Abstract
Despite being perceived as a warm country, winters in the Central Mexican Plateau frequently reach temperatures below zero Celsius. Prolonged exposures to low temperatures resulting in heart and respiratory morbidities are estimated to be responsible for 50% of the reported illness in the plateau, attributable primarily to the design of homes ill-suited to extreme temperatures. Consequently, there is a growing need to ensure that dwellings provide adequate indoor thermal conditions in the region. Hence, on-site sensors were used to collect temperature and relative humidity data every five minutes in 26 living rooms in the Plateau for 11 months. From these data, a subsample was determined, resulting in dwelling-level thermal comfort and health surveys on 15 homes. Computer simulations were used to investigate whether the building itself could provide thermal comfort under different retrofitting scenarios. Multiple linear regression relating the Predicted Percentage Dissatisfaction (PPD) index to self-perceived health was undertaken. Both monitored and simulated results were matched against our underheating model, finding that 92% of the homes had cold indoor environments, some even during summer. High PPD and intense levels of underheating were positive predictors of higher self-reported health problems. More self-reported health problems were correlated with both lower life satisfaction and self-worth, and with subjects’ use of more adaptive strategies against environmental dissatisfaction. Dynamic computer simulations suggested that indoor thermal environments could be improved by enforcing the non-utilised standard NOM-ENER-020, which recommends the addition of insulation on walls and roofs. These findings suggest that the cold environments within homes of the plateau influence the self-perceived physical and mental health of its population. Hence, the application of adequate measures, such as retrofitting homes with stronger standards than the existing NOM-ENER-020 are needed in place.
1. Introduction
Climate change is expected to convert conventional season patterns to hotter summers and colder winters, threatening human health [1]. Estimations indicate a global temperature rise of more than 5 °C by 2070 [2] making, among other consequences, seasonal cold waves worldwide (cold fronts and cold spells) stronger and longer [3], homemakers and children spend about 80% of their day at home (and likely to increase with the COVID-19 pandemic) [4], homes without adequate protection will be more exposed, endangering the health of their occupants. To date, Mild Climate Countries (MCC) show higher Excess Winter Deaths (EWD) than countries with severe winters [5]. This may be because there are no adequate building standards in MCCs that address this issue, or they exist but are not enforced [6]. The latter is the case in areas such as Latin America [7], Greece [8], Australia [9], Spain [10], and New Zealand [11].
In this context, Mexico fits the definition of a “hot climate” country with an unrecognised “cold housing” problem. Although to date there are no studies that examine this issue in the country, this can be confirmed by its high percentage of EWD, as the 11% presented in 2020 [12] is similar to countries with more severe winters, such as Hungary (11.3%), Germany (11%), and even higher than Poland (10.2%) or Finland (10%) [13]. In fact, it is common for MCCs to have higher EWDs than countries with severe winters [14]. Unfortunately, vulnerable social groups such as the elderly [15], those of lower-income [16] and people with chronic diseases [17] are more likely to be affected by this issue. Hence, it is important to examine this unattended issue affecting thousands of people every year, as mortalities and morbidities related to respiratory and cardiovascular diseases rank first and second, respectively, as the most common in the country.
This paper examines different retrofitting solutions that can potentially solve this issue. In this sense, its relevance is underlined by being one of the first field studies of winter cold discomfort and indoor temperatures of houses in the Mexican Plateau, coupled with strategies for homes whose building fabric coincides with 27.4 K homes in Mexico, corresponding to 78% of the country’s housing stock. In this research, we aimed to address the following two questions:
Q1. Is the current building fabric of the majority of the housing stock in Mexico putting at risk the health of the inhabitants in Central Mexico?
Q1.1. What effective solutions can be implemented to improve the indoor thermal comfort of houses without relying on inefficient electric or gas heaters that contribute to increased energy consumption?
Q2. Is there any relationship between the current internal environments in the Central Mexican Plateau and householders’ self-reported perception of their physical and mental health?
1.1. Thermal Comfort
Thermal comfort models are the most common means of assessing the balance between indoor environmental conditions and the personal factors that make a person feel thermally comfortable [18]. There are two approaches to evaluating thermal comfort that emerged in the last century. The steady-state approach (also known as Predicted Mean Vote PMV) developed by Fanger [18], currently used in the international standard ISO 7730 [19], and the adaptive method, proposed by Nicol and Humphreys [20] used in the American Society of Heating, Refrigerating and Air-Conditioning Engineers [21]. The Mexican government adopted the first, published as its voluntary standard NMX-C-7730-ONNCCE-2018 [22]. Both are based on building users’ votes on a scale ranging from cold (−3) to neutral (0) and from neutral to hot (+3). The vote is called Thermal Sensation Vote (TSV). Both standards, ISO7730 [19] and the ASHRAE 55 [23], comply if the vote range is TSV is within the range of [−1, +1].
The steady-state approach assumes that any effort to adjust the internal thermal environment makes it undesirable [24]. This method was developed in climate chambers and for the air conditioning industry, and it should be used in conditioned spaces. The PMV value is calculated with four environmental variables (air velocity (), external air temperature (), internal operative temperature (), and relative humidity (), as well as two personal variables metabolic rate (Met), and clothing insulation (Clo). The Predicted percent dissatisfied (PPD) term indicates the percentage of people that are not thermally comfortable in a space. The ASHRAE 55 standard limits this percentage to 10%.
The adaptive method considers that the building occupants adapt to their indoor environment through three general mechanisms: behavioural, physiological, and psychological. This method should be used in naturally ventilated buildings, where usually, people are thermally satisfied at a more extensive range of temperatures, compared to those in a more mechanically ventilated space [25]. Hence, this model does not aim to find a fixed temperature, but a temperature band at which the occupant, with sufficient adaptive opportunities (i.e., wearing an extra layer of clothing, drinking a hot beverage, etc.), can experience thermal comfort.
1.2. Housing and Health
The experience when arriving at a heated home during a cold day depends on temperature-balanced regulation between the internal environment and external conditions. Our sympathetic nervous system uses physiological activation to control the body’s temperature, allowing us to adjust our behaviour, contributing to faster and more efficient response and adjustment [26]. In this context, thermal comfort refers to balancing environmental and personal control elements leading an individual to feel satisfied in their thermal environment [25]. When temperature variations in the external environment are more difficult to control (i.e., when extreme temperatures become environmental stressors), thermal comfort is harder to achieve [27]. Thermal comfort is highly associated with distinct health indicators. Many social determinants of health, including economic resources, housing conditions, and social resources, can modify an individual’s thermal sensations [28]. For instance, housing quality has been associated with infectious diseases. Cold, damp, and mouldy housing are often associated with respiratory problems such as asthma, and even mental disorders, including anxiety and depression [29]. The World Health Organization (WHO) has set the minimum recommended indoor temperature to 18 °C for healthy environments. In addition, the WHO quantified the environmental burden of disease-associated inadequate housing in Europe, describing the variety of maladies that can be associated with lower quality home environments. Table 1 summarises the relationships found by that extensive report [30].
Table 1.
Diseases caused by poor quality indoor environments according to the WHO.
In this sense, self-rated health is a widely used index of actual health status in research on neighbourhood environments and health, often measured through Likert-type scale answers [31] including self-assessments of mental health [32].
Ormandy et al. [16] found that even after controlling for age, gender, socio-economic status and smoking, poor health (i.e., self-reported) had a significant association with perceptions of poor thermal comfort. Moreover, they found that asthma attacks in the past year, allergies, hypertension, colds and sore throats, migraines, and gastric and duodenal ulcers were associated with poor thermal comfort. It seems then that the perception of cold in the internal living environment can affect essential health indicators. Moreover, blood pressure and viscosity may be fundamental causes of higher winter morbidity in MCCs, associated with strokes and heart attacks. Investigating the relationship between indoor temperature and the risk of high blood pressure in Scotland, Shiue et al. [33] determined that an indoor temperature below 8 °C could account for 9% of the population with a risk of high blood pressure. Indeed, people with lower income and poor access to various resources are less likely to live in decent housing, where exposure to environmental factors detrimental to health is more likely [28].
Regarding a relationship between low air quality and poor health in social vs. non-social housing, Patino et al. [34] found no evidence that social housing residents were significantly more exposed to pollutants such as formaldehyde or dampness. Instead, they found that poor thermal comfort was highly prevalent and associated with adverse health effects. The above suggests that low-income households may accept lower indoor temperatures and reach lower thermal comfort status due to budgetary constraints [35].
1.3. NOM ENER 020
The NOM-020-ENER-2011 (NOM-020) [36] is a mandatory Mexican standard that defines acceptable heat transfers for walls and roofs (among others, i.e., shading coefficients) in residential dwellings. This standard does not include criteria for floors or windows. Despite its obligatory nature, it is not enforced for various reasons, e.g., it is not requested to process a building’s construction permit as well as the lack of technical knowledge of building inspectors [37].
Appendix A of the NOM-020 provides an allowed U value (Wm−2 K−1) for residential buildings up to three floors high of 0.909 Wm−2 K−1 for walls and roofs in Toluca. However, this varies depending on the region or state. To date, 88% of the total Mexican housing stock is built with 150 mm solid walls made from brick, block or concrete that provides an average U value of 2.88 Wm−2 K−1 (sd = 0.52 Wm−2 K−1) Further, 77% of the homes in the country have a roof composed of 100 mm reinforced concrete slab, plus 38 mm of lightweight stone (locally known as “Tepojal”) and a 12 mm waterproof membrane, providing together a U value of 3.06 Wm−2 K−1. Both values are outside the parameters of this standard.
Given that only 2% of Mexican houses comply the NOM-020 standards [38] it is practically impossible to study the effectiveness of the NOM-020 standard. Hence, alternative methods should be used to study its effectiveness. Ruiz Torres et al. [39] evaluated the NOM-020 standard with three houses located in the city of Tuxtla (hot and humid climate, Köppen Aw) in southwest Mexico, with dynamic simulations in Energy-Plus [40]. Their results show that the homes could not provide environmental conditions within the acceptable ranges of the ISO-7730 Standard [19]. Alpuche Cruz et al. [41] calculated the thermal balance of three houses located in different cities (Hermosillo—hot and arid; Colima-hot and humid, and Mexico City—temperate, within the Central Plateau) as built (without insulation), and with the NOM-020 parameters. They found that even after manually calculating the thermal balance of the homes under the NOM-020, houses in hot climates showed thermal imbalances, contrary to the one in Mexico City. Romero-Moreno et al. [42] conducted a similar study assessing the thermal balance of three homes in Mexicali (hot and humid climate) against the NOM-020 with a web-based tool provided by the government [43], and reached similar conclusions to those of Alpuche Cruz et al. However, we found no peer-reviewed studies in which a dynamic simulation tool was used to evaluate the parameters of the standard in the Central Mexican Plateau. Therefore, it is necessary to study the effectiveness of the NOM-020 for temperate climates such as those found in the Central Plateau, ideally with larger samples and with calibrated dynamic simulations.
2. Methodology
2.1. Field Study and Participants
This study aimed to examine the internal environments of the type of house with constructive characteristics predominating in central Mexico. An adaptive cluster [44] coupled with a targeted sampling [45] process was used. The study was promoted through posters and Facebook in local markets, schools, and churches in Toluca, Mexico. Thirty householders volunteered to participate and, after four dropouts, we had a final sample of 26 householders/homes. Every home visit took approximately 1 to 1.5 h, as surveys included 122 questions. Due to time restrictions, sometimes respondents only answered the thermal comfort survey, leaving the health questions out. As the temperature starts to drop in August, partly due to high levels of precipitation and relative humidity, the thermal sensation in the region becomes colder. Therefore, surveys applied in Autumn and Winter were pooled in what we defined as a “cold season”. Then, the data were reduced to the houses that responded to the questionnaires at least once per season. This process left us with a final sample of 15 homes. While we understand that this is a small sample, it can be considered representative of the region since the characteristics of all the homes match at least 71% of the total housing stock in the country [46]. Additionally, the occupancy levels of our sample match the country’s housing occupancy of 3.4 occupants per home [46]. The characteristics of the full sample are described in Table 2. However, we should mention that this sample is reduced only for the health section, as applying surveys took much longer.
Table 2.
Sample characteristics.
The houses selected in this study are built with solid brick walls rendered with cement on the external face, and with plaster on the internal, resulting in a wall thickness of 150 mm. The roof is built with a 100 mm reinforced concrete slab, with plaster on the internal face and a waterproof membrane on the external. None of the homes had any insulation, double glazing or any passive design strategies to avoid solar gains.
On average, the homes in this study had 1.6 storeys (sd = 0.5), with an average occupancy of 3.15 inhabitants (sd = 1.5). Four homes were oriented to the north, seven to the east, nine to the south and six to the west. Figure 1 provides an overview of key characteristics provided by the household. It shows that the age of the homes ranged between 1 and 50 years, that the age of the respondents was between 20 and 65 years old, and that heating was used only in isolated cases.
Figure 1.
General information of the selected sample. The figure shows box plots of the information gathered during the fieldwork stage from the sample. The black line within the box represents the mean. The circles represent the outliers.
Figure 2 shows the location of the homes and the weather station “CODAGEM, METEPEC, 15266 (Clave OMM-76675, altitude 19°17′28″, longitude 99°42′51″)”, where the weather data were obtained. We always ensured that the same householder responded to the questionnaire for every house. Lastly, the values used as responses in the questionnaires were transformed from qualitative responses (i.e., never, rarely, sometimes) to scalar data (i.e., 1, 2, 3) for our statistical model. Further information on this transformation is found in Appendix A.
Figure 2.
Location of the participating homes in Toluca and the weather station from which the external climatic data were obtained. Source of the background image was OpenStreetMap® [47]. Source of the house icon was. The red line next to the house represents the orientation of the room in which the sensor was positioned.
2.2. Site
Toluca is a city with approximately 900,000 people. However, fifteen cities are attached to it, resulting in an urban area with 2.3 M inhabitants, making it the fifth most populated urban area of Mexico, with the second largest area [48]. The city is located on the Meseta Central Mexicana (Central Mexican Plateau). We should underline that, at 2600 m of altitude, it is the highest city in North America. It has a Köppen climate classification of Cwb or “dry winter subtropical highland climate”, an average temperature of 12.5 °C (sd = 1.5 °C), and an average daily temperature swing of 15.1 °C (sd = 4.3 °C), as seen in Figure 3. It has an average yearly precipitation of 113.4 mm (sd = 96.57 mm), the period from June to October being the most humid and rainy with an average rainfall of 209.4 mm (sd = 63 mm), and average relative humidity of 78% (sd = 4.2%). These climatic conditions are not limited to this urban area, characterising others such as Mexico City and Puebla, which have up to 30 M people.
Figure 3.
Daily outdoor temperatures in Toluca from May 2018 to February 2019. Light grey represents the minimum, mid-grey the average, and dark grey the maximum.
2.3. Indices
2.3.1. Clothing and Metabolic Activity
The Metabolic Rate () was calculated according to the methods suggested in the ASHRAE 55 standard. Our calculations were made based on the activities we observed 15 min prior to the application of the questionnaire. Particular references were made to Table A1 of the ASHRAE 55 [49]. Participants described their clothing in a given table, where they would tick the piece of clothing they were wearing. After, these garments were matched against the values listed in Table 5-3 “Garment insulation” of ASHRAE 55 [23] and computed following the “Method 2” guidelines of Appendix B of the same standard.
2.3.2. Predicted Mean Vote and Predicted Percentage Dissatisfied Model
The predicted mean vote (PMV) method aims to predict the thermal sensation vote (TSV) a person would choose from a seven-point scale survey. The PMV model uses the heat balance of the human body and considers the conditions of the internal environment and the effect these have on the clothes worn by the occupant (CLO), as well as their metabolic activity (MET).
The PPD index aims to quantitatively predict what percentage of people do not feel thermally comfortable in their environment, i.e., too cold or hot. The ISO 7730 standard defines this group as voting +2, +3, −2 and −3 on its 7-point scale.
The PMV and PPD were computed with an “R” script [50], based on equations from the ISO-7730 [19] (PMV Equations (1)–(4); PPD Equation (5)) found in Section 4 of the standard.
The PPD index was used as a predictor in our multiple regression analysis, as described in Section 2.6 This is because (1) the PPD index already includes the PMV, which itself includes both environmental and personal variables described in Section 1.1, and (2) it only considers “cool (−2)” or “cold (−3)” votes, i.e., those who were thermally dissatisfied towards cold.
2.3.3. Adaptive Model
The adaptive method is based on the principle that the building occupant will adapt to a range of temperatures. This adaptation is made via physiological (e.g., body performs actions to return to the temperature of 37 °C), psychological (acclimatisation), and behavioural (those performed by the individual to be in thermal balance) processes. The thermal comfort band for naturally ventilated buildings is 7 °C wide for 80% of acceptability, centred around the comfortable temperature defined as:
where is the average external dry bulb temperature [51]. Further, the adaptive graph requires the operative temperature on the Y-axis. Our sensors only recorded dry bulb air temperature . As in indoor spaces there are minor differences between radiant and air temperatures [52], and many studies have assumed that is a good proxy to [50,53]. Hence, the results in this article should be read as = .
2.4. Sensors
The fieldwork stage included the measurement of environmental conditions such as air temperature and relative humidity . The ISO-7730 standard requires operative temperature in the adaptive thermal comfort model. However, it has been recognized [53,54] that in small environments with low wind speed, air temperature may be a good proxy for operative temperature. Hence, the findings in this paper should be read under the assumption that .
The characteristics of the sensors selected are shown in Table 3. These sensors were attached to a Raspberry Pi computer and left in the living room of our participants for eleven months. The sensors recorded relative humidity and temperature every five minutes, and data were averaged hourly as established in the ISO-7730 standard. To measure windspeed, an anemometer ATP AVM-8880 was used. This is slightly out of standards, but has been used in other, similar field studies [53].
Table 3.
Characteristics of the sensors.
2.5. Questionnaires
The fieldwork stage of the study took place from March 2018 to February 2019. Houses were visited every month based on availability. Two types of surveys were applied, a “short” one that aimed to capture information about aspects such as the participant’s home (aspect, orientation, windows and doors), personal information (gender, age, income, occupation, weight and height), thermal comfort (7-point ASHRAE scale) and the necessary information for the PMV calculations as described in the ISO-7730 standard [19]. The “long” survey included data regarding participants’ self-perceived mental and physical health. Table 4 shows the types of questions included in the health survey.
Table 4.
Types of questions and answers included in the “long” surveys deployed during the fieldwork stage.
Questionnaire Data Conversion Methods
The answer options available in the health questionnaires were written in a way that they could later be translated into a scalar form for regression analysis. This subsection describes how the translation was made for all the question types.
- (a)
- Self-reported health problems
This section included nine “yes or no” questions. Every “yes” was later transformed into a value “1”. A single home/respondent could obtain a maximum of none “points” for their answers (i.e., when its answers were all “Yes” in the nine questions). Thus, we obtained the total score per home/respondent by adding the values of each question into a single score per home or respondent per season. Furthermore, we calculated a single mean for each home or respondent across the three seasons and obtained an “average total health problems score”.
- (b)
- Life satisfaction and self-worth, life anxiety, and adaptation style
The answers in these sections were scalar. They ranged from never to very often, as seen in Table 5. We obtained a total score per home or respondent across these seven questions per season by adding the values of each into a single score per home/respondent. Thus, a single response could obtain a maximum of 35 points in seven questions (i.e., if the answers were all “very often” in all seven questions). Afterwards, we calculated the median value for each home or respondent across the three seasons, obtaining a single “median life satisfaction and worth self-reported score”, “mean life anxiety self-reported score” and “median added adaptation score”.
Table 5.
Scores assigned to the different answer options in the group of questions regarding life-satisfaction and worth.
- (c)
- Self-perceived physical capacity
The results in this section were also scalar, ranging from extremely difficult to very easy, as seen in Table 6. A single home/respondent could obtain a maximum of 45 points for their answers to these nine questions (i.e., if its answers were all “very easy” in the nine questions). Thus, first we obtained the total score per home or respondent in each season by adding the values of each of these questions into a single score per home or respondent. Afterwards, we calculated the mean of these values for each home or respondent, obtaining the “average physical self-perception score”.
Table 6.
Scores assigned to the different answer options in the group of questions regarding physical capacity.
2.6. Regression Methods
Similar field studies have used multiple linear regression for modelling subjects’ thermal sensation in a range of environments [55]. Therefore, we also used the multiple regression method for predicting a quantitative dependent variable based on data from other quantitative predictors (i.e., independent variables), given a series of assumptions. In this case, once the fieldwork stage finished and the survey data were compiled into a single database (as seen in Appendix A), a multiple linear regression was used to determine whether any of the self-perception variables collected in the surveys, or any of the data from the homes’ inner or outer environments predicted the subjects’ average total self-reported health problems score. The particular regression method chosen was a stepwise, backwards multiple linear regression. This approach differs from the traditional regression method. Its utility lies in initially including all predictors saturating the model, and subsequently excluding each predictor based on its contribution to the final model. All predictors are first included but are then excluded based on their statistical significance, testing each predictor’s importance against the overall result. The significance value for a t-test for each predictor is compared against a removal criterion (in this case set to p ≤ 0.050): if the predictor does not make a significant contribution, then it is removed, and the model is re-estimated with the remaining predictors (i.e., reassessing the contribution of each remaining predictor). The stepwise backward method is considered preferable to the forward method due to suppressor effects and a lower risk of making a Type II error [56]. This statistical test was carried out using SPSS 21.0.
2.7. Simulations
After the eleven months of temperature monitoring were completed, the information about house geometry was used in Design Builder® models. The Design builder® (DB) software is a Graphical User Interphase (GUI) that runs an ‘Energy plus®’ simulation engine. This software is widely used in energy and thermal simulation in buildings, and is one of the few considered to be standard practice software in dynamic simulations [57]. The weather file was created with the open-source software LADDER® created by the Rocky Mountain Institute® with weather data provided by the Mexican Water National Commission. The files were provided in XLS format in hourly intervals of wet and dry bulb temperature, relative humidity, vapour tension, cloud levels, wind speed, and wind direction. The files were provided in MS Excel® format, where one file corresponded to one month, and each day was in a different Table. Then, the data were saved into a single file for conversion through a Macro written in M.S. Visual basic®.
Figure 4 shows the simulation process divided into three stages. The calibration process against the temperatures monitored is described in Section 2.7.1. Figure 5 illustrates the cross-section details of the different parameters inputted to Design Builder®. The first was the final calibrated model of the homes “as built”. This includes a layer of a solid brick of 13 cm, rendered on both sides by gypsum and cement on the inner and outer faces, respectively. This layout corresponds to all of the homes used in this study, and at least 73% of the total housing stock in Mexico [58] as mentioned earlier. The second was made with similar characteristics to the first but added double glazing. The third included the same 15 cm solid wall, with the addition of 3 cm fibreglass insulation on the inner face of the walls and roofs with single glazing, as determined in the Mexican Standard NOM-ENER-020. The fourth was similar to the previous one, but with 5 cm of insulation, as this is the standard industry size for a layer of glass fibre insulation. The fifth had 5 cm of insulation and double glazing. All the simulations were undertaken with a 100 mm concrete slab for the floor. It was impossible to determine the percentage of homes from the existing housing stock in the country for each simulation layout, as official information only states that 4% of the total housing stock has insulation on the roofs and 1% on the walls [58]. The U-values of the different building envelope typologies are shown in Table 7.
Figure 4.
Stages of the simulation process. Stage 1 (monitoring phase) consisted of obtaining the sensors, ensuring their correct operation, and placement in the different houses. Stage 2 (modelling phase) surveyed the homes (measuring the perimeters and taking photographs). Later, these data were used in D.B. to create the simulation models. Finally, Stage 3 (simulation stage) consisted of simulations with the different building envelopes.
Figure 5.
Section drawings of the different building fabric typologies used in the dynamic simulations. Each cross-section is explained below identified by its letter: (a) as built; (b) double glazing, no insulation; (c) single glazing and 3 cm of insulation (as established by the NOM-ENER-020); (d) single glazing and 5 cm of insulation (standard practice); (e) double glazing and 5 cm of insulation.
Table 7.
U-Values in for each building fabric configuration used in dynamic simulations. The letters at the top of the table correspond to the sections shown in Figure 5.
2.7.1. Model Calibration
The calibration of a computer model to real data is one of the most complex steps of a simulation study [59]. It compares the real data collected to the simulation results, proving the validity of the computer model for further studies and applications related to improving house thermal behaviour and energy conservation measures [60]. One of the most accepted calibration techniques is to compare real monitored hourly data against the simulated data [61]. The magnitude of the difference is evaluated with mean bias error (MBE) and the coefficient of variation of the root mean square error (RMSE). A model is considered calibrated if these values are not above 25% (MBE) and 35% (RMSE), according to ASHRAE guideline 14 [21]. Table 8 shows the MBE and RMSE values for the different calibrations undertaken. The mean value for MBE is 12.5 (sd = 3.6), and for RMSE is 15.2 (sd = 3.5). None exceeds the threshold values set by ASHRAE. A graphical check shows the comparisons in line and box graphs per hour as seen in Appendix A.
Table 8.
Mean Bias Error (MBE) and Root Mean Square Error (RMSE) comparing the calibrated temperatures provided by our sensors against those provided by the Design-Builder model.
2.8. Underheating
The WHO has established that a temperature range between 18 °C and 24 °C presents no risk to human health during sedentary activities in indoor spaces [17]. Although existing literature [53] and standards [62] confirm that the upper threshold may vary depending on other variables, such as the outside temperature, many studies have agreed on the lower threshold of 18 °C [9,63,64], and even 20 °C for spaces occupied by vulnerable groups [50], for naturally ventilated buildings.
The CIBSE TM59 Standard [62] was first used as a benchmark to develop an underheating model. This standard considers that the building must provide thermal comfort by without external air conditioning or heating devices. This principle was a key consideration, as our sample homes in the Toluca Valley do not use central heating. The TM59 defines ΔT as the difference between and . This difference should not exceed 1 for more than 3% of the occupied hours. This means that a space can be considered overheated if Top = 26 °C and Tmax = 24.93 °C. In contrast, the lower threshold must not contain this flexibility, as 18 °C is accepted as a “healthy temperature threshold”. Hence, we define as the difference between 18 °C and , when < 18 °C being:
Our Criterion 1 considers the hours of exceedance of the lower threshold (), where the total amount of hours at should not exceed 3% of the year. This 3% maximum percentage is based on the standard TM52.
Criterion 2 assesses the severity of underheating. It is well established that exposure to temperatures below 18 °C damages the health of the occupant; however, the lower the operating temperature, the more damage. For example, Saeki et al. [65] found that the blood pressure of the adult population in their study worsened when the temperature dropped by one Centigrade degree. In addition, Shiue et al. [66] found a risk of high blood pressure rises when subjects spent time at temperatures below 16 °C. In addition, a house exposed to temperatures below 14 °C encourages mould growth, affecting the health of its occupants [67]. Hence, we deemed it necessary to evaluate the severity of underheating in the homes in this study. Criterion 2 uses a metric based on the heating degree day (HDD) [68]. This metric is used as a proxy to calculate the energy needed to heat a space. The HDD formula is:
where is the degree day, and is the average daily temperature in °C. Disregarding the fractional part, we propose that our model measures the severity of underheating as
where is the underheated day, and is the average temperature of any day in °C of all the monitored (or simulated) hours equal to or below 18 °C. The Kelvin hours (Kh) above 18 °C are not considered in this metric. Hence, if a sensor captures readings as described in Table 9:
Table 9.
Example of monitored hourly temperature data.
(i) there will be ten data points (Kelvin hours—Kh) with temperatures higher than 18 °C (in the period from 8:00 h–17:00 h), and (ii) the remaining 14 Kh are then equal or less than 18 °C (0:00 h–7:00, & 18:00–23:00). The mean, in this case, will be calculated over the fourteen Kh, as in (iii) where (0:00 h–7:00, & 18:00–23:00). Hence, = 16.7 °C.
If the , and the daily temperature average , the space is considered as “mild underheated. If and , the space is medium underheated. When , the space is considered severely underheated.
3. Results
3.1. Home Characteristics
The homes studied had, on average, three occupants per house (sd = 1.1), the average age of the householders was 40 years old (sd = 12.8 years), and the average age of the homes was 23.5 years (sd = 17 years). Only 5% of households used any kind of external heating systems (including electric heaters and ethanol chimneys) to raise the temperature of their homes, and these were used rarely. The most common strategies to achieve a personal thermal balance were related to the use of clothing, since 66.2% of the participants affirmed that they used more than two layers of clothing when they felt “too cold” at home. During the winter site visits, the interviewees affirmed having various layers of clothing, equivalent to 1.2 to 1.6 according to Figure A7 from Appendix B of the ASHRAE 55 standard. In these cases, the building would not meet the criteria set in ASHRAE 55 since they are no longer valid when values are above 1.5
To illustrate the contrast of internal temperatures across the seasons, Figure 6 presents a heatmap of the monitored bedroom temperatures averaged per hour for the different seasons. For the hot seasons of spring and summer, the living rooms’ mean temperature was 21.4 °C (sd = 2.5 °C) and 20.4 °C (sd = 3.38 °C), respectively. However, in Autumn, the average temperature drops to 18.7 °C (sd = 3 °C), slightly above the WHO recommended threshold. Worryingly, the winter average living room temperature was 17.7 °C (sd = 3.2) below the WHO threshold, and heating systems were rarely used. For this period, most homes (i.e., except for id11, id14, and id16) averaged temperatures between 15 °C and 20 °C, especially during the night hours. Figure 7 shows a cumulative graph of the hours monitored during the whole study, compared to the “cold season”. It shows that 50% of the monitored hours recorded temperatures below 18 °C for 60% of the houses. This problem was exacerbated during the cold season, when only 20% of the houses had more than 3% of the total recorded hours above 18 °C. This suggests a serious underheating problem in more than half of the studied houses.
Figure 6.
Heatmap of the average of each house’s seasonal living room temperatures across 2018 (spring, summer and autumn) and 2019 (winter).
Figure 7.
Hourly living room temperatures for the length of the study (left) and those in the cold season (right). The cold season comprises the period from 1 October to 28 February. The dashed horizontal blue line shows the limit of hours (3%) that the homes must not exceed before meeting the dashed red vertical line, which represents the 18 °C temperature threshold recommended by WHO.
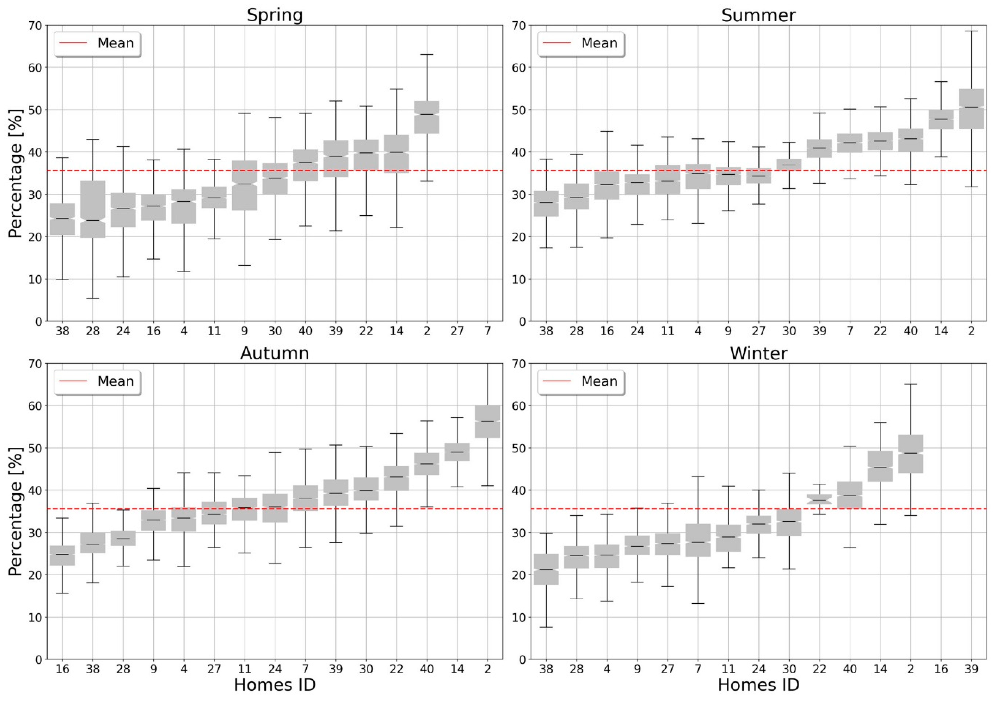
Figure 8 shows seasonal box plots of the monitored living room relative humidity measured across the spring, summer and autumn of 2018, and the winter of 2018–2019. The average relative humidity throughout the whole monitoring period was 35% (sd = 7%). This remained consistent throughout the year (spring: 32.5%, sd = 6.7; summer: 37.4%, sd = 6.4%; autumn: 37.5%, sd = 8.1%; winter: 31.9%, sd = 8%).
Figure 8.
Ranked living room relative humidity by season. The red dotted line represents the mean.
3.2. Underheating
Criterion 1 indicates that only two houses did not experience underheating for the annual period, as shown in Figure 9. For the annual period, the average of the underheated hours accounted for 32% (sd = 20%). However, this figure increased to 47% on average (sd = 26.5%) for the cold season between August and January. The high standard deviation observed in both the annual and cold seasons suggests a significant disparity in the number of underheated hours in both periods within our sample. We identified three patterns of behaviour that if divided into groups, showed very low standard deviations, implying a high degree of proximity to each other.
Figure 9.
Percentage of underheated hours according to criterion 1.
The first group consisted of id30 and id28, averaging 26% of underheated hours with a standard deviation of 0.2%. The results of both health and thermal comfort surveys did not reveal any significant patterns or commonalities among these houses. The next group, which comprised id2, id4, id22, and id28, had an average of 45% underheated hours with a standard deviation of 4.1%. The results of our surveys (further discussed in Section 3.4) showed that this group of houses had high levels of adaptation coupled with an average PMV of −0.7 (sd = 0.35), still within the comfort zone. This means that despite the low temperatures recorded by our sensors, the house occupants were able to be in comfort ranges after taking appropriate adaptive measures. Finally, it is concerning that the majority of houses averaged 59% underheated hours, indicating longer cold periods. The results of the thermal comfort surveys for this group showed a similar pattern to the previous, in that PMV and PPD average values were, in general, within comfort ranges, indicating a consistent trend similar to the previous group.
Figure 10 shows the frequency of underheated days according to criterion 2. The summer months show long diurnal temperature swings resulting in 66% of the houses with light underheating throughout the year. Only one house (id11) did not experience any underheated days. Houses in May and June averaged 4.2 underheated days (sd = 6 days). This number increased to 11.5 days on average (sd = 1.2 days) from July to October. However, it decreased to an average of 6.4 days (sd = 2 days) from October 2018 to February 2019.
Figure 10.
Number of underheating days per home split monthly according to criterion 2.
The medium underheated houses during the months of May to October were reported only on 1.7 days on average (sd = 1 day). However, from October 2018 to January 2019, the number of reported cases increased to an average of 6.2 days (sd = 1.3 days). In terms of severe underheating, from May to October 2018 there was an average of 0.5 days (sd = 1 day). However, from November 2018 to January 2019, the number of severely underheated days increased significantly to an average of 10.2 days (sd = 0.9 days) across the sample. In addition, extreme cases of severe underheating were observed in three instances: id24 and id40 with 30 days of severe underheating during December, and ID38 which had 28 days.
3.3. Dynamic Simulations
3.3.1. Home Characteristics
After identifying that the majority of homes in this study (93%) were underheated, various retrofitting options were simulated. The addition of double glazing resulted in an average increase of 20.6 °C (sd = 7.3 °C). However, the significant standard deviation indicates that some houses (i.e., id7, id14, id28, and id38) had hours below 18 °C. Adding insulation made a substantial difference compared to the previous two simulations. Living room temperatures under the NOM-020 parameters (with 3 cm of insulation) averaged 22 °C (sd = 2.5 °C), and homes with double glazing and insulation averaged 23 °C (sd = 2.4 °C). For all simulations using the insulation parameter, the yearly average was always above the 18 °C threshold, as seen in Figure 11.
Figure 11.
Boxplots of internal temperatures, where the light grey (first from left to right) corresponds to the temperatures monitored with sensors. The blue boxes (second from left to right) correspond to the simulations with double glazing, the green (third from left to right) to the homes only with insulation, and the white (fourth from left to right) correspond to the ones under the NOM-ENER-021 parameters.
3.3.2. Thermal Comfort
This sub section presents the results of both monitored and simulated environmental data against the adaptive model from the ASHRAE 55 Standard, as shown in Figure 12. Although we found data points below the lower threshold of the adaptive graph, there was an increase in data-points within the ASHRAE 55 comfort bands in the retrofitting cases. For the monitored data, 30% of the living room hours were within the 80% acceptability limits. This percentage was increased to 40% with double glazing only. There was a noticeable change when insulation was adhered to ceilings and walls, as 50 mm of fibreglass increased comfort hours to 67%. The comfort hours increased to 65% when using the parameters established under the NOM-020.
Figure 12.
Adaptive approach graphs showing the outdoor running mean temperatures (°C) (x-axis) and the indoor operative temperature (°C) (y-axis) of the homes included in this study against the parameters established in the ASHRAE 55 standard. The segmented line (inner) represents 90% acceptability. The continuous (external) line represents 80% acceptability ASHRAE thresholds. Finally, the spots represent one hour (monitored or simulated). The top left (grey) shows the monitored (actual) temperatures. The different simulations provide the remaining results, as stated in each graph’s title.
3.3.3. Underheating
Figure 13 shows the results of the underheating analysis under criterion 1. The results show a significant decrease in underheated hours for the retrofitted options compared to the calibrated models. The addition of double glazing lowered the number of underheated hours compared to the calibrated models to an average of 15.4 °C (sd = 9.5 °C) for the annual period, and 18.5 °C (sd = 11 °C) for the cold season. Insulation alone considerably reduced the number of underheating hours, since these were reduced on average by 34.2 °C (sd = 13.5 °C) and 40 °C (sd = 12.8 °C) for the annual and cold periods, respectively compared to the calibrated models. A combination of insulation and double glazing resulted in a slight increase of 2 °C (in both periods) concerning the batch that only included insulation. Finally, simulations based on the NOM-020 standard resulted in an average reduction of 28.5 °C (sd = 13.5 °C) for the annual period, and of 31.3 °C (sd = 12.7 °C) for the cold period.
Figure 13.
Percentage of underheated hours according to our criterion 1 after simulations.
Table 10 presents the results of the analysis with underheating criterion 2. The calibrated models showed an average of 6.5 days per month of light underheating (sd = 1.8 days). On average, the number of medium underheated days per month was 3.2 (sd = 1.2 days). While the average number of severe underheated days observed was 1.6 days (sd = 2.2 days), it is concerning that this value increased to 8.6 days on average (sd = 4.5 days) in the cold period. The data indicate that the installation of double glazing resulted in a reduction of 52% in the average number of light underheated days. Despite this improvement, the cold period still had 3.8 days on average (sd = 2.6 days) of light underheating. As expected, significant reductions in underheating were observed after insulation was added, mainly in medium and severe underheating, decreasing from 3.5 days per month to 0.3 days. The application of the NOM-020 standard parameters resulted in a reduction of severe underheating in most of the houses (all but three: id7, id24 and id38). Despite the addition of insulation, some homes still had light and medium underheating days during November and December, averaging 3 days in both months (sd = 2.6 days). Additional information on the evaluations conducted under criterion 2 can be found in Appendix B.
Table 10.
Average days per month with light, medium and severe underheating. D G stands for double glazing.
3.4. Health Surveys
Table 11 below presents the summary of the results for each house ID, after the data reduction methods were applied. It shows the results for the variables where people ranked their self-perceived thermal comfort (mean predicted percentage dissatisfied, the mean added adaptation score and mean PMV), the variables of self-reported physical health (the mean total health problems score, and the median life satisfaction and worth), self-reported mental health (median life satisfaction and worth, mean life anxiety), and variables related to their personal characteristics (days with underheating, house age, and respondents age). It is important to mention that these are the variables that resulted in the step-backwards regression model after iterations.
Table 11.
Summary of survey results per house ID, for each of the variables used in multiple regression analyses.
3.5. Multiple Linear Regression
Results for the best-fit final multiple linear regression model (R2 = 0.91, F (4,14) = 28.4, p > 0.01, n = 15) suggest that the PPD index was a first, significant, positive, and strong predictor of the average total self-reported health problems score. The second-best, negative predictor was the median life satisfaction and worth score; the median added adaptation score was also a significant and negative predictor. Total days with underheating was the last significant but positive predictor (Table 12).
Table 12.
Best-fit final stepwise linear regression (backward) model with average total self-reported health problems score as the dependent variable for 15 homes in the city of Toluca, State of Mexico, Mexico.
In contrast, variables such as “House age”, “Respondent’s Age”, “Average Physical self-perception score”, “Mean Life anxiety score”, and “PMV” were all non-significant and were thus excluded (Table 13). PPD was positively correlated with the median added adaptation score (r = 0.54; p = 0.37) and the median life satisfaction and worth score (r = 0.23; p = 0.41), but negatively correlated with total days with underheating (−0.09; p = 0.74). The median added adaptation score and the median life satisfaction and worth score were positively correlated (r = 0.24; p = 0.39). The correlation between Total days with Underheating and Median life satisfaction and worth score (r = 0.1; p = 0.71) and that between Total days with Underheating and Median added adaptation score (r = −0.21; p = 0.45) were also non-significant, as seen on Figure 14.
Table 13.
Excluded variables for the best-fit final stepwise linear regression (backward) model with average total self-reported health problems score as the dependent variable for the data of 15 homes in the city of Toluca, State of Mexico, Mexico.
Figure 14.
Relationships among predictors of average total self-reported health score in the best-fit multiple linear regression model (backward method; R2 = 0.91; Adjusted R2 = 0.88); distinguished by whether predictors are of the environmental origin or personal adaptive strategies. Direct effects are displayed by straight arrows, whereas correlations among predictors are described as curved arrows. Variables composing the PPD index are pictured within a lighter-shaded box (upper-left corner) for informative purposes only.
4. Discussion
4.1. Underheating
The results of this study suggest that many houses in the Central Mexican Plateau do not provide adequate internal environments to their inhabitants because of issues with the building envelope. The underheating analysis indicates that while applying the NOM-020 standard parameters lead to a decrease of underheated hours, it was not sufficient to fully resolve this issue. It is important to state that we observed significant disparities in underheating percentages among the monitored houses without any evident explanation, as their parameters did not show any relevant differences. This suggests that external factors may be at play, potentially related to variations in airtightness that may be contributing to the observed disparities. Unfortunately, no permeability study ( has been conducted in Mexico to date, indicating a further need to investigate this area.
The different simulations suggest that the single addition of double glazing does not significantly reduce the number of underheated hours. Further, the average temperatures between the models with insulation and single glazing, against those with insulation and double glazing only, provide an average temperature rise of 2 °C. This does not seem worth the investment, as double-glazed windows are still new in Mexico, making their manufacture and installation costly. Hence, they are not recommended as a retrofitting strategy for the homes in our sample or in the whole plateau. Although the models with insulation did not meet our 3% target, considerable amounts of underheated hours were reduced. Therefore, this suggests a need to enforce the NOM-020 standard in the region, coupled with adequate air leakage measures.
4.2. Underheating and Health
It is clear that improving the internal environment of the houses on the Central Mexican Plateau may also positively impact the self-perceived mental health of the population. However, based on our analysis, we found that self-reported indicators of poor health are significantly associated with perceptions of poor thermal discomfort (i.e., PPD), consistent with other studies. Additionally, our findings indicate that a combination of environmental factors and personal adaptive strategies can be used as predictors of self-reported health problems, at least within the limited but representative sample of houses examined in this study.
Our results suggest that an interaction of both environmental factors and personal adaptive strategies can be used as predictors of self-reported health problems, at least for this small sample of houses in Mexico. Our results concur with the multidimensional characteristics of the adaptive approach to human thermal comfort, based on physiological acclimatisation, behavioural adjustment and psychological adaptation [25,55] against environmental (i.e., thermal) insult [69]. Conversely, the substantial predictive influence of both PPD and total days w/underheating upon average total self-reported health problems scores suggests that subjects perceive environmental insults (i.e., temperature drops, dampness, cold winds) that elicit physiological responses, yet still influence their psychological welfare. In this regard, it is interesting to observe that the significant negative relationship between self-reported health problems and life-satisfaction and self-worth perception suggests that subjects with better self-regard tend to report fewer health problems. This factor has been reported before, indicating that life satisfaction, self-esteem and perceived health are related [70]. In contrast, however, the same results suggest that when subjects have a worse self-perception, they report more health problems associated with greater dissatisfaction with their environments, perhaps even increasing the possibility that resulting psychological stress worsens any previous health condition. On the other hand, the behavioural aspect of the model is underlined by the possibility that, despite the environmental insult, subjects with higher adaptive capabilities can reduce the order of magnitude of their self-perceived health problems. The inverse interpretation is also of interest. As subjects exert worse adaptative strategies (one of the possible reasons could be related to lower incomes), they may consider that they have more health problems or perceive their health as worse. This confirms previous results related to the health locus of control and suggests that as subjects perceive that their control upon their lives is higher and their self-esteem better, their behavior and cognitive processes are greater promoters of their mental and physical health [71]. The correlations between predictors complete this interesting scenario. Dissatisfaction with the environment and house underheating increase subjects’ display of adaptive responses; those with higher self-regard and higher life satisfaction showing more (or more intense) adaptive responses. However, such responses could be discouraged if subjects have insufficient financial means to exert a compensatory response, or lack the sufficient psychological drive to display a resolute behavioural response. Overall, would be interesting to investigate if the interaction between the perception of health and self-esteem is one of the factors that contribute to the unfortunate statistic of the high amount of EWD reported for Mexico. This should be a question for study with a larger sample of homes across different locations in Mexico.
5. Conclusions and Limitations
The houses in our study were below established thermal comfort standards and below the parameters set by our underheating model. Both a higher Predicted Percentage of Dissatisfaction (PPD) and more days with underheated homes led to poorer self-perception of health. As subjects felt worse in their internal environments, the worse their self-reported physical health became, the lower their life satisfaction, and the poorer their self-worth, i.e., the less satisfied they felt at home. This was associated with greater use of adaptive strategies against environmental dissatisfaction.
The results of this study of cold comfort in Mexico align with the vast body of literature on cold comfort in hot countries. Paradoxically, the less extreme the winter, the lower the internal temperature and the greater the cold discomfort. In addition, we found that these events also correlate with worse self-perceived health. In the case of the Central Mexican Plateau, the external air temperatures are not close to what is considered an extreme environment. Nevertheless, the vast majority of homes were underheated. Furthermore, a crucial result provided by dynamic simulations is that would be possible to reduce heat losses if the unenforced, but mandatory, standard NOM-ENER-020 was strictly applied. The findings of our PPD self-reported health relationship model suggest that raising internal temperatures in winter could also contribute to raising subjects self-reported health perceptions.
Despite the focus of this research being centered on the NOM-ENER-020 standard, it is noteworthy that the results have relevance to other cold cities in hot countries, particularly in cities with high altitudes in Latin America. This is also due to the similarity in housing typologies between Mexican houses and those located in the region. In fact, a comparative analysis of green building regulations in Latin America [7] determined that the NOM-ENER-020 ranks among the most stringent regulations in the area with regards to the building envelope. Therefore, the findings presented in this paper may offer valuable insights for policy makers and stakeholders seeking to enforce building codes so homes in other Latin American regions provide adequate environments.
This study’s limitations include a relatively restricted sample size. While it is acknowledged that a larger sample size is generally necessary to draw valid conclusions to ensure representativeness, a qualitative approach was adopted, given that 71% of the homes in Mexico share the characteristics of the homes examined in this sample. Therefore, while the sample size may be considered small, the homes studied are representative and the findings may still be valuable to policymakers and stakeholders seeking to enhance the quality of houses in the region.
Three aspects should be considered for future research. First, a study with a larger sample size should be conducted to confirm and expand upon the current findings of this study. Another crucial aspect would be to conduct a pilot study involving the retrofitting of a home using a “before and after” approach, where thermal comfort surveys and temperature sensors are installed prior to and following the intervention in several homes. This methodology would enable the assessment of the effectiveness of retrofitting in enhancing thermal comfort and reducing energy consumption. Finally, a cost-benefit analysis is required to investigate the expense of retrofitting the housing stock of the most vulnerable, while examining the benefits of such investment in terms of reduced healthcare costs in the region, and improved health outcomes. Addressing these aspects will be critical in building upon the findings of this study and developing effective strategies for enhancing the quality of housing in the region.
Author Contributions
First Author C.Z.-G.: Data curation, Funding acquisition, Methodology, Software, Visualization, and writing original draft. Second Author A.J.M.-C.: Formal analysis, Validation, and Writing original draft. All authors have read and agreed to the published version of the manuscript.
Funding
This research was funded by the Mexican Council of Science and Technology (CONACyT) under its scheme “Becas para postgrado al Extranjero”. The fieldwork stage was funded by the “International Mobility Fund 2019” of the University of Bath. PRODEP-SEP México (PTC-915038) and UAM, Department of Health Sciences (institutional funds) provided financial support to AJMC. The open access fee has been convered by the Universidad de Monterrey, under its scheme “Fondo de publicaciones 2023”.
Data Availability Statement
The data supporting the findings of this study are available upon reasonable request from the authors.
Acknowledgments
The authors are deeply thankful to all the volunteers who willingly decided to participate in this study. We wish to thank Héctor Saldaña Márquez for his valuable inputs on the paper.
Conflicts of Interest
The authors declare no conflict of interest.
Appendix A. Results of Visual Calibrations
Figure A1.
Results of the calibration of the models used for simulation—page 1.
Figure A1.
Results of the calibration of the models used for simulation—page 1.

Figure A2.
Results of the calibration of the models used for simulation—page 2.
Figure A2.
Results of the calibration of the models used for simulation—page 2.

Figure A3.
Results of the calibration of the models used for simulation—page 3.
Figure A3.
Results of the calibration of the models used for simulation—page 3.

Figure A4.
Results of the calibration of the models used for simulation—page 4.
Figure A4.
Results of the calibration of the models used for simulation—page 4.

Figure A5.
Visual results of the calibration of the models used for simulation—page 5.
Figure A5.
Visual results of the calibration of the models used for simulation—page 5.

Appendix B. Results of the Underheating Criteria 2 Applied to the Simulations
Figure A6.
Results of the underheating criteria 2 applied to the calibrated models. The X axis shows the months, and Y axis shows the house ID. The intersection of both shows the number of underheated light (left), medium (middle), and severe (right) days in that month.
Figure A6.
Results of the underheating criteria 2 applied to the calibrated models. The X axis shows the months, and Y axis shows the house ID. The intersection of both shows the number of underheated light (left), medium (middle), and severe (right) days in that month.

Figure A7.
Results of the underheating criteria 2 applied to the models with double glazing. The X axis shows the months, and Y axis shows the house ID. The intersection of both shows the number of underheated light (left), medium (middle), and severe (right) days in that month.
Figure A7.
Results of the underheating criteria 2 applied to the models with double glazing. The X axis shows the months, and Y axis shows the house ID. The intersection of both shows the number of underheated light (left), medium (middle), and severe (right) days in that month.

Figure A8.
Results of the underheating criteria 2 applied to the models with only insulation. The X axis shows the months, and Y axis shows the house ID. The intersection of both shows the number of underheated light (left), medium (middle), and severe (right) days in that month.
Figure A8.
Results of the underheating criteria 2 applied to the models with only insulation. The X axis shows the months, and Y axis shows the house ID. The intersection of both shows the number of underheated light (left), medium (middle), and severe (right) days in that month.

Figure A9.
Results of the underheating criteria 2 applied to the models with insulation and double glazing. The X axis shows the months, and Y axis shows the house ID. The intersection of both shows the number of underheated light (left), medium (middle), and severe (right) days in that month.
Figure A9.
Results of the underheating criteria 2 applied to the models with insulation and double glazing. The X axis shows the months, and Y axis shows the house ID. The intersection of both shows the number of underheated light (left), medium (middle), and severe (right) days in that month.

Figure A10.
Results of the underheating criteria 2 applied to the models simulated under the NOM-020 standard. The X axis shows the months, and Y axis shows the house ID. The intersection of both shows the number of underheated light (left), medium (middle), and severe (right) days in that month.
Figure A10.
Results of the underheating criteria 2 applied to the models simulated under the NOM-020 standard. The X axis shows the months, and Y axis shows the house ID. The intersection of both shows the number of underheated light (left), medium (middle), and severe (right) days in that month.

References
- Kjellstrom, T.; McMichael, A.J. Climate change threats to population health and well-being: The imperative of protective solutions that will last. Glob. Health Action 2013, 6, 20816. [Google Scholar] [CrossRef] [PubMed]
- Murphy, J.M.; Sexton, D.; Jenkins, G.; Boorman, P.; Booth, B.; Brown, C.; Clark, R.; Collins, M.; Harris, G.; Kendon, E. UK Climate Projections Science Report: Climate Change Projections; Met Office Hadley Centre: Exeter, UK, 2009. [Google Scholar]
- Perkins-Kirkpatrick, S.E.; Gibson, P.B. Changes in regional heatwave characteristics as a function of increasing global temperature. Sci. Rep. 2017, 7, 12256. [Google Scholar] [CrossRef] [PubMed]
- Farrow, A.; Taylor, H.; Golding, J. Time Spent in the Home by Different Family Members. Environ. Technol. 1997, 18, 605–613. [Google Scholar] [CrossRef]
- Healy, J.D. Excess winter mortality in Europe: A cross country analysis identifying key risk factors. J. Epidemiol. Community Health 2003, 57, 784–789. [Google Scholar] [CrossRef] [PubMed]
- Clinch, J.P.; Healy, J.D. Housing standards and excess winter mortality. J. Epidemiol. Community Health 2000, 54, 719–720. [Google Scholar] [CrossRef]
- Zepeda-Gil, C.; Natarajan, S. A Review of “Green Building” Regulations, Laws, and Standards in Latin America. Buildings 2020, 10, 188. [Google Scholar] [CrossRef]
- Santamouris, M.; Alevizos, S.; Aslanoglou, L.; Mantzios, D.; Milonas, P.; Sarelli, I.; Karatasou, S.; Cartalis, K.; Paravantis, J. Freezing the poor—Indoor environmental quality in low and very low income households during the winter period in Athens. Energy Build. 2014, 70, 61–70. [Google Scholar] [CrossRef]
- Daniel, L.; Baker, E.; Williamson, T. Cold housing in mild-climate countries: A study of indoor environmental quality and comfort preferences in homes, Adelaide, Australia. Build. Environ. 2019, 151, 207–218. [Google Scholar] [CrossRef]
- Escandón, R.; Suárez, R.; Sendra, J.J. On the assessment of the energy performance and environmental behaviour of social housing stock for the adjustment between simulated and measured data: The case of mild winters in the Mediterranean climate of southern Europe. Energy Build. 2017, 152, 418–433. [Google Scholar] [CrossRef]
- Butler, S.; Williams, M.; Tukuitonga, C.; Paterson, J. Problems with damp and cold housing among Pacific families in New Zealand. N. Z. Med. J. 2003, 116. [Google Scholar]
- INEGI. Estadísticad de Mortalidad en México. 2020. Available online: https://www.inegi.org.mx/temas/mortalidad/ (accessed on 11 March 2023).
- Fowler, T.; Southgate, R.J.; Waite, T.; Harrell, R.; Kovats, S.; Bone, A.; Doyle, Y.; Murray, V. Excess Winter Deaths in Europe: A multi-country descriptive analysis. Eur. J. Public Health 2014, 25, 339–345. [Google Scholar] [CrossRef]
- Gasparrini, A.; Guo, Y.; Hashizume, M.; Lavigne, E.; Zanobetti, A.; Schwartz, J.; Tobias, A.; Tong, S.; Rocklöv, J.; Forsberg, B.; et al. Mortality risk attributable to high and low ambient temperature: A multicountry observational study. Lancet 2015, 386, 369–375. [Google Scholar] [CrossRef]
- Hajat, S.; Kovats, R.; Lachowycz, K. Heat-related and cold-related deaths in England and Wales: Who is at risk? Occupat. Environ. Med. 2007, 64, 93–100. [Google Scholar] [CrossRef]
- Ormandy, D.; Ezratty, V. Health and thermal comfort: From WHO guidance to housing strategies. Energy Policy 2011, 49, 116–121. [Google Scholar] [CrossRef]
- WHO. WHO Housing and Health Guidelines; World Health Organization: Geneva, Switzerland, 2018. [Google Scholar]
- Fanger, P.O. Thermal Comfort. Analysis and Applications in Environmental Engineering; Danish Technical Press: Copenhagen, Denmark, 1970. [Google Scholar]
- ISO 7730:2005; Ergonomics of the Thermal Environment—Analytical Determination and Interpretation of Thermal Comfort Using Calculation of the PMV and PPD Indices and Local Thermal Comfort Criteria. ISO: Geneva, Switzerland, 2005.
- Nicol, J.F.; Humphreys, M.A. Thermal comfort as part of a self-regulating system. Build. Res. Pract. 1973, 1, 174–179. [Google Scholar] [CrossRef]
- Guideline 14-2002; Measurement of Energy and Demand Savings. American Society of Heating, Ventilating, and Air Conditioning Engineers: Atlanta, Georgia, 2002.
- El Director General de Normas y Secretariado Técnico de la Comisión Nacional de Normalización. NMX-C-7730-ONNCCE-2018—Industria de la Construcción-Ergonomía del Ambiente Térmico-Determinación Analítica e Inter-Pretación del Confort Térmico Mediante el Cálculo de Los Índices VME y PEI y Los Criterios de Confort Térmico Local; Diario Oficial de la Nación: Mexico City, Mexico, 2018. [Google Scholar]
- ASHRAE. STANDARD 55—Thermal Environmental Conditions for Human Occupancy; ASHRAE: Atlanta, GA, USA, 2022. [Google Scholar]
- Heschong, L. Thermal Delight in Architecture; MIT Press: Cambridge, MA, USA, 1979. [Google Scholar]
- Brager, G.S.; de Dear, R.J. Thermal adaptation in the built environment: A literature review. Energy Build. 1998, 27, 83–96. [Google Scholar] [CrossRef]
- Kandel, E. Essentials of Neural Science and Behavior. Appleton&Lange Norwalk CT 1995, 6, 425–451. [Google Scholar]
- Ortiz, M.A.; Kurvers, S.R.; Bluyssen, P.M. A review of comfort, health, and energy use: Understanding daily energy use and wellbeing for the development of a new approach to study comfort. Energy Build. 2017, 152, 323–335. [Google Scholar] [CrossRef]
- Marmot, M.; Allen, J.; Bell, R.; Bloomer, E.; Goldblatt, P. WHO European review of social determinants of health and the health divide. Lancet 2012, 380, 1011–1029. [Google Scholar] [CrossRef]
- Krieger, J.; Higgins, D.L. Housing and Health: Time Again for Public Health Action. Am. J. Public Health 2002, 92, 758–768. [Google Scholar] [CrossRef]
- Braubach, M.; World Health Organization. Environmental Burden of Disease Associated with Inadequate Housing: A Method Guide to the Quantification of Health Effects of Selected Housing Risks in the WHO European Region; World Health Organization: Geneva, Switzerland, 2011. [Google Scholar]
- Lyu, Y.; Forsyth, A.; Worthington, S. Built Environment and Self-Rated Health: Comparing Young, Middle-Aged, and Older People in Chengdu, China. HERD Health Environ. Res. Des. J. 2021, 14, 229–246. [Google Scholar] [CrossRef] [PubMed]
- Cheung, E.S.L.; Mui, A.C. Do Home and Community Environments Explain Self-Rated Health Among Older Canadians? Evidence From the 2018 Canadian Housing Survey. HERD Health Environ. Res. Des. J. 2022, 15, 112–125. [Google Scholar] [CrossRef]
- Shiue, I. Duration of daily TV/screen watching with cardiovascular, respiratory, mental and psychiatric health: Scottish Health Survey, 2012–2013. Int. J. Cardiol. 2015, 186, 241–246. [Google Scholar] [CrossRef] [PubMed]
- Diaz Lozano Patino, E.; Siegel, J.A. Indoor environmental quality in social housing: A literature review. Build. Environ. 2018, 131, 231–241. [Google Scholar] [CrossRef]
- Fairburn, J.; Braubach, M. Social inequalities in environmental risks associated with housing and residential location. Environment and health risks: A review of the influence and effects of social inequalities. Eur. J. Public Health 2010, 20, 36–43. [Google Scholar]
- Secretaría de Energía. NORMA Oficial Mexicana NOM-020-ENER-2011, Eficiencia Energética en Edificaciones.—Envolvente de Edificios para uso Habitacional, in Apéndice A, Tabla 1; SEGOB: Mexico City, Mexico, 2011. [Google Scholar]
- Martin-Dominguez, I.R.; Rodriguez-Muñoz, N.A.; Romero-Perez, C.K.; Najera-Trejo, M.; Ortega-Avila, N. Analysis of the Methodologic Assumptions of the NOM-020-ENER-2011—Mexican Residential Building Standard. Environments 2018, 5, 118. [Google Scholar] [CrossRef]
- INEGI. Inventario Nacional de Vivienda; INEGI: Mexico City, Mexico, 2016; Available online: https://www.inegi.org.mx/app/mapa/inv/ (accessed on 11 March 2023).
- Torres, R.P.R.; Nolasco, G.C.; Méndez, T.A.; Morillón, D.; Reséndiz, O. Comparación del comportamiento térmico de una vivienda en clima cálido subhúmedo con la NOM-020-ENER. In Proceedings of the Memorias del XXXV Congreso Nacional de Energía Solar. ANES, Chihuahua, Mexico, 5–7 October 2011. [Google Scholar]
- Crawley, D.B.; Lawrie, L.K.; Pedersen, C.O.; Winkelmann, F.C. Energy plus: Energy simulation program. ASHRAE J. 2000, 42, 49–56. [Google Scholar]
- Cruz, M.G.A.; Aguilar, E.A.D. La NOM-020-ENER-2011 en viviendas económicas ubicadas en diferentes regiones climáticas de México. Vivienda Y Comunidades Sustentables 2017, 75–90. [Google Scholar] [CrossRef]
- Romero-Moreno, R.; Bojórquez-Morales, G.; Luna-León, A.; Reyes-Barajas, K. Energy efficiency in mass-built housing and demonstrative bioclimatic models in a hot-dry climate zone Eficiencia energética en vivienda de construcción en serie y en modelos demostrativos bioclimáticos en zona de clima cálido seco. Archit. Des. 2020, 4, 1–8. [Google Scholar]
- Secretaría de Energía. Herramienta Cálculo NOM-020-ENER-2002. 2002. Available online: https://www.gob.mx/conuee/acciones-y-programas/herramienta-calculo-nom-020-ener-2001 (accessed on 11 March 2023).
- Thompson, S.K. Adaptive cluster sampling. J. Am. Stat. Assoc. 1990, 85, 1050–1059. [Google Scholar] [CrossRef]
- Watters, J.K.; Biernacki, P. Targeted sampling: Options for the study of hidden populations. Soc. Probl. 1989, 36, 416–430. [Google Scholar] [CrossRef]
- INEGI. México—Encuesta Nacional Sobre Consumo de Energéticos en Viviendas Particulares 2018; ESD3.04-ENCEVI-2018; INEGI: Mexico City, Mexico, 2018. [Google Scholar]
- OpenStreetMap. Map of Toluca. Open Data Commons Open Database License (ODbL) of the OpenStreetMap (OSMF) Foundation; OpenStreetMap Foundation: Cambridge, UK, 2022. [Google Scholar]
- Consejo Estatal de Población. Zonas Metropolitanas del Estado de México; Government of “Estado de México”: Toluca, Mexico, 2021.
- ANSI/ASHRAE Standard 55-2013; Thermal Environmental Conditions for Human Occupancy. ASHRAE: Atlanta, GA, USA, 2013.
- Hughes, C.; Natarajan, S.; Liu, C.; Chung, W.J.; Herrera, M. Winter thermal comfort and health in the elderly. Energy Policy 2019, 134, 110954. [Google Scholar] [CrossRef]
- de Dear, R.J.; Brager, G.S. Thermal comfort in naturally ventilated buildings: Revisions to ASHRAE Standard 55. Energy Build. 2002, 34, 549–561. [Google Scholar] [CrossRef]
- Walikewitz, N.; Jänicke, B.; Langner, M.; Meier, F.; Endlicher, W. The difference between the mean radiant temperature and the air temperature within indoor environments: A case study during summer conditions. Build. Environ. 2015, 84, 151–161. [Google Scholar] [CrossRef]
- Hughes, C.; Natarajan, S. Summer thermal comfort and overheating in the elderly. Build. Serv. Eng. Res. Technol. 2019, 40, 426–445. [Google Scholar] [CrossRef]
- Zepeda-Gil, C.; Natarajan, S. Thermal comfort in naturally ventilated dwellings in the central Mexican plateau. Build. Environ. 2022, 211, 108713. [Google Scholar] [CrossRef]
- Albadra, D.; Vellei, M.; Coley, D.; Hart, J. Thermal comfort in desert refugee camps: An interdisciplinary approach. Build. Environ. 2017, 124, 460–477. [Google Scholar] [CrossRef]
- Field, A. Multilevel Linear Models, in Discovering Statistics Using SPSS (and Sex and Drugs and Rock “n” Roll); SAGE: London UK, 2009. [Google Scholar]
- Wasilowski, H.A.; Reinhart, C.F. Modelling an existing building in DesignBuilder/EnergyPlus: Custom versus default inputs. In Proceedings of the Eleventh International IBPSA Conference, Glasgow, Scotland, 27–30 July 2009. [Google Scholar]
- INEGI. Características de Los Hogares. 2017. Available online: http://www.beta.inegi.org.mx/temas/hogares/ (accessed on 11 March 2023).
- Oberkampf, W.L.; Trucano, T.G. Verification and validation in computational fluid dynamics. Prog. Aerosp. Sci. 2002, 38, 209–272. [Google Scholar] [CrossRef]
- Yoon, J.; Lee, E.J.; Claridge, D.E. Calibration Procedure for Energy Performance Simulation of a Commercial Building. J. Sol. Energy Eng. 2003, 125, 251–257. [Google Scholar] [CrossRef]
- Kaplan, M.; Caner, P. Guidelines for Energy Simulation of Commercial Buildings: Final; Kaplan Engineering: Portland, OR, USA, 1992. [Google Scholar] [CrossRef]
- CIBSE. TM59 Design Methodology for the Assessment of Overheating Risk in Homes; U. Chartered Institution of Building and Service Engineers, Ed.; CIBSE: London, UK, 2017. [Google Scholar]
- Rudge, J.; Gilchrist, R. Measuring the health impact of temperatures in dwellings: Investigating excess winter morbidity and cold homes in the London Borough of Newham. Energy Build. 2007, 39, 847–858. [Google Scholar] [CrossRef]
- Critchley, R.; Gilbertson, J.; Grimsley, M.; Green, G. Living in cold homes after heating improvements: Evidence from Warm-Front, England’s Home Energy Efficiency Scheme. Appl. Energy 2007, 84, 147–158. [Google Scholar] [CrossRef]
- Saeki, K.; Obayashi, K.; Iwamoto, J.; Tone, N.; Okamoto, N.; Tomioka, K.; Kurumatani, N. Stronger association of indoor temperature than outdoor temperature with blood pressure in colder months. J. Hypertens. 2014, 32, 1582–1589. [Google Scholar] [CrossRef]
- Shiue, I.; Shiue, M. Indoor temperature below 18 °C accounts for 9% population attributable risk for high blood pressure in Scotland. Int. J. Cardiol. 2014, 171, e1–e2. [Google Scholar] [CrossRef]
- Zock, J.-P.; Jarvis, D.; Luczynska, C.; Sunyer, J.; Burney, P. Housing characteristics, reported mold exposure, and asthma in the European Community Respiratory Health Survey. J. Allergy Clin. Immunol. 2002, 110, 285–292. [Google Scholar] [CrossRef]
- Thom, H.C.S. The rational relationship between heating degree days and temperature. Mon. Weather. Rev. 1954, 82, 1–6. [Google Scholar] [CrossRef]
- De Dear, R.J.; Brager, G.S.; Reardon, J.; Nicol, F. Developing an adaptive model of thermal comfort and preference/discussion. ASHRAE Trans. 1998, 104, 145. [Google Scholar]
- An, J.-Y.; An, K.; O’Connor, L.; Wexler, S. Life Satisfaction, Self-Esteem, and Perceived Health Status Among Elder Korean Women: Focus on Living Arrangements. J. Transcult. Nurs. 2008, 19, 151–160. [Google Scholar] [CrossRef]
- Moshki, M.; Ashtarian, H. Perceived Health Locus of Control, Self-Esteem, and Its Relations to Psychological Well-Being Status in Iranian Students. Iran. J. Public Heal. 2010, 39, 70–77. [Google Scholar]
Disclaimer/Publisher’s Note: The statements, opinions and data contained in all publications are solely those of the individual author(s) and contributor(s) and not of MDPI and/or the editor(s). MDPI and/or the editor(s) disclaim responsibility for any injury to people or property resulting from any ideas, methods, instructions or products referred to in the content. |
© 2023 by the authors. Licensee MDPI, Basel, Switzerland. This article is an open access article distributed under the terms and conditions of the Creative Commons Attribution (CC BY) license (https://creativecommons.org/licenses/by/4.0/).













