | - | 185 | 371.5 | 444.4 | - | |
| Al-deen et al. [39] | CB1 | S | 2000 × 125 | 8 | - | 21 | 70 | 27.7 | 838/2318 | 141 | 175 | 960/141 | - | 25.5 | - | 317.26 | 517.47 | No Temporary support |
| CB2 | S | 2000 × 125 | 8 | 29 | 21 | 70 | 27.7 | 838/2318 | 141 | 175 | 960/141 | 13.4 | 25.5 | - | 317.26 | 517.47 | No Temporary support | |
| CB3 | S | 2000 × 125 | 8 | 29 | 21 | 70 | 27.7 | 838/2318 | 141 | 175 | 960/141 | SW + 13.4 = 19.8 | 25.5 | - | 317.26 | 517.47 | Temporary support | |
References
- Zhu, Y.-J.; Yang, Y.; Wang, J.-J.; Xu, L.-Y. Novel design method for reinforced concrete decks in composite girders considering compressive membrane action. Eng. Struct. 2021, 229, 111558. [Google Scholar] [CrossRef]
- Zhao, G.-Y.; Liu, W.; Su, R.; Zhao, J.-C. A Beam Finite Element Model Considering the Slip, Shear Lag, and Time-Dependent Effects of Steel-Concrete Composite Box Beams. Buildings 2023, 13, 215. [Google Scholar] [CrossRef]
- Liang, H.-W.; Tan, K.; Deng, K.-L.; Zhang, Y.-M.; Zhao, C.-H.; Yang, T.-Y. Crack Resistance of Steel-Concrete Hybrid Joint between Concrete Girder and Steel-Concrete Composite Girder in Long-Span Cable-Stayed Bridge under Hogging Moment. J. Bridge Eng. 2023, 28, 05022013. [Google Scholar] [CrossRef]
- Zhu, Y.-J.; Zhu, J.-M. Distortion of steel tub-girder with top flange bracing considering warping restraint effect. J. Constr. Steel Res. 2021, 187, 106954. [Google Scholar] [CrossRef]
- Zhu, Y.-J.; Wang, J.-J.; Nie, X.; Pan, X.-B.; Fan, J.-S. Structural performance of slabs in composite box girder considering compressive membrane action. Eng. Struct. 2020, 212, 110457. [Google Scholar] [CrossRef]
- Zeng, Y.; Li, Y.-Q.; Yu, T.; Wei, J.-H. Analysis of Mechanical Performance of Steel-Concrete Composite Girder Bridge with V-Shaped Piers. Adv. Civ. Eng. 2022, 2022, 6489140. [Google Scholar] [CrossRef]
- Gao, C.; Zhu, L.; Han, B.; Tang, Q.-C.; Su, R. Dynamic Analysis of a Steel-Concrete Composite Box-Girder Bridge-Train Coupling System Considering Slip, Shear-Lag and Time-Dependent Effects. Buildings 2022, 12, 1389. [Google Scholar] [CrossRef]
- He, Z.-Q.; Ou, C.-X.; Tian, F.; Liu, Z. Experimental Behavior of Steel-Concrete Composite Girders with UHPC-Grout Strip Shear Connection. Buildings 2021, 11, 182. [Google Scholar] [CrossRef]
- Zhu, Y.-J.; Nie, X.; Wang, J.-J.; Tao, M.-X.; Fan, J.-S. Multi-index distortion control of steel-concrete composite tub-girders considering interior cross-frame deformation. Eng. Struct. 2020, 210, 110291. [Google Scholar] [CrossRef]
- Zhu, Y.-J.; Zhou, M.; Zhu, J.-M.; Nie, X. Analytical models for load capacities of variable thickness reinforced concrete slabs considering compressive membrane action and boundary effects. Eng. Struct. 2021, 246, 113067. [Google Scholar] [CrossRef]
- Men, P.-F.; Zhou, X.-H.; Ye, J.-T.; Di, J.; Qin, F.-J. Shear capacity investigation of steel-concrete composite girders in hogging moment regions. J. Constr. Steel Res. 2022, 194, 107341. [Google Scholar] [CrossRef]
- Alsharari, F.; El-Sisi, A.E.D.; Mutnbak, M.; Salim, H.; El-Zohairy, A. Effect of the Progressive Failure of Shear Connectors on the Behavior of Steel-Reinforced Concrete Composite Girders. Buildings 2022, 12, 596. [Google Scholar] [CrossRef]
- Men, P.F.; Zhou, X.H.; Zhang, Z.X.; Di, J.; Qin, F.J. Behaviour of steel-concrete composite girders under combined negative moment and shear. J. Constr. Steel Res. 2021, 179, 106508. [Google Scholar] [CrossRef]
- Nie, J. Application of steel-concrete composite structure in ocean engineering. Steel Constr. 2020, 35, 20–33. [Google Scholar]
- Nie, J.; Tao, M.; Nie, X.; Fan, J.; Zhang, Z.; Tang, H.; Zhu, L.; Li, Y. New technique and application of uplift-restricted and slip-permitted connection. China Civ. Eng. J. 2015, 48, 7–15. [Google Scholar]
- Nie, J.-G.; Li, Y.-X.; Tao, M.-X.; Nie, X. Uplift-restricted and slip-permitted T-shape connectors. J. Bridge Eng. 2015, 20, 04014073. [Google Scholar] [CrossRef]
- Nie, J.-G.; Ma, Y. The experimental study of the uplift performance of uplift-restricted and slip-permitted screw-type connectors. Spec. Struct. 2015, 32, 6–12. [Google Scholar]
- Duan, L.; Chen, H.; Nie, X.; Han, S. Experimental study on steel-concrete composite beams with Uplift-restricted and slip-permitted screw-type (URSP-S) connectors. Steel Compos. Struct. Int. J. 2020, 35, 261–278. [Google Scholar]
- Duan, L.; Nie, X.; Ding, R.; Zhuang, L. Research on application of uplift-restricted slip-permitted (URSP) connectors in steel-concrete composite frames. Appl. Sci. 2019, 9, 2235. [Google Scholar] [CrossRef]
- Al-deen, S.; Ranzi, G.; Vrcelj, Z. Full-scale long-term experiments of simply supported composite beams with solid slabs. J. Constr. Steel Res. 2011, 67, 308–321. [Google Scholar] [CrossRef]
- Cao, G.; Han, C.; Dai, Y.; Zhang, W. Long-term experimental study on prestressed steel–concrete composite continuous box beams. J. Bridge Eng. 2018, 23, 04018067. [Google Scholar] [CrossRef]
- Zhu, Y.-P.; Zhang, Y.; Hussein, H.-H.; Xu, Z.-B. Normal concrete and ultra-high-performance concrete shrinkage and creep models: Development and Application. Adv. Struct. Eng. 2022, 15, 13694332221097729. [Google Scholar] [CrossRef]
- Wang, Q.-H.; Yang, J.-S.; Zhang, Y.-Z.; Fang, Y.-F.; Ren, Q.-X. Analysis and design of long-term responses of simply-supported steel-concrete composite slabs. J. Build. Eng. 2022, 53, 104496. [Google Scholar] [CrossRef]
- Motlagh, H.-R.; Rahai, A. Long-Term Behavior of a Prestressed Concrete Bridge with Corrugated Steel Webs. J. Bridge Eng. 2022, 27, 05021016. [Google Scholar] [CrossRef]
- Zhu, L.; Su, R.-K.; Huo, J.-X.; Wang, G.-M. Test of the Long-Term Behavior of Curved Steel-Concrete Composite Box Beams: Case Study. J. Bridge Eng. 2021, 26, 05021009. [Google Scholar] [CrossRef]
- Xu, C.; Xiao, H.; Zhang, B.-Y.; Fu, J.; Masuya, H. Fatigue behavior of steel fiber reinforced concrete composite girder under high cycle negative bending action. Eng. Struct. 2021, 241, 112432. [Google Scholar] [CrossRef]
- Zhou, X.-H.; Men, P.-F.; Di, J.; Qin, F.-J. Experimental investigation of the vertical shear performance of steel-concrete composite girders under negative moment. Eng. Struct. 2021, 228, 111487. [Google Scholar] [CrossRef]
- Li, S.; Yang, Y.; Pu, Q.; Yang, D.; Sun, B.; Li, X. Three-dimensional nonlinear creep and shrinkage effects of a long-span prestressed concrete box girder bridge. Struct. Concr. 2019, 20, 638–649. [Google Scholar] [CrossRef]
- Fan, J.; Nie, J.; Li, Q.; Wang, H. Long-term behavior of composite beams under positive and negative bending. I: Experimental study. J. Struct. Eng. 2010, 136, 849–857. [Google Scholar] [CrossRef]
- Huang, D.; Wei, J.; Liu, X.; Du, Y.; Zhang, S. Experimental study on influence of post-pouring joint on long-term performance of steel-concrete composite beam. Eng. Struct. 2019, 186, 121–130. [Google Scholar] [CrossRef]
- Yu, Q.; Bazant, Z.P.; Wendner, R. Improved algorithm for efficient and realistic creep analysis of large creep-sensitive concrete structures. ACI Struct. J. 2012, 109, 665. [Google Scholar]
- Bazant, Z.P.; L’Hermite, R. Mathematical Modeling of Creep and Shrinkage of Concrete; John Wiley & Sons Ltd.: Chichester, UK, 1988; pp. 102–103. [Google Scholar]
- Béton, C.E.-I.d. CEB-FIP Model Code 1990: Design Code; Thomas Telford Publishing: London, UK, 1993. [Google Scholar]
- Comité Euro-International Du Béton (CEB). CEB-FIP Model Code 2010 for Concrete Structures; International Federation for Structural Concrete: Lausanne, Switzerland, 2010. [Google Scholar]
- ACI Committee 209. Prediction of Creep, Shrinkage, and Temperature Effects in Concrete Structures (ACI 209R-92); American Concrete Institute: Farmington Hills, MI, USA, 2008; Reapproved. [Google Scholar]
- Bažant, Z.P.; Jirasek, M.; Hubler, M.H.; Carol, I. RILEM draft recommendation: TC-242-MDC multi-decade creep and shrinkage of concrete: Material model and structural analysis* Model B4 for creep, drying shrinkage and autogenous shrinkage of normal and high-strength concretes with multi-decade applicability. Mater. Struct. 2015, 48, 753–770. [Google Scholar]
- Gardner, N.; Lockman, M. Design provisions for drying shrinkage and creep of normal-strength concrete. Mater. J. 2001, 98, 159–167. [Google Scholar]
- Xue, W.; Sun, T.; Liu, T. Experimental study on prestressed steel-concrete composite beams for urban light rails under sustained loads of two years. China Civ. Eng. J. 2013, 46, 110–118. [Google Scholar]
- Al-deen, S.; Ranzi, G.; Vrcelj, Z. Long-term Experiments of Composite Steel-Concrete Beams. Procedia Eng. 2011, 14, 2807–2814. [Google Scholar] [CrossRef]





















Disclaimer/Publisher’s Note: The statements, opinions and data contained in all publications are solely those of the individual author(s) and contributor(s) and not of MDPI and/or the editor(s). MDPI and/or the editor(s) disclaim responsibility for any injury to people or property resulting from any ideas, methods, instructions or products referred to in the content. |
© 2023 by the authors. Licensee MDPI, Basel, Switzerland. This article is an open access article distributed under the terms and conditions of the Creative Commons Attribution (CC BY) license (https://creativecommons.org/licenses/by/4.0/).
Share and Cite
Zhu, Y.; Chen, L.; Wang, C.; Liu, C.; Li, Z. Time-Varying Evolution Behaviors of Steel–Concrete Composite Girders with Differentiated Connectors. Buildings 2023, 13, 1137. https://doi.org/10.3390/buildings13051137
Zhu Y, Chen L, Wang C, Liu C, Li Z. Time-Varying Evolution Behaviors of Steel–Concrete Composite Girders with Differentiated Connectors. Buildings. 2023; 13(5):1137. https://doi.org/10.3390/buildings13051137
Chicago/Turabian StyleZhu, Yingjie, Liying Chen, Chen Wang, Cheng Liu, and Zhengyuan Li. 2023. "Time-Varying Evolution Behaviors of Steel–Concrete Composite Girders with Differentiated Connectors" Buildings 13, no. 5: 1137. https://doi.org/10.3390/buildings13051137
APA StyleZhu, Y., Chen, L., Wang, C., Liu, C., & Li, Z. (2023). Time-Varying Evolution Behaviors of Steel–Concrete Composite Girders with Differentiated Connectors. Buildings, 13(5), 1137. https://doi.org/10.3390/buildings13051137
